Progressive Invasion of Aedes albopictus in Northern Spain in The Period 2013–2018 and A Possible Association with The Increase in Insect Bites
Abstract
1. Introduction
2. Materials and Methods
2.1. Study Area
2.2. Surveillance of Ae. albopictus
2.3. Control of Ae. albopictus in Positive Sites
2.4. Monitoring Insect Bite Rates in Humans
2.5. Collection of Data and Statistical Analyses
3. Results
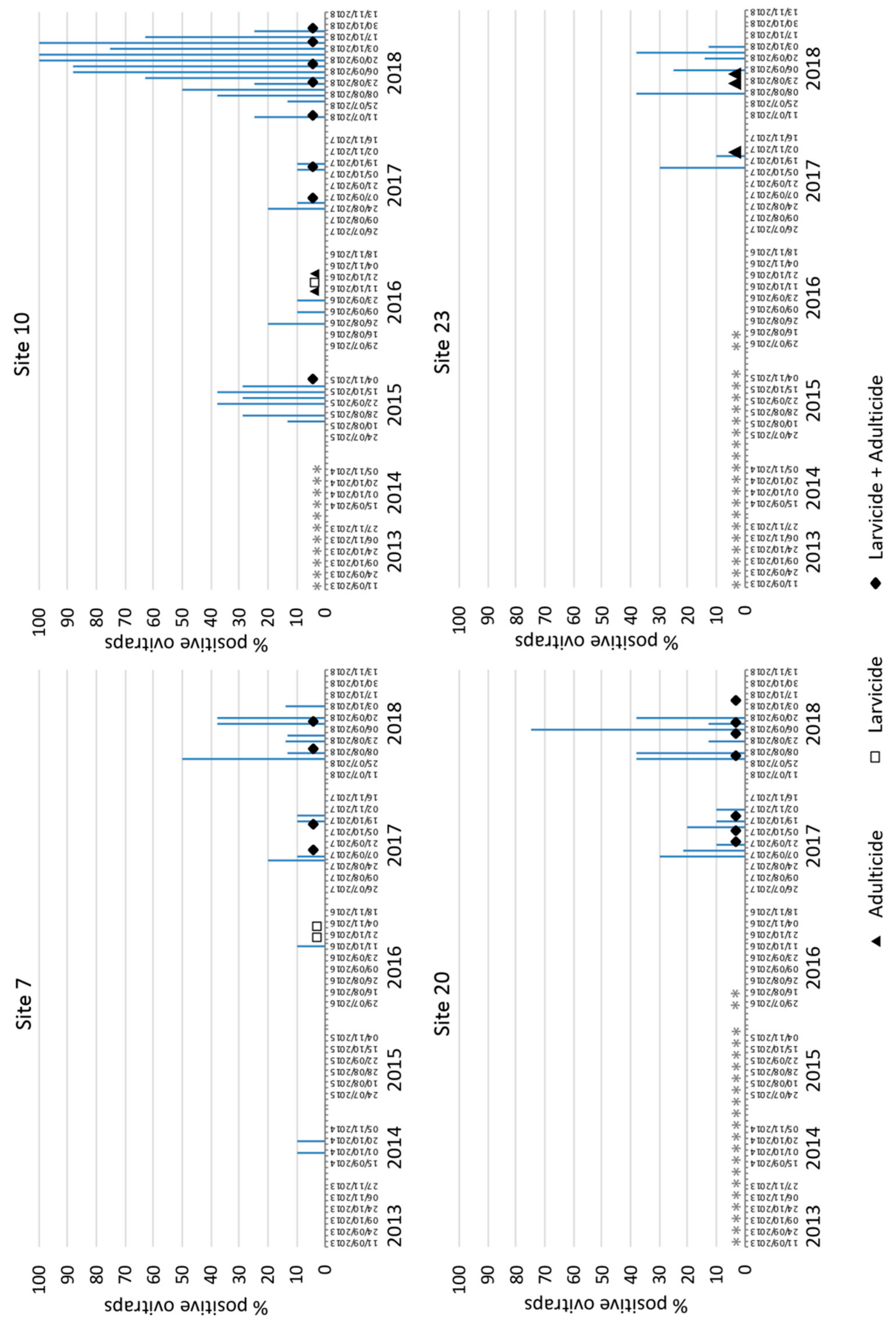
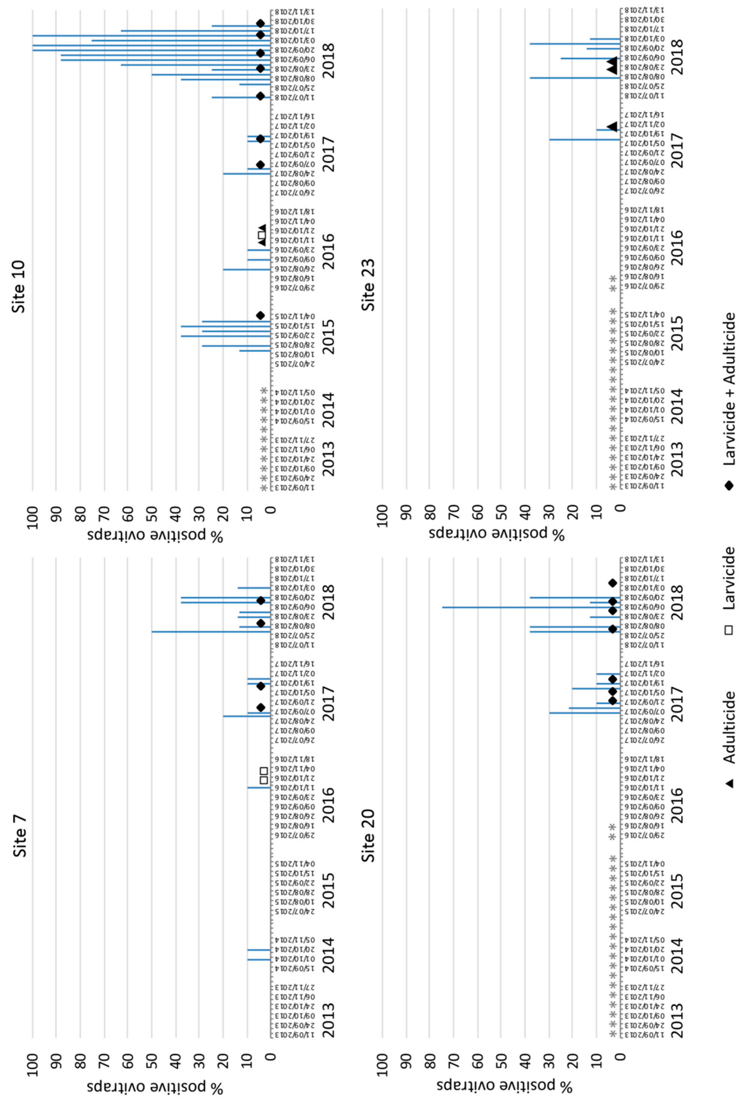
3.1. Surveillance of Ae. albopictus Eggs in The Period 2013–2018
3.2. Treatments Applied
3.3. Progress of Insect Bites in Humans in The Period 2013–2018
4. Discussion
5. Conclusions
Supplementary Materials
Author Contributions
Funding
Acknowledgments
Conflicts of Interest
References
- Eritja, R.; Palmer, J.R.B.; Roiz, D.; Sanpera-Calbet, I.; Bartumeus, F. Direct Evidence of Adult Aedes albopictus Dispersal by Car. Sci. Rep. 2017, 7, 14399. [Google Scholar] [CrossRef]
- Knudsen, A.B. Global distribution and continuing spread of Aedes albopictus. Parassitologia 1995, 37, 91–97. [Google Scholar] [PubMed]
- Moore, C.G.; Mitchell, C.J. Aedes albopictus in the United States: Ten-year presence and public health implications. Emerg. Infect. Dis 1997, 3, 329–334. [Google Scholar] [CrossRef] [PubMed]
