Water Level Decline in a Reservoir: Implications for Water Quality Variation and Pollution Source Identification
Abstract
1. Introduction
2. Materials and Methods
2.1. Dynamic Monitoring Program of Water Quality in Biliuhe Reservoir
2.2. Data Processing and Analysis
2.2.1. Equalization Method
2.2.2. Correlation Analysis Method
2.2.3. Wavelet Analysis
2.2.4. PCA-MLR Analysis Method
3. Results and Discussion
3.1. The Periodicity of Water Level in Biliuhe Reservoir
3.2. Dynamic Changes of Hydrological Factors with Continuous Decline of Water Level
3.3. Dynamic Changes of Water Quality Indexes under Continuous Decline of Water Level
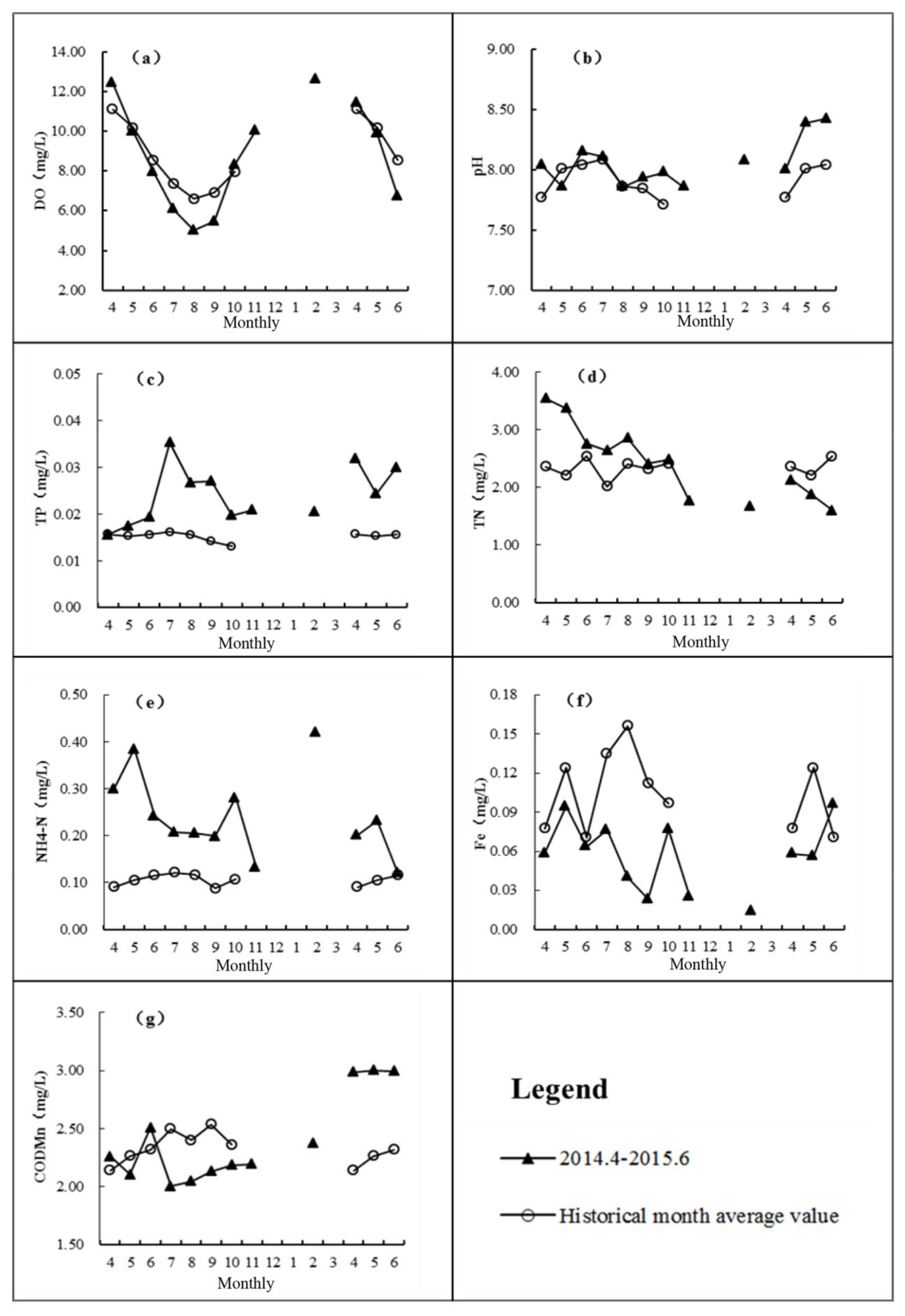
3.3.1. Dissolved Oxygen (DO)
3.3.2. pH
3.3.3. Total Phosphorus (TP)
3.3.4. Total Nitrogen (TN)
3.3.5. Ammonia Nitrogen (NH4-N)
3.3.6. Iron (Fe)
3.3.7. Permanganate Index (CODMn)
3.4. Correlation Analysis of Hydrology and Water Quality Elements with Continuous Decline of Water Level
3.5. Identification of Pollution Source in Reservoir with Continuous Decline of Water Level
4. Conclusions
Author Contributions
Funding
Acknowledgments
Conflicts of Interest
Appendix A
| Indicators | Level | ||||
|---|---|---|---|---|---|
| 1 | 2 | 3 | 4 | 5 | |
| PH | 6–9 | <6 or > 9 | |||
| DO≤ | 7.5 | 6 | 5 | 3 | 2 |
| COD≤ | 15 | 15 | 20 | 30 | 40 |
| NH4-N | 0.15 | 0.5 | 1 | 1.5 | 2 |
| TP≤ | 0.02 | 0.1 | 0.2 | 0.3 | 0.4 |
| TN≤ | 0.2 | 0.05 | 1 | 1.5 | 2 |
| Fe | ≤0.3 | >0.3 | |||
References
- Yi, Y.; Yang, Z.; Zhang, S. Ecological risk assessment of heavy metals in sediment and human health risk assessment of heavy metals in fishes in the middle and lower reaches of the Yangtze River basin. Environ. Pollut. 2011, 159, 2575–2585. [Google Scholar] [CrossRef] [PubMed]
- McCartney, M. Living with dams: Managing the environmental impacts. Water Policy 2009, 11, 121–139. [Google Scholar] [CrossRef]
- Yu, S.; Shang, J.; Zhao, J.; Guo, H. Factor analysis and dynamics of water quality of the Songhua River, Northeast China. Water Air Soil Pollut. 2003, 144, 159–169. [Google Scholar] [CrossRef]
- Nazari-Sharabian, M.; Ahmad, S.; Karakouzian, M. Climate change and eutrophication: A short review. Eng. Technol. Appl. Sci. Res. 2018, 8, 3668–3672. [Google Scholar]
- Nazari-Sharabian, M.; Taheriyoun, M.; Ahmad, S.; Karakouzian, M.; Ahmadi, A. Water Quality Modeling of Mahabad Dam Watershed–Reservoir System under Climate Change Conditions, Using SWAT and System Dynamics. Water 2019, 11, 394. [Google Scholar] [CrossRef]
