Effects of Six Weeks of High-Intensity Functional Training on Physical Performance in Participants with Different Training Volumes and Frequencies
Abstract
1. Introduction
2. Materials and Methods
Participants
3. Procedures
Training Sessions
4. Instruments
Quantifying Training Load
5. Physical Performance
5.1. Countermovement Vertical Jump Height (CVJH)
5.2. Speed Test (20-m Sprint)
5.3. Handgrip Strength (HS)
5.4. Statistical Analyses
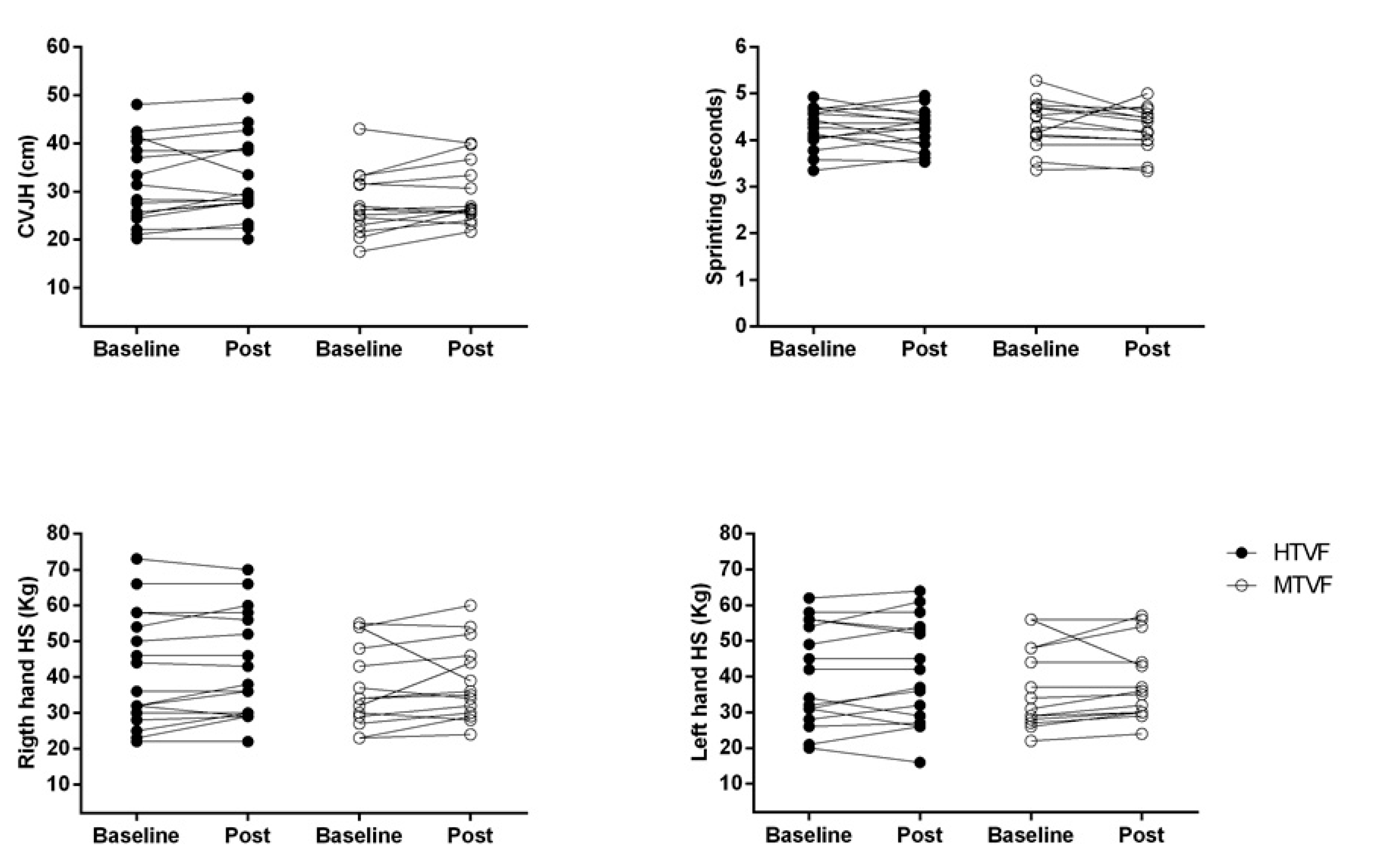
6. Results
7. Discussion
8. Conclusions
Author Contributions
Funding
Acknowledgments
Conflicts of Interest
References
- Fisker, F.Y.; Kildegaard, S.; Thygesen, M.; Grosen, K.; Pfeiffer-Jensen, M. Acute tendon changes in intense crossfit workout: An observational cohort study. Scand. J. Med. Sci. Sports 2017, 27, 1258–1262. [Google Scholar] [CrossRef]
- Weisenthal, B.M.; Beck, C.A.; Maloney, M.D.; DeHaven, K.E.; Giordano, B.D. Injury rate and patterns among crossfit athletes. Orthop. J. Sports Med. 2014, 2. [Google Scholar] [CrossRef]
- Claudino, J.G.; Gabbett, T.J.; Bourgeois, F.; Souza, H.S.; Miranda, R.C.; Mezêncio, B.; Soncin, R.; Cardoso Filho, C.A.; Bottaro, M.; Hernandez, A.J.; et al. CrossFit overview: Systematic review and meta-analysis. Sports Med. Open 2018, 4, 11. [Google Scholar] [CrossRef]
- Feito, Y.; Heinrich, K.M.; Butcher, S.J.; Poston, W.S.C. High intensity functional training (HIFT): Definition and research implications for improved fitness. Sports 2018, 6, 76. [Google Scholar] [CrossRef]
- Bellar, D.; Hatchett, A.; Judge, L.W.; Breaux, M.E.; Marcus, L. The relationship of aerobic capacity, anaerobic peak power and experience to performance in crossfit exercise. Biol. Sport 2015, 32, 315–320. [Google Scholar] [CrossRef]
- Dexheimer, J.D.; Schroeder, E.T.; Sawyer, B.J.; Pettitt, R.W.; Aguinaldo, A.L.; Torrence, W.A. Physiological performance measures as indicators of crossfit® performance. Sports 2019, 7, 93. [Google Scholar] [CrossRef]
- Rodríguez-Rosell, D.; Mora-Custodio, R.; Franco-Márquez, F.; Yáñez-García, J.M.; González-Badillo, J.J. Traditional vs. sport-specific vertical jump tests: Reliability, validity and relationship with the legs strength and sprint performance in adult and teen soccer and basketball players. J. Strength Cond. Res. 2017, 31, 196–206. [Google Scholar] [CrossRef]
- Barbieri, J.F.; Correia, R.F.; Castaño, L.A.A.; Brasil, D.V.C.; Ribeiro, A.N. Comparative and correlational analysis of the performance from 2016 crossfit games high-level athletes. Man. Ther. Posturology Rehabil. J. 2017, 15, 1–4. [Google Scholar] [CrossRef][Green Version]
- Franchini, E.; Schwartz, J.; Takito, M.Y. Maximal isometric handgrip strength: Comparison between weight categories and classificatory table for adult judo athletes. J. Exerc. Rehabil. 2018, 14, 968–973. [Google Scholar] [CrossRef]
- Figueiredo, V.C.; De Salles, B.F.; Trajano, G.S. Volume for muscle hypertrophy and health outcomes: The most effective variable in resistance training. Sports Med. 2018, 48, 499–505. [Google Scholar] [CrossRef]
