Assessing the Influence of Compost and Biochar Amendments on the Mobility and Uptake of Heavy Metals by Green Leafy Vegetables
Abstract
1. Introduction
2. Materials and Methods
2.1. Material Properties and Heavy Metal Content—Before the Experiment
2.1.1. Substrate Collection (Soil, Biochar and Compost)
2.1.2. Analyses of the Substrates
2.2. Design of the Experiment
2.3. Chemical and Physical Analyses of Soil—After the Experiment
2.4. Heavy Metals Content
2.4.1. Analyses of Heavy Metal Content in Soil
2.4.2. Analyses of Heavy Metal Content in Plant Tissues
2.5. Data Analysis
3. Results
3.1. Effect of Amendments on Soil Physical and Chemical Properties
3.2. Sequential Extraction of Heavy Metals
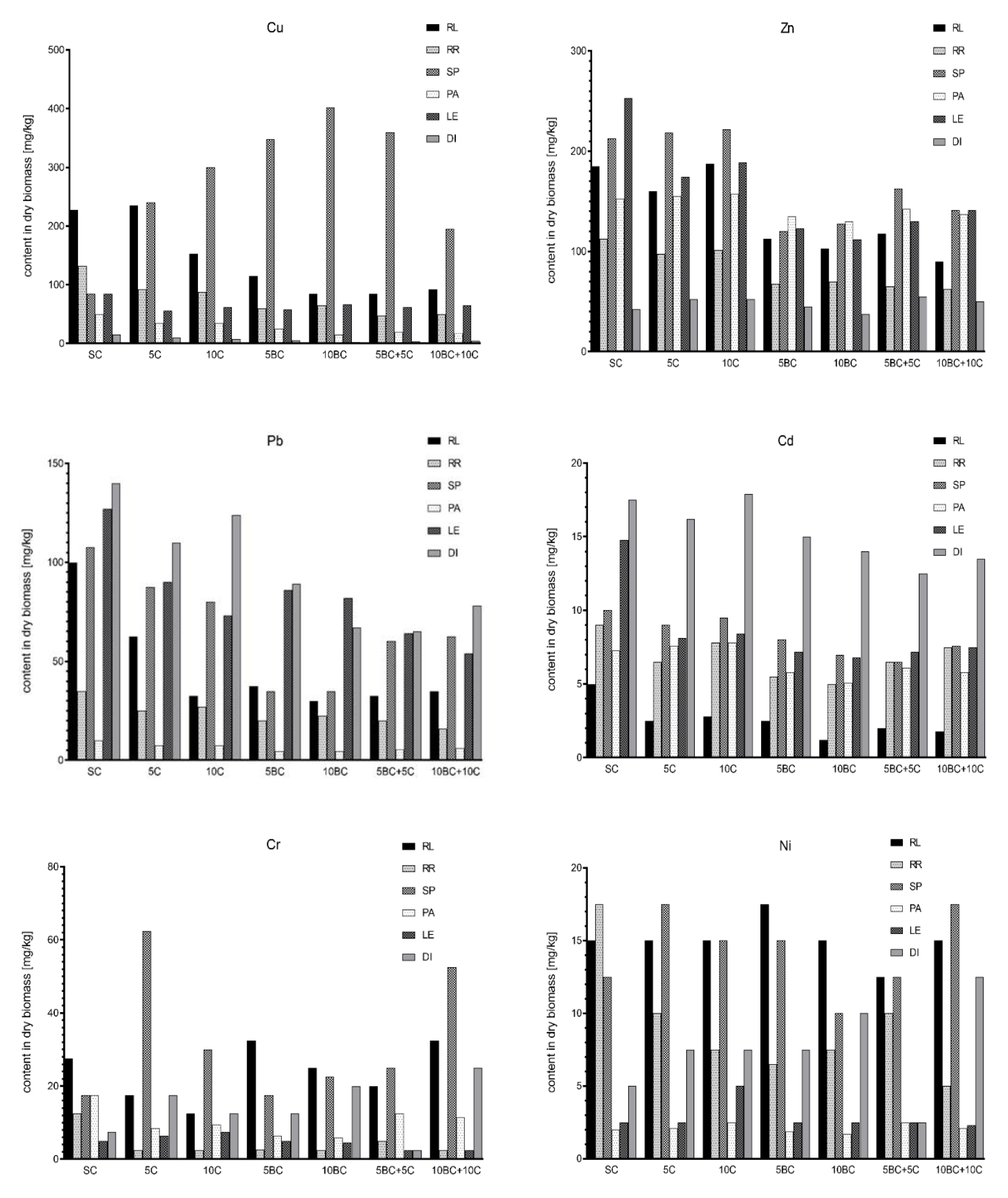
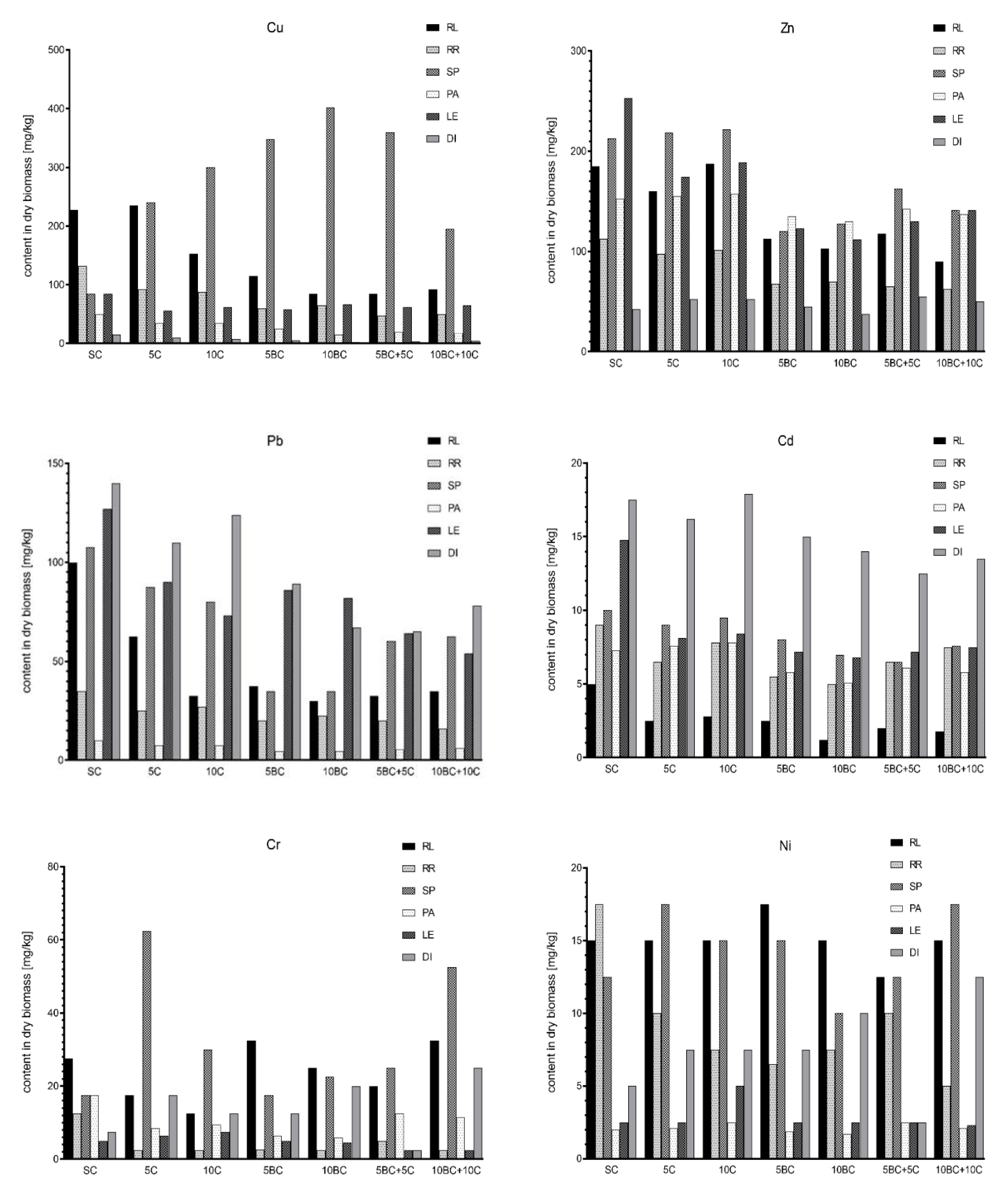
3.3. Heavy Metals Accumulation in Plants
4. Discussion
5. Conclusions
- The results of our study show that organic amendments noticeably reduced the uptake of heavy metals by various leafy vegetables, showing the best result of reduced accumulation for biochar variants and biochar combined with compost.
- Simple application of compost increased solubility of some trace elements initiating more intensive uptake and resulting in higher bioaccumulation of this contaminants in edible plant parts.
- Combining biochar and compost is recommended to enhance their beneficial properties and to minimize potential negative impact on environment.
- Spinach and dill were most capable of metal bioaccumulation. Therefore, it is recommended to avoid or reduce their consumption, if grown on potentially contaminated soil.