- Sheng, H.Y.; Wu, Z.X.; Liu, M.L.; He, J.B.; Yu, Z.M.; Han, T.C.; Zhang, Y.L. Water quality trends in recent 10 years and correlation with hydro-meteorological factors in Xin’anjiang Reservoir. Acta Scientiae Circumstantiae 2015, 35, 118–127. (In Chinese) [Google Scholar]
- Beaver, J.R.; Jensen, D.E.; Casamatta, D.A.; Tausz, C.E.; Scotese, K.C.; Buccier, K.M.; Teacher, C.E.; Rosati, T.C.; Minerovic, A.D.; Renicker, T.R. Response of phytoplankton and zooplankton communities in six reservoirs of the middle Missouri River (USA) to drought conditions and a major flood event. Hydrobiologia 2013, 705, 173–189. [Google Scholar] [CrossRef]
- Me, W.; Hamilton, D.P.; McBride, C.G.; Abell, J.M.; Hicks, B.J. Modelling hydrology and water quality in a mixed land use catchment and eutrophic lake: Effects of nutrient load reductions and climate change. Environ. Model. Softw. 2018, 109, 114–133. [Google Scholar] [CrossRef]
- Ma, W.X.; Huang, T.L.; Li, X.; Zhang, H.D.; Ju, T. Impact of short-term climate variation and hydrology change on thermal structure and water quality of a canyon-shaped, stratified reservoir. Environ. Sci. Pollut. Res. 2015, 22, 18372–18380. [Google Scholar] [CrossRef]
- Garnier, J.; Ramarson, A.; Billen, G.; Thiéry, D.; Thieu, V.; Minaudo, C.; Moatar, F. Nutrient inputs and hydrology together determine biogeochemical status of the Loire River (France): Current situation and possible future scenarios. Sci. Total Environ. 2018, 637, 609–624. [Google Scholar]
- Rolls, R.J.; Leigh, C.; Sheldon, F. Mechanistic effects of low-flow hydrology on riverine ecosystems: Ecological principles and consequences of alteration. Freshw. Sci. 2012, 31, 1163–1186. [Google Scholar] [CrossRef]
- Bowling, L.C.; Merrick, C.; Swann, J.; Green, D.; Smith, G.; Neilan, B.A. Effects of hydrology and river management on the distribution, abundance and persistence of cyanobacterial blooms in the Murray River, Australia. Harmful Algae 2013, 30, 27–36. [Google Scholar] [CrossRef]
- Huang, T.; Li, X.; Rijnaarts, H.; Grotenhuis, T.; Ma, W.; Sun, X.; Xu, J. Effects of storm runoff on the thermal regime and water quality of a deep, stratified reservoir in a temperate monsoon zone, in Northwest China. Sci. Total Environ. 2014, 485, 820–827. [Google Scholar] [CrossRef] [PubMed]
- Ciszewski, D. Flood-related changes in heavy metal concentrations within sediments of the Biala Przemsza River. Geomorphology 2001, 40, 205–218. [Google Scholar] [CrossRef]
- Nazari–Sharabian, M.; Taheriyoun, M.; Karakouzian, M. Surface runoff and pollutant load response to urbanization, climate variability, and low impact developments–a case study. Water Supply 2019, 19, 2410–2421. [Google Scholar] [CrossRef]
