Tracking Development Assistance for Health: A Comparative Study of the 29 Development Assistance Committee Countries, 2011–2019
Abstract
1. Introduction
2. Materials and Methods
2.1. Data
2.2. Imputed Multilateral Aid to Health
2.3. Primary Health Care and Health System Strengthening
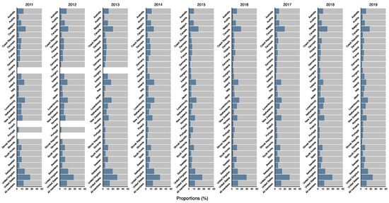
3. Results
4. Discussion
5. Conclusions
Supplementary Materials
Author Contributions
Funding
Institutional Review Board Statement
Informed Consent Statement
Data Availability Statement
Acknowledgments
Conflicts of Interest
References
- United Nations. The Sustainable Development Goals Report 2021; United Nations: New York, NY, USA, 2021. [Google Scholar]
- United Nations. Resolution Adopted by the General Assembly on 10 October 2019. 2019. Available online: https://undocs.org/en/A/RES/74/2 (accessed on 1 July 2021).
- The Group of 20. G20 Osaka Leaders’ Declaration. 2019. Available online: https://www.mofa.go.jp/policy/economy/g20_summit/osaka19/en/documents/final_g20_osaka_leaders_declaration.html (accessed on 1 July 2021).
- The Group of 20. G20 Shared Understanding on the Importance of UHC Financing in Developing Countries—Towards Sustainable and Inclusive Growth. 2019. Available online: https://www.mof.go.jp/english/international_policy/convention/g20/annex8_1.pdf (accessed on 1 July 2021).
- Asian Development Bank. A Region at Risk: The Human Dimensions of Climate Change in Asia and the Pacific; Asian Development Bank: Mandaluyong, Philippines, 2017. [Google Scholar]
- Dieleman, J.L.; Cowling, K.; Agyepong, I.A.; Alkenbrack, S.; Bollyky, T.J.; Bump, J.B.; Chen, C.S.; Grépin, K.A.; Haakenstad, A.; Harle, A.C.; et al. The G20 and development assistance for health: Historical trends and crucial questions to inform a new era. Lancet 2019, 394, 173–183. [Google Scholar] [CrossRef]
- Fidler, D.P. Health as foreign policy: Harnessing globalization for health. Health Promot. Int. 2006, 21 (Suppl. 1), 51–58. [Google Scholar] [CrossRef] [PubMed]
- Fidler, D.P.; Drager, N. Health and foreign policy. Bull World Health Organ 2006, 84, 687. [Google Scholar] [CrossRef]
- Labonte, R.; Gagnon, M.L. Framing health and foreign policy: Lessons for global health diplomacy. Global Health 2010, 6, 14. [Google Scholar] [CrossRef] [PubMed]
- Heymann, D.L.; Chen, L.; Takemi, K.; Fidler, D.P.; Tappero, J.W.; Thomas, M.J.; Kenyon, T.A.; Frieden, T.R.; Yach, D.; Nishtar, S.; et al. Global health security: The wider lessons from the west African Ebola virus disease epidemic. Lancet 2015, 385, 1884–1901. [Google Scholar] [CrossRef]
- Global Burden of Disease Health Financing Collaborator Network. Trends in future health financing and coverage: Future health spending and universal health coverage in 188 countries, 2016–2040. Lancet 2018, 391, 1783–1798. [Google Scholar] [CrossRef]
- OECD. OECD and Donor Countries Working to Focus Development Efforts on Covid-19 Crisis, Building on a Rise in Official Aid in 2019. 2020. Available online: http://www.oecd.org/development/oecd-and-donor-countries-working-to-focus-development-efforts-on-covid-19-crisis-building-on-a-rise-in-official-aid-in-2019.htm (accessed on 11 June 2020).
- Horton, R. Offline: COVID-19 and the ethics of memory. Lancet 2020, 395, 1750. [Google Scholar] [CrossRef]
- OECD iLibrary. OECD International Development Statistics. Available online: https://www.oecd-ilibrary.org/development/data/oecd-international-development-statistics_dev-data-en (accessed on 1 July 2021).
- OECD. History of DAC Lists of Aid Recipient Countries. Available online: https://www.oecd.org/development/financing-sustainable-development/development-finance-standards/historyofdaclistsofaidrecipientcountries.htm (accessed on 1 July 2021).
