The Effectiveness of Active Rehabilitation Camp on Physical Performance of Disabled People Moving in Wheelchairs
Abstract
1. Introduction
2. Material and Methods
2.1. The Study Design
2.2. Procedure
2.3. The Active Rehabilitation Camp (ARC) Program
- Peer mentors are experienced individuals with SCI who are involved in the training of participants as a real-life example of what participants could achieve.
- Non-disabled assistants usually with a health professional education background support a group and are involved with organizational aspects, training aspects or with the provision of personal assistance to participants.
- Training for ADL, such as training of toilet transfers, showering and dressing occurring at the natural time and environment involving custom-based ramps and stairs, is incorporated in the daily schedule with the help and under the guidance of peer mentors.
- Sports and therapeutic recreation activities during ARC include a variety of sports and recreational activities. Most ARCs offer weightlifting and general fitness training, table tennis, swimming and archery. However, some of these sports may be excluded (e.g., swimming), and other sports may be included (e.g., basketball, self-defense) according to locally available equipment and facilities. Availability of the activity in the community usually influences the decision of whether to include the activity or not.
- Education sessions may include introduction to SCI, wheelchair adjustments, prevention of pressure sores, prevention of urinary tract infections, bowel management and sexuality and fertility, and they are intended to help participants acquire or maintain knowledge that would allow them to optimally manage their condition.
- Training environment means organizing the ARC in wheelchair friendly facilities (e.g., buildings with wheelchair access, accessible bathrooms, etc.) in hotels, schools, sports or recreational complexes, which creates a real-life learning environment.
- Admission criteria ensure that the camp is suitable for the participants and minimize the level of risk, so the participants must be free of severe complications and be able to roll the wheelchair on a flat surface.
- At the start of the ARC, participants are asked to provide background information for themselves and to complete a self-assessment related to their level of independence in ADL, their general condition and their training goals. This information is used to customize the intervention to their functional level and needs. Self-assessment occurring at the end of the ARC determines any changes in relation to outcomes.