- Paupy, C.; Delatte, H.; Bagny, L.; Corbel, V.; Fontenille, D. Aedes albopictus, an arbovirus vector: From the darkness to the light. Microbes Infect. 2009, 11, 1177–1185. [Google Scholar] [CrossRef] [PubMed]
- Benedict, M.Q.; Levine, R.S.; Hawley, W.A.; Lounibos, L.P. Spread of the tiger: Global risk of invasion by the mosquito Aedes albopictus. Vector Borne Zoonotic. Dis. 2007, 7, 76–85. [Google Scholar] [CrossRef]
- Barzon, L. Ongoing and emerging arbovirus threats in Europe. J. Clin. Virol. 2018, 107, 38–47. [Google Scholar] [CrossRef]
- Janova, E. Emerging and threatening vector-borne zoonoses in the world and in Europe: A brief update. Pathog. Glob. Health 2019, 113, 49–57. [Google Scholar] [CrossRef]
- Martinet, J.P.; Ferte, H.; Failloux, A.B.; Schaffner, F.; Depaquit, J. Mosquitoes of North-Western Europe as Potential Vectors of Arboviruses: A Review. Viruses 2019, 11, 1059. [Google Scholar] [CrossRef]
- Halasa, Y.A.; Shepard, D.S.; Fonseca, D.M.; Farajollahi, A.; Healy, S.; Gaugler, R.; Bartlett-Healy, K.; Strickman, D.A.; Clark, G.G. Quantifying the impact of mosquitoes on quality of life and enjoyment of yard and porch activities in New Jersey. PLoS ONE 2014, 9, e89221. [Google Scholar] [CrossRef]
- Aranda, C.; Eritja, R.; Roiz, D. First record and establishment of the mosquito Aedes albopictus in Spain. Med. Vet. Entomol. 2006, 20, 150–152. [Google Scholar] [CrossRef]