- OECD. DAC and CRS Code Lists. Available online: https://www.oecd.org/dac/stats/dacandcrscodelists.htm (accessed on 1 July 2021).
- Grollman, C.; Arregoces, L.; Martinez-Alvarez, M.; Pitt, C.; Mills, A.; Borghi, J. 11 years of tracking aid to reproductive, maternal, newborn, and child health: Estimates and analysis for 2003–13 from the Countdown to 2015. Lancet Glob. Health 2017, 5, e104–e114. [Google Scholar] [CrossRef]
- Pallas, S.W.; Ruger, J.P. Does donor proliferation in development aid for health affect health service delivery and population health? Cross-country regression analysis from 1995 to 2010. Health Policy Plan 2017, 32, 493–503. [Google Scholar] [CrossRef]
- Powell-Jackson, T.; Borghi, J.; Mueller, D.H.; Patouillard, E.; Mills, A. Countdown to 2015: Tracking donor assistance to maternal, newborn, and child health. Lancet 2006, 368, 1077–1087. [Google Scholar] [CrossRef]
- Grollman, C.; Arregoces, L.; Martinez-Alvarez, M.; Pitt, C.; Powell-Jackson, T.; Hsu, J.; Greco, G.; Borghi, J. Developing a dataset to track aid for reproductive, maternal, newborn and child health, 2003–2013. Sci. Data 2017, 4, 170038. [Google Scholar] [CrossRef]
- Schäferhoff, M.; Fewer, S.; Kraus, J.; Richter, E.; Summers, L.H.; Sundewall, J.; Yamey, G.; Jamison, D.T. How much donor financing for health is channelled to global versus country-specific aid functions? Lancet 2015, 386, 2436–2441. [Google Scholar] [CrossRef]
- OECD. Adjusting Purpose Codes and Policy Markers in Light of the SDGs—Proposals on Investment and Noncommunicable Diseases. 2017. Available online: https://www.oecd.org/officialdocuments/publicdisplaydocumentpdf/?cote=DCD/DAC/STAT (accessed on 1 July 2021).
- OECD Statistics. GeoBook: Deflators. Available online: https://stats.oecd.org/Index.aspx?DataSetCode=DACDEFL (accessed on 1 July 2021).
- UN DESA’s Population Division. World Population Prospects 2019—Download Data Files. 2020. Available online: https://population.un.org/wpp/Download/Standard/Population/ (accessed on 1 July 2021).
- OECD. OECD Methodology for Calculating Imputed Multilateral ODA. Available online: https://www.oecd.org/dac/financing-sustainable-development/development-finance-standards/oecdmethodologyforcalculatingimputedmultilateraloda.htm (accessed on 1 July 2021).
- Nomura, S.; Sakamoto, H.; Sugai, M.K.; Nakamura, H.; Maruyama-Sakurai, K.; Lee, S.; Ishizuka, A.; Shibuya, K. Tracking Japan’s development assistance for health, 2012–2016. Global Health 2020, 16, 32. [Google Scholar] [CrossRef]
- Nomura, S.; Sakamoto, H.; Ishizuka, A.; Shimizu, K.; Shibuya, K. Tracking sectoral allocation of official development assistance: A comparative study of the 29 Development Assistance Committee countries, 2011–2018. Glob Health Action 2021, 14, 1903222. [Google Scholar] [CrossRef]
- SEEK Development. Donor Tracker—Codebook for Donor Profile Data. Available online: https://donortracker.org/codebook (accessed on 26 January 2021).
- World Health Organization. Declaration of Alma-Ata; World Health Organization: Geneva, Switzerland, 1978. [Google Scholar]
- World Health Organization. Declaration of Astana; World Health Organization: Geneva, Switzerland, 2018. [Google Scholar]
- Shaw, R.P.; Wang, H.; Kress, D.; Hovig, D. Donor and Domestic Financing of Primary Health Care in Low Income Countries. Heath Syst. Reform 2015, 1, 72–88. [Google Scholar] [CrossRef] [PubMed]
- OECD. Frequently Asked Questions: What Are the Differences between Bilateral, Multilateral and Bi/Multi Aid? Available online: https://www.oecd.org/dac/financing-sustainable-development/development-finance-data/faq.htm (accessed on 1 July 2021).