- Training of peer mentors means that the former participants of ARC can become peer mentors, which is possible after completing the special trainers’ training workshops that include a variety of topics, such as anatomy, prevention of complications, health promotion, management of impairments, role of the leader and organizational aspects.
- Duration of the ARC usually varies from 5 to 10 days depending on available funding and personnel, but usually it is enough for participants to familiarize themselves with the program, to train and to interact with peer mentors and other participants.
2.4. Statistical Analysis
3. Results
3.1. Characteristic of the Study Group
3.2. Physical Performance before and after the Active Rehabilitation Camp of the Study Participants
4. Discussion
5. Conclusions
Author Contributions
Funding
Institutional Review Board Statement
Informed Consent Statement
Data Availability Statement
Conflicts of Interest
Correction Statement
References
- Bethge, M.; von Groote, P.; Giustini, A.; Gutenbrunner, C. The world report on disability. Am. J. Phys. Med. Rehabil. 2014, 93, S4–S11. [Google Scholar] [CrossRef]
- Farmer, D.L.; Thom, E.A.; Brock, J.W., III; Burrows, P.K.; Johnson, M.P.; Howell, L.J.; Farrell, J.A.; Gupta, N.; Adzick, N.S. The management of myelomeningocele study investigators. The management of myelomeningocele study: Full cohort 30-month pediatric outcomes. Am. J. Obstet. Gynecol. 2018, 218, 256. [Google Scholar] [CrossRef] [PubMed]
- de Groot, S.; Valent, L.J.; van Koppenhagen, C.F.; Broeksteeg, R.; Post, M.W.; van der Woude, L.H. Physical activity in wheelchair users with spinal cord injury: Prerequisites for and effects of an active lifestyle. Ned. Tijdschr. Geneeskd. 2013, 157, A6220. [Google Scholar] [PubMed]
- Haisma, J.A.; Van Der Woude, L.H.V.; Stam, H.J.; Bergen, M.P.; Sluis, T.A.R.; Bussmann, J.B.J. Physical capacity in wheelchair-dependent persons with a spinal cord injury: A critical review of the literature. Spinal Cord 2006, 44, 642–652. [Google Scholar] [CrossRef]
- Gorber, S.C.; Tremblay, M.; Moher, D.; Gorber, B. A comparison of direct vs. self-report measures for assessing height, weight and body mass index: A systematic review. Obes. Rev. 2007, 8, 307–326. [Google Scholar] [CrossRef] [PubMed]
- Allen, S.; Resnik, L.; Roy, J. Promoting independence for wheelchair users: The role of home accommodations. Gerontologist 2006, 46, 115–123. [Google Scholar] [CrossRef]
- Bauman, W.A.; Spungen, A.M. Coronary heart disease in individuals with spinal cord injury: Assessment of risk factors. Spinal Cord 2008, 46, 466–476. [Google Scholar] [CrossRef]