Author Contributions
Funding
Conflicts of Interest
References
- Alloway, B.J. Heavy metals in soils. Heavy Met. Soils 1990. [Google Scholar] [CrossRef]
- Chibuike, G.U.; Obiora, S.C. Heavy metal polluted soils: Effect on plants and bioremediation methods. Appl. Environ. Soil Sci. 2014, 2014. [Google Scholar] [CrossRef]
- Liu, L.; Wang, S.; Guo, X.; Wang, H. Comparison of the effects of different maturity composts on soil nutrient, plant growth and heavy metal mobility in the contaminated soil. J. Environ. Manag. 2019, 250, 109525. [Google Scholar] [CrossRef] [PubMed]
- Tripti; Kumar, A.; Maleva, M.; Borisova, G.; Chukina, N.; Morozova, M.; Kiseleva, I. Nickel and copper accumulation strategies in Odontarrhena obovata growing on copper smelter-influenced and non-influenced serpentine soils: A comparative field study. Environ. Geochem. Health 2020. [Google Scholar] [CrossRef]
- Liu, N.; Liao, P.; Zhang, J.; Zhou, Y.; Luo, L.; Huang, H.; Zhang, L. Characteristics of denitrification genes and relevant enzyme activities in heavy-metal polluted soils remediated by biochar and compost. Sci. Total Environ. 2020, 739, 139987. [Google Scholar] [CrossRef]
- Woldetsadik, D.; Drechsel, P.; Keraita, B.; Marschner, B.; Itanna, F.; Gebrekidan, H. Effects of biochar and alkaline amendments on cadmium immobilization, selected nutrient and cadmium concentrations of lettuce (Lactuca sativa) in two contrasting soils. Springerplus 2016, 5, 397. [Google Scholar] [CrossRef]
- Jolly, Y.N.; Islam, A.; Akbar, S. Transfer of metals from soil to vegetables and possible health risk assessment. Springerplus 2013, 2, 385. [Google Scholar] [CrossRef]
- Raj, D.; Kumar, A.; Maiti, S.K. Mercury remediation potential of Brassica juncea (L.) Czern. for clean-up of flyash contaminated sites. Chemosphere 2020, 248, 125857. [Google Scholar] [CrossRef]
- Jones, S.; Bardos, R.P.; Kidd, P.S.; Mench, M.; de Leij, F.; Hutchings, T.; Cundy, A.; Joyce, C.; Soja, G.; Friesl-Hanl, W.; et al. Biochar and compost amendments enhance copper immobilisation and support plant growth in contaminated soils. J. Environ. Manag. 2016, 171, 101–112. [Google Scholar] [CrossRef]
- Stegenta, S.; Sobieraj, K.; Pilarski, G.; Koziel, J.A.; Białowiec, A. Analysis of the spatial and temporal distribution of process gases within municipal biowaste compost. Sustainability 2019, 11, 2340. [Google Scholar] [CrossRef]
- Farrell, M.; Jones, D.L. Critical evaluation of municipal solid waste composting and potential compost markets. Bioresour. Technol. 2009, 100, 4301–4310. [Google Scholar] [CrossRef] [PubMed]
- Clemente, R.; Walker, D.J.; Pardo, T.; Martínez-Fernández, D.; Bernal, M.P. The use of a halophytic plant species and organic amendments for the remediation of a trace elements-contaminated soil under semi-arid conditions. J. Hazard. Mater. 2012, 223, 63–71. [Google Scholar] [CrossRef]
- Srivastava, V.; De Araujo, A.S.F.; Vaish, B.; Bartelt-Hunt, S.; Singh, P.; Singh, R.P. Biological response of using municipal solid waste compost in agriculture as fertilizer supplement. Rev. Environ. Sci. Biotechnol. 2016, 15, 677–696. [Google Scholar] [CrossRef]
- Papafilippaki, A.; Paranychianakis, N.; Nikolaidis, N.P. Effects of soil type and municipal solid waste compost as soil amendment on Cichorium spinosum (spiny chicory) growth. Sci. Hortic. (Amst.) 2015, 9, 30. [Google Scholar] [CrossRef]
- Baldwin, K.R.; Shelton, J.E. Availability of heavy metals in compost-amended soil. Bioresour. Technol. 1999, 69, 1–14. [Google Scholar] [CrossRef]
