Friendships in Integrative Settings: Network Analyses in Organized Sports and a Comparison with School
Abstract
1. Introduction
1.1. Network Structures: Theoretical Framework
1.2. Network Structures: Empirical Findings
1.3. Goals of the Present Study
- (1)
- How are friendship networks in integrative organized sports determined by exogenous factors, i.e., individual attributes (intellectual disability, athletic ability and language) and dyadic factors (gender homophily and similarity in athletic ability), while controlling for endogenous factors (network structures)? What role does the intellectual disability factor play, in particular?
- (2)
- Do differences exist regarding relevant factors in friendship networks in the two settings: integrative organized sports and integrative school? Does intellectual disability play a different role in friendship networks in integrative organized sports compared with integrative school?
2. Materials and Methods
2.1. Study Sample and Data Collection
2.2. Measures
2.3. Data Analysis
3. Results
3.1. Descriptive Results
3.2. Exogenous Factors in Friendship Networks in Integrative Organized Sports
3.3. Exogenous Factors in Friendship Networks in Integrative School and Comparison with Integrative Organized Sports
3.4. Moderator Analyses
4. Discussion
5. Conclusions
Author Contributions
Funding
Institutional Review Board Statement
Informed Consent Statement
Data Availability Statement
Acknowledgments
Conflicts of Interest
Appendix A
| No. of Estimated Parameters | Density | Reciprocity | Popularity | Activity | Transitivity | Two-Path | Gender Homophily |
|---|---|---|---|---|---|---|---|
| Sports groups | 24 | 24 | 21 | 19 | 22 | 18 | 6 |
| School classes | 24 | 24 | 23 | 23 | 22 | 23 | 24 |
| Sim. Athl. Abilities | Language Indegree | Language Outdegree | Ability Indegree | Ability Outdegree | ID1 Indegree | ID1 Outdegree | |
| Sports groups | 20 | 13 | 13 | 23 | 23 | 24 | 23 |
| School classes | 21 | 17 | 16 | 22 | 22 | 23 | 25 |

References
- Berkman, L.F.; Glass, T. Social integration, social networks, social support, and health. Soc. Epidemiol. 2000, 1, 137–173. [Google Scholar]
- Smith, K.P.; Christakis, N.A. Social Networks and Health. Annu. Rev. Sociol. 2008, 34, 405–429. [Google Scholar] [CrossRef]
- Heaney, C.A.; Israel, B.A. Social networks and social support. In Health Behavior and Health Education: Theory, Research, and Practice; Glanz, K., Rimer, B.K., Viswanath, K., Eds.; John Wiley & Sons: San Francisco, CA, USA, 2008; pp. 189–210. ISBN 0470432489. [Google Scholar]
- Friedman, C.; Rizzolo, M.C. Friendship, quality of life, and people with intellectual and developmental disabilities. J. Dev. Phys. Disabil. 2018, 30, 39–54. [Google Scholar] [CrossRef]
- Petrina, N.; Carter, M.; Stephenson, J. The nature of friendship in children with autism spectrum disorders: A systematic review. Res. Autism Spectr. Disord. 2014, 8, 111–126. [Google Scholar] [CrossRef]
- Kampert, A.L.; Goreczny, A.J. Community involvement and socialization among individuals with mental retardation. Res. Dev. Disabil. 2007, 28, 278–286. [Google Scholar] [CrossRef]
- Allerton, L.A.; Welch, V.; Emerson, E. Health inequalities experienced by children and young people with intellectual disabilities: A review of literature from the United Kingdom. J. Intellect. Disabil. 2011, 15, 269–278. [Google Scholar] [CrossRef] [PubMed]
- Emerson, E.; Madden, R.; Robertson, J.; Graham, H.; Hatton, C.; Llewellyn, G. Intellectual and Physical Disability, Social Mobility, Social Inclusion & Health; Working Paper; Lancaster University: Lancaster, UK, 2009. [Google Scholar]