- La Fountaine, M.F.; Cirnigliaro, C.M.; Emmons, R.R.; Kirshblum, S.C.; Galea, M.; Spungen, A.M.; Bauman, W.A. Lipoprotein heterogeneity in persons with spinal cord injury: A model of prolonged sitting and restricted physical activity. Lipids Health Dis. 2015, 14, 1–10. [Google Scholar] [CrossRef][Green Version]
- Nooijen, C.; Stam, H.J.; Bergen, M.P.; Bongers-Janssen, H.M.H.; Valent, L.; Van Langeveld, S.; Twisk, J.; Berg-Emons, R.J.G.V.D. A behavioural intervention increases physical activity in people with subacute spinal cord injury: A randomised trial. J. Physiother. 2016, 62, 35–41. [Google Scholar] [CrossRef]
- Ellapen, T.J.; Hammill, H.V.; Swanepoel, M.; Strydom, G.L. The health benefits and constraints of exercise therapy for wheelchair users: A clinical commentary. Afr. J. Disabil. 2017, 6, 337. [Google Scholar] [CrossRef]
- Sprigle, S. Measure it. Adv. Ski. Wound Care 2014, 27, 561–572. [Google Scholar] [CrossRef]
- Akker, L.E.V.D.; Holla, J.F.M.; Dadema, T.; Visser, B.; Valent, L.J.; De Groot, S.; Dallinga, J.M.; Deutekom, M. WHEELS—Study group determinants of physical activity in wheelchair users with spinal cord injury or lower limb amputation: Perspectives of rehabilitation professionals and wheelchair users. Disabil. Rehabil. 2019, 42, 1934–1941. [Google Scholar] [CrossRef]
- Fehlings, M.G.; Tetreault, L.A.; Wilson, J.R.; Kwon, B.K.; Burns, A.; Martin, A.R.; Hawryluk, G.; Harrop, J.S. A clinical practice guideline for the management of acute spinal cord injury: Introduction, rationale, and scope. Glob. Spine J. 2017, 7, 84S–94S. [Google Scholar] [CrossRef]
- Burns, A.S.; Marino, R.; Kalsi-Ryan, S.; Middleton, J.W.; Tetreault, L.A.; Dettori, J.R.; Mihalovich, K.E.; Fehlings, M. Type and timing of rehabilitation following acute and subacute spinal cord injury: A systematic review. Glob. Spine J. 2017, 7, 175S–194S. [Google Scholar] [CrossRef]
- Lucke, K.T.; Coccia, H.; Goode, J.S.; Lucke, J.F. Quality of life in spinal cord injured individuals and their caregivers during the initial 6 months following rehabilitation. Qual. Life Res. 2004, 13, 97–110. [Google Scholar] [CrossRef]
- Morgan, K.A.; Engsberg, J.R.; Gray, D.B. Important wheelchair skills for new manual wheelchair users: Health care professional and wheelchair user perspectives. Disabil. Rehabil. Assist. Technol. 2015, 12, 28–38. [Google Scholar] [CrossRef]
- Dobkin, B.H. Confounders in rehabilitation trials of task-oriented training: Lessons from the designs of the EXCITE and SCILT multicenter trials. Neurorehabilit. Neural Repair 2007, 21, 3–13. [Google Scholar] [CrossRef]
- Divanoglou, A.; Tasiemski, T.; Augutis, M.; Trok, K. Active rehabilitation—A community peer-based approach for persons with spinal cord injury: International utilisation of key elements. Spinal Cord 2017, 55, 545–552. [Google Scholar] [CrossRef]
