Relief Role of Lysine Chelated Zinc (Zn) on 6-Week-Old Maize Plants under Tannery Wastewater Irrigation Stress
Abstract
1. Introduction
2. Materials and Methods
2.1. Experimental Site
2.2. Pot Experiment
2.3. Treatments
2.4. Analysis
2.4.1. Leaf Area
2.4.2. Chlorophyll Contents Determination
2.4.3. Free Amino Acids Determination
2.4.4. Analysis of Antioxidant Enzymes
2.4.5. Determination of Soluble Protein
2.4.6. Contents of Hydrogen Peroxide
2.4.7. Chromium and Zn Concentration Evaluation
2.4.8. Statistical Analysis
3. Results
3.1. Effects on Plant Growth and Yield
3.2. Effects on Photosynthetic Pigments
3.3. Effects on H2O2 and MDA Production
3.4. Effects on Free Amino Acids, Soluble Protein, Soluble Sugar and Free Proline
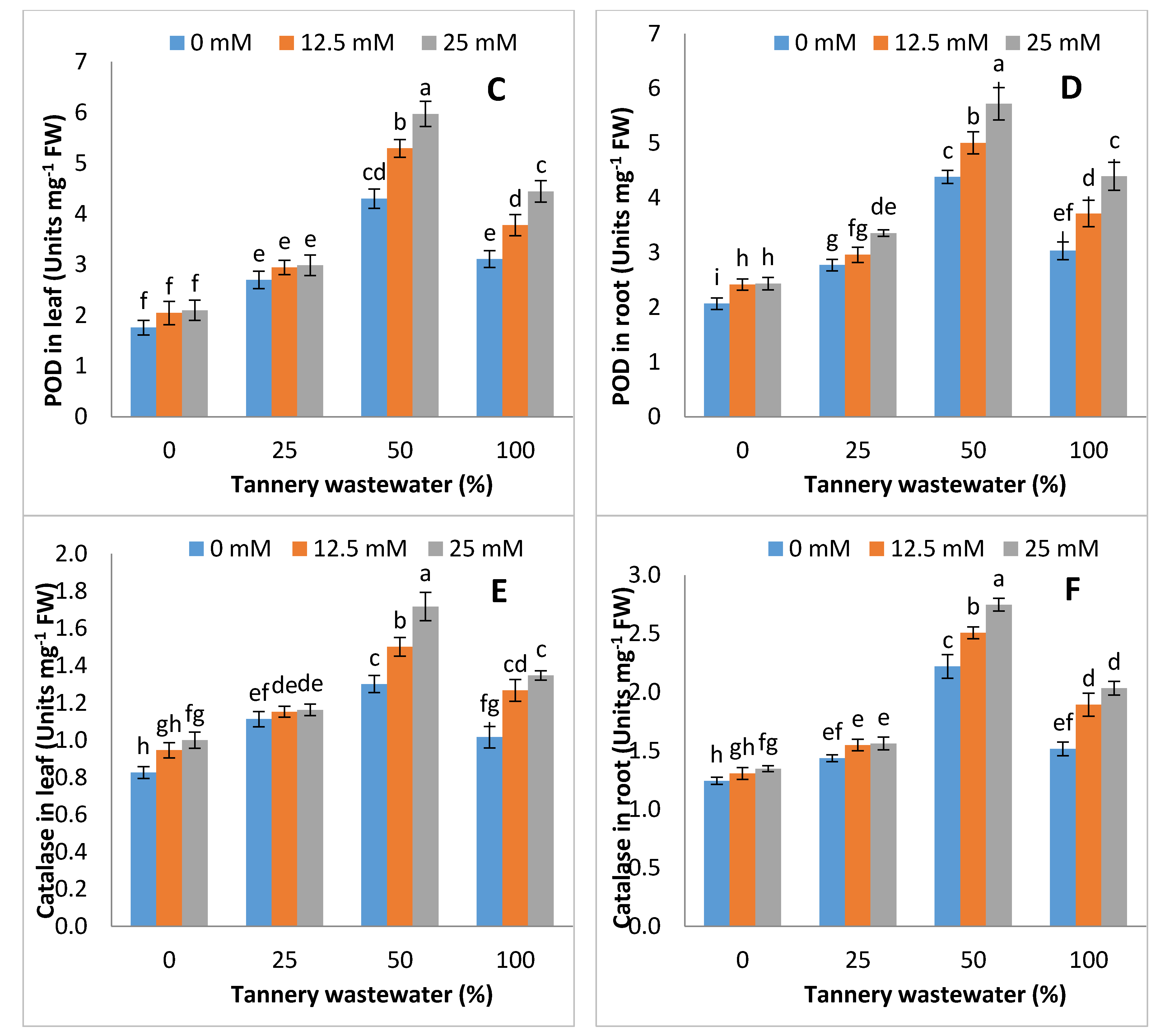
3.5. Effects on Antioxidant Enzymes Activities
3.6. Effects on Zn and Cr Uptake
4. Discussion
5. Conclusions
Author Contributions
Funding
Acknowledgments
Conflicts of Interest
References
- Sethi, H.N. The Environment of Pakistan, Pakistan Studies; Peak Publishing: Karachi, Pakistan, 2002; p. 69. [Google Scholar]
- Alam, S.M.; Naqvi, M.H. Pakistan Agriculture-2003; Pakistan & Gulf Economist: Karachi, Pakistan, 2003. [Google Scholar]
- Nuss, E.T.; Tanumihardjo, S.A. Maize: A paramount staple crop in the context of global nutrition. Compr. Rev. Food Sci. Food Saf. 2010, 9, 417–436. [Google Scholar] [CrossRef]
- Anonymous. Leather Directory; Leather industry development, Ministry of Industry, Govt. of Pakistan: Islamabad, Pakistan, 2010.
- Sahu, R.K.; Katiyar, S.; Tiwari, J.; Kisku, G.C. Assessment of drain water receiving effluent from tanneries and its impact on soil and plants with particular emphasis on bioaccumulation of heavy metals. J. Environ. Biol. 2007, 28, 685–690. [Google Scholar]
- Cooman, K.; Gajardo, M.; Nieto, J.; Bornhardt, C.; Vidal, G. Tannery wastewater characterization and toxicity effects on Daphnia spp. Environ. Toxic. 2003, 18, 45–51. [Google Scholar] [CrossRef] [PubMed]
- Ates, E.; Orhon, D.; Tünay, O. Characterization of tannery wastewaters for pretreatment-selected case studies. Water Sci. Technol. 1997, 36, 217–223. [Google Scholar] [CrossRef]
- Zareen, A.; Wahid, A.; Khan, Z.; Sardar, A.A. Effects of tannery wastewater on growth and yield of sunflower (Heianthus annuus. L.). Bangladesh J. Bot. 2013, 42, 279–285. [Google Scholar] [CrossRef]
- Selvi, V.; Sharavanan, P.S.; Begam, M.N.; Krishnaveni, M. Effect of tannery effluent on germination, biochemical changes and mineral contents of groundnut (Arachis hypogaea L.). Int. J. Curr. Sci. 2012, 2012, 198–205. [Google Scholar]
- Ali, S.; Bharwana, S.A.; Rizwan, M.; Farid, M.; Kanwal, S.; Ali, Q.; Ibrahim, M.; Gill, R.A.; Khan, M.D. Fulvic acid mediates chromium (Cr) tolerance in wheat (Triticum aestivum L.) through lowering of Cr uptake and improved antioxidant defense system. Environ. Sci. Pollut. Res. 2015, 22, 10601–10609. [Google Scholar] [CrossRef]