- Collantes, F.; Delacour, S.; Alarcon-Elbal, P.M.; Ruiz-Arrondo, I.; Delgado, J.A.; Torrell-Sorio, A.; Bengoa, M.; Eritja, R.; Miranda, M.A.; Molina, R.; et al. Review of ten-years presence of Aedes albopictus in Spain 2004–2014: Known distribution and public health concerns. Parasit. Vectors 2015, 8, 655. [Google Scholar] [CrossRef] [PubMed]
- Giménez, N.; Barahona, M.; Casasa, A.; Domingo, A.; Gavagnach, M.; Martí, C. Llegada de Aedes albopictus a España: Un nuevo reto para la salud pública. Gac. Sanit. 2007, 21, 25–28. [Google Scholar] [CrossRef] [PubMed]
- Kampen, H.; Medlock, J.M.; Vaux, A.G.; Koenraadt, C.J.; van Vliet, A.J.; Bartumeus, F.; Oltra, A.; Sousa, C.A.; Chouin, S.; Werner, D. Approaches to passive mosquito surveillance in the EU. Parasit. Vectors 2015, 8, 9. [Google Scholar] [CrossRef] [PubMed]
- De León, A.; Arriba, A.; de la Plaza, M.C. Caracterización agroclimática del País Vasco, 1st ed.; Ministerio de Agricultura, Pesca y Alimentación, Secretaría General Técnica, Centro de Publicaciones, D.L.: Madrid, Spain, 1989; pp. 100–184.
- EUSTAT—Instituto Vasco de Estadística. Economy. Available online: https://en.eustat.eus/estadisticas/tema_351/opt_0/temas.html (accessed on 10 January 2020).
- ECDC—European Centre for Disease Prevention and Control. European Food Safety Authority Field Sampling Methods for Mosquitoes, Sandflies, Biting Midges and Ticks— VectorNet Project 2014–2018; ECDC and EFSA: Stockholm, Sweden; Parma, Italy, 2018.