- Wallace, M.A.; Kendall, M.B. Transitional rehabilitation goals for people with spinal cord injury: Looking beyond the hospital walls. Disabil. Rehabil. 2013, 36, 642–650. [Google Scholar] [CrossRef] [PubMed]
- A Van Loo, M.; Post, M.W.M.; A Bloemen, J.H.; Van Asbeck, F.W.A. Care needs of persons with long-term spinal cord injury living at home in the Netherlands. Spinal Cord 2009, 48, 423–428. [Google Scholar] [CrossRef] [PubMed]
- Kellmann, M.; Bertollo, M.; Bosquet, L.; Brink, M.; Coutts, A.J.; Duffield, R.; Erlacher, D.; Halson, S.; Hecksteden, A.; Heidari, J.; et al. Recovery and performance in sport: Consensus statement. Int. J. Sports Physiol. Perform. 2018, 13, 240–245. [Google Scholar] [CrossRef] [PubMed]
- Halson, S.L. Monitoring training load to understand fatigue in athletes. Sports Med. 2014, 44, 139–147. [Google Scholar] [CrossRef] [PubMed]
- Gil, S.M.; Yanci, J.; Otero, M.; Olasagasti, J.; Badiola, A.; Bidaurrazaga-Letona, I.; Iturricastillo, A.; Granados, C. The functional classification and field test performance in wheelchair basketball players. J. Hum. Kinet. 2015, 46, 219–230. [Google Scholar] [CrossRef]
- Callahan, M.K.; Cowan, R.E. Relationship of fitness and wheelchair mobility with encounters, avoidances, and perception of environmental barriers among manual wheelchair users with spinal cord injury. Arch. Phys. Med. Rehabil. 2018, 99, 2007–2014. [Google Scholar] [CrossRef]
- Hoekstra, S.; Valent, L.; Gobets, D.; van der Woude, L.; De Groot, S. Effects of four-month handbike training under free-living conditions on physical fitness and health in wheelchair users. Disabil. Rehabil. 2016, 39, 1–8. [Google Scholar] [CrossRef]
- Hicks, A.L.; Ginis, K.M.; Pelletier, C.A.; Ditor, D.S.; Foulon, B.; Wolfe, D.L. The effects of exercise training on physical capacity, strength, body composition and functional performance among adults with spinal cord injury: A systematic review. Spinal Cord 2011, 49, 1103–1127. [Google Scholar] [CrossRef]
- De Groot, S.; Van Der Scheer, J.W.; Bakkum, A.J.; Adriaansen, J.J.; Smit, C.A.; Dijkstra, C.; ALLRISC; Marcel, W.M.; van der Woude, L.H. Wheelchair-specific fitness of persons with a long-term spinal cord injury: Cross-sectional study on effects of time since injury and physical activity level. Disabil. Rehabil. 2015, 38, 1–7. [Google Scholar] [CrossRef]
- Dost, G.; Dulgeroglu, D.; Yildirim, A.; Ozgirgin, N. The effects of upper extremity progressive resistance and endurance exercises in patients with spinal cord injury. J. Back Musculoskelet. Rehabil. 2014, 27, 419–426. [Google Scholar] [CrossRef]
