Predicting Psychological Distress Amid the COVID-19 Pandemic by Machine Learning: Discrimination and Coping Mechanisms of Korean Immigrants in the U.S.
Abstract
1. Introduction
1.1. Korean Immigrant Population in the U.S.
1.2. Increased Racism against Asian Populations in the U.S. Amid the COVID-19 Pandemic
2. Literature Review
2.1. Racial Discrimination, Coping Mechanisms, and Mental Health
2.2. Individuals’ Mental Health Status Amid the COVID-19 Pandemic
3. Materials and Methods
3.1. Procedure
3.2. Measurements
3.3. Data Analysis
4. Results
4.1. Subsection
4.2. Artificial Neural Network Analysis
5. Discussion
6. Conclusions
Author Contributions
Funding
Conflicts of Interest
References
- Gomez-Salgado, J.; Andres-Villas, M.; Dominguez-Salas, S.; Diaz-Milanes, D.; Ruiz-Frutos, C. Related Health Factors of Psychological Distress During the COVID-19 Pandemic in Spain. Int. J. Environ. Res. Public Health 2020, 17, 3947. [Google Scholar] [CrossRef] [PubMed]
- World Health Organization. Coronavirus Disease (COVID-19) Dashboard. Available online: https://covid19.who.int/ (accessed on 6 July 2020).
- World Health Organization. Global: United States of America. Available online: https://covid19.who.int/region/amro/country/us (accessed on 6 July 2020).
- Bureau, U.S.C. Asian Alone or in Any Combination by Selected Groups. Available online: https://data.census.gov/cedsci/table?q=pakistani&g=&lastDisplayedRow=18&table=B02018&tid=ACSDT1Y2018.B02018&vintage=2018&mode (accessed on 12 July 2020).
- O’Connor, A.; Batalova, J. Korean Immigrants in the United States; The Migration Policy Institute: Washington, DC, USA, 2019. [Google Scholar]
- Boston University School of Theology: Boston Korean Diaspora Project. History of Korean Immigration to America, from 1903 to Present. Available online: http://sites.bu.edu/koreandiaspora/issues/history-of-korean-immigration-to-america-from-1903-to-present/#_ftn9 (accessed on 11 July 2020).
- Yasui, M.; Kim, T.Y.; Choi, Y. Culturally specific parent mental distress, parent-child relations and youth depression among Korean American families. J. Child Fam. Stud. 2018, 27, 3371–3384. [Google Scholar] [CrossRef]
- Choi, J.; Miller, A.; Wilbur, J. Acculturation and depressive symptoms in Korean immigrant women. J. Immigr. Minor. Health 2009, 11, 13–19. [Google Scholar] [CrossRef] [PubMed]
- Min, J.W.; Moon, A.; Lubben, J.E. Determinants of psychological distress over time among older Korean immigrants and non-Hispanic white elders: Evidence from a two-wave panel study. Aging Ment. Health 2005, 9, 201–222. [Google Scholar] [CrossRef] [PubMed]
- Liu, Y.; Finch, B.K.; Brenneke, S.G.; Thomas, K.; Le, P.D. Perceived discrimination and Mental Distress amid the COVID-19 pandemic: Evidence from the understanding America study. Am. J. Prev. Med. 2020. [Google Scholar] [CrossRef]
- Schuchat, A. Public Health Response to the Initiation and Spread of Pandemic COVID-19 in the United States, February 24–April 21,2020. MMWR Morb. Mortal. Wkly Rep. 2020, 69, 551–556. [Google Scholar] [CrossRef]
- Marquardt, A.; Hansler, J. US push to include ‘Wuhan virus’ language in G7 joint statement factures alliance. CNN Politics, 25 March 2020. [Google Scholar]
- Burton, N. Why Asians in masks should not be the “face” of the coronavirus. Vox, 6 March 2020. [Google Scholar]
- Ruiz, N.G.; Horowitz, J.; Tamir, C. Many Black and Asian Americans Say They Have Experienced Discrimination Amid the COVID-19 Outbreak; Pew Research Center: Washington, DC, USA, 2020. [Google Scholar]
- Margolin, J. FBI warns of potential surge in hate crimes against Asian Americans amid coronavirus. ABC News, 27 March 2020. [Google Scholar]