- Hatton, C.; Emerson, E. Introduction: Health disparities, health inequity, and people with intellectual disabilities. In Health Disparities and Intellectual Disabilities; Hatton, C., Emerson, E., Eds.; Academic Press: Amsterdam, The Netherlands, 2015; pp. 1–9. ISBN 0128024844. [Google Scholar]
- Lippold, T.; Burns, J. Social support and intellectual disabilities: A comparison between social networks of adults with intellectual disability and those with physical disability. J. Intellect. Disabil. Res. 2009, 53, 463–473. [Google Scholar] [CrossRef] [PubMed]
- Van Asselt-Goverts, A.E.; Embregts, P.; Hendriks, A.H.; Wegman, K.M.; Teunisse, J.-P. Do social networks differ? Comparison of the social networks of people with intellectual disabilities, people with autism spectrum disorders and other people living in the community. J. Autism Dev. Disord. 2015, 45, 1191–1203. [Google Scholar] [CrossRef]
- Henke, T.; Bogda, K.; Lambrecht, J.; Bosse, S.; Koch, H.; Maaz, K.; Spörer, N. Will you be my friend? A multilevel network analysis of friendships of students with and without special educational needs backgrounds in inclusive classrooms. Z. Erzieh. 2017, 20, 449–474. [Google Scholar] [CrossRef]
- Koster, M.; Nakken, H.; Pijl, S.J.; van Houten, E. Being part of the peer group: A literature study focusing on the social dimension of inclusion in education. Int. J. Incl. Educ. 2009, 13, 117–140. [Google Scholar] [CrossRef]
- Garrote, A. Soziale Teilhabe von Kindern in inklusiven Klassen. Empir. Pädagogik 2016, 30, 67–80. [Google Scholar]
- Furrer, V.; Valkanover, S.; Eckhart, M.; Nagel, S. The Role of Teaching Strategies in Social Acceptance and Interactions; Considering Students with Intellectual Disabilities in Inclusive Physical Education. Front. Educ. 2020, 5. [Google Scholar] [CrossRef]
- Schwab, S. Einflussfaktoren auf die Einstellung von SchülerInnen gegenüber Peers mit unterschiedlichen Behinderungen. Z. Entwickl. Pädagogische Psychol. 2015, 47, 177–187. [Google Scholar] [CrossRef]
- Kissow, A.-M. Participation in physical activity and the everyday life of people with physical disabilities: A review of the literature. Scand. J. Disabil. Res. 2015, 17, 144–166. [Google Scholar] [CrossRef]
- Nagel, S.; Elmose-Østerlund, K.; Ibsen, B.; Scheerder, J. Conceptual Framework and Research Design. In Functions of Sports Clubs in European Societies; Nagel, S., Elmose-Østerlund, K., Ibsen, B., Scheerder, J., Eds.; Springer: Cham, Switzerland, 2020; pp. 9–33. [Google Scholar]
- Eime, R.M.; Young, J.A.; Harvey, J.T.; Charity, M.J.; Payne, W.R. A systematic review of the psychological and social benefits of participation in sport for children and adolescents: Informing development of a conceptual model of health through sport. Int. J. Behav. Nutr. Phys. Act. 2013, 10, 98. [Google Scholar] [CrossRef] [PubMed]
- Fediuk, F. Sport in Heterogenen Gruppen: Integrative Prozesse in Sportgruppen Mit Behinderten und Benachteiligten Menschen; Meyer & Meyer: Aachen, Germany, 2008; ISBN 9783898991933. [Google Scholar]
- Meier, H.; Riedl, L.; Kukuk, M. Soziologische Herausforderungen durch Migration, Inklusion und Integration im Sport. Migration, Inklusion und Integration: Soziologische Beobachtungen des Sports; Meier, H., Riedl, L., Kukuk, M., Eds.; Schneider Hohengehren: Baltmannsweiler, Germany, 2016; pp. 1–15. ISBN 3834016284. [Google Scholar]
- Meier, H.; Seitz, S.; Adolph-Börs, C. Der Inklusive Sportverein: Wie Inklusive Vereinsentwicklung Gelingen Kann; Meyer et Meyer: Aachen, Germany, 2017; ISBN 9783840375613. [Google Scholar]
- Seitz, S.; Meier, H.; Adolph-Börs, C. Entscheidend ist wer mitbestimmt—Potenziale für Inklusion im Sportverein. ZfI 2016, 3. Available online: https://www.inklusion-online.net/index.php/inklusion-online/article/view/385 (accessed on 11 March 2021).