- Wang, Z.; Yang, Y.; Zheng, Y. The ambition of Dahuofang Reservoir; China Water & Power Press: Beijing, China, 2006. [Google Scholar]
- Bouvy, M.; Nascimento, S.M.; Molica, R.J.; Ferreira, A.; Huszar, V.; Azevedo, S.M. Limnological features in Tapacurá reservoir (northeast Brazil) during a severe drought. Hydrobiologia 2003, 493, 115–130. [Google Scholar] [CrossRef]
- Shankman, D.; Keim, B.D.; Song, J. Flood frequency in China’s Poyang Lake region: Trends and teleconnections. Int. J. Climatol. 2006, 26, 1255–1266. [Google Scholar] [CrossRef]
- Wang, S.; Jin, X.; Zhao, H.; Wu, F. Phosphorus release characteristics of different trophic lake sediments under simulative disturbing conditions. J. Hazard. Mater. 2009, 161, 1551–1559. [Google Scholar] [CrossRef]
- Braga, G.G.; Becker, V.; de Oliveira, J.N.P.; de Mendonça, J.R., Jr.; de Medeiros Bezerra, A.F.; Torres, L.M.; Freitas Galvão, Â.M.; Mattos, A. Influence of extended drought on water quality in tropical reservoirs in a semiarid region. Acta Limnol. Bras. 2015, 27, 15–23. [Google Scholar] [CrossRef]
- Yan, B.; Yang, X.; Zhou, L.F.; Wang, C. Seasonal variations and trend prediction of upstream water quality of Dahuofang Reservoir in Hunhe River. Toxicol. Environ. Chem. 2016, 98, 345–357. [Google Scholar] [CrossRef]
- Mortier, W.J.; Ghosh, S.K.; Shankar, S. Electronegativity-equalization method for the calculation of atomic charges in molecules. J. Am. Chem. Soc. 1986, 108, 4315–4320. [Google Scholar] [CrossRef]
- Podobnik, B.; Stanley, H.E. Detrended Cross-Correlation Analysis: A New Method for Analyzing Two Nonstationary Time Series. Phys. Rev. Lett. 2008, 100, 084102. [Google Scholar] [CrossRef]
- Huang, S.J.; Hsieh, C.T.; Huang, C.L. Application of Morlet wavelets to supervise power system disturbances. IEEE Trans. Power Deliv. 1999, 14, 235–243. [Google Scholar] [CrossRef]
- Jalali-Heravi, M.; Kyani, A. Use of Computer-Assisted Methods for the Modeling of the Retention Time of a Variety of Volatile Organic Compounds: A PCA-MLR-ANN Approach. J. Chem. Inf. Comput. Sci. 2004, 44, 1328–1335. [Google Scholar] [CrossRef]
- Lin, C.H.; Wu, Y.L.; Chang, K.H.; Lai, C.H. A Method for Locating Influential Pollution Sources and Estimating Their Contributions. Environ. Model. Assess. 2004, 9, 129–136. [Google Scholar] [CrossRef]
- Nazari-Sharabian, M.; Karakouzian, M. Relationship between Sunspot Numbers and Mean Annual Precipitation: Application of Cross-Wavelet Transform—A Case Study. J. Multidiscip. Sci. J. 2020, 3, 7. [Google Scholar] [CrossRef]
- Labat, D. Recent advances in wavelet analyses: Part 1. A review of concepts. J. Hydrol. 2005, 314, 275–288. [Google Scholar] [CrossRef]