- Choi, S.; Weng, S.; Park, H.; Hong, J. Counter-Effects of Ethnic and Racial Identity (ERI) as a Buffer against Perceived Racial Discrimination among Asian Immigrants. Smith Coll. Stud. Soc. Work 2020. [Google Scholar] [CrossRef]
- Choi, S.; Weng, S.; Park, H.; Kim, Y. Effects of Asian immigrants’ group membership in the association between perceived racial discrimination and psychological well-being: The interplay of immigrants’ generational status, age, and ethnic subgroup. J. Ethn. Cult. Divers. Soc. Work 2020, 29, 114–135. [Google Scholar] [CrossRef]
- Pieterse, A.L.; Todd, N.R.; Neville, H.A.; Carter, R.T. Perceived racism and mental health among Black American. J. Couns. Psychol. 2011, 99, 1–9. [Google Scholar]
- Greene, M.L.; Way, N.; Pahl, K. Trajectories of perceived adult and peer discrimination among Black, Latino, and Asian American adolescents: Patterns and psychological correelates. Dev. Psychol. 2006, 42, 218–236. [Google Scholar] [CrossRef]
- Yoo, H.C.; Lee, R.M. Ethnic identity and approach-type coping as moderators of the racial discrimination/well-being relation in Asian Americans. J. Couns. Psychol. 2005, 52, 497. [Google Scholar] [CrossRef]
- Gee, G.C.; Spencer, M.; Chen, J.; Yip, T.; Takeuchi, D.T. The association between self-reported racial discrimination and 12-month DSM-IV mental disorders among Asian Americans nationwide. Soc. Sci. Med. 2007, 64, 1984–1996. [Google Scholar] [CrossRef] [PubMed]
- Lewis, T.T.; Cogburn, C.D.; Williams, D.R. Self-reported experience of discrimination and health: Scientific advances, ongoing controversies, and emerging issues. Annu. Rev. Clin. Psychol. 2015, 11, 407–440. [Google Scholar] [CrossRef]
- Li, M. Discrimination and psychiatric disorder among Asian American immigrants: A national analysis by subgroups. J. Immigr. Minor. Health 2014, 16, 1157–1166. [Google Scholar] [CrossRef] [PubMed]
- Bernstein, K.; Park, S.Y.; Nokes, K.M. Resilience and depressive symptoms among Korean Americans with history of traumatic life experience. Community Ment. Health J. 2017, 53, 793–801. [Google Scholar] [CrossRef] [PubMed]
- Connor, K.M.; Davidson, R.T. Development of new resilience scale: The Connor-Davidson Resilience Scale (CD-RISC). Depress. Anxiety 2003, 18, 76–82. [Google Scholar] [CrossRef]
- Masten, A.; Obradovic, J. Competence and resilience in development. N. Y. Acad. Sci. 2006, 1094, 13–27. [Google Scholar] [CrossRef]
- Bosma, L.M.; Orozco, L.; Barriga, C.C.; Rosas-Lee, M.; Sieving, R.E. Promoting resilience during adolescence: Voices of Latino youth and parents. Youth Soc. 2019, 51, 735–755. [Google Scholar] [CrossRef]
- Akinsulure-Smith, A.M. Resilience in the face of adversity: African immigrants’ mental health needs and the American Transition. J. Immigr. Refug. Stud. 2017, 15, 428–448. [Google Scholar] [CrossRef]
- Phinney, J.S. Ethnic identity and self-esteem: A review and integration. Hisp. J. Behav. Sci. 1991, 13, 193–208. [Google Scholar] [CrossRef]
- Park, I.J.K.; Schwartz, S.J.; Lee, R.M.; Kim, M. Perceived racial/ethnic discrimination and antisocial behaviors among Asian American college students: Testing the moderating roles of ethnic and American identity. Cult. Divers. Ethn. Minor. Psychol. 2013, 19, 166–176. [Google Scholar] [CrossRef] [PubMed]
- Mossaskowaski, K.N. Coping with perceived discrimination: Does ethnic identity protect mental health? J. Health Soc. Behav. 2003, 44, 318–331. [Google Scholar] [CrossRef]
- Tafoya, S. Shades of belonging: Latinos and Racial Identity. Available online: https://files.eric.ed.gov/fulltext/ED486481.pdf (accessed on 12 July 2020).