- Qing, X.; Zhao, X.; Hu, C.; Wang, P.; Zhang, Y.; Zhang, X.; Wang, P.; Shi, H.; Jia, F.; Qu, C. Selenium alleviates chromium toxicity by preventing oxidative stress in cabbage (Brassica campestris L. ssp. Pekinensis) leaves. Ecotoxicol. Environ. Saf. 2015, 114, 179–189. [Google Scholar] [CrossRef]
- Hayat, S.; Khalique, G.; Irfan, M.; Wani, A.S.; Tripathi, B.N.; Ahmad, A. Physiological changes induced by chromium stress in plants: An overview. Protoplasma 2012, 249, 599–611. [Google Scholar] [CrossRef]
- Rao, G.; Kumar, N.V. Impact of tannery effluent on seed germinability and chlorophyll contents of Cicer arientinum L. Pollut. Res. 1983, 2, 33–36. [Google Scholar]
- Bharati, A.; Saxena, R.P.; Panday, G.N. Physiological imbalances due to hexavalent chromium in fresh water algae. Indian J. Environ. Health 1979, 21, 234–243. [Google Scholar]
- Calheiros, C.S.C.; Rangel, A.O.S.S.; Castro, P.M.L. The Effects of Tannery Wastewater on the Development of Different Plant Species and Chromium Accumulation in Phragmites australis. Arch. Environ. Contam. Toxicol. 2008, 55, 404–414. [Google Scholar] [CrossRef] [PubMed]
- Khasim, I. Studies on Environmental Contamination of Industrial Chromium in Soil and Water and its Transfer to Commercial Crops, Fishes and Agricultural Products with Special Reference to Hydrogen Ion Concenteration. Ph.D. Thesis, Sri Venkateswara University, Tirupati, India, 1988. [Google Scholar]
- Vazquez, M.D.; Poschenriender, C.H.; Barcelo, J. Chromium (VI) induced structural and ultrastructural changes in bush bean plants (Phaseolus Vulgaris L.). Ann. Bot. 1987, 59, 427–438. [Google Scholar] [CrossRef]
- McCall, W.W. Foliar Application of Fertilizers. Hawaii Cooperative Extension Service, College of Tropical Agriculture and Human Resources; General Home Garden Series No. 24; University of Hawaii: Honolulu, HI, USA, 1980. [Google Scholar]
- Nagajyoti, P.C.; Lee, K.D.; Sreekanth, T.V.M. Heavy metals, occurrence and toxicity for plants: A review. Environ. Chem. Lett. 2010, 8, 199–216. [Google Scholar] [CrossRef]
- Cherif, J.; Mediouni, C.; Ammar, W.B.; Jemal, F. Interactions of zinc and cadmium toxicity in their effects on growth and in antioxidative systems in tomato plants (Solarium lycopersicum). J. Environ. Sci. 2011, 23, 837–844. [Google Scholar] [CrossRef]
- Coleman, J.E. Zinc enzymes. Curr. Opin. Chem. Biol. 1998, 2, 222–234. [Google Scholar] [CrossRef]
- Berg, J.M.; Shi, Y. The galvanization of biology: A growing appreciation for the roles of zinc. Science 1996, 271, 1081–1085. [Google Scholar] [CrossRef]
- Mohammadi, P.; Khoshgoftarmanesh, A.H. The effectiveness of synthetic zinc (Zn)-amino chelates in supplying Zn and alleviating salt-induced damages on hydroponically grown lettuce. Sci. Hortic. 2014, 172, 117–123. [Google Scholar] [CrossRef]