- Campbell, R.M.; Anderson, N.M.; Daugaard, D.E.; Naughton, H.T. Financial viability of biofuel and biochar production from forest biomass in the face of market price volatility and uncertainty. Appl. Energy 2018, 230, 330–343. [Google Scholar] [CrossRef]
- Karami, N.; Clemente, R.; Moreno-Jiménez, E.; Lepp, N.W.; Beesley, L. Efficiency of green waste compost and biochar soil amendments for reducing lead and copper mobility and uptake to ryegrass. J. Hazard. Mater. 2011, 191, 41–48. [Google Scholar] [CrossRef] [PubMed]
- Medyńska-Juraszek, A.; Ćwieląg-Piasecka, I. Effect of biochar application on heavy metal mobility in soils impacted by copper smelting processes. Pol. J. Environ. Stud. 2020, 29, 1749–1757. [Google Scholar] [CrossRef]
- Uchimiya, M.; Lima, I.M.; Klasson, K.T.; Wartelle, L.H. Contaminant immobilization and nutrient release by biochar soil amendment: Roles of natural organic matter. Chemosphere 2010, 80, 935–940. [Google Scholar] [CrossRef] [PubMed]
- Gäbler, H.E. Mobility of heavy metals as a function of pH of samples from an overbank sediment profile contaminated by mining activities. J. Geochemical Explor. 1997, 58, 185–194. [Google Scholar] [CrossRef]
- Xiang, L.; Sheng, H.; Gu, C.; Marc, R.G.; Wang, Y.; Bian, Y.; Jiang, X.; Wang, F. Biochar combined with compost to reduce the mobility, bioavailability and plant uptake of 2,2’,4,4’-tetrabrominated diphenyl ether in soil. J. Hazard. Mater. 2019, 374, 341–348. [Google Scholar] [CrossRef]
- Beesley, L.; Moreno-Jiménez, E.; Gomez-Eyles, J.L. Effects of biochar and greenwaste compost amendments on mobility, bioavailability and toxicity of inorganic and organic contaminants in a multi-element polluted soil. Environ. Pollut. 2010, 158, 2282–2287. [Google Scholar] [CrossRef]
- Agegnehu, G.; Bass, A.M.; Nelson, P.N.; Muirhead, B.; Wright, G.; Bird, M.I. Biochar and biochar-compost as soil amendments: Effects on peanut yield, soil properties and greenhouse gas emissions in tropical North Queensland, Australia. Agric. Ecosyst. Environ. 2015, 213, 72–85. [Google Scholar] [CrossRef]
- Jahn, R.; Blume, H.; Asio, V.; Spaargaren, O.; Schad, P. Guidelines for soil description. In Chest; Food and Agriculture Organization of the United Nations: Rome, Italy, 2006; pp. 1–96. ISBN 9789251055212. [Google Scholar]
- Medyńska-Juraszek, A.; Kabała, C. Heavy metal pollution of forest soils affected by the copper industry. J. Elem. 2012. [Google Scholar] [CrossRef]
- Reeuwijk, L. Procedures for soil analysis. In Tech. Pap.; International Soil Reference and Information Centre: Wageningen, The Netherlands, 2002; pp. 1–101. ISBN 90-6672-044-1. [Google Scholar]
- Minister for the Environment. Regulation of the Minister for the Environment of 1 September 2016 on the Method How to Carry out the Assessment of Soil Contamination. J. Laws 2016, 1395. (In Polish) [Google Scholar]
- European Biochar Foundation (EBC). Guidelines for a Sustainable Production of Biochar. Eur. Biochar Found. 2016. [Google Scholar] [CrossRef]
- Weber, J.; Strączyńska, S.; Kocowicz, A.; Gilewska, M.; Bogacz, A.; Gwizdz, M.; Dębicka, M. Properties of soil materials derived from fly ash 11years after revegetation of post-mining excavation. Catena 2015, 133, 250–254. [Google Scholar] [CrossRef]
- Pueyo, M.; Mateu, J.; Rigol, A.; Vidal, M.; López-Sánchez, J.F.; Rauret, G. Use of the modified BCR three-step sequential extraction procedure for the study of trace element dynamics in contaminated soils. Environ. Pollut. 2008, 152, 330–341. [Google Scholar] [CrossRef]