- Schoenfeld, B.J.; Contreras, B.; Krieger, J.; Grgic, J.; Delcastillo, K.; Belliard, R.; Alto, A. Resistance training volume enhances muscle hypertrophy but not strength in trained men. Med. Sci. Sports Exerc. 2019, 51, 94–103. [Google Scholar] [CrossRef] [PubMed]
- Colquhoun, R.J.; Gai, C.M.; Aguilar, D.; Bove, D.; Dolan, J.; Vargas, A.; Couvillion, K.; Jenkins, N.D.M.; Campbell, B.I. Training volume, not frequency, indicative of maximal strength adaptations to resistance training. J. Strength Cond. Res. 2018, 32, 1207–1213. [Google Scholar] [CrossRef] [PubMed]
- Saric, J.; Lisica, D.; Orlic, I.; Grgic, J.; Krieger, J.W.; Vuk, S.; Schoenfeld, B.J. Resistance training frequencies of 3 and 6 times per week produce similar muscular adaptations in resistance-trained men. J. Strength Cond. Res. 2019, 1, 122–129. [Google Scholar] [CrossRef] [PubMed]
- Gomes, G.K.; Franco, C.M.; Nunes, P.R.P.; Orsatti, F.L. High-frequency resistance training is not more effective than low-frequency resistance training in increasing muscle mass and strength in well-trained men. J. Strength Cond. Res. 2019, 33, 130–139. [Google Scholar] [CrossRef] [PubMed]
- Tibana, R.A.; Almeida, L.M.; Sousa, N.M.F.; Nascimento, D.C.; Sousa-Neto, I.V.; Almeida, J.A.; Souza, V.C.; Lopes, M.F.T.P.L.; Nobrega, O.T.; Vieira, D.C.L.; et al. Two consecutive days of extreme conditioning program training affects pro and anti-inflammatory cytokines and osteoprotegerin without impairments in muscle power. Front. Physiol. 2016, 7, 260. [Google Scholar] [CrossRef] [PubMed]
- Heavens, K.R.; Szivak, T.K.; Hooper, D.R.; Dunn-Lewis, C.; Comstock, B.A.; Flanagan, S.D.; Looney, D.P.; Kupchak, B.R.; Maresh, C.M.; Volek, J.S.; et al. The effects of high intensity short rest resistance exercise on muscle damage markers in men and women. J. Strength Cond. Res. 2014, 28, 1041–1049. [Google Scholar] [CrossRef]
- Tibana, R.A.; Sousa, N.M.F.; Prestes, J.; Feito, Y.; Ferreira, C.E.; Voltarelli, F.A. Monitoring training load, well-being, heart rate variability, and competitive performance of a functional-fitness female athlete: A case study. Sports 2019, 7, 35. [Google Scholar] [CrossRef]
- Halson, S.L. Monitoring training load to understand fatigue in athletes. Sports Med. 2014, 44, 139–147. [Google Scholar] [CrossRef]
- Jones, C.M.; Griffiths, P.C.; Mellalieu, S.D. Training load and fatigue marker associations with injury and illness: A systematic review of longitudinal studies. Sports Med. 2017, 47, 943–974. [Google Scholar] [CrossRef]
- Poderoso, R.; Cirilo-Sousa, M.; Júnior, A.; Novaes, J.; Vianna, J.; Dias, M.; Leitão, L.; Reis, V.; Neto, N.; Vilaça-Alves, J. Gender differences in chronic hormonal and immunological responses to CrossFit®. Int. J. Environ. Res. Public Health 2019, 16, 2577. [Google Scholar] [CrossRef]
- Drew, M.K.; Finch, C.F. The relationship between training load and injury, illness and soreness: A systematic and literature review. Sports Med. 2016, 46, 861–883. [Google Scholar] [CrossRef] [PubMed]
