ZanzaMapp: A Scalable Citizen Science Tool to Monitor Perception of Mosquito Abundance and Nuisance in Italy and Beyond
Abstract
1. Introduction
2. Materials and Methods
2.1. ZanzaMapp Design and Release
2.2. Descriptive and Statistical Analyses
2.3. Management and Spatial Representation Tool
2.4. Pilot Field Validation
3. Results
3.1. Citizen Interest and Commitment
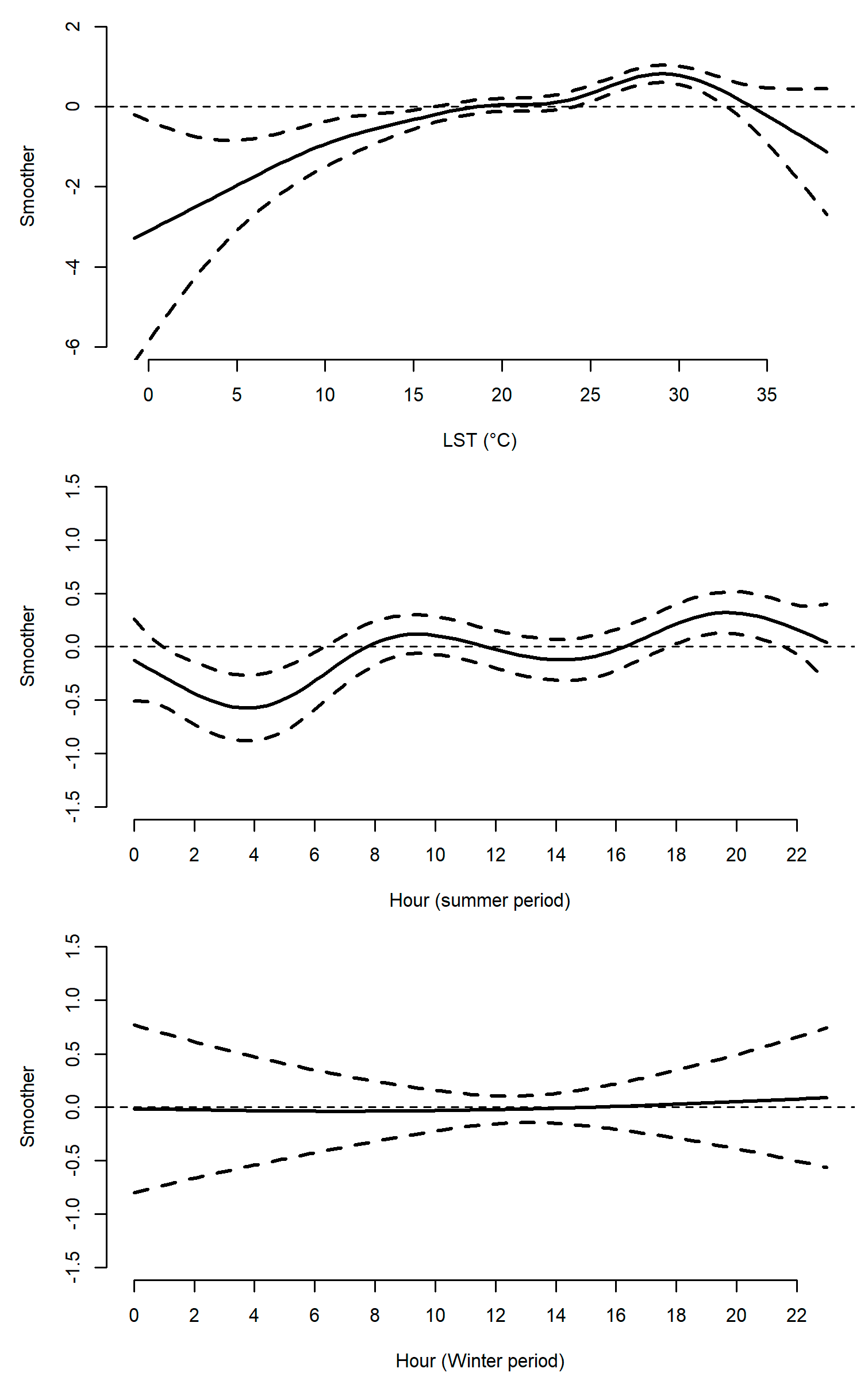
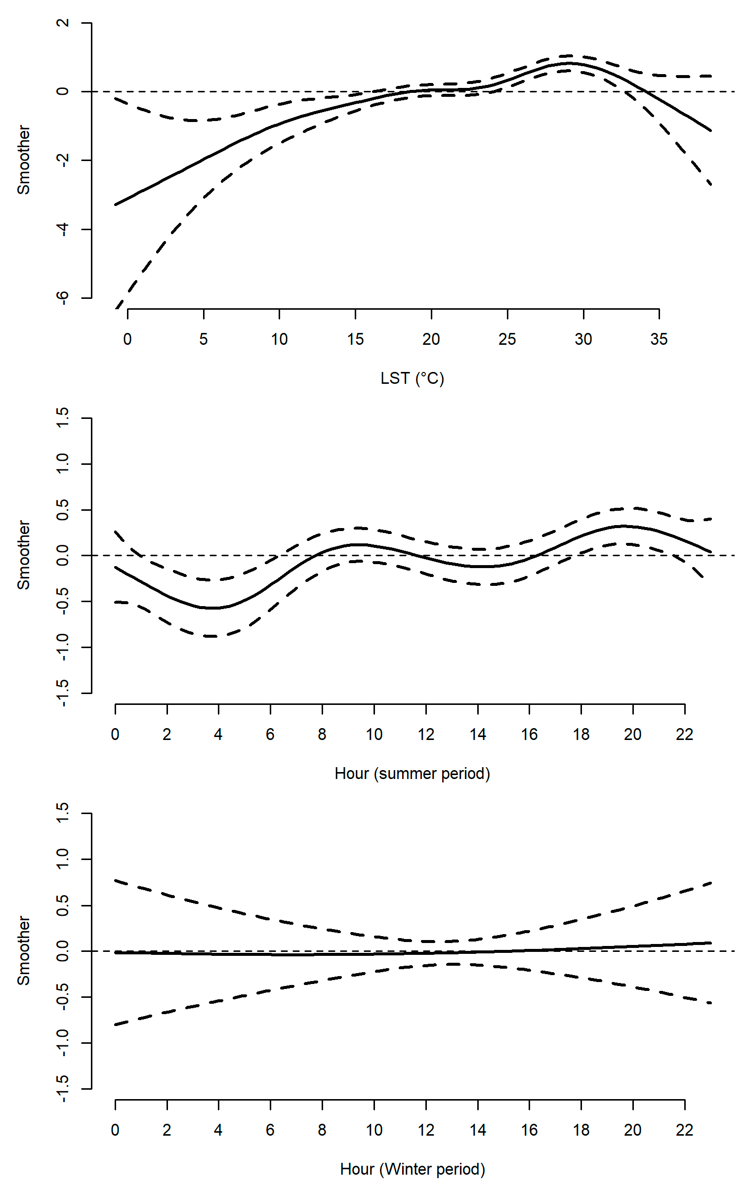
3.2. Mosquito Abundance Records and Biological Significance
3.3. Pilot Field Test Validation in Procida Island.
4. Discussion
5. Conclusions
Supplementary Materials
Author Contributions
Funding
Acknowledgments
Conflicts of Interest
References
- Bruguerasad, S.; Fernández-Martínez, B.; Martínez-de la Puente, J.; Figuerola, J.; Montalvo Porro, T.; Rius, C.; Larrauri, L.; Gómez-Barroso, D. Environmental drivers, climate change and emergent diseases transmitted by mosquitoes and their vectors in southern Europe: A systematic review. Environm. Res. 2020, 191, 110038. [Google Scholar] [CrossRef] [PubMed]
- Lazzarini, L.; Barzon, L.; Foglia, F.; Manfrin, V.; Pacenti, M.; Pavan, G.; Rassu, M.; Capelli, G.; Montarsi, F.; Martini, S.; et al. First autochthonous dengue outbreak in Italy, August 2020. Eurosurveillance 2020, 25, 2001606. [Google Scholar] [CrossRef] [PubMed]
- Adams, L.E.; Martin, S.W.; Lindsey, N.P.; Lehman, J.A.; Rivera, A.; Kolsin, J.; Landry, K.; Staples, J.E.; Sharp, T.M.; Paz-Bailey, G.; et al. Epidemiology of Dengue, Chikungunya, and Zika Virus disease in U.S. States and Territories, 2017. Am. J. Trop. Med. Hyg. 2019, 101, 884–890. [Google Scholar] [CrossRef] [PubMed]