- Lurie, N.; Keusch, G.T.; Dzau, V.J. Urgent lessons from COVID 19: Why the world needs a standing, coordinated system and sustainable financing for global research and development. Lancet 2021, 397, 1229–1236. [Google Scholar] [CrossRef]
- The White House. President Donald J. Trump Is Demanding Accountability from the World Health Organization. 2020. Available online: https://www.whitehouse.gov/briefings-statements/president-donald-j-trump-demanding-accountability-world-health-organization/ (accessed on 30 June 2020).
- World Health Organization. Everybody’s Business—Strengthening Health Systems to Improve Health Outcomes: WHO’s Framework for Action; WHO: Geneva, Switzerland, 2007. [Google Scholar]
- Keaten, J. Biden’s US Revives Support for WHO, Reversing Trump Retreat. 2021. Available online: https://abcnews.go.com/Health/wireStory/us-join-global-coronavirus-vaccine-program-75398435 (accessed on 1 July 2021).
- World Bank. Universal Health Coverage (UHC) in Africa: A Framework for Action; World Bank: Washington, DC, USA, 2016. [Google Scholar]
- Ministry of Foreign Affairs. Yokohama Declaration 2019—Advancing Africa’s Development through People, Technology and Innovation; Ministry of Foreign Affairs: Tokyo, Japan, 2019.
- Green, A. Forum on China-Africa Cooperation: What it means for health. Lancet 2018, 392, 998–999. [Google Scholar] [CrossRef]
- Bridge Consulting Co., Ltd. China COVID-19 Vaccine Tracker. 2021. Available online: https://bridgebeijing.com/our-publications/our-publications-1/china-covid-19-vaccines-tracker/ (accessed on 8 July 2021).
- Berthelemy, J.C. Bilateral donors’ interest vs. recipients’ development motives in aid allocation: Do all donors behave the same? Rev. Dev. Econ. 2006, 10, 179–194. [Google Scholar] [CrossRef]
- Prasad, A.M.; Chakraborty, G.; Yadav, S.S.; Bhatia, S. Addressing the social determinants of health through health system strengthening and inter-sectoral convergence: The case of the Indian National Rural Health Mission. Global Health Action 2013, 6, 20135. [Google Scholar] [CrossRef] [PubMed]
- GBD 2017 SDG Collaborators. Measuring progress from 1990 to 2017 and projecting attainment to 2030 of the health-related Sustainable Development Goals for 195 countries and territories: A systematic analysis for the Global Burden of Disease Study 2017. Lancet 2018, 392, 2091–2138. [Google Scholar] [CrossRef]
- Maher, D.; Smeeth, L.; Sekajugo, J. Health transition in Africa: Practical policy proposals for primary care. B World Health Organ 2010, 88, 943–948. [Google Scholar] [CrossRef]
- Ooms, G.; Van Damme, W.; Baker, B.K.; Zeitz, P.; Schrecker, T. The ‘diagonal’ approach to Global Fund financing: A cure for the broader malaise of health systems? Glob. Health 2008, 4, 6. [Google Scholar] [CrossRef] [PubMed]
- World Health Organization Maximizing Positive Synergies Collaborative Group. An assessment of interactions between global health initiatives and country health systems. Lancet 2009, 373, 2137–2169. [Google Scholar] [CrossRef]
