Health Risk Assessment of Heavy Metals Accumulated on PM2.5 Fractioned Road Dust from Two Cities of Pakistan
Abstract
1. Introduction
2. Materials and Methods
2.1. Study Area
2.2. Sample Collection
2.3. Preparation of PM2.5
2.4. Total Metal Concentration
2.5. Quality Control
2.6. Statistical Analyses
2.7. Pollution Assessment
2.8. Geo-Accumulation Index (Igeo)
Enrichment Factor
2.9. Health Risk Assessment
2.9.1. Exposure Assessment
2.9.2. Risk Assessment
3. Results and Discussion
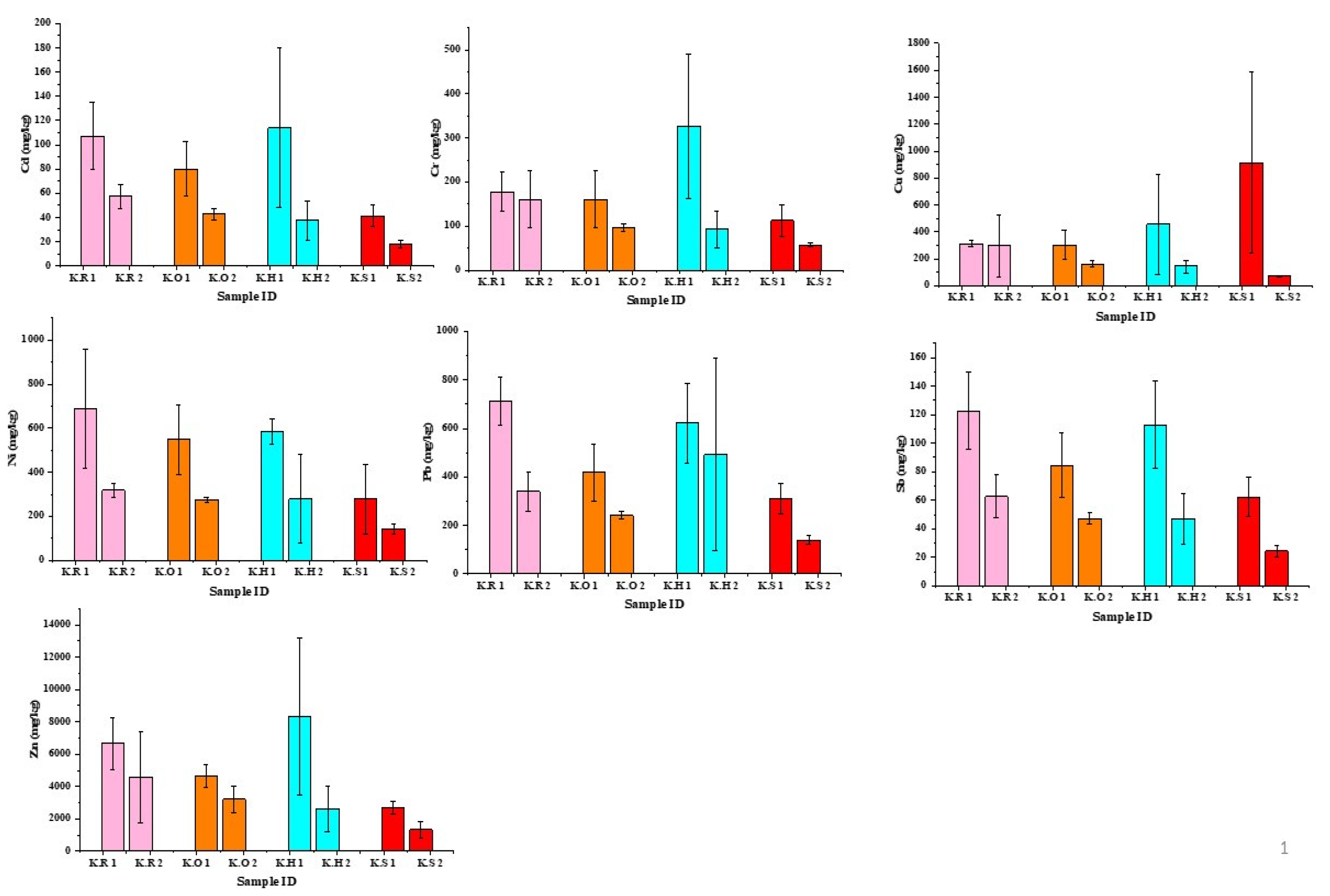
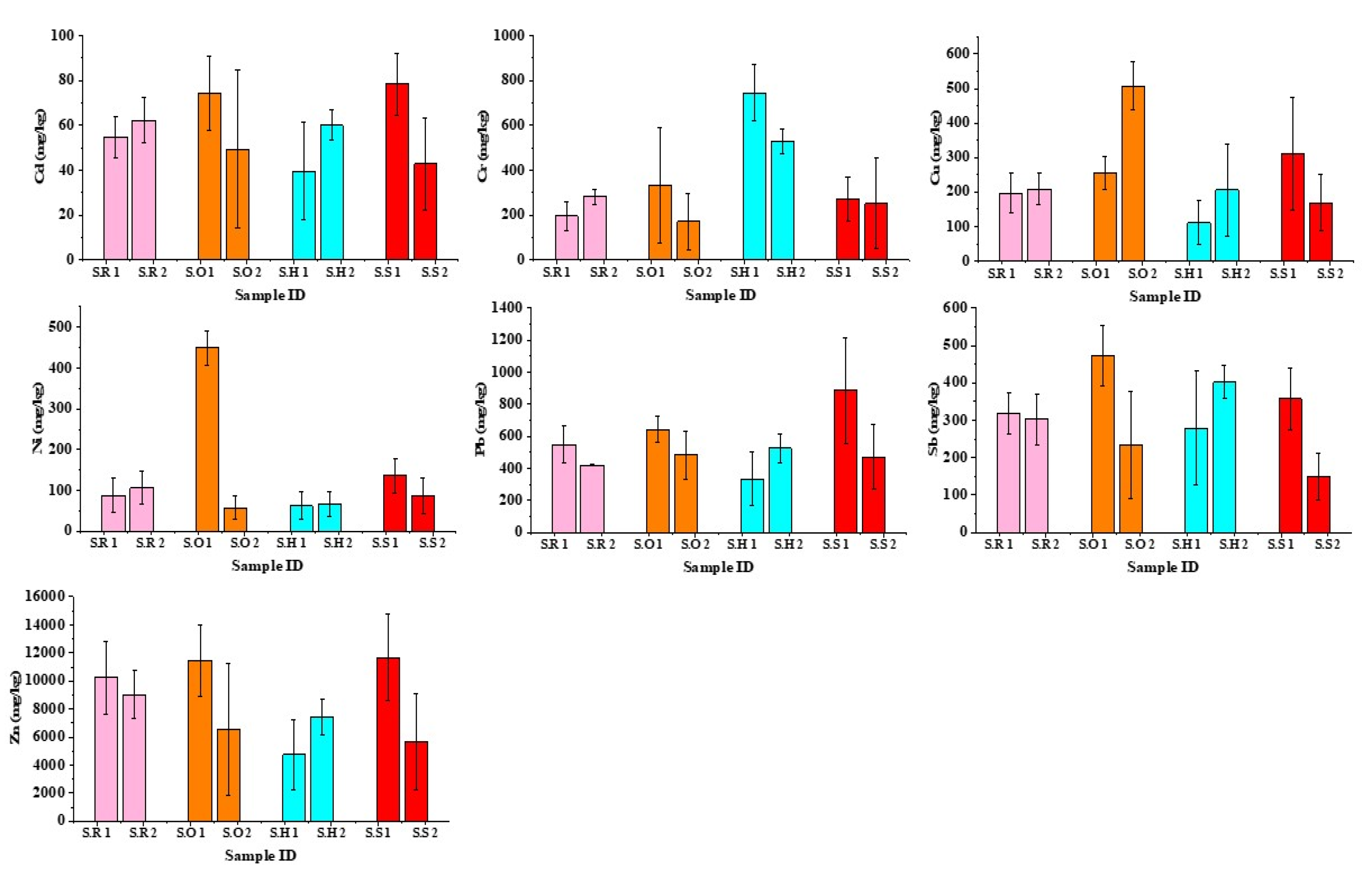
3.1. Heavy Metal Concentration in Road Dust
3.2. Assessment of Pollution Level
3.2.1. Enrichment Factor (EF)
3.2.2. Geoaccumulation Index (Igeo)
3.3. Health Risk Assessment of Resuspended Road Dust
3.3.1. Non-Carcinogenic Risk
3.3.2. Carcinogenic Risk
3.4. Possible Factors Responsible for High Concentrations of Metals in Road Dust in Karachi and Shikarpur
3.5. Comparison of the Health Risk Assessment Results with Other Cities
4. Conclusions
Supplementary Materials
Author Contributions
Funding
Acknowledgments
Conflicts of Interest
References
- Ali, M.U.; Liu, G.; Yousaf, B.; Abbas, Q.; Ullah, H.; Munir, M.A.M.; Fu, B. Pollution characteristics and human health risks of potentially (eco)toxic elements (PTEs) in road dust from metropolitan area of Hefei, China. Chemosphere 2017, 181, 111–121. [Google Scholar] [CrossRef] [PubMed]
- Men, C.; Liu, R.; Xu, F.; Wang, Q.; Guo, L.; Shen, Z. Pollution characteristics, risk assessment, and source apportionment of heavy metals in road dust in Beijing, China. Sci. Total Environ. 2017, 612, 138–147. [Google Scholar] [CrossRef] [PubMed]
- Calderón-Garcidueñas, L.; Kulesza, R.J.; Doty, R.L.; D’Angiulli, A.; Torres-Jardón, R. Megacities air pollution problems: Mexico city metropolitan area critical issues on the central nervous system pediatric impact. Environ. Res. 2015, 137, 157–169. [Google Scholar] [CrossRef] [PubMed]
- Du, Y.; Gao, B.; Zhou, H.; Ju, X.; Hao, H.; Yin, S. Health risk assessment of heavy metals in road dusts in urban parks of Beijing, China. Procedia Environ. Sci. 2013, 18, 299–309. [Google Scholar] [CrossRef]
- Alves, C.A.; Evtyugina, M.; Vicente, A.M.P.; Vicente, E.D.; Nunes, T.V.; Silva, P.M.A.; Duarte, M.A.C.; Pio, C.A.; Amato, F.; Querol, X. Chemical profiling of PM10 from urban road dust. Sci. Total Environ. 2018, 634, 41–51. [Google Scholar] [CrossRef]
- Chen, S.; Zhang, X.; Lin, J.; Huang, J.; Zhao, D.; Yuan, T.; Huang, K.; Luo, Y.; Jia, Z.; Zang, Z.; et al. Fugitive road dust PM 2.5 emissions and their potential health impacts. Environ. Sci. Technol. 2019, 53. [Google Scholar] [CrossRef]
- Zhao, H.; Shao, Y.; Yin, C.; Jiang, Y.; Li, X. An index for estimating the potential metal pollution contribution to atmospheric particulate matter from road dust in Beijing. Sci. Total Environ. 2016, 550, 167–175. [Google Scholar] [CrossRef]
- Jancsek-Turóczi, B.; Hoffer, A.; Nyírő-Kósa, I.; Gelencsér, A. Sampling and characterization of resuspended and respirable road dust. J. Aerosol Sci. 2013, 65, 69–76. [Google Scholar] [CrossRef][Green Version]
- Amato, F.; Pandolfi, M.; Escrig, A.; Querol, X.; Alastuey, A.; Pey, J.; Perez, N.; Hopke, P.K. Quantifying road dust resuspension in urban environment by multilinear engine: A comparison with PMF2. Atmos. Environ. 2009, 43, 2770–2780. [Google Scholar] [CrossRef]
- Lough, G.C.; Schauer, J.J.; Park, J.-S.; Shafer, M.M.; DeMinter, J.T.; Weinstein, J.P. Emissions of metals associated with motor vehicle roadways. Environ. Sci. Technol. 2005, 39, 826–836. [Google Scholar] [CrossRef]
