Short-Term Impacts of Ambient Air Pollution on Health-Related Quality of Life: A Korea Health Panel Survey Study
Abstract
1. Introduction
2. Materials and Methods
2.1. Data and Subjects
2.2. Ethical Statements
2.3. Air Pollution and Meteorological Data
2.4. Measurement of the Health-Related Quality of Life
2.5. Variables Measurement
2.6. Statistical Analysis
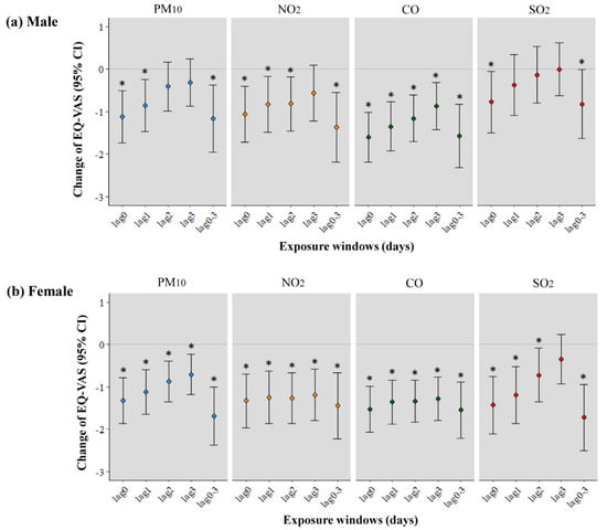
3. Results
4. Discussion
5. Conclusions
Supplementary Materials
Author Contributions
Funding
Conflicts of Interest
References
- World Health Organization. Ambient Air Pollution: A Global Assessment of Exposure and Burden of Disease; World Health Organization: Geneva, Switzerland, 2016. [Google Scholar]
- Samet, J.; Buist, S.; Bascom, R.; Garcia, J.; Lipsett, M.; Mauderly, J.; Mannino, D.; Rand, C.; Romieu, I.; Utell, M.; et al. What constitutes an adverse health effect of air pollution? Am. J. Respir. Crit. Care Med. 2000, 161, 665–673. [Google Scholar] [CrossRef]
- Oglesby, L.; Künzli, N.; Monn, C.; Schindler, C.; Ackermann-Liebrich, U.; Leuenberger, P.; SAPALDIA Team. Validity of annoyance scores for estimation of long term air pollution exposure in epidemiologic studies: The Swiss Study on Air Pollution and Lung Diseases in Adults (SAPALDIA). Am. J. Epidemiol. 2000, 152, 75–83. [Google Scholar] [CrossRef]
- Rotko, T.; Oglesby, L.; Künzli, N.; Carrer, P.; Nieuwenhuijsen, M.J.; Jantunen, M. Determinants of perceived air pollution annoyance and association between annoyance scores and air pollution (PM2.5, NO2) concentrations in the European EXPOLIS study. Atmos. Environ. 2002, 36, 4593–4602. [Google Scholar] [CrossRef]
- Yamazaki, S.; Nitta, H.; Murakami, Y.; Fukuhara, S. Association between ambient air pollution and health-related quality of life in Japan: Ecological study. Int. J. Environ. Health Res. 2005, 15, 383–391. [Google Scholar] [CrossRef]
- Welsch, H. Environment and happiness: Valuation of air pollution using life satisfaction data. Ecol. Econ. 2006, 58, 801–813. [Google Scholar] [CrossRef]
- Ferreira, S.; Akay, A.; Brereton, F.; Cuñado, J.; Martinsson, P.; Moro, M.; Ningal, T.F. Life satisfaction and air quality in Europe. Ecol. Econ. 2013, 88, 1–10. [Google Scholar] [CrossRef]
- MacKerron, G.; Mourato, S. Life satisfaction and air quality in London. Ecol. Econ. 2009, 68, 1441–1453. [Google Scholar] [CrossRef]