- Caputo, B.; Russo, G.; Manica, M.; Vairo, F.; Poletti, P.; Guzzetta, G.; Merler, S.; Scagnolari, C.; Solimini, A. A comparative analysis of the 2007 and 2017 Italian chikungunya outbreaks and implication for public health response. PLoS Negl. Trop. Dis. 2020, 14, e0008159. [Google Scholar] [CrossRef] [PubMed]
- Caputo, B.; Manica, M.; D’Alessandro, A.; Bottà, G.; Filipponi, F.; Protano, C.; Vitali, M.; Rosà, R.; della Torre, A. Assessment of the Effectiveness of a Seasonal-Long Insecticide-Based Control Strategy against Aedes albopictus Nuisance in an Urban Area. PLoS Negl. Trop. Dis. 2016, 10. [Google Scholar] [CrossRef]
- Manica, M.; Filipponi, F.; D’Alessandro, A.; Screti, A.; Neteler, M.; Rosà, R.; Solimini, A.; della Torre, A.; Caputo, B. Spatial and Temporal Hot Spots of Aedes albopictus Abundance inside and outside a South European Metropolitan Area. PLoS Negl. Trop. Dis. 2016, 10. [Google Scholar] [CrossRef]
- Roiz, D.; Wilson, A.L.; Scott, T.W.; Fonseca, D.M.; Jourdain, F.; Müller, P.; Velayudhan, R.; Corbel, V. Integrated Aedes management for the control of Aedes-borne diseases. PLoS Negl. Trop. Dis. 2018, 12, e0006845. [Google Scholar] [CrossRef]
- Caputo, B.; Manica, M. Mosquito surveillance and disease outbreak risk models to inform mosquito-control operations in Europe. Curr. Opin. Insect Sci. 2020, 39, 101–108. [Google Scholar] [CrossRef]
- Palmer, J.R.B.; Oltra, A.; Collantes, F.; Delgado, J.A.; Lucientes, J.; Delacour, S.; Bengoa, M.; Eritja, R.; Bartumeus, F. Citizen science provides a reliable and scalable tool to track disease-carrying mosquitoes. Nat. Commun. 2017, 8, 1–13. [Google Scholar] [CrossRef]