- Li, M.S.; Luo, Y.P.; Su, Z.Y. Heavy metal concentrations in soils and plant accumulation in a restored manganese mineland in Guangxi, South China. Environ. Pollut. 2007, 147, 168–175. [Google Scholar] [CrossRef]
- Zhou, H.; Yang, W.T.; Zhou, X.; Liu, L.; Gu, J.F.; Wang, W.L.; Zou, J.L.; Tian, T.; Peng, P.Q.; Liao, B.H. Accumulation of heavy metals in vegetable species planted in contaminated soils and the health risk assessment. Int. J. Environ. Res. Public Health 2016, 13, 289. [Google Scholar] [CrossRef]
- Ojeda, G.; Mattana, S.; Àvila, A.; Alcañiz, J.M.; Volkmann, M.; Bachmann, J. Are soil-water functions affected by biochar application? Geoderma 2015, 1–11. [Google Scholar] [CrossRef]
- Karhu, K.; Mattila, T.; Bergström, I.; Regina, K. Biochar addition to agricultural soil increased CH4 uptake and water holding capacity—Results from a short-term pilot field study. Agric. Ecosyst. Environ. 2011, 140, 309–313. [Google Scholar] [CrossRef]
- Kinney, T.J.; Masiello, C.A.; Dugan, B.; Hockaday, W.C.; Dean, M.R.; Zygourakis, K.; Barnes, R.T. Hydrologic properties of biochars produced at different temperatures. Biomass Bioenergy 2012, 41, 34–43. [Google Scholar] [CrossRef]
- Peake, L.R.; Reid, B.J.; Tang, X. Quantifying the influence of biochar on the physical and hydrological properties of dissimilar soils. Geoderma 2014, 182–190. [Google Scholar] [CrossRef]
- Głąb, T.; Palmowska, J.; Zaleski, T.; Gondek, K. Effect of biochar application on soil hydrological properties and physical quality of sandy soil. Geoderma 2016, 281, 11–20. [Google Scholar] [CrossRef]
- Wang, T.; Stewart, C.E.; Sun, C.; Wang, Y.; Zheng, J. Effects of biochar addition on evaporation in the five typical Loess Plateau soils. Catena 2018, 162, 29–39. [Google Scholar] [CrossRef]
- Lehmann, J.; Joseph, S. Biochar for Environmental Management: Science and Technology; Earthscan, Business & Economics: London, UK, 2012; ISBN 9781849770552. [Google Scholar]
- Medynśka-Juraszek, A.; Ćwielag-Piasecka, I.; Jerzykiewicz, M.; Trynda, J. Wheat straw biochar as a specific sorbent of cobalt in soil. Materials 2020, 13, 2462. [Google Scholar] [CrossRef]
- Beesley, L.; Marmiroli, M.; Pagano, L.; Pigoni, V.; Fellet, G.; Fresno, T.; Vamerali, T.; Bandiera, M.; Marmiroli, N. Biochar addition to an arsenic contaminated soil increases arsenic concentrations in the pore water but reduces uptake to tomato plants (Solanum lycopersicum L.). Sci. Total Environ. 2013, 598–603. [Google Scholar] [CrossRef]
- Petruzzelli, G. Heavy Metals in Compost and their Effect on Soil Quality. In The Science of Composting; Springer Science and Business Media: Dordrecht, The Netherlands, 1996; pp. 213–223. [Google Scholar]
- Zmora-Nahum, S.; Markovitch, O.; Tarchitzky, J.; Chen, Y. Dissolved organic carbon (DOC) as a parameter of compost maturity. Soil Biol. Biochem. 2005, 37, 2109–2116. [Google Scholar] [CrossRef]
- Park, J.H.; Lamb, D.; Paneerselvam, P.; Choppala, G.; Bolan, N.; Chung, J.W. Role of organic amendments on enhanced bioremediation of heavy metal(loid) contaminated soils. J. Hazard. Mater. 2011, 185, 549–574. [Google Scholar] [CrossRef]
- Liang, J.; Yang, Z.; Tang, L.; Zeng, G.; Yu, M.; Li, X.; Wu, H.; Qian, Y.; Li, X.; Luo, Y. Changes in heavy metal mobility and availability from contaminated wetland soil remediated with combined biochar-compost. Chemosphere 2017, 181, 281–288. [Google Scholar] [CrossRef]