- Nakao, M.; Yamauchi, K.; Ishihara, Y.; Omori, H.; Ichinnorov, D.; Solongo, B. Effects of air pollution and seasons on health-related quality of life of Mongolian adults living in Ulaanbaatar: Cross-sectional studies. BMC Public Health 2017, 17, 594. [Google Scholar] [CrossRef]
- Shin, J.; Park, J.Y.; Choi, J. Long-term exposure to ambient air pollutants and mental health status: A nationwide population-based cross-sectional study. PLoS ONE 2018, 13, e0195607. [Google Scholar] [CrossRef] [PubMed]
- Hwang, M.J.; Cheong, H.K.; Kim, J.H.; Koo, Y.S.; Yun, H.Y. Ambient air quality and subjective stress level using Community Health Survey data in Korea. Epidemiol. Health 2018, 40, e2018028. [Google Scholar] [CrossRef] [PubMed]
- Chen, J.; Wong, C.K.; McGhee, S.M.; Pang, P.K.; Yu, W.C. A comparison between the EQ-5D and the SF-6D in patients with chronic obstructive pulmonary disease (COPD). PLoS ONE 2014, 9, e112389. [Google Scholar] [CrossRef] [PubMed]
- Rowen, D.; Brazier, J.; Roberts, J. Mapping SF-36 onto the EQ-5D index: How reliable is the relationship? Health Qual. Life Outcomes 2009, 7, 27. [Google Scholar] [CrossRef] [PubMed]
- Feng, Y.; Parkin, D.; Devlin, N.J. Assessing the performance of the EQ-VAS in the NHS PROMs programme. Qual. Life Res. 2014, 23, 977–989. [Google Scholar] [CrossRef] [PubMed]
- Priestman, T.J.; Baum, M. Evaluation of quality of life in patients receiving treatment for advanced breast cancer. Lancet 1976, 1, 899–901. [Google Scholar] [CrossRef]
- Cho, J.; Choi, Y.J.; Suh, M.; Sohn, J.; Kim, H.; Cho, S.K.; Ha, K.H.; Kim, C.; Shin, D.C. Air pollution as a risk factor for depressive episode in patients with cardiovascular disease, diabetes mellitus, or asthma. J. Affect. Disord. 2014, 157, 45–51. [Google Scholar] [CrossRef]
- Noh, J.W.; Kim, K.B.; Park, H.; Kwon, Y.D. Gender differences in outpatient utilization: A pooled analysis of data from the Korea Health Panel. J. Womens Health 2017, 26, 178–185. [Google Scholar] [CrossRef]
- McCormack, H.M.; David, J.D.L.; Sheather, S. Clinical applications of visual analogue scales: A critical review. Psychol. Med. 1988, 18, 1007–1019. [Google Scholar] [CrossRef]
- De Boer, A.G.; van Lanschot, J.J.; Stalmeier, P.F.; van Sandick, J.W.; Hulscher, J.B.; de Haes, J.C.; Sprangers, M.A. Is a single-item visual analogue scale as valid, reliable and responsive as multi-item scales in measuring quality of life? Qual. Life Res. 2004, 13, 311–320. [Google Scholar] [CrossRef]
- EuroQol Group. About EQ-5D Rotterdam. Available online: https://euroqol.org/euroqol-2/euroqol-office-team/ (accessed on 1 December 2020).
