Effects of Match-Related Contextual Factors on Weekly Load Responses in Professional Brazilian Soccer Players
Abstract
1. Introduction
2. Materials and Methods
2.1. Design
2.2. Participants
2.3. Internal Training Load
2.4. External Training Load
2.5. Statistical Analysis
3. Results
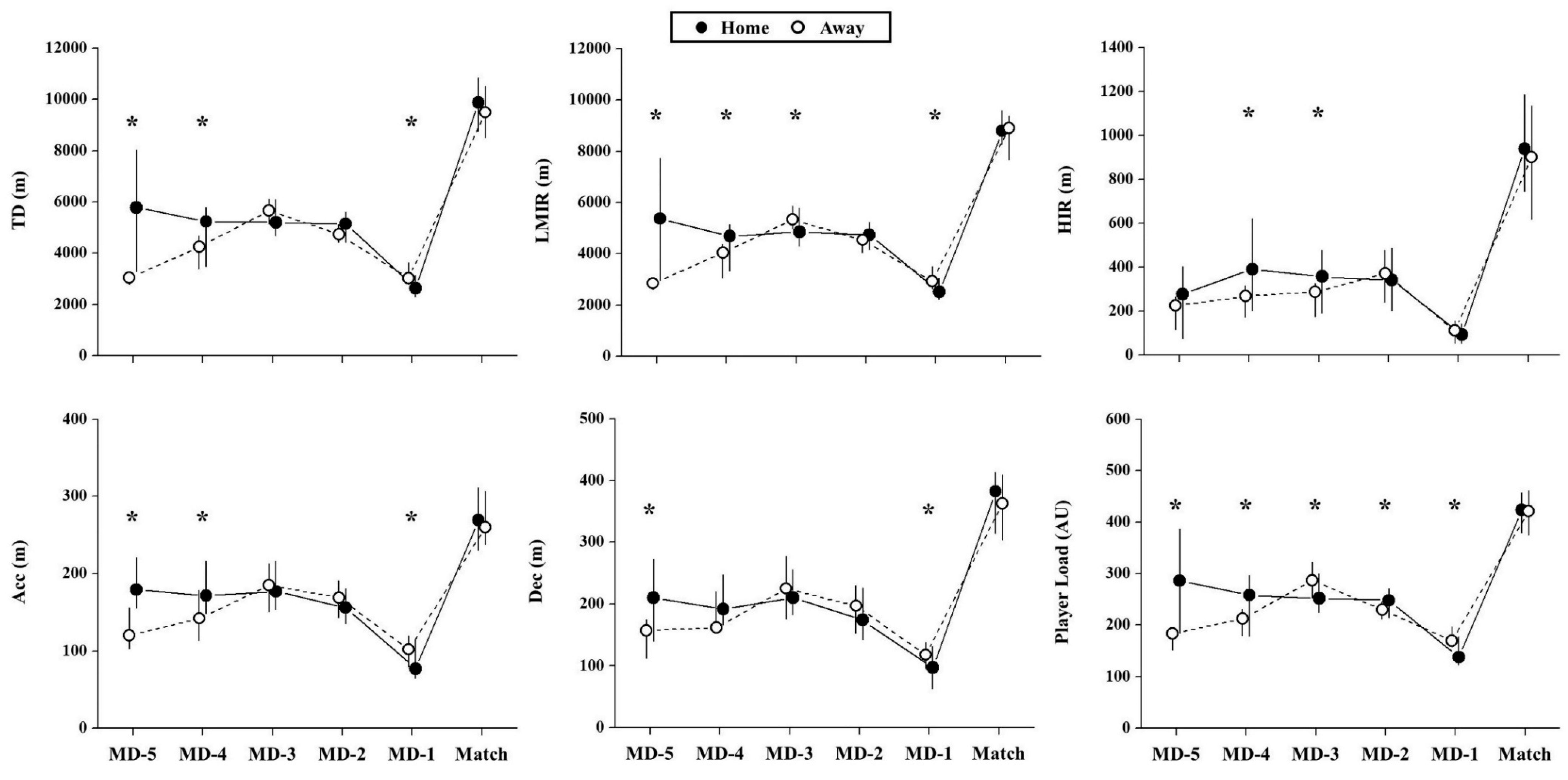
3.1. Match Location
3.2. Opponent Standard
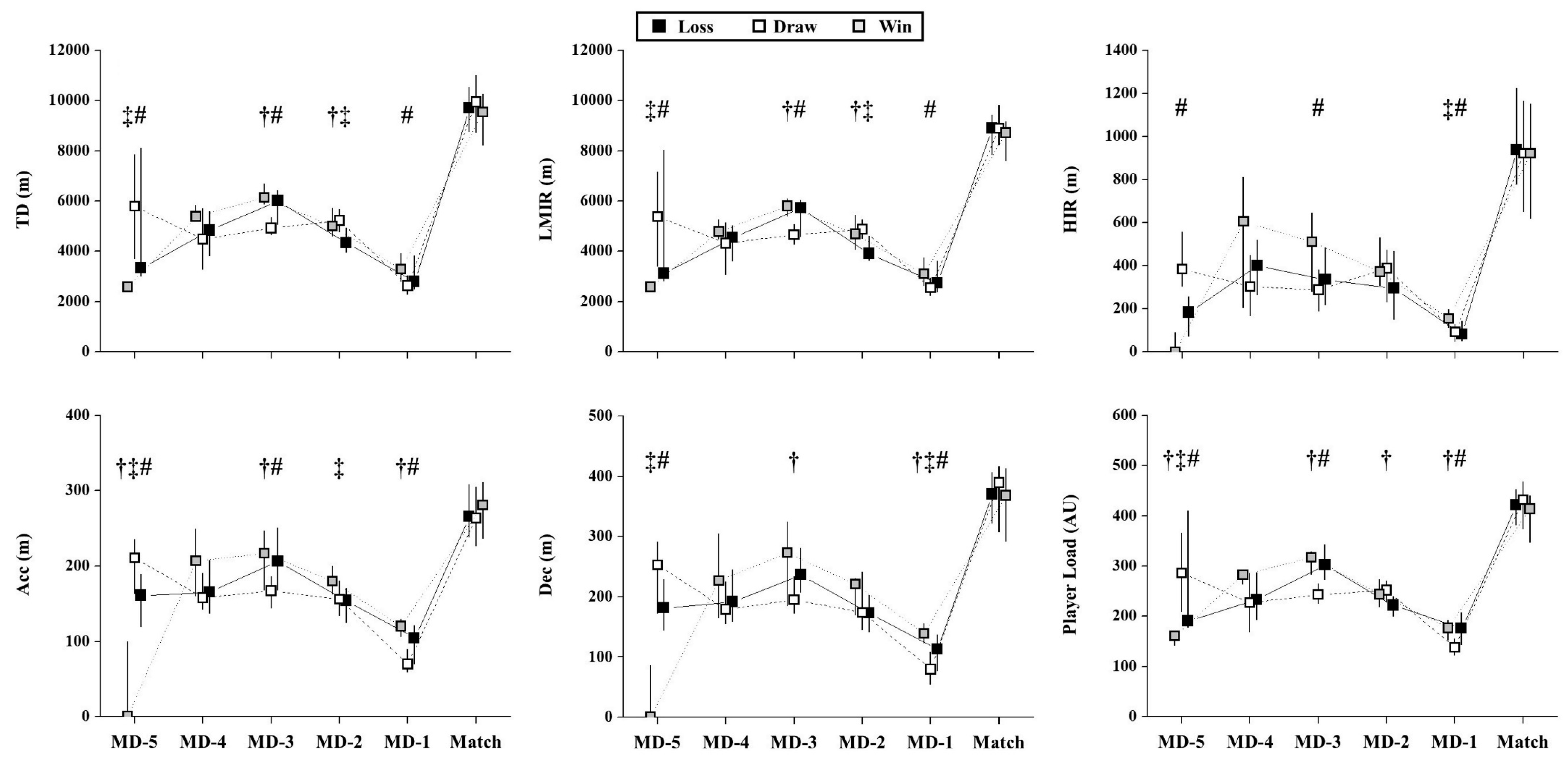
3.3. Match Outcome
4. Discussion
5. Conclusions
Author Contributions
Funding
Acknowledgments
Conflicts of Interest
References
- McLaren, S.J.; MacPherson, T.W.; Coutts, A.J.; Hurst, C.; Spears, I.R.; Weston, M. The Relationships Between Internal and External Measures of Training Load and Intensity in Team Sports: A Meta-Analysis. Sports Med. 2017, 48, 641–658. [Google Scholar] [CrossRef] [PubMed]
- Coutts, A.J.; Crowcroft, S.; Kempton, T. Developing athlete monitoring systems: Theoretical basis and practical applications. In Sport, Recovery and Performance; Routledge: Abingdon, UK, 2017; pp. 33–46. [Google Scholar]
- Impellizzeri, F.M.; Marcora, S.M.; Coutts, A.J. Internal and External Training Load: 15 Years On. Int. J. Sports Physiol. Perform. 2019, 14, 270–273. [Google Scholar] [CrossRef] [PubMed]
- Carling, C. Interpreting Physical Performance in Professional Soccer Match-Play: Should We be More Pragmatic in Our Approach? Sports Med. 2013, 43, 655–663. [Google Scholar] [CrossRef] [PubMed]
- Jaspers, A.; Brink, M.S.; Probst, S.G.M.; Frencken, W.G.P.; Helsen, W.F. Relationships Between Training Load Indicators and Training Outcomes in Professional Soccer. Sports Med. 2016, 47, 533–544. [Google Scholar] [CrossRef]
- Rico-González, M.; Mendez-Villanueva, A.; Los Arcos, A. Training load periodization in soccer with one official match a week: A systematic review. In An Essential Guide to Sports Performance; Alvira, D., Raya-González, J., Eds.; Nova Science Publishers: New York, NY, USA, 2020. [Google Scholar]
- Clemente, F.M.; Mendes, B.; Nikolaidis, P.T.; Calvete, F.; Carriço, S.; Owen, A.L. Internal training load and its longitudinal relationship with seasonal player wellness in elite professional soccer. Physiol. Behav. 2017, 179, 262–267. [Google Scholar] [CrossRef]
- Los Arcos, A.; Mendez-Villanueva, A.; Martinez-Santos, R. In-season training periodization of professional soccer players. Boil. Sport 2017, 34, 149–155. [Google Scholar] [CrossRef]