- Antualpa, K.; Aoki, M.S.; Moreira, A. Salivary steroids hormones, well-being, and physical performance during an intensification training period followed by a tapering period in youth rhythmic gymnasts. Physiol. Behav. 2017, 179, 1–8. [Google Scholar] [CrossRef] [PubMed]
- Gabbett, T.J. Debunking the myths about training load, injury and performance: Empirical evidence, hot topics and recommendations for practitioners. Br. J. Sports Med. 2020, 54, 58–66. [Google Scholar] [CrossRef] [PubMed]
- Nakamura, F.Y.; Pereira, L.A.; Abad, C.C.C.; Franchini, E.; Loturco, I. Cardiac autonomic and neuromuscular responses during a karate training camp before to the 2015 pan american games: A case study with the brazilian national team. Int. J. Sports Physiol. Perform. 2016, 11, 833–837. [Google Scholar] [CrossRef] [PubMed]
- Nakamura, F.Y.; Pereira, L.A.; Rabelo, F.N.; Flatt, A.A.; Esco, M.R.; Bertollo, M.; Loturco, I. Monitoring weekly heart rate variability in futsal players during the preseason: The importance of maintaining high vagal activity. J. Sports Sci. 2016, 34, 2262–2268. [Google Scholar] [CrossRef]
- Foster, C. Monitoring training in athletes with reference to overtraining syndrome. Med. Sci. Sports Exerc. 1998, 30, 1164–1168. [Google Scholar] [CrossRef]
- Tibana, R.A.; Sousa, N.M.F.; Cunha, G.V.; Prestes, J.; Fett, C.; Gabbett, T.J.; Voltarelli, F.A. Validity of session rating perceived exertion method for quantifying internal training load during high-intensity functional training. Sports 2018, 6, 68. [Google Scholar] [CrossRef]
- Crawford, D.A.; Drake, N.B.; Carper, M.J.; DeBlauw, J.; Heinrich, K.M. Validity, reliability, and application of the session-RPE method for quantifying training loads during high intensity functional training. Sports 2018, 6, 84. [Google Scholar] [CrossRef]
- Williams, S.; Booton, T.; Watson, M.; Rowland, D.; Altini, M. Heart rate variability is a moderating factor in the workload-injury relationship of competitive crossfitTM athletes. J. Sports Sci. Med 2017, 16, 443–449. [Google Scholar]
- Cosgrove, S.J.; Crawford, D.A.; Heinrich, K.M. Multiple fitness improvements found after 6-months of high intensity functional training. Sports 2019, 7, 203. [Google Scholar] [CrossRef]
- Cruz, I.F.; Pereira, L.A.; Kobal, R.; Kitamura, K.; Cedra, C.; Loturco, I.; Abad, C.C.C. Perceived training load and jumping responses following nine weeks of a competitive period in young female basketball players. PeerJ 2018, 6, e5225. [Google Scholar] [CrossRef] [PubMed]
- Loturco, I.; Nakamura, F.Y.; Kobal, R.; Gil, S.; Pivetti, B.; Pereira, L.A.; Roschel, H. Traditional periodization versus otimum training load applied to soccer players: Effects on neuromuscular abilities. Int. J. Sports Med. 2016, 37, 1051–1059. [Google Scholar]
- Marin, R.V.; Pedrosa, M.A.C.; Moreira-Pfrimer, L.D.F.; Matsudo, S.M.M.; Lazaretti-Castro, M. Association between lean mass and handgrip strength with bone mineral density in physically active postmenopausal women. J. Clin. Densitom. 2010, 13, 96–101. [Google Scholar] [CrossRef] [PubMed]