- Brondolo, E.; Halen, N.B.; Pencille, M.; Beatty, D.; Contrada, R.J. Coping with racism: A selective review of literature and a theoretical and methodological critique. J. Behav. Med. 2008, 32, 64–88. [Google Scholar] [CrossRef] [PubMed]
- Noh, S.; Kaspar, V. Perceived discrimination and depression: Moderating effects of coping, acculturation, and ethnic support. Am. J. Public Health 2003, 93, 232–238. [Google Scholar] [CrossRef]
- Mossakowski, K.N.; Zhang, W. Does social support buffer the stress of discrimination and reduce psychological distress among Asian Americans? Soc. Psychol. Q. 2014, 77, 273–295. [Google Scholar] [CrossRef]
- Chae, D.H.; Lee, S.; Lincoln, K.D.; Ihara, E.S. Discrimination, family relationships, and major depression among Asian Americans. J. Immigr. Minor. Health 2011, 14, 361–370. [Google Scholar] [CrossRef]
- Tummala-Narra, P.; Alegria, M.; Chen, C.N. Perceived discrimination, acculturative stress, and depression among South Asians: Mixed findings. Asian Am. J. Psychol. 2012, 3, 3–16. [Google Scholar] [CrossRef]
- Li, J.; Liang, W.; Yuan, B.; Zeng, G. Internalized stiagatization, social support, and individual mental health problems in the public health crisis. Int. J. Environ. Res. Public Health 2020, 17, 4507. [Google Scholar] [CrossRef]
- Choi, E.P.H.; Hui, B.P.H.; Wan, E.Y.F. Depression and anxiety in Hong Kong during COVID-19. Int. J. Environ. Res. Public Health 2020, 17, 3740. [Google Scholar] [CrossRef]
- Riehm, K.E.; Holingue, C.; Kalb, L.G.; Bennette, D.; Kapateyn, A.; Jiang, Q.; Veldhuis, C.; Johnson, R.M.; Fallin, M.D.; Kreuter, F.; et al. Associations between media exposure and mental distress among U.S. adults at the beginning of the COVID-19 pandemic. Am. J. Prev. Med. 2020, 2020. [Google Scholar] [CrossRef]
- Barrios Osuna, I.; Anido Escobar, V.; Morera Pérez, M. Declaración de Helsinki: Cambios y exégesis. Rev.Cuba. Salud Publica 2016, 42, 132–142. [Google Scholar]
- Kessler, R.C.; Andrews, G.; Colpe, L.J.; Hiripi, E.; Mroczek, D.K.; Normand, S.-L.T.; Walters, E.E.; Zaslavsky, A.M. Short screening scales to monitor population prevalences and trends in non-specific psychological distress. Psychol. Med. 2002, 32, 329–339. [Google Scholar] [CrossRef] [PubMed]
- K10 and K6 Scales. Available online: https://www.hcp.med.harvard.edu/ncs/k6_scales.php (accessed on 13 August 2020).
- Williams, D.R.; Yan, Y.; Jackson, J.S.; Anderson, N.B. Racial differences in physical and mental health: Socio-economic status, stress and discrimination. J. Health Psychol. 1997, 2, 335–351. [Google Scholar] [CrossRef] [PubMed]
- Vega, W.; Zimmerman, R.; Gil, A.; Warheit, G.; Apospori, E. (Eds.) Acculturation Strain Theory: Its Application in Explaining Drug Use Behavior among Cuban and Other Hispanic Youth; National Institute of Drug Abuse: North Bethesda, MD, USA, 1993. [Google Scholar]
- Balsam, K.F.; Molina, Y.; Blayney, J.A.; Dillworth, T.; Zimmerman, L.; Kaysen, D. Racial/ethnic differences in identity and mental health outcomes among young sexual minority women. Cult. Divers. Ethn. Minor. Psychol. 2015, 21, 380–390. [Google Scholar] [CrossRef] [PubMed]
- Campbell-Sills, L.; Stein, M.B. Psychometric analysis and refinement of the Connor-davidson resilience scale (CD-RISC): Validation of a 10-item measure of resilience. J. Trauma. Stress 2007, 20, 1019–1026. [Google Scholar] [CrossRef]
- Schuster, T.L.; Kessler, R.C.; Aseltine, R.H. Supportive interactions, negative interactions, and depressed mood. Am. J. Community Psychol. 1990, 18, 423–438. [Google Scholar] [CrossRef]
- Haykin, S. Neural Networks: A Comprehensive Foundation, 2nd ed.; Mcmillan College Publishing: New York, NY, USA, 1998. [Google Scholar]
- Wlodarczyk, M.; Dolinska-Zygmunt, G. Searching for predictors of sense of quality of health: A study using neural networks on a sample of perimenopausal women. PLoS ONE 2019, 14, e0200129. [Google Scholar] [CrossRef]
- IBM. SPSS Neural Networks 24. n.d. Available online: ftp://public.dhe.ibm.com/software/analytics/spss/documentation/statistics/24.0/en/client/Manuals/IBM_SPSS_Neural_Network.pdf (accessed on 8 June 2020).