- Rabbani, A.; Baseri, M.K.; Reisi, J.; Clemente, F.M.; Kargarfard, M. Monitoring collegiate soccer players during a congested match schedule: Heart rate variability versus subjective wellness measures. Physiol. Behav. 2018, 194, 527–531. [Google Scholar] [CrossRef]
- Clemente, F.M.; Sarmento, H. The effects of small-sided soccer games on technical actions and skills: A systematic review. Hum. Mov. 2020, 21, 100–119. [Google Scholar] [CrossRef]
- Clemente, F.M.; Afonso, J.; Castillo, D.; Arcos, A.L.; Silva, A.F.; Sarmento, H. The effects of small-sided soccer games on tactical behavior and collective dynamics: A systematic review. Chaos Solitons Fractals 2020, 134, 109710. [Google Scholar] [CrossRef]
- Cushion, C.J.; Ford, P.R.; Williams, A.M. Coach behaviours and practice structures in youth soccer: Implications for talent development. J. Sports Sci. 2012, 30, 1631–1641. [Google Scholar] [CrossRef]
- Rampinini, E.; Impellizzeri, F.M.; Castagna, C.; Abt, G.; Chamari, K.; Sassi, A.; Marcora, S. Factors influencing physiological responses to small-sided soccer games. J. Sports Sci. 2007, 25, 659–666. [Google Scholar] [CrossRef] [PubMed]
- Lago-Peñas, C. The Role of Situational Variables in Analysing Physical Performance in Soccer. J. Hum. Kinet. 2012, 35, 89–95. [Google Scholar] [CrossRef] [PubMed]
- Bradley, P.S.; Noakes, T.D. Match running performance fluctuations in elite soccer: Indicative of fatigue, pacing or situational influences? J. Sports Sci. 2013, 31, 1627–1638. [Google Scholar] [CrossRef]
- Aquino, R.; Martins, G.H.M.; Vieira, L.H.P.; Menezes, R.P. Influence of Match Location, Quality of Opponents, and Match Status on Movement Patterns in Brazilian Professional Football Players. J. Strength Cond. Res. 2017, 31, 2155–2161. [Google Scholar] [CrossRef] [PubMed]
- Castellano, J.; Blanco-Villaseñor, A.; Alvarez, D. Contextual Variables and Time-Motion Analysis in Soccer. Int. J. Sports Med. 2011, 32, 415–421. [Google Scholar] [CrossRef] [PubMed]
- Aquino, R.; Carling, C.; Vieira, L.H.P.; Martins, G.; Jabor, G.; Machado, J.; Santiago, P.R.P.; Garganta, J.; Puggina, E. Influence of Situational Variables, Team Formation, and Playing Position on Match Running Performance and Social Network Analysis in Brazilian Professional Soccer Players. J. Strength Cond. Res. 2020, 34, 808–817. [Google Scholar] [CrossRef]