- Yildirim, A.; Sürücü, G.D.; Karamercan, A.; Gedik, D.E.; Atci, N.; Dülgeroǧlu, D.; Özgirgin, N. Short-term effects of upper extremity circuit resistance training on muscle strength and functional independence in patients with paraplegia. J. Back Musculoskelet. Rehabil. 2016, 29, 817–823. [Google Scholar] [CrossRef]
- Haisma, J.A.; Bussmann, J.B.; Stam, H.J.; Sluis, T.A.; Bergen, M.P.; Dallmeijer, A.J.; De Groot, S.; van der Woude, L. Changes in physical capacity during and after inpatient rehabilitation in subjects with a spinal cord injury. Arch. Phys. Med. Rehabil. 2006, 87, 741–748. [Google Scholar] [CrossRef]
- Kirby, R.L.; De Groot, S.; Cowan, R.E. Relationship between wheelchair skills scores and peak aerobic exercise capacity of manual wheelchair users with spinal cord injury: A cross-sectional study. Disabil. Rehabil. 2018, 42, 114–121. [Google Scholar] [CrossRef]
- Zolot, J.; Rosenberg, K. Wheelchair-bound patients who exercise can prevent further disability. AJN Am. J. Nurs. 2016, 116, 69–70. [Google Scholar] [CrossRef]
- Giesbrecht, E.M.; Miller, W.C.; Mitchell, I.M.; Woodgate, R. Development of a wheelchair skills home program for older adults using a participatory action design approach. BioMed Res. Int. 2014, 2014, 1–13. [Google Scholar] [CrossRef]
- MacPhee, A.H.; Kirby, R.; Coolen, A.L.; Smith, C.; A MacLeod, D.; Dupuis, D.J. Wheelchair skills training program: A randomized clinical trial of wheelchair users undergoing initial rehabilitation. Arch. Phys. Med. Rehabil. 2004, 85, 41–50. [Google Scholar] [CrossRef]
- Muraki, S.; Tsunawake, N.; Tahara, Y.; Hiramatsu, S.; Yamasaki, M. Multivariate analysis of factors influencing physical work capacity in wheelchair-dependent paraplegics with spinal cord injury. Graefes Arch. Clin. Exp. Ophthalmol. 2000, 81, 28–32. [Google Scholar] [CrossRef]
- Brurok, B.; Helgerud, J.; Karlsen, T.; Leivseth, G.; Hoff, J. Effect of aerobic high-intensity hybrid training on stroke volume and peak oxygen consumption in men with spinal cord injury. Am. J. Phys. Med. Rehabil. 2011, 90, 407–414. [Google Scholar] [CrossRef][Green Version]
- Brienza, D.; Kelsey, S.; Karg, P.; Allegretti, A.; Olson, M.; Schmeler, M.; Zanca, J.; Geyer, M.J.; Kusturiss, M.; Holm, M. A randomized clinical trial on preventing pressure ulcers with wheelchair seat cushions. J. Am. Geriatr. Soc. 2010, 58, 2308–2314. [Google Scholar] [CrossRef]
- Cherubini, M.; Melchiorri, G. Descriptive study about congruence in wheelchair prescription. Eur. J. Phys. Rehabil. Med. 2011, 48, 217–222. [Google Scholar]
- Andrews, A.W.; Vallabhajosula, S.; Ramsey, C.; Smith, M.; Lane, M.H. Reliability and normative values of the wheelchair propulsion test: A preliminary investigation. Neurorehabilitaion 2019, 45, 229–237. [Google Scholar] [CrossRef]
