Is BMI a Valid Indicator of Overweight and Obesity for Adolescents?
Abstract
1. Introduction
2. Materials and Methods
2.1. Sample and Procedure
2.2. Measures
2.2.1. Anthropometric Data and Assessment of Body Fat
2.2.2. Self-Reported Data
2.2.3. Overweight and Obesity
2.3. Statistical Analyses
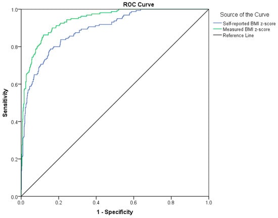
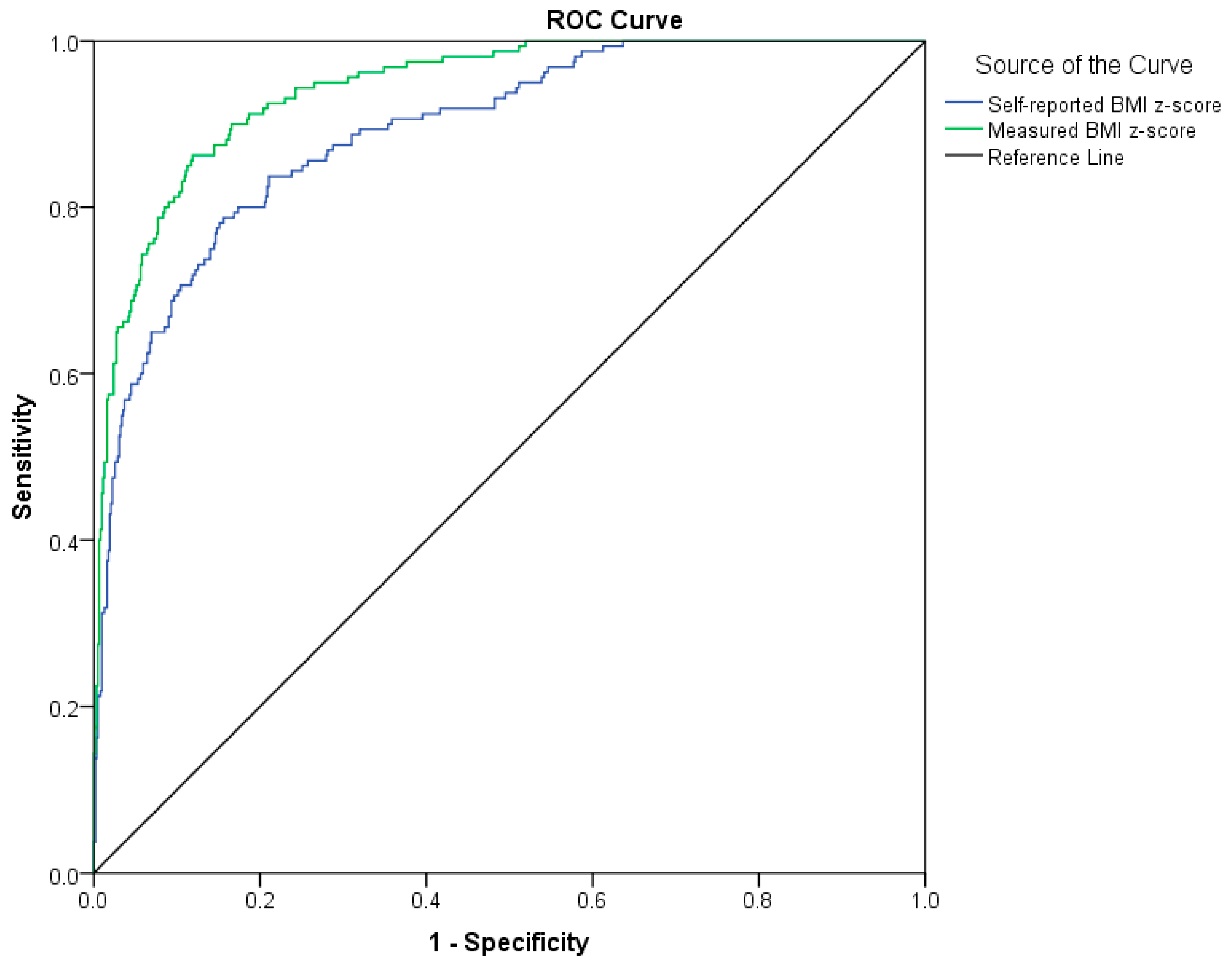
3. Results
4. Discussion
5. Conclusions
Author Contributions
Funding
Conflicts of Interest
References
- Inchley, J.; Currie, D.; Young, T.; Samdal, O.; Torsheim, T.; Augustson, L. (Eds.) Growing up unequal: Gender and socioeconomic differences in young people’s health and well-being. Health Behaviour in School-aged Children (HBSC) study: International report from the 2013/2014 survey. In Health Policy for Children and Adoles; WHO Regional Office for Europe: Copenhagen, Denmark, 2016; No. 7. [Google Scholar]
- World Health Organization. Global Health Estimates 2016: Deaths by Cause, Age, Sex, by Country and by Region, 2000–2016; World Health Organization: Geneva, Switzerland, 2018. [Google Scholar]
- NCD Risk Factor Collaboration. Worldwide trends in body-mass index, underweight, overweight, and obesity from 1975 to 2016: A pooled analysis of 2416 population-based measurement studies in 128.9 million children, adolescents, and adults. Lancet 2017, 390, 2627–2642. [Google Scholar] [CrossRef]
- WHO. Facts and Figures on Childhood Obesity. Commission on Ending Childhood Obesity. 2019, pp. 14–16. Available online: http://www.who.int/end-childhood-obesity/facts/en/ (accessed on 6 June 2020).
- Lobstein, T.; Jackson-Leach, R. Planning for the worst: Estimates of obesity and comorbidities in school-age children in 2025. World Obesity. Pediatric Obes. 2016, 11, 321–325. [Google Scholar] [CrossRef]