- Coalter, F. A Wider Social Role for Sport: Who’s Keeping the Score? Routledge: Oxfordshire, UK, 2007; ISBN ISBN1134227124. [Google Scholar]
- Geidne, S.; Jerlinder, K. How sports clubs include children and adolescents with disabilities in their activities. A systematic search of peer-reviewed articles. Sport Sci. Rev. 2016, 25, 29–52. [Google Scholar] [CrossRef]
- Radtke, S. Inklusion im außerschulischen Sport: Eine Bestandsaufnahme der Maßnahmen im organisierten Sport sowie des Forschungsstands neun Jahre nach der Ratifizierung der UN-BRK in Deutschland. lsb 2018, 59, 160–194. [Google Scholar]
- Woodgate, R.L.; Gonzalez, M.; Demczuk, L.; Snow, W.M.; Barriage, S.; Kirk, S. How do peers promote social inclusion of children with disabilities? A mixed-methods systematic review. Disabil. Rehabil. 2020, 42, 2553–2579. [Google Scholar] [CrossRef] [PubMed]
- Devine, M.A.; O’Brien, M.B. The Mixed Bag of Inclusion: An Examination of an Inclusive Camp Using Contact Theory. TRJ 2007, 41, 201–222. [Google Scholar]
- Hassan, D.; Dowling, S.; McConkey, R.; Menke, S. The inclusion of people with intellectual disabilities in team sports: Lessons from the Youth Unified Sports programme of Special Olympics. Sport Soc. 2012, 15, 1275–1290. [Google Scholar] [CrossRef]
- Lyons, S.; Corneille, D.; Coker, P. A miracle in the outfield: The benefits of participation in organized baseball leagues for children with mental and physical disabilities. Ther. Recreat. J. 2009, 43, 41. [Google Scholar]
- Markowetz, R. Soziale Integration behinderter Kinder und Jugendlicher in Sportvereine-Erfahrungen und Schlussfolgerungen aus dem Modellprojekt PFIFF. In Inklusion Als Bewegungspädagogische Aufgabe: Menschen Mit und Ohne Behinderungen Gemeinsam im Sport; Fediuk, F., Ed.; Schneider Hohengehren: Baltmannsweiler, Germany, 2008; pp. 183–208. ISBN 978-3-8340-0422-2. [Google Scholar]
- Siperstein, G.N.; Glick, G.C.; Parker, R.C. Social inclusion of children with intellectual disabilities in a recreational setting. Intellect. Dev. Disabil. 2009, 47, 97–107. [Google Scholar] [CrossRef]
- Pochstein, F. Europaweite Evaluation des Unified Sports® Programms die deutsche Perspektive. In Inklusion und Empowerment. Wirkungen sportlicher Aktivität für Menschen mit geistiger Behinderung; Miles, D., Meseck, U., Eds.; Thieme: Grasleben, Germany, 2011; Volume 4, pp. 53–62. [Google Scholar]
- Schliermann, R. Teilhabe am Fußballsport von Kindern und Jugendlichen mit kognitiven Beeinträchtigungen am Beispiel „Einfach Fußball “—Evaluation struktureller Rahmenbedingungen und Teilnehmerzufriedenheit. In Inklusion Durch Sport: Forschung für Menschen Mit Behinderungen//Inklusion Durch Sport—Forschung für Menschen Mit Behinderungen; Anneken, V., Ed.; Sportverl. Strauß: Köln, Germany, 2013; pp. 65–82. ISBN 3868841814. [Google Scholar]
- Klenk, C.; Albrecht, J.; Nagel, S. Social participation of people with disabilities in organized community sport. Ger. J. Exerc. Sport Res. 2019, 49, 365–380. [Google Scholar] [CrossRef]
- Robins, G.; Lusher, D. What Are Exponential Random Graph Models? In Exponential Random Graph Models for Social Networks: Theory, Methods, and Applications; Lusher, D., Koskinen, J., Robins, G., Eds.; Cambridge University Press: New York, NY, USA, 2013; pp. 9–15. ISBN 9780521193566. [Google Scholar]
- Wasserman, S.; Faust, K. Social Network Analysis: Methods and Applications, 6th ed.; Cambridge University Press: New York, NY, USA, 2019; ISBN 9780521387071. [Google Scholar]
- Block, P. Reciprocity, transitivity, and the mysterious three-cycle. Soc. Netw. 2015, 40, 163–173. [Google Scholar] [CrossRef]
- Robins, G. Exponential Random Graph Models for Social Networks. In Social Network Analysis: A Handbook of; Scott, J., Carrington, P.J., Eds.; SAGE: London, UK, 2011; pp. 484–500. ISBN 9781847873958. [Google Scholar]
- Simmel, G.; Wolff, K.H. The Sociology of Georg Simmel, Paperback ed.; Free Press: New York, NY, USA, 1964; ISBN 9780029289204. [Google Scholar]