- Ferguson, C. An effect size primer: A guide for clinicians and researchers. Prof. Psy. Res. Prac. 2009, 40, 532–538. [Google Scholar] [CrossRef]
- Bergeron, M.F.; Nindl, B.C.; Deuster, P.A.; Baumgartner, N.; Kane, S.F.; Kraemer, W.J.; Sexauer, L.R.; Thompson, W.R.; O’Connor, F.G. Consortium for health and military performance and american college of sports medicine consensus paper on extreme conditioning programs in military personnel. Curr. Sports Med. Rep. 2011, 10, 383–389. [Google Scholar] [CrossRef]
- Meeusen, R.; Duclos, M.; Foster, C.; Fry, A.; Gleeson, M.; Nieman, D.; Raglin, J.; Rietjens, G.; Steinacker, J.; Urhausen, A. Prevention, diagnosis, and treatment of the overtraining syndrome: Joint consensus statement of the european college of sport science and the american college of sports medicine. Med. Sci. Sports Exerc. 2013, 45, 186–205. [Google Scholar] [CrossRef]
- Debien, P.B.; Mancini, M.; Coimbra, D.R.; Freitas, D.G.S.; Miranda, R.; Bara Filho, M.G. Monitoring training load, recovery, and performance of brazilian professional volleyball players during a season. Int. J. Sports Physiol. Perform. 2018, 13, 1182–1189. [Google Scholar] [CrossRef]
- Aoki, M.S.; Ronda, L.T.; Marcelino, P.R.; Drago, G.; Carling, C.; Bradley, P.S.; Moreira, A. Monitoring training loads in professional basketball players engaged in a periodized training program. J. Strength Cond. Res. 2017, 31, 348–358. [Google Scholar] [CrossRef] [PubMed]
- Gabbett, T.J.; Nassis, G.P.; Oetter, E.; Pretorius, J.; Johnston, N.; Medina, D.; Rodas, G.; Myslinski, T.; Howells, D.; Beard, A.; et al. The athlete monitoring cycle: A practical guide to interpreting and applying training monitoring data. Br. J. Sports Med. 2017, 51, 1451–1452. [Google Scholar] [CrossRef]
- Bourdon, P.C.; Cardinale, M.; Murray, A.; Gastin, P.; Kellmann, M.; Varley, M.C.; Gabbett, T.J.; Coutts, A.J.; Burgess, D.J.; Gregson, W.; et al. Monitoring athlete training loads: Consensus statement. Int. J. Sports Physiol. Perform. 2017, 12, 161–170. [Google Scholar] [CrossRef]
- Gabbett, T.J. The development and application of an injury prediction model for noncontact, soft-tissue injuries in elite collision sport athletes. J. Strength Cond. Res. 2010, 24, 2593–2603. [Google Scholar] [CrossRef] [PubMed]
- Harrison, P.W.; Johnston, R.D. Relationship between training load, fitness, and injury over an australian rules football preseason. J. Strength Cond. Res. 2017, 31, 2686–2693. [Google Scholar] [CrossRef] [PubMed]
- Nakamura, D.; Akimoto, T.; Suzuki, S.; Kono, I. Daily changes of salivary secretory immunoglobulin A and appearance of upper respiratory symptoms during physical training. J. Sports Med. Phys. Fit. 2006, 46, 152–157. [Google Scholar]
- Ferrari, H.G.; Gobatto, C.A.; Manchado-Gobatto, F.B. Training load, immune system, upper respiratory symptoms and performance in well-trained cyclists throughout a competitive season. Biol. Sport 2013, 30, 289–294. [Google Scholar] [CrossRef] [PubMed]