- Tang, J.; Zhang, L.; Zhang, J.; Ren, L.; Zhou, Y.; Zheng, Y.; Luo, L.; Yang, Y.; Huang, H.; Chen, A. Physicochemical features, metal availability and enzyme activity in heavy metal-polluted soil remediated by biochar and compost. Sci. Total Environ. 2020, 701, 134751. [Google Scholar] [CrossRef]
- Joffe, M.; Robertson, A. The potential contribution of increased vegetable and fruit consumption to health gain in the European Union. Public Health Nutr. 2001, 4, 893–901. [Google Scholar] [CrossRef]
- Gracia, A.; Albisu, L.M. Food consumption in the European Union: Main determinants and country differences. Agribusiness 2001, 17, 469–488. [Google Scholar] [CrossRef]
- Tóth, G.; Hermann, T.; Szatmári, G.; Pásztor, L. Maps of heavy metals in the soils of the European Union and proposed priority areas for detailed assessment. Sci. Total Environ. 2016, 565, 1054–1062. [Google Scholar] [CrossRef] [PubMed]
- Peralta-Videa, J.R.; Lopez, M.L.; Narayan, M.; Saupe, G.; Gardea-Torresdey, J. The biochemistry of environmental heavy metal uptake by plants: Implications for the food chain. Int. J. Biochem. Cell Biol. 2009, 41, 1665–1677. [Google Scholar] [CrossRef] [PubMed]
- Kumpiene, J.; Lagerkvist, A.; Maurice, C. Stabilization of As, Cr, Cu, Pb and Zn in soil using amendments—A review. Waste Manag. 2008, 28, 215–225. [Google Scholar] [CrossRef]
- Bolan, N.; Kunhikrishnan, A.; Thangarajan, R.; Kumpiene, J.; Park, J.; Makino, T.; Kirkham, M.B.; Scheckel, K. Remediation of heavy metal(loid)s contaminated soils—To mobilize or to immobilize? J. Hazard. Mater. 2014, 266, 141–166. [Google Scholar] [CrossRef] [PubMed]
- Zurera-Cosano, G.; Moreno-Rojas, R.; Salmeron-Egea, J.; Lora, R.P. Heavy metal uptake from greenhouse border soils for edible vegetables. J. Sci. Food Agric. 1989, 49, 307–314. [Google Scholar] [CrossRef]
- Srinivas, N.; Ramakrishna Rao, S.; Suresh Kumar, K. Trace metal accumulation in vegetables grown in industrial and semi-urban areas—A case study. Appl. Ecol. Environ. Res. 2009, 7, 131–139. [Google Scholar] [CrossRef]
- Ngole, V.M. Using soil heavy metal enrichment and mobility factors to determine potential uptake by vegetables. Plant Soil Environ. 2011, 57, 75–80. [Google Scholar] [CrossRef]
- Benzarti, S.; Mohri, S.; Ono, Y. Plant response to heavy metal toxicity: Comparative study between the Hyperaccumulator Thlaspi caerulescens (ecotype ganges) and nonaccumulator plants: Lettuce, radish, and alfalfa. Proc. Environ. Toxicol. 2008, 23, 607–616. [Google Scholar] [CrossRef] [PubMed]
- Singh, S.; Zacharias, M.; Kalpana, S.; Mishra, S. Heavy metals accumulation and distribution pattern in different vegetable crops. J. Environ. Chem. Ecotoxicol. 2012, 4. [Google Scholar] [CrossRef]
- Kabata-Pendias, A. Trace Elements in Soils and Plants, 4th ed.; Taylor Francis Group and Informa Business: Boca Raton, FL, USA, 2010; ISBN 9781420093704. [Google Scholar] [CrossRef]
- Amirahmadi, E.; Hojjati, S.M.; Kammann, C.; Ghorbani, M.; Biparva, P. The potential effectiveness of biochar application to reduce soil Cd bioavailability and encourage oak seedling growth. Appl. Sci. 2020, 10, 3410. [Google Scholar] [CrossRef]
- Coumar, M.V.; Parihar, R.S.; Dwivedi, A.K.; Saha, J.K.; Rajendiran, S.; Dotaniya, M.L.; Kundu, S. Impact of pigeon pea biochar on cadmium mobility in soil and transfer rate to leafy vegetable spinach. Environ. Monit. Assess. 2016, 188, 31. [Google Scholar] [CrossRef] [PubMed]