- Newcomb, T.M. The prediction of interpersonal attraction. Am. Psychol. 1956, 11, 575–586. [Google Scholar] [CrossRef]
- Molm, L.D. The Structure of Reciprocity. Soc. Psychol. Q 2010, 73, 119–131. [Google Scholar] [CrossRef]
- Krackhardt, D. The Strength of Strong Ties: The Importance of Philos in Organizations. In Networks in the Knowledge Economy; Sasson, L., Cross, R.L., Parker, A., Eds.; Oxford University Press: Oxford, UK, 2003; ISBN 9780195159509. [Google Scholar]
- Snijders, T.A.; Van de Bunt, G.G.; Steglich, C.E. Introduction to stochastic actor-based models for network dynamics. Soc. Netw. 2010, 32, 44–60. [Google Scholar] [CrossRef]
- McPherson, M.; Smith-Lovin, L.; Cook, J.M. Birds of a Feather: Homophily in Social Networks. Annu. Rev. Sociol. 2001, 27, 415–444. [Google Scholar] [CrossRef]
- Curry, O.; Dunbar, R.I.M. Do birds of a feather flock together? The relationship between similarity and altruism in social networks. Hum. Nat. 2013, 24, 336–347. [Google Scholar] [CrossRef]
- Kossinets, G.; Watts, D.J. Origins of Homophily in an Evolving Social Network. Am. J. Sociol. 2009, 115, 405–450. [Google Scholar] [CrossRef]
- Fujimoto, K.; Snijders, T.A.B.; Valente, T.W. Multivariate dynamics of one-mode and two-mode networks: Explaining similarity in sports participation among friends. Net. Sci. 2018, 6, 370–395. [Google Scholar] [CrossRef]
- Maccoby, E.E. Gender as a social category. Dev. Psychol. 1988, 24, 755–765. [Google Scholar] [CrossRef]
- Stehlé, J.; Charbonnier, F.; Picard, T.; Cattuto, C.; Barrat, A. Gender homophily from spatial behavior in a primary school: A sociometric study. Soc. Netw. 2013, 35, 604–613. [Google Scholar] [CrossRef]
- McCormick, M.P.; Cappella, E.; Hughes, D.L.; Gallagher, E.K. Feasible, rigorous, and relevant: Validation of a measure of friendship homophily for diverse classrooms. J. Early Adolesc. 2015, 35, 817–851. [Google Scholar] [CrossRef]
- Bergesen, D.H.; Seippel, Ø. Social networks and gender in organized youth sports. Eur. J. Sport Soc. 2019, 16, 323–341. [Google Scholar] [CrossRef]
- Lusher, D.; Robins, G.; Kremer, P. The Application of Social Network Analysis to Team Sports. Meas. Phys. Educ. Exerc. Sci. 2010, 14, 211–224. [Google Scholar] [CrossRef]
- Warner, S.; Bowers, M.T.; Dixon, M.A. Team dynamics: A social network perspective. J. Sport Manag. 2012, 26, 53–66. [Google Scholar] [CrossRef]
- De Bruyn, E.H.; Cillessen, A.H.N. Popularity in Early Adolescence: Prosocial and Antisocial Subtypes. J. Adolesc. Res. 2006, 21, 607–627. [Google Scholar] [CrossRef]
- Dijkstra, J.K.; Lindenberg, S.; Verhulst, F.C.; Ormel, J.; Veenstra, R. The relation between popularity and aggressive, destructive, and norm-breaking behaviors: Moderating effects of athletic abilities, physical attractiveness, and prosociality. J. Res. Adolesc. 2009, 19, 401–413. [Google Scholar] [CrossRef]
- LaFontana, K.M.; Cillessen, A.H.N. Children’s perceptions of popular and unpopular peers: A multimethod assessment. Dev. Psychol. 2002, 38, 635–647. [Google Scholar] [CrossRef] [PubMed]
- Eckhart, M. Anerkennung und Ablehnung in Schulklassen: Einstellungen und Beziehungen von Schweizer Kindern und Immigrantenkindern; Haupt: Bern, Switzerland, 2005; ISBN 3258068380. [Google Scholar]
- Esser, H. Migration, Sprache und Integration; Wissenschaftszentrum Berlin für Sozialforschung: Berlin, Germany, 2006; Available online: https://nbn-resolving.org/urn:nbn:de:0168-ssoar-11349 (accessed on 15 March 2021).
- Gareis, E.; Merkin, R.; Goldman, J. Intercultural friendship: Linking communication variables and friendship success. J. Intercult. Commun. Res. 2011, 40, 153–171. [Google Scholar] [CrossRef]
- Esser, H. Pluralisierung oder Assimilation?/Pluralization or Assimilation? Z. Soziol. 2009, 38. [Google Scholar] [CrossRef]
- Esser, H. Integration und Ethnische Schichtung; Working Paper Nr. 40; Mannheimer Zentrum für Europäische Sozialforschung: Mannheim, Germany, 2001; p. 4. Available online: http://www.mzes.uni-mannheim.de/publications/wp/wp-40.pdf (accessed on 15 March 2021).