- Relations, C.F. The Emerging Global Health Crisis: Noncommunicable Diseases in Low- and Middle-Income Countries; Council on Foreign Relations: New York, NY, USA, 2014. [Google Scholar]
- Powell-Jackson, T.; Mills, A. A review of health resource tracking in developing countries. Health Policy Plan 2007, 22, 353–362. [Google Scholar] [CrossRef] [PubMed][Green Version]




| Country | 2011 | 2012 | 2013 | 2014 | 2015 | 2016 | 2017 | 2018 | 2019 |
|---|---|---|---|---|---|---|---|---|---|
| Australia | 480.6 (21.3) | 558.8 (24.4) | 461.8 (19.9) | 440.6 (18.7) | 367.7 (15.4) | 345.0 (14.2) | 249.0 (10.1) | 325.4 (13.1) | 306.3 (12.0) |
| Austria | 46.7 (5.5) | 39.1 (4.6) | 38.6 (4.5) | 42.2 (4.9) | 38.6 (4.4) | 44.7 (5.1) | 47.9 (5.4) | 38.0 (4.3) | 45.6 (5.1) |
| Belgium | 245.6 (22.3) | 227.7 (20.5) | 225.0 (20.2) | 241.1 (21.5) | 210.1 (18.6) | 203.6 (17.9) | 211.6 (18.5) | 185.2 (16.1) | 184.5 (15.9) |
| Canada | 812.9 (23.5) | 805.9 (23.1) | 867.8 (24.6) | 608.6 (17.1) | 865.2 (24.0) | 785.7 (21.6) | 878.8 (23.9) | 897.1 (24.2) | 844.3 (22.4) |
| Czech Republic | 10.0 (0.9) | 8.3 (0.8) | 9.8 (0.9) | 8.5 (0.8) | 9.8 (0.9) | 12.7 (1.2) | 16.8 (1.6) | 8.3 (0.8) | 12.8 (1.2) |
| Denmark | 236.4 (42.3) | 210.3 (37.5) | 187.4 (33.2) | 220.4 (38.9) | 161.7 (28.4) | 145.8 (25.5) | 176.5 (30.8) | 199.9 (34.8) | 169.8 (29.3) |
| Finland | 106.2 (19.7) | 106.2 (19.6) | 105.7 (19.4) | 141.1 (25.8) | 92.8 (16.9) | 52.7 (9.6) | 56.1 (10.2) | 49.6 (9.0) | 47.1 (8.5) |
| France | 760.6 (12.0) | 755.4 (11.9) | 843.1 (13.2) | 1074.3 (16.7) | 745.2 (11.6) | 849.5 (13.1) | 824.1 (12.7) | 875.6 (13.5) | 913.0 (14.0) |
| Germany | 917.2 (11.3) | 882.9 (10.9) | 942.7 (11.6) | 988.5 (12.1) | 1003.1 (12.3) | 1175.2 (14.3) | 1321.3 (16.0) | 1364.6 (16.4) | 1415.2 (16.9) |
| Greece | 11.2 (1.0) | 7.8 (0.7) | 9.1 (0.8) | 7.5 (0.7) | 8.2 (0.8) | 9.9 (0.9) | 12.9 (1.2) | 8.3 (0.8) | 8.2 (0.8) |
| Hungary | NA | NA | NA | 5.4 (0.6) | 7.3 (0.7) | 7.5 (0.8) | 6.2 (0.6) | 13.7 (1.4) | 12.9 (1.3) |
| Iceland | 2.8 (8.7) | 2.9 (8.9) | 4.3 (13.1) | 3.2 (9.7) | 2.3 (7.0) | 2.7 (8.1) | 1.7 (5.1) | 3.2 (9.5) | 4.7 (13.8) |
| Ireland | 125.8 (27.4) | 120.6 (26.2) | 130.7 (28.3) | 128.4 (27.8) | 107.3 (23.1) | 108.4 (23.1) | 108.6 (22.8) | 97.8 (20.3) | 106.5 (21.6) |
| Italy | 171.0 (2.9) | 131.5 (2.2) | 158.9 (2.6) | 195.5 (3.2) | 218.0 (3.6) | 239.2 (3.9) | 275.7 (4.5) | 296.1 (4.9) | 327.2 (5.4) |
| Japan | 696.8 (5.4) | 855.7 (6.7) | 717.1 (5.6) | 855.5 (6.7) | 866.1 (6.8) | 888.8 (7.0) | 1096.2 (8.6) | 948.5 (7.5) | 1021.1 (8.1) |
| Luxembourg | 63.0 (121.3) | 62.9 (118.5) | 71.3 (131.4) | 67.1 (121.0) | 60.4 (106.6) | 63.4 (109.4) | 61.5 (103.9) | 61.6 (101.9) | 68.3 (109.1) |
| Netherlands | 556.3 (33.2) | 488.0 (29.1) | 534.9 (31.8) | 504.3 (29.9) | 488.9 (28.9) | 569.2 (33.5) | 524.1 (30.8) | 611.4 (35.8) | 523.6 (30.6) |
| New Zealand | 36.6 (8.3) | 35.4 (7.9) | 32.6 (7.2) | 28.7 (6.3) | 22.2 (4.8) | 19.7 (4.2) | 20.4 (4.3) | 25.1 (5.3) | 24.1 (5.0) |
| Norway | 379.1 (76.6) | 391.3 (78.0) | 474.9 (93.5) | 506.3 (98.5) | 522.2 (100.4) | 508.5 (96.8) | 538.6 (101.7) | 514.9 (96.5) | 502.1 (92.6) |
| Poland | NA | NA | 15.2 (0.4) | 13.9 (0.4) | 17.8 (0.5) | 24.4 (0.6) | 24.6 (0.6) | 18.5 (0.5) | 35.6 (0.9) |