- Dheeraj, A.V.; Kuppili, S.K.; Nagendra, S.M.S.; Ramadurai, G.; Sethi, V.; Kumar, R.; Sharma, N.; Namdeo, A.; Bell, M.; Goodman, P.; et al. Characteristics of tail pipe (nitric oxide) and resuspended dust emissions from urban roads—A case study in Delhi city. J. Transp. Health 2020, 17, 100653. [Google Scholar] [CrossRef]
- Lurie, K.; Nayebare, S.; Fatmi, Z.; Carpenter, D.; Siddique, A.; Malashock, D.; Khan, M.; Zeb, J.; Hussain, M.; Khatib, F.; et al. PM2.5 in a Megacity of Asia (Karachi): Source apportionment and health effects. Atmos. Environ. 2019, 202, 223–233. [Google Scholar] [CrossRef]
- Huang, H.; Lin, C.; Yu, R.; Yan, Y.; Gongren, H.; Li, H. Contamination assessment, source apportionment and health risk assessment of heavy metals in paddy soils of Jiulong River Basin, Southeast China. RSC Adv. 2019, 9, 14736–14744. [Google Scholar] [CrossRef]
- Men, C.; Liu, R.; Wang, Q.; Guo, L.; Miao, Y.; Shen, Z. Uncertainty analysis in source apportionment of heavy metals in road dust based on positive matrix factorization model and geographic information system. Sci. Total Environ. 2019, 652, 27–39. [Google Scholar] [CrossRef] [PubMed]
- Faheem; Bao, J.; Zheng, H.; Tufail, H.; Irshad, S.; Du, J. Adsorption-assisted decontamination of Hg(ii) from aqueous solution by multi-functionalized corncob-derived biochar. RSC Adv. 2018, 8, 38425–38435. [Google Scholar] [CrossRef]
- Rahman, M.; Khan, H.; Jolly, Y.; Kabir, J.; Akter, S.; Salam, A. Assessing risk to human health for heavy metal contamination through street dust in the Southeast Asian Megacity: Dhaka, Bangladesh. Sci. Total Environ. 2019, 660. [Google Scholar] [CrossRef]
- Daellenbach, K.; Stefenelli, G.; Bozzetti, C.; Vlachou, A.; Fermo, P.; Gonzalez, R.; Piazzalunga, A.; Colombi, C.; Canonaco, F.; Hueglin, C.; et al. Long-term chemical analysis and organic aerosol source apportionment at 9 sites in Central Europe: Source identification and uncertainty assessment. Atmos. Chem. Phys. Discuss. 2017, 1–36. [Google Scholar] [CrossRef]
- Kastury, F.; Smith, E.; Karna, R.; Scheckel, K.; Juhasz, A. Methodological factors influencing inhalation bioaccessibility of metal(loid)s in PM 2.5 using simulated lung fluid. Environ. Pollut. 2018, 241, 930–937. [Google Scholar] [CrossRef]
- Kastury, F.; Smith, E.; Juhasz, A.L. A critical review of approaches and limitations of inhalation bioavailability and bioaccessibility of metal(loid)s from ambient particulate matter or dust. Sci. Total Environ. 2017, 574, 1054–1074. [Google Scholar] [CrossRef]
- Khan, R.; Strand, M. Road Dust and its effect on human health: A literature review. Epidemiol. Health 2018, 40, e2018013. [Google Scholar] [CrossRef]
- Faiz, Y.; Tufail, M.; Javed, M.; Chaudhry, M.M.; Siddique, N. Road dust pollution of Cd, Cu, Ni, Pb and Zn along Islamabad Expressway, Pakistan. Microchem. J. 2009, 92, 186–192. [Google Scholar] [CrossRef]
- Jilani, S. Metal pollution and its distribution pattern in the road dust of Karachi. J. Biodivers. Environ. Sci. 2015, 6, 215–224. [Google Scholar]
- Khan, M.N.; Wasim, A.A.; Sarwar, A.; Rasheed, M.F. Assessment of heavy metal toxicants in the roadside soil along the N-5, National Highway, Pakistan. Environ. Monit. Assess. 2011, 182, 587–595. [Google Scholar] [CrossRef]
- Laghari, S.K.; Shaheen, G.; Bakish, G. Chemical composition of traffic generated dust and its impact on human health with associated problems in quetta. Sci. Technol. Dev. (Islamabad) 2013, 32, 154–164. [Google Scholar]