- Lucientes-Curdi, J.; Molina-Moreno, R.; Amela-Heras, C.; Simon-Soria, F.; Santos-Sanz, S.; Sánchez-Gómez, A.; Suárez-Rodriguez, B.; Sierra-Moros, M.J. Dispersion of Aedes albopictus in the Spanish Mediterranean area. Eur. J. Public Health 2014, 24, 637–640. [Google Scholar] [CrossRef]
- Becker, N.; Petric, D.; Zgomba, M.; Boase, C.; Dahl, C.; Madon, M.; Kaiser, A. Mosquitoes and their Control, 2nd ed.; Springer: Berlin/Heidelberg, Germany, 2010; pp. 91–162. [Google Scholar]
- Eusko Jaurlaritza—Gobierno Vasco. GeoEuskadi, Infraestructura de Datos Espaciales (IDE) de Euskadi. Available online: https://www.geo.euskadi.eus/s69-15375/es/ (accessed on 10 January 2020).
- Roiz, D.; Wilson, A.L.; Scott, T.W.; Fonseca, D.M.; Jourdain, F.; Muller, P.; Velayudhan, R.; Corbel, V. Integrated Aedes management for the control of Aedes-borne diseases. PLoS Negl. Trop. Dis. 2018, 12, e0006845. [Google Scholar] [CrossRef]
- Roche, B.; Léger, L.; L’Ambert, G.; Lacour, G.; Foussadier, R.; Besnard, G.; Barré-Cardi, H.; Simard, F.; Fontenille, D. The spread of Aedes albopictus in metropolitan France: Contribution of environmental drivers and human activities and predictions for a near future. PLoS ONE 2015, 10, e0125600. [Google Scholar] [CrossRef]
- Caminade, C.; Medlock, J.M.; Ducheyne, E.; McIntyre, K.M.; Leach, S.; Baylis, M.; Morse, A.P. Suitability of European climate for the Asian tiger mosquito Aedes albopictus: Recent trends and future scenarios. J. R. Soc. Interface 2012, 9, 2708–2717. [Google Scholar] [CrossRef]
- Roiz, D.; Neteler, M.; Castellani, C.; Arnoldi, D.; Rizzoli, A. Climatic factors driving invasion of the tiger mosquito (Aedes albopictus) into new areas of Trentino, northern Italy. PLoS ONE 2011, 6, e14800. [Google Scholar] [CrossRef]
- Tran, A.; L’Ambert, G.; Lacour, G.; Benoit, R.; Demarchi, M.; Cros, M.; Cailly, P.; Aubry-Kientz, M.; Balenghien, T.; Ezanno, P. A rainfall- and temperature-driven abundance model for Aedes albopictus populations. Int J. Environ. Res. Public Health 2013, 10, 1698–1719. [Google Scholar] [CrossRef]
- Alto, B.W.; Juliano, S.A. Precipitation and temperature effects on populations of Aedes albopictus (Diptera: Culicidae): Implications for range expansion. J. Med. Entomol 2001, 38, 646–656. [Google Scholar] [CrossRef]
- Flacio, E.; Engeler, L.; Tonolla, M.; Lüthy, P.; Patocchi, N. Strategies of a thirteen year surveillance programme on Aedes albopictus (Stegomyia albopicta) in southern Switzerland. Parasit. Vectors 2015, 8, 208. [Google Scholar] [CrossRef] [PubMed]
- Burki, T. Increase of West Nile virus cases in Europe for 2018. Lancet 2018, 392, 1000. [Google Scholar] [CrossRef]
- Medlock, J.M.; Hansford, K.M.; Schaffner, F.; Versteirt, V.; Hendrickx, G.; Zeller, H.; Van, B.W. A review of the invasive mosquitoes in Europe: Ecology, public health risks, and control options. Vector Borne Zoonotic Dis. 2012, 12, 435–447. [Google Scholar] [CrossRef] [PubMed]