- Cavicchiolo, E.; Manganelli, S.; Bianchi, D.; Biasi, V.; Lucidi, F.; Girelli, L.; Cozzolino, M.; Alivernini, F. Social inclusion of immigrant children at school: The impact of group, family and individual characteristics, and the role of proficiency in the national language. Int. J. Incl. Educ. 2020, 1–21. [Google Scholar] [CrossRef]
- Mutz, M. Sprachliche Assimilation als Voraussetzung für die soziale Partizipation in Sportvereinen. In Jugend, Migration und Sport; Burrmann, U., Mutz, M., Eds.; Springer Fachmedien Wiesbaden: Wiesbaden, Germany, 2015; pp. 149–166. ISBN 978-3-658-06396-2. [Google Scholar]
- Adler Zwahlen, J.; Nagel, S.; Schlesinger, T. Zur Bedeutung soziodemografischer, sportbezogener und soziokultureller Merkmale für die soziale Integration junger Migranten in Schweizer Sportvereinen. Sport und Gesellschaft 2019, 16, 125–154. [Google Scholar] [CrossRef]
- Nagel, S.; Elmose-Østerlund, K.; Adler Zwahlen, J.; Schlesinger, T. Social Integration of People with a Migration Background in European Sports Clubs. Sociol. Sport J. 2020, 37, 355–365. [Google Scholar] [CrossRef]
- Adler Zwahlen, J.; Nagel, S.; Schlesinger, T. Analyzing social integration of young immigrants in sports clubs. Eur. J. Sport Soc. 2018, 15, 22–42. [Google Scholar] [CrossRef]
- Koopmans, R. Does assimilation work? Sociocultural determinants of labour market participation of European Muslims. J. Ethn. Migr. Stud. 2016, 42, 197–216. [Google Scholar] [CrossRef]
- Esser, H. Does the “New” Immigration Require a “New” Theory of Intergenerational Integration? 1. Int. Migr. Rev. 2004, 38, 1126–1159. [Google Scholar] [CrossRef]
- Borgatti, S.P.; Mehra, A.; Brass, D.J.; Labianca, G. Network analysis in the social sciences. Science 2009, 323, 892–895. [Google Scholar] [CrossRef]
- Wäsche, H.; Dickson, G.; Woll, A.; Brandes, U. Social network analysis in sport research: An emerging paradigm. Eur. J. Sport Soc. 2017, 14, 138–165. [Google Scholar] [CrossRef]
- Gommans, R.; Cillessen, A.H.N. Nominating under constraints: A systematic comparison of unlimited and limited peer nomination methodologies in elementary school. Int. J. Behav. Dev. 2015, 39, 77–86. [Google Scholar] [CrossRef]
- Cillessen, A.H.N.; Marks, P.E.L. Methodological choices in peer nomination research. New Dir. Child Adolesc. Dev. 2017, 2017, 21–44. [Google Scholar] [CrossRef]
- Krüger, H.-P. Soziometrie in der Schule: Verfahren und Ergebnisse zu sozialen Determinanten der Schülerpersönlichkeit; Beltz: Weinheim, Germany, 1976; ISBN 3407511094. [Google Scholar]
- Hunter, D.R.; Handcock, M.S.; Butts, C.T.; Goodreau, S.M.; Morris, M. Ergm: A package to fit, simulate and diagnose exponential-family models for networks. J. Stat. Softw. 2008, 24, nihpa54860. [Google Scholar] [CrossRef]
- Robins, G.; Lusher, D. Simplified Account of an Exponential Random Graph Model. In Exponential Random Graph Models for Social Networks: Theory, Methods, and Applications; Lusher, D., Koskinen, J., Robins, G., Eds.; Cambridge University Press: New York, NY, USA, 2013; pp. 29–36. ISBN 9780521193566. [Google Scholar]
- Robins, G.; Lusher, D. Illustrations: Simulation, Estimation, and Goodness of Fit. In Exponential Random Graph Models for Social Networks: Theory, Methods, and Applications; Lusher, D., Koskinen, J., Robins, G., Eds.; Cambridge University Press: New York, NY, USA, 2013; pp. 167–186. ISBN 9780521193566. [Google Scholar]
- An, W. Multilevel meta network analysis with application to studying network dynamics of network interventions. Soc. Netw. 2015, 43, 48–56. [Google Scholar] [CrossRef]
- Viechtbauer, W. Conducting Meta-Analyses in R with the metafor Package. J. Stat. Soft. 2010, 36, 1–48. [Google Scholar] [CrossRef]
- Newcombe, R.G. A deficiency of the odds ratio as a measure of effect size. Stat. Med. 2006, 25, 4235–4240. [Google Scholar] [CrossRef] [PubMed]
- McConkey, R.; Dowling, S.; Hassan, D.; Menke, S. Promoting social inclusion through Unified Sports for youth with intellectual disabilities: A five-nation study. J. Intellect. Disabil. Res. 2013, 57, 923–935. [Google Scholar] [CrossRef]