- Swietlik, D. Zinc nutrition in horticultural crops. Hortic. Rev. 1999, 23, 109–180. [Google Scholar]
- Kaya, M.; Atak, M.; Khawar, K.M.; Çiftçi, C.Y.; Özcan, S. Effect of Pre-Sowing Seed Treatment with Zinc and Foliar Spray of Humic Acids on Yield of Common Bean (Phaseolus vulgaris L.). Int. J. Agric. Biol. 2005, 7, 875–878. [Google Scholar]
- El-Tohamy, W.A.; El-Greadly, N.H.M. Physiological responses, growth, yield and quality of snap beans in response to foliar application of yeast, vitamin E and zinc under sandy soil conditions. Aust. J. Basic Appl. Sci. 2007, 1, 294–299. [Google Scholar]
- Gobarah, M.E.; Mohamed, M.H.; Tawfik, M.M. Effect of Phosphorus Fertilizer and Foliar Spraying with Zinc on Growth, Yield and Quality of Groundnut under Reclaimed Sandy Soils. J. Appl. Sci. Res. 2006, 2, 491–496. [Google Scholar]
- Ghasemi, S.; Khoshgoftarmanesh, A.H.; Hadadzadeh, H.; Afyuni, M. Synthesis, characterization, and theoretical and experimental investigations of zinc (II)–amino acid complexes as ecofriendly plant growth promoters and highly bioavailable sources of zinc. J. Plant growth Regul. 2013, 32, 315–323. [Google Scholar] [CrossRef]
- Galili, G.; Amir, R.; Hoefgen, R.; Hesse, H. Improving the levels of essential amino acids and sulfur metabolites in plants. Biol. Chem. 2005, 386, 817–831. [Google Scholar] [CrossRef]
- Huang, S.; Kruger, D.E.; Frizzi, A.; D’Ordine, R.L.; Florida, C.A.; Adams, W.R.; Luethy, M.H. High-lysine corn produced by the combination of enhanced lysine biosynthesis and reduced zein accumulation. Plant Biotechnol. J. 2005, 3, 555–569. [Google Scholar] [CrossRef]
- Rafie, M.R.; Khoshgoftarmanesh, A.H.; Shariatmadari, H.; Darabi, A.; Dalir, N. Influence of foliar-applied zinc in the form of mineral and complexed with amino acids on yield and nutritional quality of onion under field conditions. Sci. Horti. 2017, 216, 160–168. [Google Scholar] [CrossRef]
- Bashir, A.; Rizwan, M.; Ali, S.; ur Rehman, M.Z.; Ishaque, W.; Riaz, M.A.; Maqbool, A. Effect of foliar-applied iron complexed with lysine on growth and cadmium (Cd) uptake in rice under Cd stress. Environ. Sci. Pollut. Res. 2018, 25, 20691–20699. [Google Scholar] [CrossRef]
- Leu, M. Metal Lysine Complexes and Method for Producing Metal Lysine Complexes. Zinpro Corporation. U.S. Patent 5,061,815, 29 October 1991. [Google Scholar]
- Metzner, H.; Rau, H.; Senger, H. Untersuchungen zur synchronisierbarkeit einzelner pigmentmangel-mutanten von Chlorella. Planta 1965, 65, 186–194. [Google Scholar] [CrossRef]
- Hamilton, P.B.; Van-Slyke, D.D.; Lemish, S. The gasometric determination of free amino acids in blood filtrates by the ninhydrin-carbon dioxide method. J. Biol. Chem. 1943, 150, 231–250. [Google Scholar]