- Kim, Y.W.; Lee, C.H.; Park, Y.S.; Kim, Y.I.; Ahn, C.M.; Kim, J.O.; Park, J.H.; Lee, S.H.; Kim, J.Y.; Chun, E.M.; et al. Effect of exposure to second-hand smoke on the quality of life: A nationwide population-based study from South Korea. PLoS ONE 2015, 10, e0138731. [Google Scholar] [CrossRef]
- Vaida, F.; Blanchard, S. Conditional Akaike information for mixed-effects models. Biometrika 2005, 92, 351–370. [Google Scholar] [CrossRef]
- Hong, J.; Zhong, T.; Li, H.; Xu, J.; Ye, X.; Mu, Z.; Lu, Y.; Mashaghi, A.; Zhou, Y.; Tan, M.; et al. Ambient air pollution, weather changes and outpatient visits for allergic conjunctivitis: A retrospective registry study. Sci. Rep. 2016, 6, 23858. [Google Scholar] [CrossRef] [PubMed]
- Mannucci, P.M.; Franchini, M. Health effects of ambient air pollution in developing countries. Int. J. Environ. Res. Public Health 2017, 14, 1048. [Google Scholar] [CrossRef] [PubMed]
- Utian, W.H.; Janata, J.W.; Kingsberg, S.A.; Schluchter, M.; Hamilton, J.C. The Utian Quality of Life (UQOL) Scale: Development and validation of an instrument to quantify quality of life through and beyond menopause. Menopause 2018, 25, 1224–1231. [Google Scholar] [CrossRef] [PubMed]
- Honda, T.; Eliot, M.N.; Eaton, C.B.; Whitsel, E.; Stewart, J.D.; Mu, L.; Suh, H.; Szpiro, A.; Kaufman, J.D.; Vedal, S.; et al. Long-term exposure to residential ambient fine and coarse particulate matter and incident hypertension in post-menopausal women. Environ. Int. 2017, 105, 79–85. [Google Scholar] [CrossRef] [PubMed]
- Nappi, R.E.; Lachowsky, M. Menopause and sexuality: Prevalence of symptoms and impact on quality of life. Maturitas 2009, 63, 138–141. [Google Scholar] [CrossRef] [PubMed]
- Calderón-Garcidueñas, L.; Macías-Parra, M.; Hoffmann, H.J.; Valencia-Salazar, G.; Henríquez-Roldán, C.; Osnaya, N.; Monte, O.C.D.; Barragán-Mejía, G.; Villarreal-Calderon, R.; Romero, L.; et al. Immunotoxicity and environment: Immunodysregulation and systemic inflammation in children. Toxicol. Pathol. 2009, 37, 161–169. [Google Scholar] [CrossRef] [PubMed]
- Anisman, H.; Hayley, S. Inflammatory factors contribute to depression and its comorbid conditions. Sci. Signal. 2012, 5, pe45. [Google Scholar] [CrossRef]
- Dolan, P. Modeling valuations for EuroQol health states. Med. Care 1997, 35, 1095–1108. [Google Scholar] [CrossRef]
- Roberts, S.; Arseneault, L.; Barratt, B.; Beevers, S.; Danese, A.; Odgers, C.L.; Moffitt, T.E.; Reuben, A.; Kelly, F.J.; Fisher, H.L. Exploration of NO2 and PM2. 5 air pollution and mental health problems using high-resolution data in London-based children from a UK longitudinal cohort study. Psychiatry Res. 2019, 272, 8–17. [Google Scholar] [CrossRef]
- Brunekreef, B.; Holgate, S.T. Air pollution and health. Lancet 2002, 360, 1233–1242. [Google Scholar] [CrossRef]
- World Health Organization. Air Quality Guidelines for Europe; European Series No. 23; World Health Organization: Copenhagen, Denmark, 1987. [Google Scholar]


| Variables | Male | Female | |
|---|---|---|---|