- Abramides, G.C.; Roiz, D.; Guitart, R.; Quintana, S.; Guerrero, I.; Gimenez, N. Effectiveness of a multiple intervention strategy for the control of the tiger mosquito (Aedes albopictus) in Spain. Trans. R. Soc. Trop. Med. Hyg. 2011, 105, 281–288. [Google Scholar] [CrossRef]
- Abramides, G.C.; Roiz, D.; Guitart, R.; Quintana, S.; Gimenez, N. Control of the Asian tiger mosquito (Aedes albopictus) in a firmly established area in Spain: Risk factors and people’s involvement. Trans. R. Soc. Trop. Med. Hyg. 2013, 107, 706–714. [Google Scholar] [CrossRef]
- Sherpa, S.; Blum, M.G.B.; Capblancq, T.; Cumer, T.; Rioux, D.; Despres, L. Unravelling the invasion history of the Asian tiger mosquito in Europe. Mol. Ecol. 2019, 28, 2360–2377. [Google Scholar] [CrossRef]
- Ravasi, D.; Parrondo Monton, D.; Guidi, V.; Flacio, E. Evaluation of the public health risk for autochthonous trnsmission of mosquito-borne viruses in southern Switzerland. Med. Vet. Entomol. 2019, in press. [Google Scholar] [CrossRef]




| HC 1 | Site | Site Description | Coordinates 9/UTM 30) | Sampling Year | Years of Detection |
|---|---|---|---|---|---|
| A | 1 | Petrol station | X:555518 Y:4745944 | 2013, 2015–2017 | |
| 2 | Service area | X:510280 Y:4757046 | 2015–2017 | ||
| 3 | City centre | X:526669 Y:4742969 | 2016–2017 | ||
| 4 | City centre | X:525569 Y:4742846 | 2016–2017 | ||
| 5 | Airport | X:521831 Y:4747911 | 2018 | ||
| 6 | Industrial area | X:519711 Y:4743493 | 2018 | 2018 | |
| B | 7 | Parking | X:600521 Y:4799707 | 2013–2018 | 2014–2018 |
| 8 | Shopping centre | X:594423 Y:4797251 | 2014 | ||
| 9 | Petrol station | X:601109 Y:4798864 | 2015 | ||
| 10 | Petrol station | X:600172 Y:4799291 | 2015–2018 | 2015–2018 | |
| 11 | City centre | X:597750 Y:4799166 | 2015–2017 | 2015 | |
| 12 | City centre | X:598244 Y:4798572 | 2015–2018 | ||
| 13 | City centre | X:597039 Y:4799326 | 2016–2018 | 2017 | |
| 14 | Petrol station | X:597768 Y:4801111 | 2016–2017 | ||
| 15 | City centre | X:597590 Y:4803050 | 2016–2017 | ||
| BB | 16 | City centre | X:505938 Y:4789059 | 2016–2018 | 2018 |
| 17 | City centre | X:504805 Y:4790265 | 2016–2018 | ||
| BG | 18 | Service area | X:508383 Y:4782104 | 2015–2017 | |
| 19 | Service area | X:519772 Y:4786539 | 2015 | ||
| 20 | Industrial area | X:509199 Y:4786765 | 2016–2018 | 2017–2018 | |
| 21 | Recycling centre | X:508893 Y:4786442 | 2018 | 2018 | |
| 22 | City centre | X:508622 Y:4786697 | 2018 | ||
| BS | 23 | Shopping centre | X:499449 Y:4793195 | 2016–2018 | 2017–2018 |
| 24 | Shopping centre | X:499764 Y:4792537 | 2018 | 2018 | |
| 25 | City centre | X:499907 Y:4793331 | 2018 | 2018 | |
| D | 26 | Shopping centre | X:585497 Y:4795662 | 2016–2018 | |
| 27 | Service area | X:578823 Y:4793078 | 2013–2017 | ||
| 28 | Service area | X:582588 Y:4792374 | 2013–2014 | ||
| 29 | Service area | X:593455 Y:4796905 | 2014 | ||
| 30 | Industrial area | X:579356 Y:4790133 | 2016 | ||
| 31 | Petrol station | X:579405 Y:4789368 | 2016 | ||
| 32 | City centre | X:582592 Y:4797197 | 2017 | ||