- Yu, Y.; Xie, Z.; Wang, T.; Xu, S.; Hu, S. Variation Characteristics of Temperature and Precipitation in Biliuhe Reservoir in Recent 30 Years. Water Resour. Hydropower Northeast China 2019, 3, 38–41. (In Chinese) [Google Scholar]
- Wei, G.L.; Yang, Z.F.; Cui, B.S.; Li, B.; Chen, H.; Bai, J.H.; Dong, S.K. Impact of Dam Construction on Water Quality and Water Self-Purification Capacity of the Lancang River, China. Water Resour. Manag. 2009, 23, 1763–1780. [Google Scholar] [CrossRef]
- McGregor, I.; Ashley, R.M.; Oduyemi, K.O.K. Pollutant Release from Sediments in Sewer Systems and Their Potential for Release into Receiving Waters. Water Sci. Technol. 1993, 28, 161–169. [Google Scholar] [CrossRef]
- Costa, M.; Gonçalves, A.M. Clustering and forecasting of dissolved oxygen concentration on a river basin. Stoch. Environ. Res. Risk Assess. 2011, 25, 151–163. [Google Scholar] [CrossRef]
- Woldeab, B.; Beyene, A.; Ambelu, A.; Buffam, I.; Mereta, S.T. Seasonal and spatial variation of reservoir water quality in the southwest of Ethiopia. Environ. Monit. Assess. 2018, 190, 163. [Google Scholar] [CrossRef] [PubMed]
- Ling, T.Y.; Gerunsin, N.; Soo, C.L.; Nyanti, L.; Sim, S.F.; Grinang, J. Seasonal Changes and Spatial Variation in Water Quality of a Large Young Tropical Reservoir and Its Downstream River. J. Chem. 2017, 2017, 1–17. [Google Scholar] [CrossRef]
- Zhang, Y.; Wu, Z.; Liu, M.; He, J.; Shi, K.; Zhou, Y.; Liu, X. Dissolved oxygen stratification and response to thermal structure and long-term climate change in a large and deep subtropical reservoir (Lake Qiandaohu, China). Water Res. 2015, 75, 249–258. [Google Scholar] [CrossRef]
- Patiño, R.; Dawson, D.; VanLandeghem, M.M. Retrospective analysis of associations between water quality and toxic blooms of golden alga (Prymnesium parvum) in Texas reservoirs: Implications for understanding dispersal mechanisms and impacts of climate change. Harmful Algae 2014, 33, 1–11. [Google Scholar] [CrossRef]
- McCord, S.A.; Beutel, M.W.; Dent, S.R.; Schladow, S.G. Evaluation of mercury cycling and hypolimnetic oxygenation in mercury-impacted seasonally stratified reservoirs in the Guadalupe River watershed, California. Water Resour. Res. 2016, 52, 7726–7743. [Google Scholar] [CrossRef]
- Chaves, L.C.G.; Lopes, F.B.; Maia, A.R.S.; Meireles, A.; de Andrade, E.M. Water quality and anthropogenic impact in the watersheds of service reservoirs in the Brazilian semi-arid region. Rev. Cienc. Agron. 2019, 50, 223–233. [Google Scholar] [CrossRef]
- Short, J.A.; Pedersen, O.; Kendrick, G.A. Turf algal epiphytes metabolically induce local pH increase, with implications for underlying coralline algae under ocean acidification. Estuar. Coast. Shelf Sci. 2015, 164, 463–470. [Google Scholar] [CrossRef]