- Brigatto, F.A.; Lima, L.E.M.; Germano, M.D.; Aoki, M.S.; Braz, T.V.; Lopes, C.R. High resistance-training volume enhances muscle thickness in resistance-trained men. J. Strength Cond. Res. 2019. Online ahead of print. [Google Scholar] [CrossRef]
- Jeffreys, M.A.; De Ste Croix, M.B.A.; Lloyd, R.S.; Oliver, J.L.; Hughes, J.D. The effect of varying plyometric volume on stretch-shortening cycle capability in collegiate male rugby players. J. Strength Cond. Res. 2019, 33, 139–145. [Google Scholar] [CrossRef]
- Scarpelli, M.C.; Nóbrega, S.R.; Santanielo, N.; Alvarez, I.F.; Otoboni, G.B.; Ugrinowitsch, C.; Libardi, C.A. Muscle hypertrophy response is affected by previous resistance training volume in trained individuals. J. Strength Cond. Res. 2020. Online ahead of print. [Google Scholar] [CrossRef]
- Loturco, I.; Pereira, L.A.; Kobal, R.; Kitamura, K.; Abad, C.C.C.; Marques, G.; Guerriero, A.; Moraes, J.E.; Nakamura, F.Y. Validity and usability of a new system for measuring and monitoring variations in vertical jump performance. J. Strength Cond. Res. 2017, 31, 2579–2585. [Google Scholar] [CrossRef]
- Suchomel, T.J.; Nimphius, S.; Stone, M.H. The importance of muscular strength in athletic performance. Sports Med. 2016, 46, 1419–1449. [Google Scholar] [CrossRef]
- Cormie, P.; McGuigan, M.R.; Newton, R.U. Developing maximal neuromuscular power: Part 2—Training considerations for improving maximal power production. Sports Med. 2011, 41, 125–146. [Google Scholar] [CrossRef]
- Sousa, A.F.M.; Santos, G.B.; Reis, T.; Valerino, A.J.R.; Del Rosso, S.; Boullosa, D.A. Differences in physical fitness between recreational crossfit® and resistance trained individuals. J. Exerc. Physiol. Online 2016, 19, 112–122. [Google Scholar]
- Hermassi, S.; Wollny, R.; Schwesig, R.; Shephard, R.J.; Chelly, M.S. Effects of in-season circuit training on physical abilities in male handball players. J. Strength Cond. Res. 2019, 33, 944–957. [Google Scholar] [CrossRef]
- Neto, J.H.F.; Kennedy, M.D. The multimodal nature of high-intensity functional training: Potential applications to improve sport performance. Sports 2019, 7, 33. [Google Scholar] [CrossRef] [PubMed]
- Freitas, T.T.; Martinez-Rodriguez, A.; Calleja-González, J.; Alcaraz, P.E. Short-term adaptations following complex training in team-sports: A meta-analysis. PLoS ONE 2017, 12, e0180223. [Google Scholar] [CrossRef] [PubMed]
- Healy, R.; Smyth, C.; Kenny, I.C.; Harrison, A.J. Influence of reactive and maximum strength indicators on sprint performance. J. Strength Cond. Res. 2019, 33, 3039–3048. [Google Scholar] [CrossRef] [PubMed]
- Contreras, B.; Vigotsky, A.D.; Schoenfeld, B.J.; Beardsley, C.; McMaster, D.T.; Reyneke, J.H.T.; Cronin, J.B. Effects of a six-week hip thrust vs. front squat resistance training program on performance in adolescent males: A randomized controlled trial. J. Strength Cond. Res. 2017, 31, 999–1008. [Google Scholar] [CrossRef]
- Cronin, J.; Lawton, T.; Harris, N.; Kilding, A.; McMaster, D.T. A brief review of handgrip strength and sport performance. J. Strength Cond. Res. 2017, 31, 3187–3217. [Google Scholar] [CrossRef]