- Dickson, A.; Ward, R.; O’Brien, G.; Allan, D.; O’Carroll, R. Difficulties adjusting to post-discharge life following a spinal cord injury: An interpretative phenomenological analysis. Psychol. Heal. Med. 2011, 16, 463–474. [Google Scholar] [CrossRef]
- McColl, M.A.; Aiken, A.; McColl, A.; Sakakibara, B.; Smith, K. Primary care of people with spinal cord injury: Scoping review. Can. Fam. Physician 2012, 58, 1207–1216. [Google Scholar]




| All the Study Group (n = 42) | Paraplegics (n = 27) | Tetraplegics (n = 9) | People with Myelomeningocele Core (n = 6) | |
|---|---|---|---|---|
| Mean (±SD) | Mean (±SD) | Mean (±SD) | Mean (±SD) | |
| Age (years) | 34.7 ± 14.9 | 35.4 ± 14.3 | 39.0 ± 18.9 | 25.0 ± 6.0 |
| Body mass (kg) | 67.0 ± 15.0 | 71.2 ± 11.5 | 70.6 ± 8.0 | 42.5 ± 14.4 |
| Height (cm) | 170.6 ± 14.7 | 173.5 ± 8.0 | 181.3 ± 6.6 | 141.2 ± 9.2 |
| Body mass index (kg/m2) | 22.8 ± 3.9 | 23.6 ± 3.4 | 21.5 ± 2.7 | 21.2 ± 6.5 |
| Time since injury (TSI) | 6.8 ± 10.3 | 4.2 ± 8.4 | 2.3 ± 1.9 | 29.0 ± 6.0 |
| Habitual PA | N (%) | N (%) | N (%) | N (%) |
| Yes | 3 (7.2) | 1 (3.7) | 1 (11.1) | 1 (16.7) |
| No | 39 (92.8) | 26 (96.3) | 8 (88.9) | 5 (83.3) |
| All the Study Group (n = 42) | Males (n = 28) | Females (n = 14) | ||
| Mean (±SD) | Mean (±SD) | Mean (±SD) | ||
| Age (years) | 34.7 ± 14.9 | 37.6 ± 14.6 | 28.9 ± 14.2 | |
| Body mass (kg) | 67.0 ± 15.0 | 73.2 ± 8.6 | 54.6 ± 17.5 | |
| Height (cm) | 170.6 ± 14.7 | 178.1 ± 7.4 | 155.5 ± 14.3 | |
| Body mass index (kg/m2) | 22.8 ± 3.9 | 23.1 ± 2.7 | 22.3 ± 5.7 | |
| Time since injury (TSI) (in years) | 6.8 ± 10.3 | 3.4 ± 7.3 | 13.5 ± 12.4 | |
| N (%) | N (%) | N (%) | ||
| Type of disability | ||||
| Paraplegia | 27 (64.3) | 19 (67.9) | 8 (57.1) | |
| Tetraplegia | 9 (21.4) | 9 (32.1) | 0 (0) | |
| Myelomeningocele core | 6 (14.3) | 0 (0) | 6 (42.9) | |
| Habitual PA | ||||
| Yes | 3 (7.2) | 1 (3.6) | 2 (14.3) | |
| No | 39 (92.8) | 27 (96.4) | 12 (85.7) | |
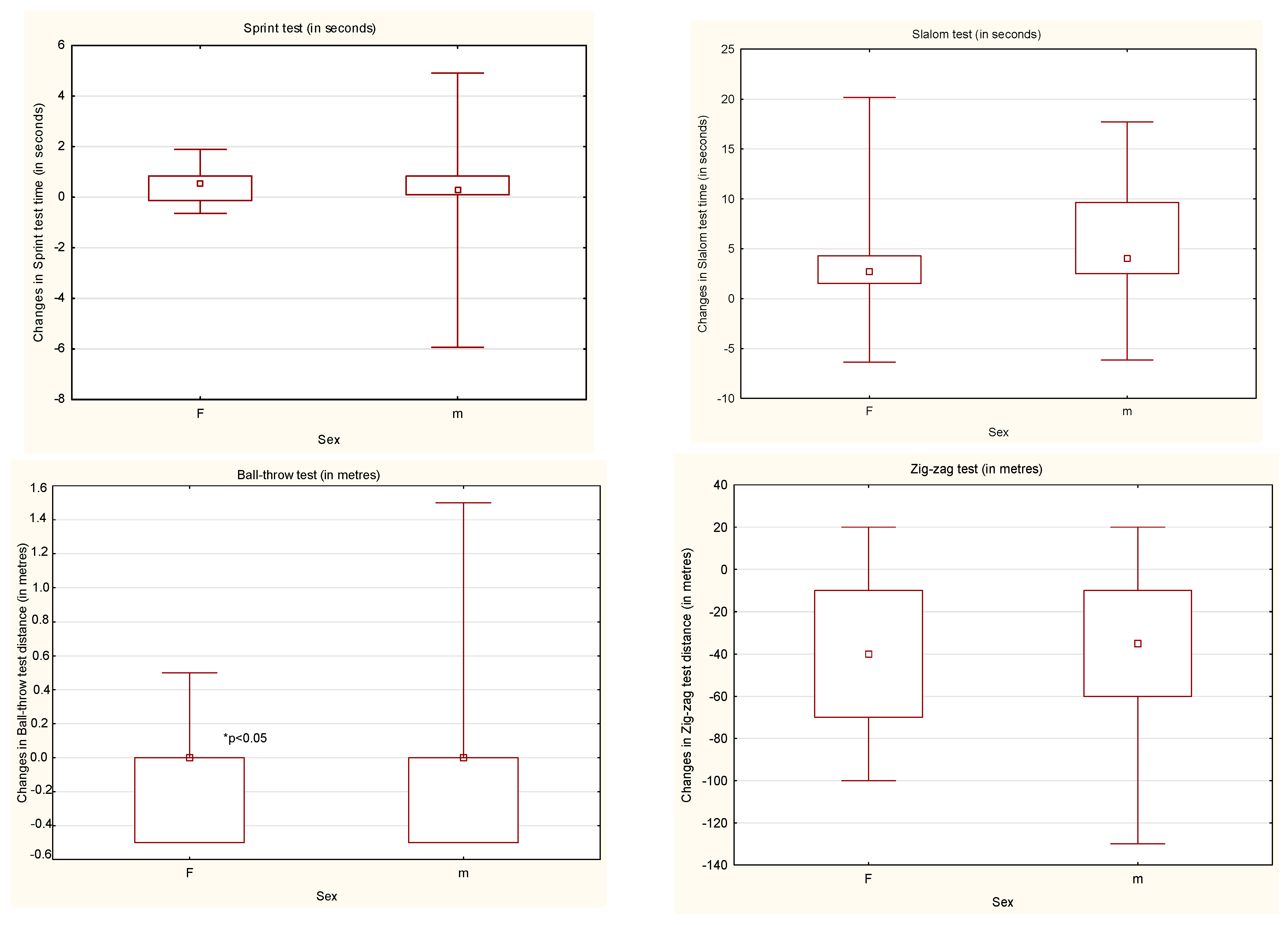
| Sprint Test (Time in Seconds) | Before ARC | After ARC | Change | p Value | d |
|---|---|---|---|---|---|
| Mean (95% CI) | |||||
| Sex | |||||
| Males | 7.11 (7.27; 10.46) | 6.76 (7.02; 10.03) | 0.26 (−0.28; 0.96) | 0.005 | 0.28 |
| Females | 8.23 (6.99; 11.08) | 7.50 (6.35; 10.74) | 0.57 (0.07; 0.91) | 0.030 | 0.33 |
| Type of disability | |||||
| Paraplegics | 6.68 (6.53; 8.03) | 6.38 (6.20; 7.76) | 0.22 (0.07; 0.53) | 0.012 | 0 |
| Tetraplegics | 12.13 (9.52; 16.96) | 11.08 (9.25; 16.12) | 0.94 (−1.61; 2.72) | 0.110 | 0.25 |
| POR | 8.60 (5.28; 14.38) | 8.22 (4.31; 14.25) | 0.56 (−0.34; 1.43) | 0.173 | 0.09 |
| Level of injury | |||||