- Liu, E.; Wang, X.; Liu, H.; Liang, M.; Zhu, Y.; Li, Z. Chemical speciation, pollution and ecological risk of toxic metals in readily washed off road dust in a megacity (Nanjing), China. Ecotoxicol. Environ. Saf. 2019, 173, 381–392. [Google Scholar] [CrossRef]
- Latif, M.T. Composition of selected heavy metals in road dust from Kuala Lumpur city centre. Environ. Earth Sci. 2014, 72, 849–859. [Google Scholar]
- Rehman, A.; Liu, G.; Yousaf, B.; Zia-ur-Rehman, M.; Ali, M.U.; Rashid, M.S.; Farooq, M.R.; Javed, Z. Characterizing pollution indices and children health risk assessment of potentially toxic metal(oid)s in school dust of Lahore, Pakistan. Ecotoxicol. Environ. Saf. 2020, 190, 110059. [Google Scholar] [CrossRef]
- Jayarathne, A.; Egodawatta, P.A.; Ayoko, G.; Goonetilleke, A. Assessment of ecological and human health risks of metals in urban road dust based on geochemical fractionation and potential bioavailability. Sci. Total Environ. 2018, 635. [Google Scholar] [CrossRef]
- Shafiq, M.; Iqbal, M.Z.; Arayne, M.; Athar, M. Biomonitoring of heavy metal contamination in Pongamia Pinnata and Peltophorum Pterocarpum growing in the polluted environment of Karachi. J. Appl. Bot. Food Qual. 2012, 85, 120–125. [Google Scholar]
- Lu, Y.; Lin, S.; Fatmi, Z.; Malashock, D.; Hussain, M.; Siddique, A.; Carpenter, D.; Lin, Z.; Khwaja, H. Assessing the association between fine particulate matter (PM2.5) constituents and cardiovascular diseases in a mega-city of Pakistan. Environ. Pollut. 2019, 252, 1412–1422. [Google Scholar] [CrossRef]
- Hoor-Ul-Ain, S. An empirical review of Karachi’s transportation predicaments: A paradox of public policy ranging from personal attitudes to public opinion in the megacity. J. Transp. Health 2019, 12, 164–182. [Google Scholar] [CrossRef]
- Khwaja, H.; Fatmi, Z.; Malashock, D.; Aminov, Z.; Kazi, A.; Siddique, A.; Zeb, J.; Carpenter, D. Effect of air pollution on daily morbidity in Karachi, Pakistan. J. Local Glob. Health Sci. 2012, 3, 1–13. [Google Scholar] [CrossRef]
- Kazmi, J.; Zubair, S. Estimation of vehicle damage cost involved in road traffic accidents in Karachi, Pakistan: A geospatial perspective. Procedia Eng. 2014, 77, 70–78. [Google Scholar] [CrossRef]
- Iftikhar, M.; Alam, K.; Sorooshian, A.; Syed, W.A.; Bibi, S.; Bibi, H. Contrasting aerosol optical and radiative properties between dust and urban haze episodes in megacities of Pakistan. Atmos. Environ. 2018, 173, 157–172. [Google Scholar] [CrossRef]
- Ali, M.; Adnan, M.; Noman, S.; Baqueri, S. Estimation of traffic congestion cost—A case study of a major arterial in Karachi. Procedia Eng. 2014, 77, 37–44. [Google Scholar] [CrossRef]
- Shahab, A.; Qi, S.; Rashid, A.; Hasan, F.; Sohail, M.T. Evaluation of water quality for drinking and agricultural suitability in the lower Indus plain in Pakistan. Pol. J. Environ. Stud. 2016, 25, 2563–2574. [Google Scholar] [CrossRef]
- Chandio, A.A.; Jiang, Y.; Rehman, A. Credit margin of investment in the agricultural sector and credit fungibility: The case of smallholders of district Shikarpur, Sindh, Pakistan. Financ. Innov. 2018, 4, 27. [Google Scholar] [CrossRef]
- Shahid, I.; Kistler, M.; Mukhtar, A.; Ghauri, B.M.; Ramirez-Santa Cruz, C.; Bauer, H.; Puxbaum, H. Chemical characterization and mass closure of PM10 and PM2.5 at an urban site in Karachi—Pakistan. Atmos. Environ. 2016, 128, 114–123. [Google Scholar] [CrossRef]