- Ruprai, R.K.; Tajpuriya, S.V.; Mishra, N. Handgrip strength as determinant of upper body strength/physical fitness: A comparative study among individuals performing gymnastics (ring athletes) and gymnasium (powerlifters). Int. J. Med. Sci. Public Health 2016, 5, 1167–1172. [Google Scholar] [CrossRef]


| Variables | Groups | Week 1 | Week 2 | Week 3 | Week 4 | Week 5 | Week 6 |
|---|---|---|---|---|---|---|---|
| MI | HTVF | 1.12 ± 0.25 | 0.99 ± 0.46 | 1.03 ± 0.38 | 1.08 ± 0.30 | 0.94 ± 0.27 | 1.16 ± 0.46 |
| MTVF | 1.33 ± 0.42 †,∞ | 1.02 ± 0.30 | 1.15 ± 0.31 *,$ | 0.91 ± 0.22 | 0.78 ± 0.23 | 0.98 ± 0.18 | |
| TS | HTVF | 2477.2 ± 1186.6 | 2072.3 ± 1653.1 | 2085.3 ± 1404.1 | 2310.5 ± 1310.3 | 1737.1 ± 911.3 | 2602.8 ± 1848.3 |
| MTVF | 3143.4 ± 1422.2 †,∞ | 2123.5 ± 1366.9 | 2690.2 ± 1175.9 *,$ | 1667.1 ± 887.4 | 1354.5 ± 797.2 | 1966.9 ± 622.7 | |
| WITL | HTVF | 2118.2 ± 775.6 | 1764.7 ± 992.6 | 1830.2 ± 741.3 | 1980.4 ± 778.1 | 1729.1 ± 642.5 | 1994.4 ± 802.9 |
| MTVF | 2283.9 ± 558.2 | 1889.2 ± 750.8 | 2281.4 ± 789.4 *,$ | 1722.5 ± 675.0 | 1650.7 ± 620.6 | 1973.9 ± 442.7 | |
| WMITL | HTVF | 302.5 ± 110.8 | 252.1 ± 141.8 | 261.4 ± 105.9 | 282.9 ± 111.1 | 247.0 ± 91.7 | 284.9 ± 114.7 |
| MTVF | 326.2 ± 79.7 | 269.8 ± 107.2 | 325.9 ± 112.7 *,$ | 246.0 ± 96.4 | 235.8 ± 88.6 | 281.9 ± 63.2 |
© 2020 by the authors. Licensee MDPI, Basel, Switzerland. This article is an open access article distributed under the terms and conditions of the Creative Commons Attribution (CC BY) license (http://creativecommons.org/licenses/by/4.0/).
Share and Cite
Teixeira, R.V.; Batista, G.R.; Mortatti, A.L.; Dantas, P.M.S.; Cabral, B.G.d.A.T. Effects of Six Weeks of High-Intensity Functional Training on Physical Performance in Participants with Different Training Volumes and Frequencies. Int. J. Environ. Res. Public Health 2020, 17, 6058. https://doi.org/10.3390/ijerph17176058
Teixeira RV, Batista GR, Mortatti AL, Dantas PMS, Cabral BGdAT. Effects of Six Weeks of High-Intensity Functional Training on Physical Performance in Participants with Different Training Volumes and Frequencies. International Journal of Environmental Research and Public Health. 2020; 17(17):6058. https://doi.org/10.3390/ijerph17176058
Chicago/Turabian StyleTeixeira, Rômulo Vasconcelos, Gilmário Ricarte Batista, Arnaldo Luis Mortatti, Paulo Moreira Silva Dantas, and Breno Guilherme de Araújo Tinôco Cabral. 2020. "Effects of Six Weeks of High-Intensity Functional Training on Physical Performance in Participants with Different Training Volumes and Frequencies" International Journal of Environmental Research and Public Health 17, no. 17: 6058. https://doi.org/10.3390/ijerph17176058
APA StyleTeixeira, R. V., Batista, G. R., Mortatti, A. L., Dantas, P. M. S., & Cabral, B. G. d. A. T. (2020). Effects of Six Weeks of High-Intensity Functional Training on Physical Performance in Participants with Different Training Volumes and Frequencies. International Journal of Environmental Research and Public Health, 17(17), 6058. https://doi.org/10.3390/ijerph17176058