- Schmidt, R. Sport als Inklusionsmotor. Inklusion Durch Sport. Forschung für Menschen mit Behinderungen (Wissenschaftliche Schriftenreihe des Forschungsinstituts für Inklusion Durch Bewegung und Sport 2); Anneken, V., Ed.; Sportverlag Strauß: Köln, Germany, 2013; pp. 25–34. [Google Scholar]
- Schmidt, R. Warum eigentlich Behindertensport. In Sport Im Spiegel der UN-Behindertenrechtskonvention: Interdisziplinäre Zugänge und Politische Positionen; Kiuppis, F., Kurzke-Maasmeier, S., Eds.; Kohlhammer: Stuttgart, Germany, 2012; pp. 259–272. [Google Scholar]
- Moran, M.M.; Weiss, M.R. Peer Leadership in Sport: Links with Friendship, Peer Acceptance, Psychological Characteristics, and Athletic Ability. J. Appl. Sport Psychol. 2006, 18, 97–113. [Google Scholar] [CrossRef]
- Tajfel, H.; Turner, J.C. The social identity theory of inter-group behavior. In Psychology of Intergroup Relations, 2nd ed.; Austin, W.G., Worchel, S., Eds.; Burnham Incorporated Pub; Nelson-Hall Publishers: Chicago, IL, USA, 1986; pp. 7–24. ISBN 0830410759. [Google Scholar]
- Lomi, A.; Snijders, T.A.B.; Steglich, C.E.G.; Torlo, V.J. Why Are Some More Peer Than Others? Evidence from a Longitudinal Study of Social Networks and Individual Academic Performance. Soc. Sci. Res. 2011, 40, 1506–1520. [Google Scholar] [CrossRef] [PubMed]
- Shin, H.; Ryan, A.M. Friendship networks and achievement goals: An examination of selection and influence processes and variations by gender. J. Youth Adolesc. 2014, 43, 1453–1464. [Google Scholar] [CrossRef] [PubMed]
- Kindermann, T.A. Can we make causal inferences about the influence of children’s naturally existing social networks on their school motivation. In Modeling Dyadic and Interdependent Data in the Developmental and Behavioral Sciences, 1st ed.; Card, N.A., Selig, J.P., Little, T., Eds.; Routledge: London, UK, 2011; ISBN 9780203892763. [Google Scholar]
- Parsons, T. The school class as a social system: Some of its functions in American society. Harv. Educ. Rev. 1959, 129, 297–318. [Google Scholar]
- Scherr, A. Jugendsoziologie: Einführung in Grundlagen und Theorien, 9; VS Verlag für Sozialwissenschaften: Wiesbaden, Germany, 2009; ISBN 9783531164809. [Google Scholar]
- Hehir, T. Confronting ableism. Educ. Leadersh. 2007, 64, 8–14. [Google Scholar]
- Coakley, J.J. Sports in Society: Issues and Controversies, 10th ed.; McGraw-Hill: New York, NY, USA, 2009; ISBN 0071285288. [Google Scholar]
- Stichweh, R. Sport-differentiation, function, code. Sportwissenschaft 1990, 20, 373–389. [Google Scholar]
- Frey, J.H.; Eitzen, D.S. Sport and society. Annu. Rev. Sociol. 1991, 17, 503–522. [Google Scholar] [CrossRef]
- Bouttet, F. Inclusion as a norm. Multi−Scalar influences on the recognition of people with disabilities in French national sports organizations. Loisir Soc. Soc. Leis. 2016, 39, 274–289. [Google Scholar] [CrossRef]
- Elling, A.; de Knop, P.; Knoppers, A. The social integrative meaning of sport: A critical and comparative analysis of policy and practice in the Netherlands. Sociol. Sport J. 2001, 18, 414–434. [Google Scholar] [CrossRef]
- Harada, C.M.; Siperstein, G.N.; Parker, R.C.; Lenox, D. Promoting social inclusion for people with intellectual disabilities through sport: Special Olympics International, global sport initiatives and strategies. Sport Soc. 2011, 14, 1131–1148. [Google Scholar] [CrossRef]
- Solish, A.; Perry, A.; Minnes, P. Participation of Children with and without Disabilities in Social, Recreational and Leisure Activities. J. Appl. Res. Intellect. Disabil. 2010, 23, 226–236. [Google Scholar] [CrossRef]
- Litschke, P. Inklusion durch Sport: Zur Teilhabe von Menschen mit Behinderungen im Breitensport; Comment; Deutsches Institut für Menschenrechte: Berlin, Germany, 2017; Volume 12, pp. 1–4. Available online: https://nbn-resolving.org/urn:nbn:de:0168-ssoar-55644-2 (accessed on 23 March 2021).