- Zhang, X.Z. The measurement and mechanism of lipid peroxidation and SOD, POD and CAT activities in biological system. In Research Methodology of Crop Physiology; Agriculture Press: Beijing, China, 1992; pp. 208–211. [Google Scholar]
- Aebi, H. Catalase in vitro. Method Enzymol. 1984, 105, 121–126. [Google Scholar]
- Nakano, Y.; Asada, K. Hydrogen peroxide is scavenged by ascorbate-specific peroxidase in spinach chloroplasts. Plant Cell Physiol. 1981, 22, 867–880. [Google Scholar]
- Bradford, M.M. A rapid and sensitive method for the quantification of microgram quantities of protein utilizing the principle of protein-dye binding. Anal. Biochem. 1976, 72, 248–254. [Google Scholar] [CrossRef]
- Ashraf, U.; Tang, X. Yield and quality responses, plant metabolism and metal distribution pattern in aromatic rice under lead (Pb) toxicity. Chemosphere 2017, 176, 141–155. [Google Scholar] [CrossRef] [PubMed]
- Ashraf, U.; Kanu, A.S.; Deng, Q.; Mo, Z.; Pan, S.; Tian, H.; Tang, X. Lead (Pb) Toxicity; Physio-Biochemical Mechanisms, Grain Yield, Quality, and Pb Distribution Proportions in Scented Rice. Front. Plant Sci. 2017, 8, 1–17. [Google Scholar] [CrossRef] [PubMed]
- Zaheer, I.E.; Ali, S.; Rizwan, M.; Abbas, Z.; Bukhari, S.A.; Wijaya, L.; Alyemeni, M.N.; Ahmad, P. Zinc-lysine prevents chromium-induced morphological, photosynthetic, and oxidative alterations in spinach irrigated with tannery wastewater. Environ. Sci. Pollut. Res. 2019, 26, 28951–28961. [Google Scholar] [CrossRef] [PubMed]
- Hussain, A.; Ali, S.; Rizwan, M.; ur Rehman, M.Z.; Hameed, A.; Hafeez, F.; Wijaya, L. Role of zinc–lysine on growth and chromium uptake in rice plants under Cr stress. J. Plant Growth Regul. 2018, 37, 1413–1422. [Google Scholar] [CrossRef]
- Luz-Pedro, A.; Martinez Prior, E.F.; Lopez-Araiza, M.H.; Jaime-Ferrer, S.; Estrada-Monje, A.; Banuelos, J.A. Pollutant removal from wastewater at different stages of the tanning process by electrocoagulation. J. Chem. 2019, 2019, 1–9. [Google Scholar] [CrossRef]
- Singh, A.K.; Malaviya, P. Chromium phytoaccumulation and its impact on growth and photosynthetic pigments of Spirodela polyrrhiza (L.) Schleid. on exposure to tannery effluent. Environ. Sustain. 2019, 2, 157–166. [Google Scholar] [CrossRef]
- Sharma, S.S.; Dietz, K.J. The significance of amino acids and amino acid-derived molecules in plant responses and adaptation to heavy metal stress. J. Exp. Bot. 2006, 57, 711–726. [Google Scholar] [CrossRef]
- Rizwan, M.; Ali, S.; Hussain, A.; Ali, Q.; Shakoor, M.B.; Zia-ur-Rehman, M.; Farid, M.; Asma, M. Effect of zinc-lysine on growth, yield and cadmium uptake in wheat (Triticum aestivum L.) and health risk assessment. Chemosphere 2017, 187, 35–42. [Google Scholar] [CrossRef]