| 33 | City centre | X:583839 Y:4793884 | 2017–2018 | ||
| 34 | Parking | X:579931 Y:4795501 | 2018 | 2018 | |
| DE | 35 | City centre | X:542890 Y:4781322 | 2018 | |
| EEC | 36 | Industrial area | X:493897 Y:4799791 | 2018 | |
| GAU | 37 | City centre | X:565017 Y:4766285 | 2018 | |
| RA | 38 | City centre | X:533517 Y:4710345 | 2017–2018 | |
| T | 39 | City centre | X:574834 Y:4775857 | 2018 | |
| UK | 40 | Industrial area | X:511692 Y:4793419 | 2017 |
| Year | N 1 Sampling Sites | N Sampled Municipalities | N Ovitraps Examined | Positive Ovitraps N (%) | Positive Sampling Sites 2 | N Municipalities with A. A.3 (HC) 4 |
|---|---|---|---|---|---|---|
| 2013 | 4 | 4 | 404 | 0 (0.0) | 0 | 0 (na 5) |
| 2014 | 5 | 5 | 448 | 2 (0.4) | 7 | 1 (B) |
| 2015 | 9 | 5 | 810 | 15 (1.9) | 10, 11 | 1 (B) |
| 2016 | 20 | 11 | 2801 | 5 (0.2) | 7, 10 | 1 (B) |
| 2017 | 22 | 13 | 2531 | 25 (1.0) | 7, 10, 13, 20, 23 | 3 (B, BG, BS) |
| 2018 | 23 | 11 | 3436 | 123 (3.6) | 6, 7, 10, 16, 20, 21, 23, 24, 25, 34 | 6 (A, B, BB, BG, BS, D) |
© 2020 by the authors. Licensee MDPI, Basel, Switzerland. This article is an open access article distributed under the terms and conditions of the Creative Commons Attribution (CC BY) license (http://creativecommons.org/licenses/by/4.0/).
Share and Cite
Goiri, F.; González, M.A.; Goikolea, J.; Oribe, M.; de Castro, V.; Delacour, S.; Lucientes, J.; Ortega-Araiztegi, I.; Barandika, J.F.; García-Pérez, A.L. Progressive Invasion of Aedes albopictus in Northern Spain in The Period 2013–2018 and A Possible Association with The Increase in Insect Bites. Int. J. Environ. Res. Public Health 2020, 17, 1678. https://doi.org/10.3390/ijerph17051678
Goiri F, González MA, Goikolea J, Oribe M, de Castro V, Delacour S, Lucientes J, Ortega-Araiztegi I, Barandika JF, García-Pérez AL. Progressive Invasion of Aedes albopictus in Northern Spain in The Period 2013–2018 and A Possible Association with The Increase in Insect Bites. International Journal of Environmental Research and Public Health. 2020; 17(5):1678. https://doi.org/10.3390/ijerph17051678
Chicago/Turabian StyleGoiri, Fátima, Mikel Alexander González, Joseba Goikolea, Madalen Oribe, Visitación de Castro, Sarah Delacour, Javier Lucientes, Ione Ortega-Araiztegi, Jesús Felix Barandika, and Ana Luisa García-Pérez. 2020. "Progressive Invasion of Aedes albopictus in Northern Spain in The Period 2013–2018 and A Possible Association with The Increase in Insect Bites" International Journal of Environmental Research and Public Health 17, no. 5: 1678. https://doi.org/10.3390/ijerph17051678
APA StyleGoiri, F., González, M. A., Goikolea, J., Oribe, M., de Castro, V., Delacour, S., Lucientes, J., Ortega-Araiztegi, I., Barandika, J. F., & García-Pérez, A. L. (2020). Progressive Invasion of Aedes albopictus in Northern Spain in The Period 2013–2018 and A Possible Association with The Increase in Insect Bites. International Journal of Environmental Research and Public Health, 17(5), 1678. https://doi.org/10.3390/ijerph17051678