| Below Th-9 | 6.35 (6.14; 7.96) | 6.06 (5.84; 7.49) | 0.26 (0.04;0.73) | 0.035 | 0.21 |
| Above Th-9 | 8.41 (7.88; 11.85) | 8.15 (7.62; 11.41) | 0.47 (−0.44; 1.15) | 0.013 | 0.07 |
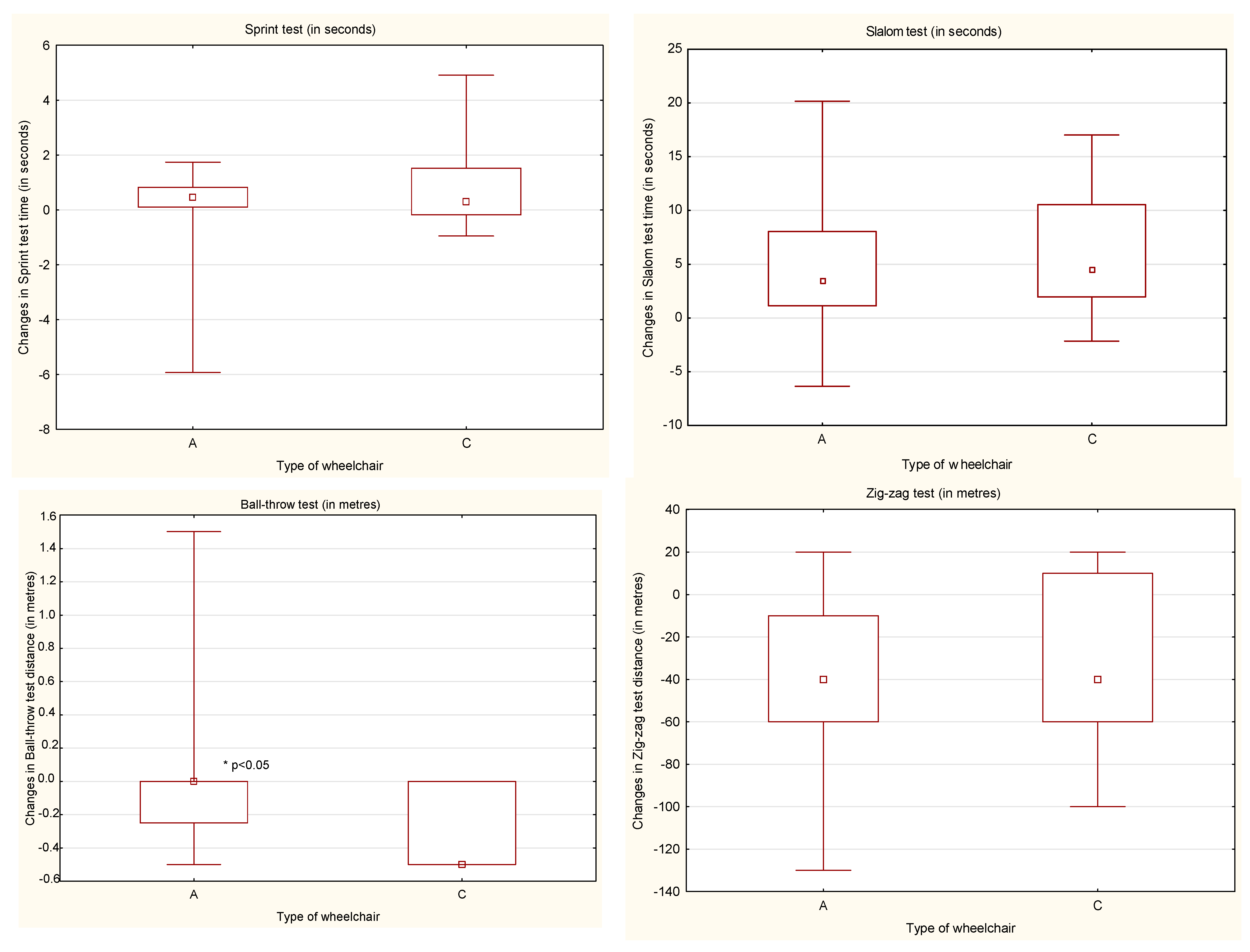
| Type of wheelchair | |||||
| Active | 7.58 (7.45; 9.70) | 7.01 (7.01; 9.62) | 0.46 (−0.19; 0.71) | 0.001 | 0.15 |
| Classic | 7.63 (5.86; 14.18) | 7.36 (5.97; 12.48) | 0.30 (−0.41; 2.00) | 0.169 | 0.07 |
| Slalom Test (Time in Seconds) | Before ARC | After ARC | Change | p Value | d |
|---|---|---|---|---|---|
| Mean (95% CI) | |||||
| Sex | |||||
| Males | 31.06 (31.18; 48.29) | 28.50 (27.04; 40.97) | 4.03 (3.33; 8.14) | <0.001 | 0.15 |
| Females | 31.24 (27.64; 50.01) | 29.53 (25.31; 43.99) | 2.71 (0.52; 7.84) | 0.009 | 0.11 |
| Type of disability | |||||
| Paraplegics | 29.28 (26.58; 36.05) | 25.49 (22.77; 31.63) | 3.37 (2.56; 5.69) | <0.001 | 0.36 |
| Tetraplegics | 50.67 (37.41; 81.76) | 46.65 (35.34; 68.61) | 9.22 (0.78; 14.43) | 0.051 | 0.16 |
| POR | 43.17 (24.86; 66.59) | 42.84 (25.96; 52.39) | 5.56 (−3.44; 16.54) | 0.116 | 0.06 |
| Level of injury | |||||
| Below Th-9 | 28.57 (25.07; 35.92) | 23.86 (21.87; 29.75) | 4.08 (1.72; 7.65) | 0.005 | 0.65 |
| Above Th-9 | 32.62 (32.29; 54.52) | 31.17 (28.92; 47.51) | 3.48 (2.50; 7.88) | 0.001 | 0.22 |
| Type of wheelchair | |||||
| Active | 29.35 (29.92; 43.42) | 27.02 (26.56; 37.15) | 3.48 (2.53; 7.09) | <0.001 | 0.12 |
| Classic | 35.64 (29.62; 66.94) | 32.08 (25.46; 58.10) | 4.44 (2.21; 10.80) | 0.012 | 0.12 |
| Ball-Throw Test (Distance in Meters) | Before ARC | After ARC | Change | p Value | d |
|---|---|---|---|---|---|
| Mean (95% CI) | |||||
| Sex | |||||
| Males | 6.00 (4.61; 6.78) | 6.00 (4.66; 6.95) | 0.00 (−0.27; 0.05) | 0.010 | 0 |
| Females | 4.75 (3.54; 5.32) | 4.75 (3.58; 5.35) | 0.00 (−0.25; 0.17) | 0.735 | 0 |
| Type of disability | |||||
| Paraplegics | 6.50 (5.98; 7.39) | 6.50 (5.98; 7.59) | 0.00 (−0.29; −0.04) | 0.028 | 0 |
| Tetraplegics | 2.50 (1.35; 3.31) | 2.50 (1.45; 2.99) | 0.00 (−0.31; 0.53) | 0.655 | 0 |
| POR | 3.00 (2.06; 4.60) | 2.75 (1.90; 4.77) | 0.00 (−0.47; 0.47) | 1.00 | 1.00 |
| Level of injury | |||||
| Below Th-9 | 7.25 (6.06; 8.29) | 7.00 (6.06; 8.51) | 0.00 (−0.31; 0.09) | 0.310 | 0.10 |
| Above Th-9 | 5.00 (3.53; 5.64) | 5.25 (3.59; 5.77) | 0.00 (−0.28; 0.10) | 0.161 | 0.04 |
| Type of wheelchair | |||||
| Active | 5.50 (4.41; 6.15) | 5.75 (4.38; 6.21) | 0.00 (−0.16; 0.13) | 0.649 | 0.08 |
| Classic | 5.50 (3.13; 7.36) | 5.75 (3.38; 7.72) | −0.50 (−0.48; −0.11) | 0.028 | 0.07 |
| Zig-Zag Test (Distance in Meters) | Before ARC | After ARC | Change | p Value | d |
|---|---|---|---|---|---|
| Mean (95% CI) | |||||
| Sex | |||||
| Males | 415.00 (324.09; 433.77) | 425.00 (361.18; 467.39) | 0.00 (−0.27; 0.05) | <0.001 | 0.07 |