- Pagnanelli, F.; Esposito, A.; Toro, L.; Vegliò, F. Metal speciation and pH effect on Pb, Cu, Zn and Cd biosorption onto Sphaerotilus natans: Langmuir-type empirical model. Water Res. 2003, 37, 627–633. [Google Scholar] [CrossRef]
- Kacálková, L.; Tlustoš, P.; Száková, J. Chromium, Nickel, Cadmium, and lead accumulation in maize, Sunflower, Willow, and poplar. Polish J. Environ. Stud. 2014, 23, 753–761. [Google Scholar]
- Shahid, M.; Shamshad, S.; Rafiq, M.; Khalid, S.; Bibi, I.; Niazi, N.K.; Dumat, C.; Rashid, M.I. Chromium speciation, bioavailability, uptake, toxicity and detoxification in soil-plant system: A review. Chemosphere 2017, 178, 513–533. [Google Scholar] [CrossRef]




| Characteristic | Value |
|---|---|
| Soil | |
| Classification | Fluvic Brunic Arenosol (FAO WRB) |
| Texture | loamy sand (73% sand, 26% silt, 1% clay) |
| pH (in H2O) | 4.87 ± 0.15 * |
| Total organic carbon (TOC, %) | 0.97 ± 0.05 |
| Total nitrogen (TN, %) | 0.07 ± 0.02 |
| Cation exchange capacity (CEC *, cmol/kg) | 5.51 ± 0.13 |
| Biochar | |
| Substrate | wheat straw |
| Pyrolysis time | 30 sec. |
| Pyrolysis temperature | 550 ℃ |
| pH | 9.86 ± 0.12 |
| Total organic carbon (TOC, %) | 55 ± 0.5 |
| Total nitrogen (TN, %) | 1.12 ± 0.03 |
| Cation exchange capacity (CEC, cmol/kg) | 63 |
| Specific surface area (SSA, m2/g) | 239 ± 4.5 |
| Ash content (%) | 32 ± 1.2 |
| Compost | |
| Substrate | urban green waste |
| Composting time | 12 weeks |
| Composting method | prisms |
| pH | 5.91 ± 0.15 |
| Total organic carbon (TOC, %) | 12.2 ± 0.03 |
| Total nitrogen (TN, %) | 0.89 ± 0.02 |
| Metal (loid) (mg/kg) | Soil | Biochar | Compost |
|---|---|---|---|
| Cu | 321 ± 3.5 * (100) a | 11 ± 1.1(70) | 45.3 ± 1.3 * |
| Zn | 32.4 ± 1.4 (300) | 38 ± 0.4 (200) | 22.0 ± 0.8 * |
| Pb | 174 ± 2.1 (100) b | 2 ± 0.1 (45) | 24.3 ± 1.1 (140) |
| Cd | 6.2 ± 1.1 (2) | <0.01 (0.7) | 1.9 ± 0.2 (5) |
| Cr | 8.9 ± 0.6 (150) | 3.5 ± 0.4 (70) | 19 ± 1.4 (100) |
| Ni | 9.2 ± 0.4 (100) | 2.4 ± 0.5 (25) | 7.0 ± 0.3(60) |
| As | 1.3 ± 0.15 (10) | 0.1 ± 0.0(13) | 1.1 ± 0.2 * |
| Description | Abbreviation | Amendment Dose Equivalent (t/ha) |
|---|---|---|
| Control soil without organic amendments | SC | - |
| Soil + 5% (v/w) wheat straw biochar | 5BC | 42 |
| Soil + 10% (v/w) wheat straw biochar | 10BC | 84 |
| Soil + 5% (v/w) municipal green-waste compost | 5C | 42 |
| Soil + 10% (v/w) municipal green-waste compost | 10C | 84 |
| Soil + 5% (v/w) wheat straw biochar + 5% (v/w) municipal green-waste compost | 5BC +5C | 42 + 42 |
| Soil+ 10% (v/w) wheat straw biochar + 10% (v/w) municipal green-waste compost | 10BC + 10C | 84 + 84 |
| Treatment | pH in H2O | CEC cmol (+)/kg | TOC % | TN % | C:N |
|---|---|---|---|---|---|
| SC | 4.87 ± 0.03 | 5.58 ± 0.05 | 0.77 ± 0.05 | 0.03 ± 0.001 | 26:1 |
| 5C | 5.65 ± 0.13 ns | 6.57 ± 0.19 ns | 0.97 ± 0.05 ns | 0.08 ± 0.002 ns | 12:1 |
| 10C | 6.33 ± 0.17 * | 11.12 ± 0.14 * | 1.45 ± 0.16 * | 0.12 ± 0.002 * | 12:1 |
| 5BC | 5.45 ± 0.14 ns | 5.50 ± 0.08 ns | 0.98 ± 0.09 ns | 0.04 ± 0.002 ns | 25:1 |
| 10BC | 5.41 ± 0.12 ns | 5.91 ± 0.18 ns | 1.34 ± 0.05 * | 0.07 ± 0.008 ns | 19:1 |
| 5BC + 5C | 5.71 ± 0.10 ns | 7.47 ± 0.21 ns | 1.91 ± 0.10 ** | 0.06 ± 0.005 ns | 32:1 |
| 10BC + 10C | 6.30 ± 0.13 * | 9.54 ± 0.15 * | 2.18 ± 0.02 *** | 0.10 ± 0.002 * | 22:1 |
| Treatment | BAC | BAC | ||||||||||
|---|---|---|---|---|---|---|---|---|---|---|---|---|