- Si, Q.; Wang, L.; Liu, H.; Loprinzi, P.D.; Cardinal, B.J. A systematic review of physical activity among people with disabilities in mainland China: From 1992 to 2013. Int. J. Sports Phys. Educ. 2017, 3, 17–25. [Google Scholar]
- Ullenhag, A.; Bult, M.K.; Nyquist, A.; Ketelaar, M.; Jahnsen, R.; Krumlinde-Sundholm, L.; Almqvist, L.; Granlund, M. An international comparison of patterns of participation in leisure activities for children with and without disabilities in Sweden, Norway and the Netherlands. Dev. Neurorehabilit. 2012, 15, 369–385. [Google Scholar] [CrossRef]
- Darcy, S.; Taylor, T.; Murphy, A.; Lock, D.J. Getting Involved in Sport: The Participation and Non-Participation of People with Disability in Sport and Active Recreation; Australian Sports Commission: Sydney, Australia, 2010; ISBN 978174013114. [Google Scholar]
- Bailey, R.; Cope, E.J.; Pearce, G. Why do children take part in, and remain involved in sport? A literature review and discussion of implications for sports coaches. Int. J. Coach. Sci. 2013, 7, 56–75. [Google Scholar]
- Soares, J.; Antunnes, H.; van den Tillaar, R. A comparison between boys and girls about the motives for the participation in school sport. J. Phys. Educ. Sport 2013, 13, 303–307. [Google Scholar]
- Crane, J.; Temple, V. A systematic review of dropout from organized sport among children and youth. Eur. Phys. Educ. Rev. 2015, 21, 114–131. [Google Scholar] [CrossRef]
- Harada, C.M.; Siperstein, G.N. The sport experience of athletes with intellectual disabilities: A national survey of Special Olympics athletes and their families. Adapt. Phys. Act. Q. 2009, 26, 68–85. [Google Scholar] [CrossRef]
- Schmitz, J.; Burrmann, U. Zur Bedeutung von Peerbeziehungen in der Schulklasse für das Wohlbefinden und die Partizipation im Sportunterricht. Sportunterricht 2020, 69, 244–249. [Google Scholar]
- Darcy, S.; Dowse, L. In search of a level playing field—The constraints and benefits of sport participation for people with intellectual disability. Disabil. Soc. 2013, 28, 393–407. [Google Scholar] [CrossRef]


| Organized Sports | School | |||
|---|---|---|---|---|
| Children without ID 1 | Children with ID 1 | Children without ID 1 | Children with ID 1 | |
| n | 306 | 25 | 416 | 25 |
| Age (M, SD) | 11.31 (2.24) | 12.27 (1.31) 3 | 11.31 (1.06) | 11.85 (0.95) |
| Gender (% girls) | 88 (28.8%) | 9 (36%) | 209 (50.2%) | 9 (36%) |
| Language (% CHger/GER 2) | 256 (83.7%) | 16 (64%) | 334 (80.3%) | 16 (64%) |
| Model Parameter | Description | Visualization |
|---|---|---|
| Density | Density indicates the general probability of the presence of a friendship nomination in a network. A coefficient of zero means that exactly half of all possible nominations are sent; that density is 0.5. The density coefficient is comparable to the intercept in a regression analysis. | ![]() |
| Reciprocity | Reciprocity indicates the probability that a sent friendship nomination is reciprocated. A positive coefficient means that the probability of a nomination from child j to i increases given that a nomination from child i to j exists. | ![]() |
| Popularity | Popularity is a measure of indegrees. A positive coefficient indicates that there are children in the network that are more popular than the others, i.e., some children receive more friendship nominations. | ![]() |
| Activity | Activity is a measure of outdegrees. A positive coefficient indicates that there are children in the network that are more active than the others, i.e., some children send more friendship nominations. | ![]() |
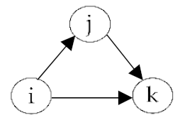
| Transitivity | Transitivity indicates the probability that we observe the structure “a friend’s friend is also my friend”, i.e., the probability of an existing friendship nomination from child i to k given that child k is a friend of j and child j a friend of i. | ![]() |
| Two-Path | Two-path is used as a control structure to correctly estimate the effect of transitivity. | ![]() |
| Organized Sports | School | |||
|---|---|---|---|---|
| Children without ID 1 | Children with ID 1 | Children without ID 1 | Children with ID 1 | |
| n | 306 | 25 | 416 | 25 |
| Athletic ability 0–2 (M, SD) | 1.16 (0.64) | 0.52 (0.51) | 1.20 (0.63) | 0.75 (0.68) |