- Othman, M.; Latif, M.T.; Matsumi, Y. The exposure of children to PM2.5 and dust in indoor and outdoor school classrooms in Kuala Lumpur city centre. Ecotoxicol. Environ. Saf. 2019, 170, 739–749. [Google Scholar] [CrossRef]
- Tian, S.; Liang, T.; Kexin, L. Fine road dust contamination in a mining area presents a likely air pollution hotspot and threat to human health. Environ. Int. 2019, 128, 201–209. [Google Scholar] [CrossRef]
- Ramírez, H.O.; Verdona, A.M.; Amato, F.; Moreno, T.; Silva, L.F.; Jesus, D. Physicochemical characterization and sources of the thoracic fraction of road dust in a Latin American megacity. Sci. Total Environ. 2019, 652, 434–446. [Google Scholar] [CrossRef] [PubMed]
- Kong, S.; Lu, B.; Ji, Y.; Zhao, X.; Bai, Z.; Xu, Y.; Liu, Y.; Jiang, H. Risk assessment of heavy metals in road and soil dusts within PM2.5, PM10 and PM100 fractions in Dongying city, Shandong province, China. J. Environ. Monit. 2012, 14, 791–803. [Google Scholar] [CrossRef] [PubMed]
- Chen, H.; Lu, X.; Li, L.Y.; Gao, T.; Chang, Y. Metal contamination in campus dust of Xi’an, China: A study based on multivariate statistics and spatial distribution. Sci. Total Environ. 2014, 484, 27–35. [Google Scholar] [CrossRef] [PubMed]
- Karim, Z.; Qureshi, B.A.; Mumtaz, M. Geochemical baseline determination and pollution assessment of heavy metals in urban soils of Karachi, Pakistan. Ecol. Indic. 2015, 48, 358–364. [Google Scholar] [CrossRef]
- Siddique, A.; Mumtaz, M.; Zaigham, N.; Mallick, K.; Saied, S.; Zahir, E.; Khwaja, H. Heavy metal toxicity levels in the coastal sediments of the Arabian Sea along urban Karachi (Pakistan) region. Mar. Pollut. Bull. 2009, 58, 1406–1414. [Google Scholar] [CrossRef]
- Nekhoroshkov, P.; Kravtsova, A.; Kamnev, A.; Kova, O.; Duliu, O.; Frontasyeva, M.; Yermakov, I.; Nekhoroshkov, P. Assessment of minor and trace elements in aquatic macrophytes, soils and bottom sediments collected along different water objects in the Black Sea coastal zone by using neutron activation analysis. Am. J. Anal. Chem. 2017, 8, 225–244. [Google Scholar] [CrossRef][Green Version]
- Muller, G. Index of geoaccumulation in sediments of the Rhine river. Geo. J. 1969, 2, 109–118. [Google Scholar]
- Narsimha, A.; Wang, H. Distribution, contamination, and health risk assessment of heavy metals in surface soils from northern Telangana, India. Arab. J. Geosci. 2018, 11, 684. [Google Scholar]
- Trujillo, G.J.M.; Torres-Mora, M.A.; Keesstra, S.; Brevik, E.C.; Jiménez-Ballesta, R. Heavy metal accumulation related to population density in road dust samples taken from urban sites under different land uses. Sci. Total Environ. 2016, 553, 636–642. [Google Scholar] [CrossRef]
- Topi, T.; Bani, A.; Malltezi, J.; Sulejman, S. Heavy metals in soil, sediments, mussels and water from Butrinti Lagoon (Albania). Fresenius Environ. Bull. 2012, 21, 3042–3051. [Google Scholar]
- Sutherland, R.A. Bed sediment-associated trace metals in an urban stream, Oahu, Hawaii. Environ. Geol. 2000, 39, 611–627. [Google Scholar] [CrossRef]
- Hernández-Pellón, A.; Nischkauer, W.; Limbeck, A.; Fernández-Olmo, I. Metal(loid) bioaccessibility and inhalation risk assessment: A comparison between an urban and an industrial area. Environ. Res. 2018, 165, 140–149. [Google Scholar] [CrossRef] [PubMed]
- Chen, J.; Wang, W.; Liu, H.; Ren, L. Determination of road dust loading and chemical characteristics using resuspension. Environ. Monit. Assess. 2011, 184, 1693–1709. [Google Scholar] [CrossRef]
- Han, S.; Youn, J.-S.; Jung, Y.-W. Characterization of PM10 and PM2.5 source profiles for resuspended road dust collected using mobile sampling methodology. Atmos. Environ. 2011, 45, 3343–3351. [Google Scholar] [CrossRef]