- Allahyri, E. Predicting elderly depression: An artificial neural network model. Iran. J. Psychiatry Behav. Sci. 2019, 13, 398497. [Google Scholar] [CrossRef]
- Ekelund, S. ROC Curves-What Are They and How Are They Used? Available online: https://acutecaretesting.org/en/articles/precision-recall-curves-what-are-they-and-how-are-they-used (accessed on 14 July 2020).
- Mandrekar, J.N. Receiver operating characteristic curve in diagnostic test assessment. J. Thorac. Oncol. 2010, 5, 1315–1316. [Google Scholar] [CrossRef]
- McGinty, E.E.; Presskreischer, R.; Han, H.; Barry, C.L. Psychological Distress and Loneliness Reported by US Adults in 2018 and April 2020. JAMA 2020, 324, 93–94. [Google Scholar] [CrossRef]
- Dolezsar, C.M.; McGrath, J.J.; Herzig, A.J.M.; Miller, S.B. Perceived racial discrimination and hypertension: A comprehensive systematic review. Health Psychol. Off. J. Div. Health Psychol. Am. Psychol. Assoc. 2014, 33, 20–34. [Google Scholar] [CrossRef] [PubMed]
- Hwang, W.-C.; Goto, S. The impact of perceived racial discrimination on the mental health of Asian American and Latino college students. Cult. Divers. Ment. Health 2008, 14, 326–335. [Google Scholar] [CrossRef] [PubMed]
- Zahran, S.; Peek, L.; Snodgrass, J.G.; Weiler, S.; Hempel, L. Economics of disaster risk, social vulnerability, and mental health reselience. Risk Anal. 2011, 31, 1107–1119. [Google Scholar] [CrossRef] [PubMed]
- Bonanno, G. Loss, trauma, and human resilience: Have we underestimated the human capacity to thrive after extremely aversive events? Am. Psychol. 2004, 59, 20–28. [Google Scholar] [CrossRef] [PubMed]
- Black, L.; Van Agteren, J.; Isaiello, M.; Carey, M.; Faggotter, R. Mental health interventions to build resilience. Aust. J. Emerg. Manag. 2018, 33, 18–19. [Google Scholar]
- Vo, D.X.; Locke, J.J.; Johnson, A.; Marshall, S.K. The effectiveness of the mindful awareness and resilience skills for adolescents (MARS-A) intervention on adolescent mental health: A pilot clinical trial. J. Adolesc. Health 2015, 56, S27. [Google Scholar] [CrossRef]
- Dray, J.; Bowman, J.; Campbell, E.; Freund, M.; Hodder, R.; Wolfden, L.; Richards, J.; Leane, C.; Green, S.; Lecathelinais, C.; et al. Effectiveness of a pragmatic school-based universal intervention targeting student resilience protective factors in reducing mental health problems in adolescents. J. Adolesc. 2017, 57, 74–89. [Google Scholar] [CrossRef]
- Khanlou, N.; Wray, R. A whole community approach toward child and youth resilience promotion: A review of resilience literature. Int. J. Ment. Health Addict. 2014, 12, 64–79. [Google Scholar] [CrossRef]
- Health Resources & ServicesAdministration. Telehealth Programs. Available online: https://www.hrsa.gov/rural-health/telehealth (accessed on 16 July 2020).