| Indegrees (M, SD) | 4.65 (2.78) | 4.44 (2.81) | 5.95 (2.68) | 3.32 (2.58) |
| Outdegrees (M, SD) | 4.66 (2.69) | 4.36 (2.5) | 5.85 (2.21) | 5.00 (2.27) |
| Density (M, SD) | 0.36 (0.13) | 0.33 (0.06) | ||
| Reciprocity (M, SD) | 0.64 (0.10) | 0.69 (0.12) | ||
| Group size | 13.79 (3.44) | 18.38 (3.06) | ||
| Effect | OSM 1 | OSM 2 | OSM 3 | OSM 4 | (Full) OSM 5 | OR OSM 5 |
|---|---|---|---|---|---|---|
| Density | −2.59 *** | −2.50 *** | −2.27 *** | −2.53 *** | −2.57 *** | |
| Reciprocity | 1.87 *** | 1.87 *** | 1.81 *** | 1.96 *** | 1.84 *** | |
| Popularity | 0.19 *** | 0.15 *** | 0.17 *** | 0.17 *** | 0.13 *** | |
| Activity | 0.17 *** | 0.15 *** | 0.16 *** | 0.17 *** | 0.14 *** | |
| Transitivity | 0.70 *** | 0.76 *** | 0.67 *** | 0.72 *** | 0.68 *** | |
| Two-Path | −0.14 *** | −0.14 *** | −0.16 *** | −0.16 *** | −0.16 *** | |
| Gender Homophily | 0.21 (0.14) | 0.27 (0.2) | 0.26 (0.15) + | 0.19 (0.14) | 0.26 (0.15) + | 1.30 |
| Sim. Athletic Ability | −0.01 (0.06) | −0.03 (0.07) | 0.97 | |||
| Language (indegree) | −0.01 (0.13) | −0.10 (0.18) | 0.91 | |||
| Language (outdegree) | 0.01 (0.14) | −0.01 (0.15) | 0.99 | |||
| Athletic Ability (in.) | 0.15 (0.05) ** | 0.20 (0.06) ** | 1.22 | |||
| Athletic Ability (out.) | 0.07 (0.06) | 0.12 (0.06) * | 1.13 | |||
| Int. Disability (in.) | 0.05 (0.14) | 0.18 (0.19) | 1.20 | |||
| Int. Disability (out.) | 0.04 (0.13) | 0.09 (0.16) | 1.09 |
| Effect | SCM 1 | SCM 2 | SCM 3 | SCM 4 | (Full) SCM 5 | OR SCM 5 |
|---|---|---|---|---|---|---|
| Density | −3.78 *** | −3.84 *** | −4.09 *** | −3.66 *** | −3.80 *** | |
| Reciprocity | 2.03 *** | 2.01 *** | 1.89 *** | 2.04 *** | 2.03 *** | |
| Popularity | 0.22 *** | 0.21 *** | 0.1 *** | 0.20 *** | 0.17 *** | |
| Activity | 0.09 *** | 0.08 ** | 0.09 ** | 0.08 ** | 0.06 * | |
| Transitivity | 0.62 *** | 0.63 *** | 0.60 *** | 0.60 *** | 0.53 *** | |
| Two-Path | −0.10 *** | −0.09 *** | −0.11 *** | −0.10 *** | −0.10 *** | |
| Gender Homophily | 1.66 (0.14) ** | 1.83 (0.16) *** | 1.78 (0.16) *** | 1.70 (0.14) *** | 1.80 (0.15) *** | 6.05 |
| Sim. Athletic Ability | −0.09 (0.04) * | −0.08 (0.05) | 0.93 | |||
| Language (indegree) | −0.29 (0.1) ** | −0.21 (0.09) * | 0.81 | |||
| Language (outdegree) | −0.02 (0.1) | 0.03 (0.11) | 1.03 | |||
| Athletic Ability (in.) | 0.26 (0.05) *** | 0.23 (0.05) *** | 1.26 | |||
| Athletic Ability (out.) | 0.10 (0.06) + | 0.11 (0.07) | 1.11 | |||
| Int. Disability. (in.) | −0.48 (0.17) ** | −0.41 (0.21) * | 0.66 | |||
| Int. Disability (out.) | −0.03 (0.14) | −0.11 (0.15) | 0.90 |
| Effect | Organized Sports | School | p-Value |
|---|---|---|---|
| Int. Disability (in.) | 0.17 | −0.39 | 0.05 |
| Int. Disability (out.) | 0.09 | −0.11 | 0.37 |
Publisher’s Note: MDPI stays neutral with regard to jurisdictional claims in published maps and institutional affiliations. |
© 2021 by the authors. Licensee MDPI, Basel, Switzerland. This article is an open access article distributed under the terms and conditions of the Creative Commons Attribution (CC BY) license (https://creativecommons.org/licenses/by/4.0/).
Share and Cite
Steiger, A.; Mumenthaler, F.; Nagel, S. Friendships in Integrative Settings: Network Analyses in Organized Sports and a Comparison with School. Int. J. Environ. Res. Public Health 2021, 18, 6603. https://doi.org/10.3390/ijerph18126603
Steiger A, Mumenthaler F, Nagel S. Friendships in Integrative Settings: Network Analyses in Organized Sports and a Comparison with School. International Journal of Environmental Research and Public Health. 2021; 18(12):6603. https://doi.org/10.3390/ijerph18126603
Chicago/Turabian StyleSteiger, Alexander, Fabian Mumenthaler, and Siegfried Nagel. 2021. "Friendships in Integrative Settings: Network Analyses in Organized Sports and a Comparison with School" International Journal of Environmental Research and Public Health 18, no. 12: 6603. https://doi.org/10.3390/ijerph18126603
APA StyleSteiger, A., Mumenthaler, F., & Nagel, S. (2021). Friendships in Integrative Settings: Network Analyses in Organized Sports and a Comparison with School. International Journal of Environmental Research and Public Health, 18(12), 6603. https://doi.org/10.3390/ijerph18126603