- Ho, K.F.; Lee, S.C.; Chow, J.C.; Watson, J.G. Characterization of PM10 and PM2.5 source profiles for fugitive dust in Hong Kong. Atmos. Environ. 2003, 37, 1023–1032. [Google Scholar] [CrossRef]
- Amos-Kroohs, R.M.; Graham, D.L.; Grace, C.E.; Braun, A.A.; Schaefer, T.L.; Skelton, M.R.; Vorhees, C.V.; Williams, M.T. Developmental stress and lead (Pb): Effects of maternal separation and/or Pb on corticosterone, monoamines, and blood Pb in rats. NeuroToxicology 2016, 54, 22–33. [Google Scholar] [CrossRef]
- Kastury, F.; Smith, E.; Doelsch, E.; Lombi, E.; Donnelley, M.; Cmielewski, P.; Parsons, D.; Scheckel, K.; Paterson, D.; de Jonge, M.; et al. In Vitro, in Vivo, and Spectroscopic Assessment of lead exposure reduction via ingestion and inhalation pathways using phosphate and iron amendments. Environ. Sci. Technol. 2019, 53. [Google Scholar] [CrossRef]
- Fujiwara, F.; Rebagliati, R.J.; Marrero, J.; Gómez, D.; Smichowski, P. Antimony as a traffic-related element in size-fractionated road dust samples collected in Buenos Aires. Microchem. J. 2011, 97, 62–67. [Google Scholar] [CrossRef]
- Zhou, J.; Du, B.; Hu, Y.; Liang, J.; Liu, H.; Fan, X.; Hongbiao, C.; Zhang, L.; Liu, X.; Zhou, J. A new criterion for the health risk assessment of Se and Pb exposure to residents near a smelter. Environ. Pollut. 2018, 244. [Google Scholar] [CrossRef]
- Pant, P.J.; Baker, S.; Shukla, A.; Maikawa, C.; Godri Pollitt, K.; Harrison, R. The PM10 fraction of road dust in the UK and India: Characterization, source profiles and oxidative potential. Sci. Total Environ. 2015, 541, 451–467. [Google Scholar] [CrossRef]
- Hwang, H.-M.; Fiala, M.; Park, D.; Wade, T. Review of pollutants in urban road dust and stormwater runoff: Part 1. Heavy metals released from vehicles. Int. J. Urban Sci. 2016, 20, 334–360. [Google Scholar] [CrossRef]
- Gope, M.; Masto, R.; George, J.; Hoque, R.; Balachandran, S. Bioavailability and health risk of some potentially toxic elements (Cd, Cu, Pb and Zn) in street dust of Asansol, India. Ecotoxicol. Environ. Saf. 2017, 138, 231–241. [Google Scholar] [CrossRef] [PubMed]
- Dehghani, S.; Moore, F.; Keshavarzi, B.; Hale, B. Health risk implications of potentially toxic metals in street dust and surface soil of Tehran, Iran. Ecotoxicol. Environ. Saf. 2017, 136, 92–103. [Google Scholar] [CrossRef] [PubMed]
- Fujiwara, F.; Rebagliati, R.J.; Dawidowski, L.; Gómez, D.; Polla, G.; Pereyra, V.; Smichowski, P. Spatial and chemical patterns of size fractionated road dust collected in a megacitiy. Atmos. Environ. 2011, 45, 1497–1505. [Google Scholar] [CrossRef]
- Ameh, T.; Sayes, C.M. The potential exposure and hazards of copper nanoparticles: A review. Environ. Toxicol. Pharmacol. 2019, 71, 103220. [Google Scholar] [CrossRef]
- Kim, J.-C.; Lee, I.C.; Ko, J.-W.; Park, S.-H.; Lim, J.-O.; Shin, I.-S.; Moon, C.; Kim, S.-H.; Her, J.-D. Comparative toxicity and biodistribution of copper nanoparticles and cupric ions in rats. Int. J. Nanomed. 2016, 11, 2883. [Google Scholar] [CrossRef]
- Adamiec, E.; Jarosz-Krzemińska, E.; Wieszala, R. Heavy metals from non-exhaust vehicle emissions in urban and motorway road dusts. Environ. Monit. Assess. 2016, 188, 369. [Google Scholar] [CrossRef]
- Bove, M.C.; Brotto, P.; Calzolai, G.; Cassola, F.; Cavalli, F.; Fermo, P.; Hjorth, J.; Massabò, D.; Nava, S.; Piazzalunga, A.; et al. PM10 source apportionment applying PMF and chemical tracer analysis to ship-borne measurements in the Western Mediterranean. Atmos. Environ. 2016, 125, 140–151. [Google Scholar] [CrossRef]