- Layfield, E.; Triantafillou, V.; Prasad, A.; Deng, J.; Shanti, R.M.; Newman, J.G.; Rajasekaran, K. Telemedicine for head and neck ambulatory visits during COVID-19: Evaluating usability and patient satisfaction. J. Sci. Spec. Head Neck 2020, 42, 1681–1689. [Google Scholar] [CrossRef]
- Matheson, B.; Bohon, C.; Lock, J. Family-based treatment via videoconference: Clinical recommendations for treatment providers during COVID-19 and beyond. Int. J. Eat. Disord. 2020, 53, 1142–1154. [Google Scholar] [CrossRef]
- Chong, D.; Rogers, R. Racial solidarity and political participation. Political Behav. 2005, 27, 347–374. [Google Scholar] [CrossRef]
- Hoston, W.T. Black solidarity and racial context: An exploration of the role of Black solidarity in U.S. cities. J. Black Stud. 2009, 39, 719–731. [Google Scholar] [CrossRef]



| Mean or Percentage | |||
|---|---|---|---|
| Variables | All Sample (N = 790) | Variables | All Sample (N = 790) |
| Dependent Variable | Covariates | ||
| Psychological distress | Education | ||
| Low | 49.4% | High school diploma or less | 7.9% |
| High | 49.2% | Some level of college education | 20.9% |
| Factors | Bachelor’s degree | 34.4% | |
| Racial discrimination (range: 0–9) | Graduate degree | 36.8% | |
| Mean: 2.87 | Std.Dev: 2.06 | Employment status | |
| Everyday discrimination (range: 9–54) | Employed full time | 53.4% | |
| Mean: 12.43 | Std.Dev: 4.93 | Employed part-time | 14.3% |
| COVID-19 discrimination (range: 3–15) | Out of labor force | 32.4% | |
| Mean: 8.64 | Std.Dev: 2.65 | Marital status | |
| Resilience (range: 0–40) | Married | 73.8% | |
| Mean: 25.03 | Std.Dev: 6.85 | Never married | 21.0% |
| Racial/Ethnic Identity (range: 0–16) | Widowed/separated/divorced | 5.2% | |
| Mean: 11.63 | Std.Dev: 2.26 | Household income | |
| Age (years) | <$34,999 | 21.6% | |
| Min: 20 | Mean: 42.74 | $35,000–$49,999 | 13.3% |
| Max: 81 | Std.Dev: 12.14 | $50,000–$99,999 | 27.8% |
| Yrs in the U.S. (years) | Mean: 16 | ≥$100,000 | 27.8% |
| Range: 1–61 | Std.Dev: 10.96 | Sex | |
| U.S. Nativity | Male | 40.3% | |
| Foreign (South Korea)-born | 90.9% | Female | 59.7% |
| U.S.-born | 1.9% | ||
| Language Barrier | |||
| Yes | 27.3% | ||
| No | 72.7% | ||