- Brito, J.; Hertzog, M.; Nassis, G.P. Do Match-Related Contextual Variables Influence Training Load in Highly Trained Soccer Players? J. Strength Cond. Res. 2016, 30, 393–399. [Google Scholar] [CrossRef]
- Rago, V.; Rebelo, A.; Krustrup, P.; Mohr, M. Contextual Variables and Training Load Throughout a Competitive Period in a Top-Level Male Soccer Team. J. Strength Cond. Res. 2019. [Google Scholar] [CrossRef]
- Curtis, R.M.; Huggins, R.A.; Benjamin, C.L.; Sekiguchi, Y.; Addams, W.M.; Arent, S.M.; Jain, R.; Miller, S.J.; Walker, A.J.; Casa, D.J. Contextual Factors Influencing External and Internal Training Loads in Collegiate Men’s Soccer. J. Strength Cond. Res. 2020, 34, 374–381. [Google Scholar] [CrossRef]
- Oliveira, R.; De Brito, J.P.R.G.M.; Martins, A.; Mendes, B.; Marinho, D.A.; Ferraz, R.; Marques, M.C. In-season internal and external training load quantification of an elite European soccer team. PLOS ONE 2019, 14, e0209393. [Google Scholar] [CrossRef] [PubMed]
- Martín-García, A.; Diaz, A.G.; Bradley, P.S.; Morera, F.; Casamichana, D. Quantification of a professional football team’s external load using J. Strength Cond. Res. 2018, 32, 3511–3518. [Google Scholar] [CrossRef] [PubMed]
- Lago-Peñas, C.; Rey, E.; Lago-Ballesteros, J.; Casais, L.; Domínguez, E. The Influence of a Congested Calendar on Physical Performance in Elite Soccer. J. Strength Cond. Res. 2011, 25, 2111–2117. [Google Scholar] [CrossRef] [PubMed]
- Dupont, G.; Nedelec, M.; McCall, A.; McCormack, D.; Berthoin, S.; Wisløff, U. Effect of 2 Soccer Matches in a Week on Physical Performance and Injury Rate. Am. J. Sports Med. 2010, 38, 1752–1758. [Google Scholar] [CrossRef] [PubMed]
- Foster, C.; Florhaug, J.A.; Franklin, J.; Gottschall, L. A new approach to monitoring exercise training. J. Strength Cond. Res. 2001, 15, 109–115. [Google Scholar]
- Impellizzeri, F.M.; Rampinini, E.; Coutts, A.J.; Sassi, A.; Marcora, S. Use of RPE-Based Training Load in Soccer. Med. Sci. Sports Exerc. 2004, 36, 1042–1047. [Google Scholar] [CrossRef]
- Jennings, D.; Cormack, S.J.; Coutts, A.J.; Boyd, L.J.; Aughey, R.J. Variability of GPS Units for Measuring Distance in Team Sport Movements. Int. J. Sports Physiol. Perform. 2010, 5, 565–569. [Google Scholar] [CrossRef]
- Boyd, L.J.; Ball, K.; Aughey, R.J. The Reliability of MinimaxX Accelerometers for Measuring Physical Activity in Australian Football. Int. J. Sports Physiol. Perform. 2011, 6, 311–321. [Google Scholar] [CrossRef]