| Females | 400.00 (314.61; 461.11) | 440.00 (347.63; 505.22) | 0.00 (−0.25; 0.17) | 0.008 | 0.30 |
| Type of disability | |||||
| Paraplegics | 460.00 (397.34; 475.99) | 500.00 (424.11; 508.48) | −20.00 (−43.79; −15.47) | 0.001 | 0.39 |
| Tetraplegics | 170.00 (153.81; 277.30) | 200.00 (187.67; 327.89) | −30.00 (−71.69; −12.76) | 0.008 | 0.35 |
| POR | 390.00 (228.39; 541.61) | 440.00 (302.59; 584.08) | −65.00 (−89.05; −27.62) | 0.028 | 0.35 |
| Level of injury | |||||
| Below Th-9 | 475.00 (429.13; 513.73) | 520.00 (451.75; 549.68) | −40.00 (−46.45; −12.12) | 0.011 | 0.57 |
| Above Th-9 | 300.00 (264.20; 383.98) | 365.00 (298.62; 419.56) | −25.00 (−52.93; −17.07) | 0.001 | 0.48 |
| Type of wheelchair | |||||
| Active | 435.00 (347.00; 483.03) | 465.00 (384.47; 483.03) | −40.00 (−49.34; −25.03) | <0.001 | 0.22 |
| Classic | 335.00 (247.24; 422.76) | 370.00 (280.13; 457.87) | −40.00 (−66.38; −1.62) | 0.083 | 0.28 |
Publisher’s Note: MDPI stays neutral with regard to jurisdictional claims in published maps and institutional affiliations. |
© 2021 by the authors. Licensee MDPI, Basel, Switzerland. This article is an open access article distributed under the terms and conditions of the Creative Commons Attribution (CC BY) license (https://creativecommons.org/licenses/by/4.0/).
Share and Cite
Lipert, A.; Wróbel, K.; Spychała, M.; Rasmus, P.; Timler, D.; Marczak, M.; Kozłowski, R. The Effectiveness of Active Rehabilitation Camp on Physical Performance of Disabled People Moving in Wheelchairs. Int. J. Environ. Res. Public Health 2021, 18, 7572. https://doi.org/10.3390/ijerph18147572
Lipert A, Wróbel K, Spychała M, Rasmus P, Timler D, Marczak M, Kozłowski R. The Effectiveness of Active Rehabilitation Camp on Physical Performance of Disabled People Moving in Wheelchairs. International Journal of Environmental Research and Public Health. 2021; 18(14):7572. https://doi.org/10.3390/ijerph18147572
Chicago/Turabian StyleLipert, Anna, Kacper Wróbel, Michał Spychała, Paweł Rasmus, Dariusz Timler, Michał Marczak, and Remigiusz Kozłowski. 2021. "The Effectiveness of Active Rehabilitation Camp on Physical Performance of Disabled People Moving in Wheelchairs" International Journal of Environmental Research and Public Health 18, no. 14: 7572. https://doi.org/10.3390/ijerph18147572
APA StyleLipert, A., Wróbel, K., Spychała, M., Rasmus, P., Timler, D., Marczak, M., & Kozłowski, R. (2021). The Effectiveness of Active Rehabilitation Camp on Physical Performance of Disabled People Moving in Wheelchairs. International Journal of Environmental Research and Public Health, 18(14), 7572. https://doi.org/10.3390/ijerph18147572