- Ahmed, F.; Ishiga, H. Trace metal concentration in street dusts of Dhaka city, Bangladesh. Atmos. Environ. 2006, 40, 3835–3844. [Google Scholar] [CrossRef]
- Bourliva, A.; Kantiranis, N.; Papadopoulou, L.; Aidona, E.; Christophoridis, C.; Kollias, P.; Evgenakis, M.; Fytianos, K. Seasonal and spatial variations of magnetic susceptibility and potentially toxic elements (PTEs) in road dusts of Thessaloniki city, Greece: A one-year monitoring period. Sci. Total Environ. 2018, 639. [Google Scholar] [CrossRef]
- Saeedi, M.; Li, L.Y.; Salmanzadeh, M. Heavy metals and polycyclic aromatic hydrocarbons: Pollution and ecological risk assessment in street dust of Tehran. J. Hazard. Mater. 2012, 227, 9–17. [Google Scholar] [CrossRef] [PubMed]
- Yan, G.; Mao, L.; Liu, S.; Mao, Y.; Ye, H.; Tianshu, H.; Li, F.; Chen, L. Enrichment and sources of trace metals in roadside soils in Shanghai, China: A case study of two urban/rural roads. Sci. Total Environ. 2018, 631, 942–950. [Google Scholar] [CrossRef] [PubMed]
- Joshi, U.M.; Vijayaraghavan, K.; Balasubramanian, R. Elemental composition of urban street dusts and their dissolution characteristics in various aqueous media. Chemosphere 2009, 77, 526–533. [Google Scholar] [CrossRef] [PubMed]
- Mohmand, J.; Eqani, S.; Fasola, M.; Alamdar, A.; Mustafa, I.; Ali, N.; Liangpo, L.; Peng, S.; Shen, H. Human exposure to toxic metals via contaminated dust: Bio-accumulation trends and their potential risk estimation. Chemosphere 2015, 132, 142–151. [Google Scholar] [CrossRef] [PubMed]
- Ghanavati, N.; Nazarpour, A.; Watts, M.J. Status, source, ecological and health risk assessment of toxic metals and polycyclic aromatic hydrocarbons (PAHs) in street dust of Abadan, Iran. Catena 2019, 177, 246–259. [Google Scholar] [CrossRef]
- Chen, H.; Lu, X.; Li, L.Y. Spatial distribution and risk assessment of metals in dust based on samples from nursery and primary schools of Xi’an, China. Atmos. Environ. 2014, 88, 172–182. [Google Scholar] [CrossRef]
- Ilyas, S. A Review of transport and urban air pollution in Pakistan. J. Appl. Sci. Environ. Manag. 2010, 11. [Google Scholar] [CrossRef]
- Wang, X.; Liu, E.; Lin, Q.; Liu, L.; Yuan, H.; Li, Z. Occurrence, sources and health risks of toxic metal(loid)s in road dust from a mega city (Nanjing) in China. Environ. Pollut. 2020, 263, 114518. [Google Scholar] [CrossRef]
- Yekeen, T.; Xu, X.; Zhang, Y.; Wu, Y.; Kim, S.; Reponen, T.; Dietrich, K.; Ho, S.-M.; Chen, A.; Huo, X. Assessment of health risk of trace metal pollution in surface soil and road dust from e-waste recycling area in China. Environ. Sci. Pollut. Res. 2016, 23. [Google Scholar] [CrossRef]
- Yadav, I.; Devi, N.; Singh, V.; Li, J.; Zhang, G. Spatial distribution, source analysis, and health risk assessment of heavy metals contamination in house dust and surface soil from four major cities of Nepal. Chemosphere 2018, 218. [Google Scholar] [CrossRef]
- Dahmardeh Behrooz, R.; Kaskaoutis, D.G.; Grivas, G.; Mihalopoulos, N. Human health risk assessment for toxic elements in the extreme ambient dust conditions observed in Sistan, Iran. Chemosphere 2020, 262, 127835. [Google Scholar] [CrossRef] [PubMed]
- Ramírez, O.; Sánchez de la Campa, A.M.; Sánchez-Rodas, D.; de la Rosa, J.D. Hazardous trace elements in thoracic fraction of airborne particulate matter: Assessment of temporal variations, sources, and health risks in a megacity. Sci. Total Environ. 2020, 710, 136344. [Google Scholar] [CrossRef] [PubMed]