- Jin, X.C. Lake Environment in China; China Ocean Press: Beijing, China, 1995. [Google Scholar]
- Yan, W.J.; Shi, K. Program on the nitrogen concentrations in rain water in Dalian city. Ecol. Environ. 2013, 22, 517–522. (In Chinese) [Google Scholar]
- Belkina, N.A.; Efremenko, N.A.; Kulik, N.V. Specifics of Iron Migration, Transformation, and Accumulation in the Vygozero Reservoir. Water Resour. 2018, 45, 738–745. [Google Scholar] [CrossRef]
- Kwak, D.H.; Jeon, Y.T.; Hur, Y.D. Phosphorus fractionation and release characteristics of sediment in the Saemangeum Reservoir for seasonal change. Int. J. Sediment Res. 2018, 33, 250–261. [Google Scholar] [CrossRef]
- Harvey, R.; Lye, L.; Khan, A.; Paterson, R. The Influence of Air Temperature on Water Temperature and the Concentration of Dissolved Oxygen in Newfoundland Rivers. Can. Water Resour. J. 2011, 36, 171–192. [Google Scholar] [CrossRef]
- Briciu, A.E.; Toader, E.; Romanescu, G.; Sandu, I. Urban Streamwater Contamination and Self-purification in a Central-Eastern European City. Part B. Rev. Chim. (Bucharest) 2016, 67, 1583–1586. [Google Scholar]
- Parinet, B.; Lhote, A.; Legube, B. Principal component analysis: An appropriate tool for water quality evaluation and management—Application to a tropical lake system. Ecol. Model. 2004, 178, 295–311. [Google Scholar] [CrossRef]
- Chang, H. Spatial analysis of water quality trends in the Han River basin, South Korea. Water Res. 2008, 42, 3285–3304. [Google Scholar] [CrossRef] [PubMed]
- Jiang, C.; Fan, X.; Cui, G.; Zhang, Y. Removal of agricultural non-point source pollutants by ditch wetlands: Implications for lake eutrophication control. In Eutrophication of Shallow Lakes with Special Reference to Lake Taihu, China. Developments in Hydrobiology; Qin, B., Liu, Z., Havens, K., Eds.; Springer: Dordrecht, The Netherlands, 2007; Volume 194, pp. 319–327. [Google Scholar]
- Li, Y.; Ma, J.; Yang, Z.; Lou, I. Influence of non-point source pollution on water quality of Wetland Baiyangdian, China. Desalination Water Treat. 2011, 32, 291–296. [Google Scholar] [CrossRef]
- Lei, X.; Cui, B.; Zhao, H. Study on the simulation of nutrient release from river inner source and its application-a case study of Guangzhou-Foshan river network, China. Procedia Environ. Sci. 2010, 2, 1380–1392. [Google Scholar] [CrossRef][Green Version]
- Abesser, C.; Robinson, R. Mobilisation of iron and manganese from sediments of a Scottish Upland reservoir. J. Limnol. 2010, 69, 42–53. [Google Scholar] [CrossRef]