- Castagna, C.; Varley, M.C.; Póvoas, S.C.; D’Ottavio, S.; Araújo, S.C.P. Evaluation of the Match External Load in Soccer: Methods Comparison. Int. J. Sports Physiol. Perform. 2017, 12, 490–495. [Google Scholar] [CrossRef]
- Halouani, J.; Ghattasi, K.; Bouzid, M.A.; Rosemann, T.; Nikolaidis, P.T.; Chtourou, H.; Knechtle, B. Physical and Physiological Responses during the Stop-Ball Rule During Small-Sided Games in Soccer Players. Sports 2019, 7, 117. [Google Scholar] [CrossRef] [PubMed]
- Fritz, C.O.; E Morris, P.; Richler, J. Effect size estimates: Current use, calculations, and interpretation. J. Exp. Psychol. Gen. 2012, 141, 2–18. [Google Scholar] [CrossRef]
- Bradley, P.S.; Carling, C.; Diaz, A.G.; Hood, P.; Barnes, C.; Ade, J.; Boddy, M.; Krustrup, P.; Mohr, M. Match performance and physical capacity of players in the top three competitive standards of English professional soccer. Hum. Mov. Sci. 2013, 32, 808–821. [Google Scholar] [CrossRef] [PubMed]
- Krustrup, P.; Mohr, M.; Amstrup, T.; Rysgaard, T.; Johansen, J.; Steensberg, A.; Pedersen, P.K.; Bangsbo, J. The Yo-Yo Intermittent Recovery Test: Physiological Response, Reliability, and Validity. Med. Sci. Sports Exerc. 2003, 35, 697–705. [Google Scholar] [CrossRef]
- Rampinini, E.; Impellizzeri, F.M.; Castagna, C.; Coutts, A.J.; Wisløff, U. Technical performance during soccer matches of the Italian Serie A league: Effect of fatigue and competitive level. J. Sci. Med. Sport 2009, 12, 227–233. [Google Scholar] [CrossRef] [PubMed]
- Aquino, R.; Vieira, L.H.P.; Carling, C.; Martins, G.H.M.; Alves, I.S.; Puggina, E. Effects of competitive standard, team formation and playing position on match running performance of Brazilian professional soccer players. Int. J. Perform. Anal. Sport 2017, 17, 695–705. [Google Scholar] [CrossRef]
- Aquino, R.; Machado, J.C.; Clemente, F.M.; Praça, G.M.; Gonçalves, L.G.C.; Melli-Neto, B.; Ferrari, J.V.S.; Vieira, L.H.P.; Puggina, E.; Carling, C. Comparisons of ball possession, match running performance, player prominence and team network properties according to match outcome and playing formation during the 2018 FIFA World Cup. Int. J. Perform. Anal. Sport 2019, 19, 1026–1037. [Google Scholar] [CrossRef]
- Mohr, M.; Nybo, L.; Grantham, J.; Racinais, S. Physiological Responses and Physical Performance during Football in the Heat. PLOS ONE 2012, 7, e0039202. [Google Scholar] [CrossRef]