- Frigerio, D.; Pipek, P.; Kimmig, S.; Winter, S.; Melzheimer, J.; Diblíková, L.; Wachter, B.; Richter, A. Citizen science and wildlife biology: Synergies and challenges. Ethology 2018, 124, 365–377. [Google Scholar] [CrossRef]
- Tyson, E.; Bowser, A.; Palmer, J.; Kapan, D.; Bartumeus, F.; Brocklehurst, M.; Pauwels, E. Global Mosquito Alert: Building Citizen Science Capacity for Surveillance and Control of Disease-Vector Mosquitoes; Woodrow Wilson International Center for Scholars: Washington, DC, USA, 2018. [Google Scholar]
- Kampen, H.; Medlock, J.M.; Vaux, A.G.C.; Koenraadt, C.J.M.; Van Vliet, A.J.H.; Bartumeus, F.; Oltra, A.; Sousa, C.A.; Chouin, S.; Werner, D. Approaches to passive mosquito surveillance in the EU. Parasit. Vectors 2015, 8. [Google Scholar] [CrossRef] [PubMed]
- Walther, D.; Kampen, H. The Citizen Science Project ‘Mueckenatlas’ Helps Monitor the Distribution and Spread of Invasive Mosquito Species in Germany. J. Med. Entomol. 2017, 54, 1790. [Google Scholar] [CrossRef]
- Eritja, R.; Ruiz-Arrondo, I.; Delacour-Estrella, S.; Schaffner, F.; Álvarez-Chachero, J.; Bengoa, M.; Puig, M.-Á.; Melero-Alcíbar, R.; Oltra, A.; Bartumeus, F. First detection of Aedes japonicus in Spain: An unexpected finding triggered by citizen science. Parasit. Vectors 2019, 12, 53. [Google Scholar] [CrossRef] [PubMed]
- Eritja, R.; Palmer, J.R.B.; Roiz, D.; Sanpera-Calbet, I.; Bartumeus, F. Direct Evidence of Adult Aedes albopictus Dispersal by Car. Sci. Rep. 2017, 7, 1–15. [Google Scholar] [CrossRef] [PubMed]
- ZanzaMapp. Available online: http://www.zanzamapp.it/download/ (accessed on 26 October 2020).