- Burzyński, M. Influence of lead on the chlorophyll content and on initial steps of its synthesis in greening cucumber seedlings. Acta Soc. Bot. Pol. Tow. Bot. 1985, 54, 95–105. [Google Scholar] [CrossRef]
- Ashraf, U.; Kanu, A.S.; Mo, Z.; Hussain, S.; Anjum, S.A.; Khan, I.; Abbas, R.N.; Tan, X. Lead toxicity in rice: Effects, mechanisms, and mitigation strategies-A mini review. Environ. Sci. Pollut. Res. 2015, 22, 18318–18332. [Google Scholar] [CrossRef]
- Ali, S.; Farooq, M.A.; Jahangir, M.M.; Abbas, F.; Bharwana, S.A.; Zhang, G.P. Effect of chromium and nitrogen form on photosynthesis and anti-oxidative system in barley. Biol. Plant. 2013, 57, 758–763. [Google Scholar] [CrossRef]
- Anjum, S.A.; Ashraf, U.; Khan, I.; Saleem, M.F.; Wang, L.C. Chromium toxicity induced alterations in growth, photosynthesis, gas exchange attributes and yield formation in maize. Pak. J. Agric. Sci. 2016, 53, 751–757. [Google Scholar]
- Wang, H.; Liu, R.L.; Jin, J.Y. Effects of zinc and soil moisture on photosynthetic rate and chlorophyll fluorescence parameters of maize. Biol. Plant. 2009, 53, 191–194. [Google Scholar] [CrossRef]
- Zaman, Q.U.; Aslam, Z.; Yaseen, M.; Ihsan, M.Z.; Khaliq, A.; Fahad, S.; Bashir, S.; Ramzani, P.M.; Naeem, M. Zinc biofortifiation in rice: Leveraging agriculture to moderate hidden hunger in developing countries. Arch. Agron. Soil. Sci. 2017, 64, 147–161. [Google Scholar] [CrossRef]
- Nath, K.; Singh, D.; Verma, A.; Sharma, Y. Amelioration of tannery effluent toxicity in radish (Raphanus sativus) based on nutrient application. Res. Environ. Life Sci. 2009, 2, 41–48. [Google Scholar]
- Adrees, M.; Ali, S.; Rizwan, M.; Ibrahim, M.; Abbas, F.; Farid, M.; Zia-ur-Rehman, M.; Irshad, M.K.; Bharwana, S.A. The effect of excess copper on growth and physiology of important food crops: A review. Environ. Sci. Pollut. Res. 2015, 22, 8148–8162. [Google Scholar] [CrossRef]
- Adrees, M.; Ali, S.; Rizwan, M.; Zia-ur-Rehman, M.; Ibrahim, M.; Abbas, F.; Farid, M.; Qayyum, M.F.; Irshad, M.K. Mechanisms of silicon-mediated alleviation of heavy metal toxicity in plants: A review. Ecotoxic. Environ. Safe. 2015, 119, 186–197. [Google Scholar] [CrossRef]
- Dey, S.K.; Jena, P.P.; Kundu, S. Antioxidative efficiency of Triticum aestivum L. exposed to chromium stress. J. Environ. Biol. 2009, 30, 539–544. [Google Scholar]
- Alscher, R.G.; Erturk, N.; Heath, L.S. Role of superoxide dismutases (SODs) in controlling oxidative stress in plants. J. Exp. Bot. 2002, 53, 1331–1341. [Google Scholar] [CrossRef]
- Sida-Arreola, J.P.; Sánchez, E.; Preciado-Rangel, P.; Márquez-Quiroz, C. Does zinc biofortification affects the antioxidant activity in common bean? Cogent Food Agric. 2017, 3, 1283725. [Google Scholar] [CrossRef]
- Sharma, P.; Kumar, A.; Bhardwaj, R. Plant steroidal hormone epibrassinolide regulate–Heavy metal stress tolerance in Oryza sativa L. by modulating antioxidant defense expression. Environ. Exp. Bot. 2016, 122, 1–9. [Google Scholar] [CrossRef]