| Sampling City | Abbreviation | Nature of Road | Activity |
|---|---|---|---|
| Karachi | K.R1 | Major road | Residential |
| Karachi | K.R2 | Gate of residential building along the major road | Residential |
| Karachi | K.O1 | Major road | Offices |
| Karachi | K.O2 | Gate of offices building along the major road | Offices |
| Karachi | K.H1 | Major road | Hospital |
| Karachi | K.H2 | Gate of hospital along the major road | Hospital |
| Karachi | K.S1 | Major road | School |
| Karachi | K.S2 | Gate of school along the major road | School |
| Shikarpur | S.R1 | Major road | Residential |
| Shikarpur | S.R2 | Gate of residential building along the major road | Residential |
| Shikarpur | S.O1 | Major road | Offices |
| Shikarpur | S.O2 | Gate of offices building along the major road | Offices |
| Shikarpur | S.H1 | Major road | Hospital |
| Shikarpur | S.H2 | Gate of hospital along the major road | Hospital |
| Shikarpur | S.S1 | Major road | School |
| Shikarpur | S.S2 | Gate of school along the major road | School |
| Statistical Values | Concentration (mg/kg) | ||||||
|---|---|---|---|---|---|---|---|
| Cu | Pb | Zn | Cd | Ni | Sb | Cr | |
| Minimum | 70.9 | 140.5 | 1332.3 | 17.9 | 142.6 | 24.4 | 57.6 |
| Maximum | 913.3 | 712.3 | 8299 | 114.1 | 689 | 122.5 | 326.3 |
| Mean | 332.9 | 426.6 | 4254.4 | 62.3 | 389.7 | 70.4 | 148.1 |
| S.D | 347.4 | 220.7 | 2853.5 | 40.4 | 219.2 | 36 | 98.8 |
| Statistical Values | Concentration (mg/kg) | ||||||
|---|---|---|---|---|---|---|---|
| Cu | Pb | Zn | Cd | Ni | Sb | Cr | |
| Minimum | 111.7 | 331.4 | 4726.3 | 39.6 | 57.9 | 150.5 | 171.1 |
| Maximum | 507.6 | 886.2 | 11,683.9 | 78.2 | 449.4 | 473.2 | 744.0 |
| Mean | 245.8 | 538.4 | 8351.0 | 57.6 | 131.7 | 314.5 | 346.6 |
| S.D | 243.0 | 611.3 | 3505.3 | 20.5 | 216.0 | 123.2 | 352.1 |
| City | Elements | Fraction Size | ||||||
|---|---|---|---|---|---|---|---|---|
| Cu | Pb | Zn | Cd | Ni | Sb | Cr | ||
| Karachi (This study) | 332.9 | 426.6 | 4254.4 | 62.3 | 389.7 | 70.4 | 148.1 | 2.5 µm |
| Shikarpur (This study) | 245.8 | 538.4 | 8351.0 | 57.6 | 131.7 | 314.5 | 346.6 | 2.5 µm |
| Dongying [42] | 238.7 | 59.8 | 415.9 | 2.0 | 76.6 | - | 122.5 | 2.5 µm |
| Beijing [53] | 160 | 260 | 590 | 10 | 50 | - | 100 | 2.5 µm |
| Incheon [54] | 830 | 510 | 4450 | 20 | 60 | 270 | 560 | 2.5 µm |
| Hong Kong [55] | 695 | 1209 | 5923 | 141 | 42 | 122 | 265 | 2.5 µm |
| Metals | Source of Emission | Reference |
|---|---|---|
| Cu | Brake wear, brake pad | (Pant et al.) [60] |
| Pb | Fuel, motor oil combustion, brake wear, resuspension of road dust | (Lough et al.) [10] |
| Zn | Brake wear, tyre abrasion, lubricants | (Hwang et al.) [61] |
| Cd | Brake wear, engine wear, auto printing | (Gope et al.) [62] |
| Ni | Fuel combustion, tyre abrasion | (Dehghani et al.) [63] |
| Sb | Brake wear, tyre wear, motor bearings, tailpipe emissions | (Fujiwara et al.) [64] |
| Cr | Combustion of lubricants and fuel | (Ubaid et al.) [1] |
| Sample ID | Cu | Pb | Zn | Cd | Ni | Sb | Cr |
|---|---|---|---|---|---|---|---|
| K.S 1 | 25.15 | 5.50 | 21.87 | 5.56 | 9.72 | 104 | 8.74 |
| K.S 2 | 1.95 | 2.50 | 10.82 | 2.41 | 4.98 | 40.79 | 4.47 |
| K.H 1 | 12.61 | 11.05 | 67.45 | 15.37 | 20.41 | 187.80 | 25.30 |
| K.H 2 | 3.98 | 8.75 | 21.34 | 5.05 | 9.78 | 78.33 | 7.19 |
| K.R 1 | 8.60 | 12.66 | 54.18 | 14.46 | 24.06 | 204.22 | 13.76 |
| K.R 2 | 8.14 | 6.05 | 37.31 | 7.75 | 11.12 | 104.64 | 12.43 |
| K.O 1 | 8.37 | 7.448 | 37.68 | 10.79 | 19.16 | 140.85 | 12.51 |