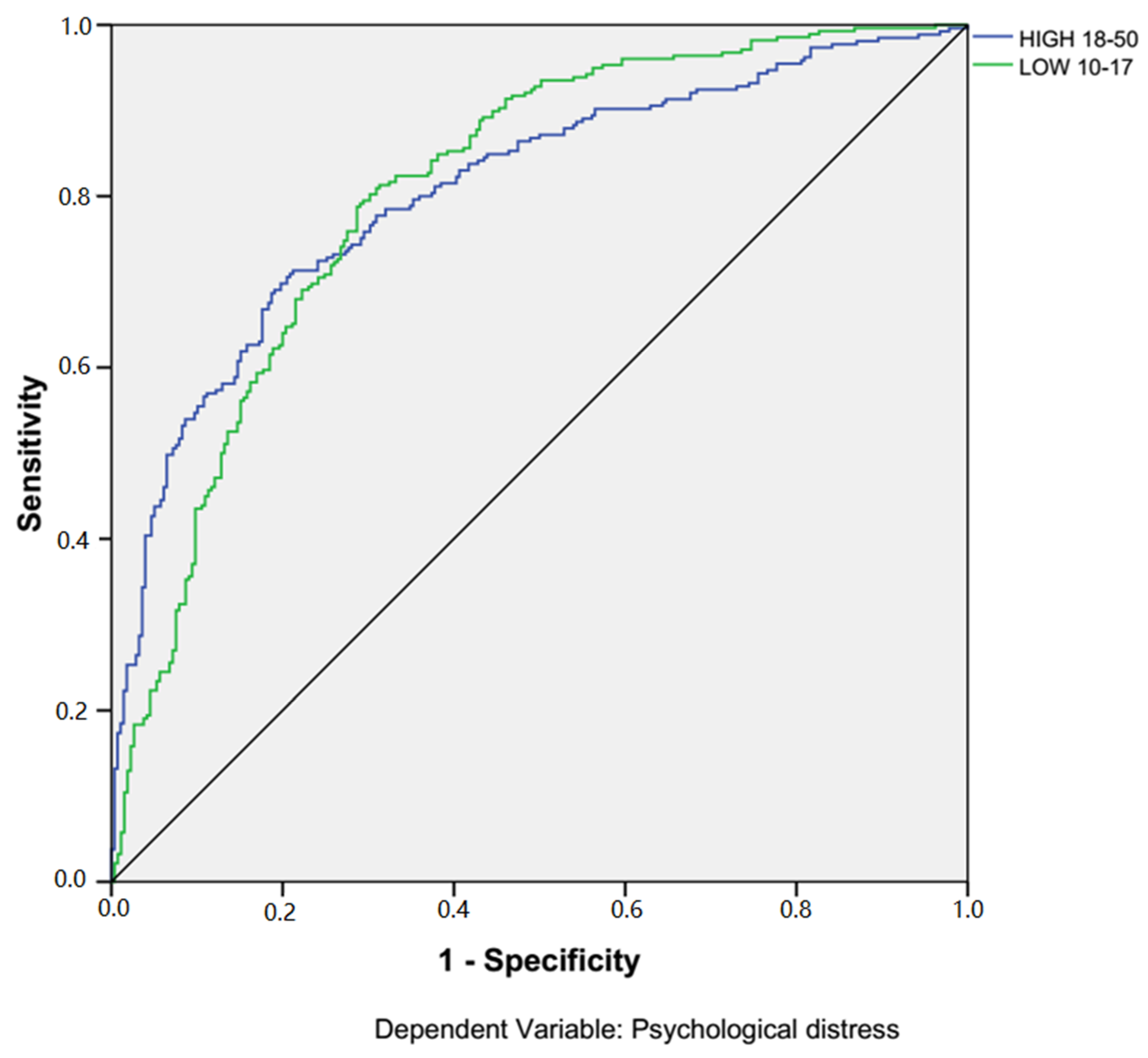
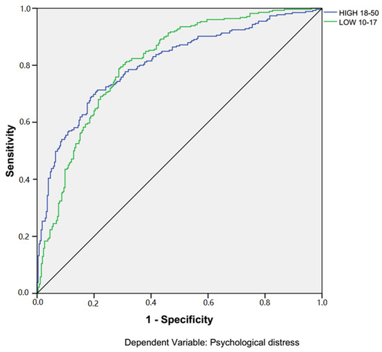
| Psychological Distress | AUC |
|---|---|
| Low 10–17 | 0.806 |
| High 18–50 | 0.806 |
| Variable | Importance | Normalized Importance (%) |
|---|---|---|
| Resilience | 0.173 | 100.0% |
| Everyday discrimination | 0.144 | 83.2% |
| COVID-19 discrimination | 0.103 | 59.8% |
| Social support | 0.095 | 55.1% |
| Age | 0.086 | 49.7% |
| Sex | 0.082 | 47.3% |
| Racial Ethnic Identity | 0.082 | 47.2% |
| Racial discrimination | 0.072 | 41.4% |
| Education level | 0.057 | 33.0% |
| Income | 0.044 | 25.4% |
| Employment status | 0.038 | 22.2% |
| Marital status | 0.025 | 14.6% |
© 2020 by the authors. Licensee MDPI, Basel, Switzerland. This article is an open access article distributed under the terms and conditions of the Creative Commons Attribution (CC BY) license (http://creativecommons.org/licenses/by/4.0/).
Share and Cite
Choi, S.; Hong, J.Y.; Kim, Y.J.; Park, H. Predicting Psychological Distress Amid the COVID-19 Pandemic by Machine Learning: Discrimination and Coping Mechanisms of Korean Immigrants in the U.S. Int. J. Environ. Res. Public Health 2020, 17, 6057. https://doi.org/10.3390/ijerph17176057
Choi S, Hong JY, Kim YJ, Park H. Predicting Psychological Distress Amid the COVID-19 Pandemic by Machine Learning: Discrimination and Coping Mechanisms of Korean Immigrants in the U.S. International Journal of Environmental Research and Public Health. 2020; 17(17):6057. https://doi.org/10.3390/ijerph17176057
Chicago/Turabian StyleChoi, Shinwoo, Joo Young Hong, Yong Je Kim, and Hyejoon Park. 2020. "Predicting Psychological Distress Amid the COVID-19 Pandemic by Machine Learning: Discrimination and Coping Mechanisms of Korean Immigrants in the U.S." International Journal of Environmental Research and Public Health 17, no. 17: 6057. https://doi.org/10.3390/ijerph17176057
APA StyleChoi, S., Hong, J. Y., Kim, Y. J., & Park, H. (2020). Predicting Psychological Distress Amid the COVID-19 Pandemic by Machine Learning: Discrimination and Coping Mechanisms of Korean Immigrants in the U.S. International Journal of Environmental Research and Public Health, 17(17), 6057. https://doi.org/10.3390/ijerph17176057