| Physicochemical Properties | |
|---|---|
| Texture | Clay loam |
| pH (1/2.5 soil to water ratio) | 6.7 |
| Sand (%) | 27 |
| Silt (%) | 20 |
| Clay (%) | 53 |
| ECe (Electric conductivity) (dS·m−1) | 2.9 |
| SAR (Sodium adsorption ratio) (mmol−1)1/2 | 6.5 |
| Organic matter (%) | 0.31 |
| Cl− (mmol·L−1) | 2.34 |
| Available Cu2+ (mg·kg−1) | 0.35 |
| Available Zn2+ (mg·kg−1) | 0.85 |
| Na2+ (mmol·L−1) | 3.7 |
| HCO3 (mmol·L−1) | 3.55 |
| Available P (mg·kg−1) | 2.17 |
| K+ (mmol·L−1) | 0.06 |
| SO42− (mmol·L−1) | 6.67 |
| Ca2+ + Mg2+ (mmol·L−1) | 3.5 |
| Parameters | Unit | Value |
|---|---|---|
| EC | (dS·m−1) | 0.93 |
| SAR | (mmol·L−1)1/2 | 3.42 |
| RSC (Residual sodium carbonate) | (mmolc·L−1) | 235 |
| Cd | (mg·L−1) | 0.02 |
| Co | (mg·L−1) | 0.04 |
| Ni | (mg·L−1) | 0.11 |
| Cr | (mg·L−1) | 2.86 |
| Zn | (mg·L−1) | 2.09 |
| Bicarbonate | (mEq·L−1) | 0.6 |
| Oil and grease | (mg·L−1) | 12 |
| COD | (mg·L−1) | 2916 |
| TOC | (mg·L−1) | 990 |
| K | (mg·L−1) | 43 |
| Ca + Mg | (mEq·L−1) | 3.3 |
© 2020 by the authors. Licensee MDPI, Basel, Switzerland. This article is an open access article distributed under the terms and conditions of the Creative Commons Attribution (CC BY) license (http://creativecommons.org/licenses/by/4.0/).
Share and Cite
Ahmad, R.; Ishaque, W.; Khan, M.; Ashraf, U.; Riaz, M.A.; Ghulam, S.; Ahmad, A.; Rizwan, M.; Ali, S.; Alkahtani, S.; et al. Relief Role of Lysine Chelated Zinc (Zn) on 6-Week-Old Maize Plants under Tannery Wastewater Irrigation Stress. Int. J. Environ. Res. Public Health 2020, 17, 5161. https://doi.org/10.3390/ijerph17145161
Ahmad R, Ishaque W, Khan M, Ashraf U, Riaz MA, Ghulam S, Ahmad A, Rizwan M, Ali S, Alkahtani S, et al. Relief Role of Lysine Chelated Zinc (Zn) on 6-Week-Old Maize Plants under Tannery Wastewater Irrigation Stress. International Journal of Environmental Research and Public Health. 2020; 17(14):5161. https://doi.org/10.3390/ijerph17145161
Chicago/Turabian StyleAhmad, Rehan, Wajid Ishaque, Mumtaz Khan, Umair Ashraf, Muhammad Atif Riaz, Said Ghulam, Awais Ahmad, Muhammad Rizwan, Shafaqat Ali, Saad Alkahtani, and et al. 2020. "Relief Role of Lysine Chelated Zinc (Zn) on 6-Week-Old Maize Plants under Tannery Wastewater Irrigation Stress" International Journal of Environmental Research and Public Health 17, no. 14: 5161. https://doi.org/10.3390/ijerph17145161
APA StyleAhmad, R., Ishaque, W., Khan, M., Ashraf, U., Riaz, M. A., Ghulam, S., Ahmad, A., Rizwan, M., Ali, S., Alkahtani, S., & Abdel-Daim, M. M. (2020). Relief Role of Lysine Chelated Zinc (Zn) on 6-Week-Old Maize Plants under Tannery Wastewater Irrigation Stress. International Journal of Environmental Research and Public Health, 17(14), 5161. https://doi.org/10.3390/ijerph17145161