| K.O 2 | 4.52 | 4.31 | 25.97 | 5.76 | 9.65 | 78.83 | 7.46 |
| Sample ID | Cu | Pb | Zn | Cd | Ni | Sb | Cr |
|---|---|---|---|---|---|---|---|
| S.S 1 | 3.07 | 5.89 | 38.41 | 5.34 | 2.18 | 697.11 | 57.67 |
| S.S 2 | 5.66 | 9.33 | 60.42 | 8.09 | 2.36 | 1004.77 | 40.83 |
| S.H 1 | 7.031 | 11.45 | 93.34 | 10.01 | 15.69 | 1183.13 | 25.70 |
| S.H 2 | 13.98 | 8.56 | 53.16 | 6.62 | 2.02 | 583.05 | 13.26 |
| S.R 1 | 5.417 | 9.76 | 83.15 | 7.37 | 3.04 | 795.67 | 15.11 |
| S.R 2 | 5.76 | 7.45 | 73.38 | 8.39 | 3.73 | 758.26 | 21.79 |
| S.O 1 | 8.57 | 15.76 | 94.96 | 10.54 | 4.76 | 891.97 | 21.17 |
| S.O 2 | 4.65 | 8.37 | 46.15 | 5.75 | 3.00 | 376.33 | 19.40 |
| Statistical Values | Heavy Metals | ||||||
|---|---|---|---|---|---|---|---|
| Geoaccumulation Index (Igeo) | Pb | Cu | Cd | Ni | Cr | Zn | Sb |
| Minimum | 0.73 | 0.38 | 0.68 | 1.73 | 1.57 | 2.85 | 5.34 |
| Maximum | 3.07 | 4.06 | 3.35 | 4.00 | 4.07 | 5.49 | 7.67 |
| Mean | 1.98 | 2.61 | 2.48 | 3.18 | 2.93 | 4.52 | 6.87 |
| Statistical Values | Heavy Metals | ||||||
|---|---|---|---|---|---|---|---|
| Geoaccumulation Index (Igeo) | Pb | Cu | Cd | Ni | Cr | Zn | Sb |
| Minimum | 1.97 | 1.03 | 1.83 | 0.4.3 | 3.14 | 4.67 | 7.97 |
| Maximum | 3.39 | 3.22 | 2.81 | 3.38 | 5.26 | 5.98 | 9.62 |
| Mean | 2.67 | 2.17 | 2.37 | 1.61 | 4.16 | 5.49 | 9.03 |
| Factor | Parameter | Unit | Values for Children and Adults | Reference |
|---|---|---|---|---|
| AT | Average Time | Days | 365 × ED | (USEPA, 1989) (Mohmand et al.) [74] |
| BW (Child) | Bodyweight | Kg | 28.4 | (Rehman et al.) [27] |
| BW (Adult) | Bodyweight | Kg | 61.5 | (Ghanavati et al. 2019) [75] |
| ED (Child) | Exposure duration | Years | 6 | (Rehman et al. 2020) [27] (USEPA, 2001) |
| ED (Adult) | Exposure duration | Years | 24 | (Ghanavati et al. 2019) [75] |
| EF | Exposure frequency | Days/year | 230 | (Chen et al. 2014) [76] |
| RInh (Child) | Dust inhalation rate | m3/ day | 7.63 | (Mohmand et al. 2015) [74] |
| RInh (Adult) | Dust inhalation rate | m3/ day | 20 | (Ghanavati et al. 2019) [75] |
| PEF | Particular emission rate | m3/ kg | 1.36 × 109 | (USEPA, 2001) (Mohmand et al. 2015) [74] |
© 2020 by the authors. Licensee MDPI, Basel, Switzerland. This article is an open access article distributed under the terms and conditions of the Creative Commons Attribution (CC BY) license (http://creativecommons.org/licenses/by/4.0/).
Share and Cite
Moryani, H.T.; Kong, S.; Du, J.; Bao, J. Health Risk Assessment of Heavy Metals Accumulated on PM2.5 Fractioned Road Dust from Two Cities of Pakistan. Int. J. Environ. Res. Public Health 2020, 17, 7124. https://doi.org/10.3390/ijerph17197124
Moryani HT, Kong S, Du J, Bao J. Health Risk Assessment of Heavy Metals Accumulated on PM2.5 Fractioned Road Dust from Two Cities of Pakistan. International Journal of Environmental Research and Public Health. 2020; 17(19):7124. https://doi.org/10.3390/ijerph17197124
Chicago/Turabian StyleMoryani, Haseeb Tufail, Shuqiong Kong, Jiangkun Du, and Jianguo Bao. 2020. "Health Risk Assessment of Heavy Metals Accumulated on PM2.5 Fractioned Road Dust from Two Cities of Pakistan" International Journal of Environmental Research and Public Health 17, no. 19: 7124. https://doi.org/10.3390/ijerph17197124
APA StyleMoryani, H. T., Kong, S., Du, J., & Bao, J. (2020). Health Risk Assessment of Heavy Metals Accumulated on PM2.5 Fractioned Road Dust from Two Cities of Pakistan. International Journal of Environmental Research and Public Health, 17(19), 7124. https://doi.org/10.3390/ijerph17197124