| Portugal | 26.8 (2.5) | 19.2 (1.8) | 25.6 (2.4) | 23.4 (2.2) | 32.1 (3.1) | 22.8 (2.2) | 19.3 (1.9) | 16.7 (1.6) | 23.0 (2.3) |
| Slovak Republic | NA | NA | 3.1 (0.6) | 2.9 (0.5) | 3.9 (0.7) | 4.4 (0.8) | 6.6 (1.2) | 5.0 (0.9) | 4.9 (0.9) |
| Slovenia | 2.3 (1.1) | 3.2 (1.6) | 2.6 (1.3) | 1.7 (0.8) | 2.1 (1.0) | 2.7 (1.3) | 3.0 (1.4) | 1.9 (0.9) | 2.4 (1.2) |
| South Korea | 139.5 (2.8) | 180.7 (3.6) | 200.5 (4.0) | 197.4 (3.9) | 209.6 (4.1) | 246.6 (4.8) | 242.4 (4.7) | 228.6 (4.5) | 226.9 (4.4) |
| Spain | 235.8 (5.0) | 106.7 (2.3) | 125.6 (2.7) | 104.4 (2.2) | 88.5 (1.9) | 141.6 (3.0) | 158.4 (3.4) | 125.1 (2.7) | 128.1 (2.7) |
| Sweden | 438.6 (46.3) | 466.4 (48.9) | 478.8 (49.8) | 432.5 (44.6) | 459.1 (47.0) | 464.6 (47.2) | 509.2 (51.4) | 510.3 (51.2) | 463.4 (45.9) |
| Switzerland | 142.5 (18.0) | 144.5 (18.0) | 147.7 (18.2) | 205.3 (25.0) | 198.6 (23.9) | 185.0 (22.1) | 214.1 (25.3) | 203.1 (23.8) | 201.4 (23.3) |
| United Kingdom | 2056.3 (32.1) | 2183.1 (33.8) | 3275.8 (50.4) | 2819.9 (43.1) | 2224.0 (33.8) | 2194.4 (33.1) | 2807.3 (42.1) | 2874.3 (42.8) | 2862.6 (42.2) |
| United States | 9906.8 (31.8) | 9890.0 (31.5) | 10,225.3 (32.3) | 10,463.2 (32.8) | 9167.2 (28.6) | 11,106.6 (34.4) | 11,035.2 (33.9) | 10,261.6 (31.4) | 8049.7 (24.3) |
| All members | 18,607.3 (18.1) | 18,684.7 (18.1) | 20,315.6 (19.6) | 20,331.8 (19.5) | 18,200.0 (17.4) | 20,425.3 (19.4) | 21,447.9 (20.3) | 20,769.4 (19.6) | 18,535.2 (17.4) |
Publisher’s Note: MDPI stays neutral with regard to jurisdictional claims in published maps and institutional affiliations. |
© 2021 by the authors. Licensee MDPI, Basel, Switzerland. This article is an open access article distributed under the terms and conditions of the Creative Commons Attribution (CC BY) license (https://creativecommons.org/licenses/by/4.0/).
Share and Cite
Nomura, S.; Sakamoto, H.; Ishizuka, A.; Shibuya, K. Tracking Development Assistance for Health: A Comparative Study of the 29 Development Assistance Committee Countries, 2011–2019. Int. J. Environ. Res. Public Health 2021, 18, 8519. https://doi.org/10.3390/ijerph18168519
Nomura S, Sakamoto H, Ishizuka A, Shibuya K. Tracking Development Assistance for Health: A Comparative Study of the 29 Development Assistance Committee Countries, 2011–2019. International Journal of Environmental Research and Public Health. 2021; 18(16):8519. https://doi.org/10.3390/ijerph18168519
Chicago/Turabian StyleNomura, Shuhei, Haruka Sakamoto, Aya Ishizuka, and Kenji Shibuya. 2021. "Tracking Development Assistance for Health: A Comparative Study of the 29 Development Assistance Committee Countries, 2011–2019" International Journal of Environmental Research and Public Health 18, no. 16: 8519. https://doi.org/10.3390/ijerph18168519
APA StyleNomura, S., Sakamoto, H., Ishizuka, A., & Shibuya, K. (2021). Tracking Development Assistance for Health: A Comparative Study of the 29 Development Assistance Committee Countries, 2011–2019. International Journal of Environmental Research and Public Health, 18(16), 8519. https://doi.org/10.3390/ijerph18168519