- Rete del Sistema Informativo Nazionale Ambientale. Available online: http://www.sinanet.isprambiente.it (accessed on 26 October 2020).
- Geoportale Nazionale. Available online: http://www.pcn.minambiente.it/GN (accessed on 26 October 2020).
- Metz, M.; Rocchini, D.; Neteler, M. Surface temperatures at the continental scale: Tracking changes with remote sensing at unprecedented detail. Remote Sens. 2014, 6, 3822–3840. [Google Scholar] [CrossRef]
- Geographic Resources Analysis Support System (GRASS GIS) Software, GRASS Development Team. Available online: https://grass.osgeo.org (accessed on 26 October 2020).
- R Package for Spatial Analysis of Citizen Science Mosquito Reports. Available online: https://github.com/ffilipponi/CSmosquitoSp (accessed on 26 October 2020).
- Callaghan, C.T.; Rowley, J.J.L.; Cornwell, W.K.; Poore, A.G.B.; Major, R.E. Improving big citizen science data: Moving beyond haphazard sampling. PLoS Biol. 2019, 17. [Google Scholar] [CrossRef]
- Lukyanenko, R.; Wiggins, A.; Rosser, H.K. Citizen Science: An Information Quality Research Frontier. Inf. Syst. Front. 2019, 1–23. [Google Scholar] [CrossRef]
- Tisseuil, C.; Velo, E.; Bino, S.; Kadriaj, P.; Mersini, K.; Shukullari, A.; Simaku, A.; Rogozi, E.; Caputo, B.; Ducheyne, E.; et al. Forecasting the spatial and seasonal dynamic of Aedes albopictus oviposition activity in Albania and Balkan countries. PLoS Negl. Trop. Dis. 2018, 12, 1–16. [Google Scholar] [CrossRef] [PubMed]
- Roiz, D.; Neteler, M.; Castellani, C.; Arnoldi, D.; Rizzoli, A. Climatic factors driving invasion of the tiger mosquito (Aedes albopictus) into new areas of Trentino, Northern Italy. PLoS ONE 2011, 6, 4–11. [Google Scholar] [CrossRef]
- Manica, M.; Caputo, B.; Screti, A.; Filipponi, F.; Rosà, R.; Solimini, A.; della Torre, A.; Blangiardo, M. Applying the N-mixture model approach to estimate mosquito population absolute abundance from monitoring data. J. Appl. Ecol. 2019, 56, 2225–2235. [Google Scholar] [CrossRef]
- Romi, R.; Severini, F.; Toma, T. Cold acclimation and overwintering of female Aedes albopictus in Roma. J. Am. Mosq. Control Assoc. 2006, 22. [Google Scholar] [CrossRef]
- Mancini, G.; Montarsi, F.; Calzolari, M.; Capelli, G.; Dottori, M.; Ravagnan, S.; Lelli, D.; Chiari, M.; Santilli, A.; Quaglia, M.; et al. Specie di zanzare coinvolte nella circolazione dei virus della West Nile e Usutu in Italia. Vet. Ital. 2017, 53, 97–110. [Google Scholar] [CrossRef] [PubMed]
- Tran, A.; L’Ambert, G.; Lacour, G.; Benoît, R.; Demarchi, M.; Cros, M.; Cailly, P.; Aubry-Kientz, M.; Balenghien, T.; Ezanno, P. A rainfall- and temperature-driven abundance model for Aedes albopictus populations. Int. J. Environ. Res. Public Health 2013, 10, 1698–1719. [Google Scholar] [CrossRef] [PubMed]
- Marini, G.; Poletti, P.; Giacobini, M.; Pugliese, A.; Merler, S.; Rosà, R. The Role of Climatic and Density Dependent Factors in Shaping Mosquito Population Dynamics: The Case of Culex pipiens in Northwestern Italy. PLoS ONE 2016, 11, e0154018. [Google Scholar] [CrossRef]
- Delatte, H.; Desvars, A.; Boué tard, A.; verine Bord, S.; Gimonneau, G.; Vourc, G.; Fontenille, D. Blood-Feeding Behavior of Aedes albopictus, a Vector of Chikungunya on La Reunion. Vector-Borne Zoonotic Dis. 2010, 10, 249–258. [Google Scholar] [CrossRef] [PubMed]