| N (%) | N (%) | p-Value † | |
| 12,197 (44.9) | 14,977 (55.1) | ||
| Age group (years) | <0.001 | ||
| <30 | 1593 (13.1) | 2173 (14.5) | |
| 30–39 | 2017 (16.5) | 2609 (17.4) | |
| 40–49 | 2832 (23.2) | 3170 (21.2) | |
| 50–64 | 3376 (27.7) | 3953 (26.4) | |
| ≥65 | 2379 (19.5) | 3072 (20.5) | |
| Education level | <0.001 | ||
| Elementary school | 1455 (11.9) | 3376 (22.5) | |
| Middle school | 1206 (9.9) | 1898 (12.7) | |
| High school | 5008 (41.1) | 5319 (35.5) | |
| University and over | 4528 (37.1) | 4384 (29.3) | |
| Income quintile | <0.001 | ||
| First quintile | 1213 (9.9) | 1859 (12.4) | |
| Second quintile | 2197 (18.1) | 2774 (18.5) | |
| Third quintile | 2694 (22.1) | 3235 (21.6) | |
| Fourth quintile | 2933 (24.0) | 3343 (22.3) | |
| Fifth quintile | 3160 (25.9) | 3766 (25.2) | |
| Marital status | <0.001 | ||
| No | 2594 (21.3) | 2622 (17.5) | |
| Married | 8968 (73.5) | 9995 (66.7) | |
| Divorced | 432 (3.5) | 488 (3.3) | |
| Bereaved | 203 (1.7) | 1872 (12.5) | |
| Economic activity | <0.001 | ||
| Yes | 8943 (73.3) | 7023 (16.9) | |
| Smoking status | <0.001 | ||
| No | 2881 (23.6) | 14,338 (95.7) | |
| Past | 4033 (33.1) | 298 (2.0) | |
| Current | 5283 (43.3) | 341 (2.3) | |
| Alcohol consumption | <0.001 | ||
| No or less than once a month | 4291 (35.2) | 10,862 (72.5) | |
| Less than two or three times a week | 6543 (53.6) | 3970 (26.5) | |
| Almost every day | 1363 (11.2) | 145 (1.0) | |
| Sleeping hours | <0.001 | ||
| <6 h per day | 1816 (14.9) | 2794 (18.7) | |
| ≥6 h per day | 10,381 (85.1) | 12,183 (81.3) | |
| Presence of chronic disease | <0.001 | ||
| Yes | 6495 (53.3) | 9368 (62.5) | |
| Number of participations | <0.001 | ||
| Once | 628 (17.9) | 550 (14.1) | |
| Twice | 458 (13.0) | 362 (9.3) | |
| Three times | 436 (12.5) | 391 (9.9) | |
| Four times | 614 (17.5) | 476 (12.2) | |
| Five times | 1376 (39.1) | 2127 (54.5) | ☐ |
| Percentile | ||||||||
|---|---|---|---|---|---|---|---|---|
| Exposure | Mean | SD | Min | 25th | 50th | 75th | Max | IQR |
| Daily exposures | ||||||||
| PM10 (μg/m3) | 45.6 | 22.1 | 4.9 | 30.3 | 41.8 | 56.3 | 278.9 | 26.0 |
| NO2 (ppb) | 24.7 | 11.8 | 2.0 | 16.3 | 22.7 | 30.1 | 73.7 | 13.8 |
| CO (ppb) | 463.2 | 152.1 | 150 | 362.5 | 436.4 | 525 | 1176.0 | 162.5 |
| SO2 (ppb) | 5.0 | 2.3 | 1.0 | 3.3 | 4.5 | 6.3 | 21.3 | 3.0 |
| Temperature (°C) | 16.6 | 8.1 | −8.0 | 9.5 | 18.7 | 23.2 | 31.1 | 13.7 |
| Relative humidity (%) | 65.1 | 16.4 | 20.0 | 55.0 | 66.0 | 78.0 | 99.0 | 23.0 |
| Groups | EQ-VAS (95% CI) a | ||||
|---|---|---|---|---|---|
| PM10 | NO2 | CO | SO2 | ||
| All subjects | All | −0.110 (−0.314–0.094) | −0.101 (−0.342–0.141) | −0.156 (−0.363–0.050) | −0.087 (−0.349–0.175) |
| With chronic disease | −0.251 (−0.499–−0.004) | −0.165 (−0.567–0.236) | −0.314 (−0.660–0.031) | −0.158 (−0.564–0.248) | |
| Sex | |||||
| Male | All | −0.176 (−0.478–0.126) | −0.052 (−0.403–0.298) | −0.129 (−0.435–0.178) | −0.031 (−0.419–0.358) |
| With chronic disease | −0.228 (−0.530–0.074) | −0.211 (−0.562–0.139) | −0.170 (−0.459–0.119) | −0.063 (−0.449–0.323) | |