- Kelly, V.G.; Coutts, A.J. Planning and monitoring training loads during the competition phase in team sports. Strength Cond. J. 2007, 29, 32. [Google Scholar] [CrossRef]
- Thorpe, R.T.; Strudwick, A.J.; Buchheit, M.; Atkinson, G.; Drust, B.; Gregson, W. The Influence of Changes in Acute Training Load on Daily Sensitivity of Morning-Measured Fatigue Variables in Elite Soccer Players. Int. J. Sports Physiol. Perform. 2017, 12, 107–113. [Google Scholar] [CrossRef] [PubMed]
- Coutts, A.; Chamari, K.; Impellizzeri, F.M.; Rampinini, E. Contrôle et suivi de l’entraînement: Périodisation et charges d’entraînement. In De L’entraînement à la Performance en Football; Groupe De Boeck: Bruxelles, Belgium, 2008; pp. 234–264. [Google Scholar]




© 2020 by the authors. Licensee MDPI, Basel, Switzerland. This article is an open access article distributed under the terms and conditions of the Creative Commons Attribution (CC BY) license (http://creativecommons.org/licenses/by/4.0/).
Share and Cite
Gonçalves, L.G.C.; Kalva-Filho, C.A.; Nakamura, F.Y.; Rago, V.; Afonso, J.; Bedo, B.L.d.S.; Aquino, R. Effects of Match-Related Contextual Factors on Weekly Load Responses in Professional Brazilian Soccer Players. Int. J. Environ. Res. Public Health 2020, 17, 5163. https://doi.org/10.3390/ijerph17145163
Gonçalves LGC, Kalva-Filho CA, Nakamura FY, Rago V, Afonso J, Bedo BLdS, Aquino R. Effects of Match-Related Contextual Factors on Weekly Load Responses in Professional Brazilian Soccer Players. International Journal of Environmental Research and Public Health. 2020; 17(14):5163. https://doi.org/10.3390/ijerph17145163
Chicago/Turabian StyleGonçalves, Luiz Guilherme Cruz, Carlos Augusto Kalva-Filho, Fábio Yuzo Nakamura, Vincenzo Rago, José Afonso, Bruno Luiz de Souza Bedo, and Rodrigo Aquino. 2020. "Effects of Match-Related Contextual Factors on Weekly Load Responses in Professional Brazilian Soccer Players" International Journal of Environmental Research and Public Health 17, no. 14: 5163. https://doi.org/10.3390/ijerph17145163
APA StyleGonçalves, L. G. C., Kalva-Filho, C. A., Nakamura, F. Y., Rago, V., Afonso, J., Bedo, B. L. d. S., & Aquino, R. (2020). Effects of Match-Related Contextual Factors on Weekly Load Responses in Professional Brazilian Soccer Players. International Journal of Environmental Research and Public Health, 17(14), 5163. https://doi.org/10.3390/ijerph17145163
 
        