- Fritz, M.L.; Walker, E.D.; Yunker, A.J.; Dworkin, I. Daily blood feeding rhythms of laboratory-reared North American Culex pipiens. J. Circadian Rhythms 2014, 12, 1. [Google Scholar] [CrossRef] [PubMed]
- Venturi, G.; Di Luca, M.; Fortuna, C.; Remoli, M.E.; Riccardo, F.; Severini, F.; Toma, L.; Del Manso, M.; Benedetti, E.; Caporali, M.G.; et al. Detection of a chikungunya outbreak in Central Italy, August to September 2017. Eurosurveillance 2017, 22, 17–00646. [Google Scholar] [CrossRef]
- Manica, M.; Guzzetta, G.; Poletti, P.; Filipponi, F.; Solimini, A.; Caputo, B.; della Torre, A.; Rosà, R.; Merler, S. Transmission dynamics of the ongoing chikungunya outbreak in Central Italy: From coastal areas to the metropolitan city of Rome, summer 2017. Eurosurveillance 2017, 22. [Google Scholar] [CrossRef]
- Curley, M.; Salmelin, B. Open Innovation 2.0 The New Mode of Digital Innovation for Prosperity and Sustainability; Springer International Publishing: Basel, Switzerland, 2018. [Google Scholar]
- Bartumeus, F.; Oltra, A.; Palmer, J.R.B. Citizen Science: A Gateway for Innovation in Disease-Carrying Mosquito Management? Trends Parasitol. 2018, 34, 727–729. [Google Scholar] [CrossRef]







| Parameter | Estimate | Std. Error | Z-Value | Pr (>|z|) |
|---|---|---|---|---|
| Intercept | −0.839 | 0.065 | −12.895 | <0.001 |
| Year (2018) | −0.016 | 0.090 | −0.177 | 0.860 |
| Period (Winter) | −0.816 | 0.232 | −3.516 | <0.001 |
| Population | −0.197 | 0.040 | −4.890 | <0.001 |
Publisher’s Note: MDPI stays neutral with regard to jurisdictional claims in published maps and institutional affiliations. |
© 2020 by the authors. Licensee MDPI, Basel, Switzerland. This article is an open access article distributed under the terms and conditions of the Creative Commons Attribution (CC BY) license (http://creativecommons.org/licenses/by/4.0/).
Share and Cite
Caputo, B.; Manica, M.; Filipponi, F.; Blangiardo, M.; Cobre, P.; Delucchi, L.; De Marco, C.M.; Iesu, L.; Morano, P.; Petrella, V.; et al. ZanzaMapp: A Scalable Citizen Science Tool to Monitor Perception of Mosquito Abundance and Nuisance in Italy and Beyond. Int. J. Environ. Res. Public Health 2020, 17, 7872. https://doi.org/10.3390/ijerph17217872
Caputo B, Manica M, Filipponi F, Blangiardo M, Cobre P, Delucchi L, De Marco CM, Iesu L, Morano P, Petrella V, et al. ZanzaMapp: A Scalable Citizen Science Tool to Monitor Perception of Mosquito Abundance and Nuisance in Italy and Beyond. International Journal of Environmental Research and Public Health. 2020; 17(21):7872. https://doi.org/10.3390/ijerph17217872
Chicago/Turabian StyleCaputo, Beniamino, Mattia Manica, Federico Filipponi, Marta Blangiardo, Pietro Cobre, Luca Delucchi, Carlo Maria De Marco, Luca Iesu, Paola Morano, Valeria Petrella, and et al. 2020. "ZanzaMapp: A Scalable Citizen Science Tool to Monitor Perception of Mosquito Abundance and Nuisance in Italy and Beyond" International Journal of Environmental Research and Public Health 17, no. 21: 7872. https://doi.org/10.3390/ijerph17217872
APA StyleCaputo, B., Manica, M., Filipponi, F., Blangiardo, M., Cobre, P., Delucchi, L., De Marco, C. M., Iesu, L., Morano, P., Petrella, V., Salvemini, M., Bianchi, C., & della Torre, A. (2020). ZanzaMapp: A Scalable Citizen Science Tool to Monitor Perception of Mosquito Abundance and Nuisance in Italy and Beyond. International Journal of Environmental Research and Public Health, 17(21), 7872. https://doi.org/10.3390/ijerph17217872