| Female | All | −0.157 (−0.415–0.102) | −0.191 (−0.518–0.136) | −0.809 (−1.087–−0.530) | −0.130 (−0.484–0.225) |
| With chronic disease | −0.260 (−0.536–0.016) | −0.308 (−0.627–0.010) | −0.927 (−1.195–−0.660) | −0.144 (−0.553–0.265) | |
| Age group (years) | |||||
| <30 | All | −0.485 (−1.034–0.063) | −0.403 (−1.101–0.296) | −0.513 (−1.112–0.086) | −0.207 (−0.646–0.232) |
| With chronic disease | −0.537 (−1.086–0.011) | −0.541 (−0.239–0.158) | −0.676 (−1.275–−0.076) | −0.682 (−1.401–0.037) | |
| 30–39 | All | −0.298 (−0.737–0.142) | −0.230 (−0.768–0.309) | −0.358 (−0.817–0.101) | −0.356 (−0.882–0.169) |
| With chronic disease | −0.558 (−0.998–−0.118) | −0.372 (−0.912–0.167) | −0.967 (−1.428–−0.506) | −0.656 (−1.182–−0.131) | |
| 40–49 | All | −0.355 (−0.782–0.071) | −0.395 (−0.856–0.066) | −0.978 (−0.769–0.012) | −1.041 (−1.683–0.399) |
| With chronic disease | −1.135 (−1.562–−0.709) | −0.671 (−1.132–−0.210) | −0.850 (−1.241–−0.460) | −0.927 (−1.366–−0.488) | |
| 50–64 | All | −0.211 (−0.711–0.290) | −0.617 (−1.190–0.044) | −0.319 (−0.809–0.171) | −0.245 (−0.739–0.248) |
| With chronic disease | −1.015 (−1.414–−0.617) | −1.060 (−1.514–−0.606) | −1.194 (−1.574–−0.814) | −1.505 (−1.999–−1.012) | |
| ≥65 | All | 0.116 (−0.376–0.609) | −0.059 (−0.615–0.496) | −0.319 (−0.778–0.139) | 0.007 (−0.626–0.639) |
| With chronic disease | −1.116 (−0.507–0.274) | −0.059 (−0.304–0.186) | −0.337 (−0.794–0.119) | −0.447 (−1.009–0.116) | |
Publisher’s Note: MDPI stays neutral with regard to jurisdictional claims in published maps and institutional affiliations. |
© 2020 by the authors. Licensee MDPI, Basel, Switzerland. This article is an open access article distributed under the terms and conditions of the Creative Commons Attribution (CC BY) license (http://creativecommons.org/licenses/by/4.0/).
Share and Cite
Hwang, M.-J.; Kim, J.-H.; Cheong, H.-K. Short-Term Impacts of Ambient Air Pollution on Health-Related Quality of Life: A Korea Health Panel Survey Study. Int. J. Environ. Res. Public Health 2020, 17, 9128. https://doi.org/10.3390/ijerph17239128
Hwang M-J, Kim J-H, Cheong H-K. Short-Term Impacts of Ambient Air Pollution on Health-Related Quality of Life: A Korea Health Panel Survey Study. International Journal of Environmental Research and Public Health. 2020; 17(23):9128. https://doi.org/10.3390/ijerph17239128
Chicago/Turabian StyleHwang, Myung-Jae, Jong-Hun Kim, and Hae-Kwan Cheong. 2020. "Short-Term Impacts of Ambient Air Pollution on Health-Related Quality of Life: A Korea Health Panel Survey Study" International Journal of Environmental Research and Public Health 17, no. 23: 9128. https://doi.org/10.3390/ijerph17239128
APA StyleHwang, M.-J., Kim, J.-H., & Cheong, H.-K. (2020). Short-Term Impacts of Ambient Air Pollution on Health-Related Quality of Life: A Korea Health Panel Survey Study. International Journal of Environmental Research and Public Health, 17(23), 9128. https://doi.org/10.3390/ijerph17239128