- Jun, P.L.U.; Tai-Ling, M.A.; Zhang, X.J.; Liu, T.X.; Shu, Y.Y.U. Reservoir Pollution by Dry and Wet Deposition of Atmospheric Nitrogen in Typical Sand Area. J. Agro-Environ. Sci. 2015, 34, 2357–2363. (In Chinese) [Google Scholar]
- Wildman, R.A., Jr.; Hering, J.G. Potential for release of sediment phosphorus to Lake Powell (Utah and Arizona) due to sediment resuspension during low water level. Lake Reserv. Manag. 2011, 27, 365–375. [Google Scholar] [CrossRef]





| V | P | R | L | DO | PH | TN | NH4-N | TP | Fe | CODMn | |
|---|---|---|---|---|---|---|---|---|---|---|---|
| V | 1 | 0.189 | −0.838** | 0.996** | −0.159 | −0.577* | 0.889** | 0.300 | −0.416 | 0.287 | −0.791** |
| P | 0.189 | 1 | 0.272 | 0.153 | −0.770** | 0.209 | 0.175 | −0.236 | 0.541 | 0.334 | −0.109 |
| R | −0.838** | 0.272 | 1 | −0.848** | −0.204 | 0.589* | −0.700* | −0.368 | 0.686* | 0.071 | 0.678* |
| L | 0.996** | 0.153 | −0.848** | 1 | −0.158 | −0.628* | 0.861** | 0.301 | −0.417 | 0.228 | −0.830** |
| DO | −0.159 | −0.770** | −0.204 | −0.158 | 1 | 0.000 | −0.033 | 0.526 | −0.500 | −0.081 | 0.277 |
| PH | −0.577* | 0.209 | 0.589* | −0.628* | 0.000 | 1 | −0.456 | −0.226 | 0.249 | 0.172 | 0.748** |
| TN | 0.889** | 0.175 | −0.700* | 0.861** | −0.033 | −0.456 | 1 | 0.371 | −0.377 | 0.490 | −0.547 |
| NH4-N | 0.300 | −0.236 | −0.368 | 0.301 | 0.526 | −0.226 | 0.371 | 1 | −0.552 | 0.094 | −0.283 |
| TP | −0.416 | 0.541 | 0.686* | −0.417 | −0.500 | 0.249 | −0.377 | −0.552 | 1 | 0.000 | 0.234 |
| Fe | 0.287 | 0.334 | .0071 | 0.228 | −0.081 | 0.172 | 0.490 | 0.094 | 0.000 | 1 | 0.051 |
| CODMn | −0.791** | −0.109 | 0.678* | −0.830** | 0.277 | 0.748** | −0.547 | −0.283 | 0.234 | 0.051 | 1 |
| Principal Component | Contribution Rate (%) | Cumulative Contribution Rate (%) |
|---|---|---|
| 1 | 27.35 | 27.35 |
| 2 | 24.41 | 51.76 |
| 3 | 19.37 | 71.14 |
| 4 | 9.64 | 80.78 |
| 5 | 7.12 | 87.90 |
| 6 | 6.57 | 94.47 |
| 7 | 5.53 | 100.00 |
| No. | Index | PC | Factor Commonality | |||
|---|---|---|---|---|---|---|
| 1 | 2 | 3 | 4 | (Factor Load Square sum) | ||
| 1 | DO | 0.421 | 0.387 | 0.664 | −0.104 | 0.779 |
| 2 | pH | 0.746 | 0.312 | 0.152 | 0.354 | 0.802 |
| 3 | TP | 0.14 | 0.413 | −0.749 | 0.332 | 0.862 |
| 4 | TN | −0.555 | 0.29 | 0.477 | 0.544 | 0.915 |
| 5 | NH4-N | −0.379 | 0.73 | 0.14 | −0.305 | 0.789 |
| 6 | Fe | −0.354 | 0.752 | −0.275 | −0.12 | 0.781 |
| 7 | CODMn | 0.765 | 0.327 | −0.089 | −0.161 | 0.725 |
| No. | Water Quality Parameters | Regression Equation | Parameter Test Associated Probability | Determination Coefficient |
| 1 | DO | Z = 8.491 + 1.365F1 + 1.255F2 + 2.151F3 − 0.335F4 | max{p} = 0.00 < 0.05 | 0.777 |