| Cu | Zn | Cd | Pb | Cr | Ni | Cu | Zn | Cd | Pb | Cr | Ni | |
| Radish (Leaf) | Dill | |||||||||||
| SC | 0.71 | 5.75 | 0.80 | 0.57 | 3.09 | 1.63 | 0.05 | 1.32 | 0.80 | 2.81 | 0.84 | 0.54 |
| 5C | 0.65 | 4.80 | 0.38 | 0.47 | 1.97 | 1.63 | 0.03 | 1.58 | 0.83 | 2.48 | 1.97 | 0.82 |
| 10C | 0.44 | 4.80 | 0.41 | 0.29 | 1.40 | 1.63 | 0.02 | 1.34 | 1.09 | 2.62 | 1.40 | 0.82 |
| 5BC | 0.36 | 4.12 | 0.38 | 0.39 | 3.65 | 1.90 | 0.02 | 1.65 | 0.94 | 2.28 | 1.40 | 0.82 |
| 10BC | 0.29 | 3.51 | 0.17 | 0.30 | 2.81 | 1.63 | 0.01 | 1.28 | 0.66 | 2.03 | 2.25 | 1.09 |
| 5BC + 5C | 0.29 | 3.90 | 0.29 | 0.27 | 2.25 | 1.36 | 0.01 | 1.83 | 0.54 | 1.80 | 0.28 | 0.27 |
| 10BC + 10C | 0.40 | 2.56 | 0.26 | 0.25 | 3.65 | 1.63 | 0.02 | 1.42 | 0.56 | 1.97 | 2.81 | 1.36 |
| Spinach | Lettuce | |||||||||||
| SC | 0.26 | 6.60 | 0.62 | 1.61 | 1.97 | 1.36 | 0.26 | 7.86 | 0.73 | 2.38 | 0.56 | 0.27 |
| 5C | 0.66 | 6.56 | 0.66 | 1.38 | 7.02 | 1.90 | 0.16 | 5.23 | 0.68 | 1.24 | 0.73 | 0.27 |
| 10C | 0.86 | 5.69 | 0.70 | 1.39 | 3.37 | 1.63 | 0.18 | 4.84 | 0.64 | 1.23 | 0.84 | 0.54 |
| 5BC | 1.08 | 4.40 | 0.37 | 1.21 | 1.97 | 1.63 | 0.18 | 4.51 | 0.91 | 1.09 | 0.56 | 0.27 |
| 10BC | 1.39 | 4.37 | 0.35 | 1.02 | 2.53 | 1.09 | 0.23 | 3.84 | 0.81 | 0.99 | 0.51 | 0.27 |
| 5BC + 5C | 1.21 | 5.40 | 0.50 | 0.94 | 2.81 | 1.36 | 0.21 | 4.32 | 0.53 | 1.04 | 0.28 | 0.27 |
| 10BC + 10C | 0.83 | 4.02 | 0.45 | 1.11 | 5.90 | 1.90 | 0.28 | 4.02 | 0.39 | 1.09 | 0.28 | 0.25 |
| Parsley | ||||||||||||
| SC | 0.16 | 4.74 | 0.06 | 1.17 | 1.97 | 0.22 | ||||||
| 5C | 0.10 | 4.65 | 0.06 | 1.16 | 0.96 | 0.23 | ||||||
| 10C | 0.10 | 4.03 | 0.07 | 1.14 | 1.07 | 0.27 | ||||||
| 5BC | 0.08 | 4.95 | 0.05 | 0.88 | 0.73 | 0.21 | ||||||
| 10BC | 0.05 | 4.45 | 0.04 | 0.74 | 0.66 | 0.18 | ||||||
| 5BC + 5C | 0.07 | 4.73 | 0.05 | 0.88 | 1.40 | 0.27 | ||||||
| 10BC + 10C | 0.08 | 3.90 | 0.04 | 0.85 | 1.29 | 0.23 | ||||||
Publisher’s Note: MDPI stays neutral with regard to jurisdictional claims in published maps and institutional affiliations. |
© 2020 by the authors. Licensee MDPI, Basel, Switzerland. This article is an open access article distributed under the terms and conditions of the Creative Commons Attribution (CC BY) license (http://creativecommons.org/licenses/by/4.0/).
Share and Cite
Medyńska-Juraszek, A.; Bednik, M.; Chohura, P. Assessing the Influence of Compost and Biochar Amendments on the Mobility and Uptake of Heavy Metals by Green Leafy Vegetables. Int. J. Environ. Res. Public Health 2020, 17, 7861. https://doi.org/10.3390/ijerph17217861
Medyńska-Juraszek A, Bednik M, Chohura P. Assessing the Influence of Compost and Biochar Amendments on the Mobility and Uptake of Heavy Metals by Green Leafy Vegetables. International Journal of Environmental Research and Public Health. 2020; 17(21):7861. https://doi.org/10.3390/ijerph17217861
Chicago/Turabian StyleMedyńska-Juraszek, Agnieszka, Magdalena Bednik, and Piotr Chohura. 2020. "Assessing the Influence of Compost and Biochar Amendments on the Mobility and Uptake of Heavy Metals by Green Leafy Vegetables" International Journal of Environmental Research and Public Health 17, no. 21: 7861. https://doi.org/10.3390/ijerph17217861
APA StyleMedyńska-Juraszek, A., Bednik, M., & Chohura, P. (2020). Assessing the Influence of Compost and Biochar Amendments on the Mobility and Uptake of Heavy Metals by Green Leafy Vegetables. International Journal of Environmental Research and Public Health, 17(21), 7861. https://doi.org/10.3390/ijerph17217861