| 2 | PH | Z = 8.034 + 0.337F1 + 0.141F2 + 0.069F3 + 0.160F4 | max{p} = 0.00 < 0.05 | 0.802 |
| 3 | TP | Z = 0.024 + 0.002F1 + 0.005F2 − 0.010F3 + 0.004F4 | max{p} = 0.00 < 0.05 | 0.862 |
| 4 | TN | Z = 2.502 − 0.343F1 + 0.179F2 + 0.295F3 + 0.336F4 | max{p} = 0.00 < 0.05 | 0.915 |
| 5 | NH4-N | Z = 0.239 − 0.057F1 + 0.110F2 + 0.021F3 − 0.046F4 | max{p} = 0.00 < 0.05 | 0.789 |
| 6 | CODMn | Z = 2.323 + 0.392F1 + 0.168F2 − 0.046F3 − 0.082F4 | max{p} = 0.00 < 0.05 | 0.725 |
| 7 | Fe | Z = 0.051 − 0.029F1 + 0.061F2 − 0.022F3 − 0.010F4 | max{p} = 0.00 < 0.05 | 0.781 |
| No. | Water Quality Index | PC1 | PC2 | PC3 | PC4 | Determination Coefficient |
| Non-Point Source Pollution | Sediment and Groundwater Pollution | Atmospheric and Production and Domestic Sewage | Other Sources of Pollution | |||
| 1 | DO | 26.73 | 24.58 | 42.13 | 6.56 | 0.779 |
| 2 | pH | 47.67 | 19.94 | 9.76 | 22.63 | 0.802 |
| 3 | TP | 9.52 | 23.81 | 47.62 | 19.05 | 0.862 |
| 4 | TN | 29.75 | 15.52 | 25.59 | 29.14 | 0.915 |
| 5 | NH4-N | 24.36 | 47.01 | 8.97 | 19.66 | 0.789 |
| 6 | CODMn | 56.97 | 24.42 | 6.69 | 11.92 | 0.725 |
| 7 | Fe | 23.77 | 50.00 | 18.03 | 8.20 | 0.781 |
© 2020 by the authors. Licensee MDPI, Basel, Switzerland. This article is an open access article distributed under the terms and conditions of the Creative Commons Attribution (CC BY) license (http://creativecommons.org/licenses/by/4.0/).
Share and Cite
Wang, Z.; Wang, T.; Liu, X.; Hu, S.; Ma, L.; Sun, X. Water Level Decline in a Reservoir: Implications for Water Quality Variation and Pollution Source Identification. Int. J. Environ. Res. Public Health 2020, 17, 2400. https://doi.org/10.3390/ijerph17072400
Wang Z, Wang T, Liu X, Hu S, Ma L, Sun X. Water Level Decline in a Reservoir: Implications for Water Quality Variation and Pollution Source Identification. International Journal of Environmental Research and Public Health. 2020; 17(7):2400. https://doi.org/10.3390/ijerph17072400
Chicago/Turabian StyleWang, Zixiong, Tianxiang Wang, Xiaoli Liu, Suduan Hu, Lingxiao Ma, and Xinguo Sun. 2020. "Water Level Decline in a Reservoir: Implications for Water Quality Variation and Pollution Source Identification" International Journal of Environmental Research and Public Health 17, no. 7: 2400. https://doi.org/10.3390/ijerph17072400
APA StyleWang, Z., Wang, T., Liu, X., Hu, S., Ma, L., & Sun, X. (2020). Water Level Decline in a Reservoir: Implications for Water Quality Variation and Pollution Source Identification. International Journal of Environmental Research and Public Health, 17(7), 2400. https://doi.org/10.3390/ijerph17072400