- Ng, M.; Fleming, T.; Robinson, M.; Thomson, B.; Graetz, N.; Margono, C.; Mullany, E.C.; Biryukov, S.; Abbafati, C.; Abera, S.F.; et al. Global, regional, and national prevalence of overweight and obesity in children and adults during 1980–2013: A systematic analysis for the Global Burden of Disease Study 2013. Lancet 2014, 384, 766–781. [Google Scholar] [CrossRef]
- Fonseca, H.; Silva, A.M.; Matos, M.G.; Esteves, I.; Costa, P.; Guerra, A.; Gomes, P.J. Validity of BMI based on self-reported weight and height in adolescents. Acta Paediatr. 2010, 99, 83–88. [Google Scholar] [CrossRef] [PubMed]
- Gosse, M. How accurate is self-reported BMI? Nutr. Bull. 2014, 39, 105–114. [Google Scholar] [CrossRef]
- Elgar, F.J.; Stewart, J.M. Validity of self-report screening for overweight and obesity. Evidence from the Canadian Community Health Survey. Can. J. Public Health 2008, 99, 423–427. [Google Scholar] [CrossRef]
- Galfo, M.; Censi, L.; D’Addezio, L.; Martone, D.; Roccaldo, R. Validity of self-reported weight, height and BMI in Italian adolescents for assessing prevalence of overweight/obesity. Clin. Nutr. Metab. 2018, 1. [Google Scholar] [CrossRef]
- Wang, Z.; Patterson, C.; Hills, A. A Comparison of Self-Reported and Measured Height, Weight and BMI in Australian Adolescents. Aust. N. Z. J. Public Health 2002, 26, 473–478. [Google Scholar] [CrossRef]
- He, J.; Cai, Z.; Fan, X. How accurate is the prevalence of overweight and obesity in children and adolescents derived from self-reported data? A meta-analysis. Public Health Nutr. 2018, 21, 1865–1873. [Google Scholar] [CrossRef]
- Markey, C.N. Why body image is important to adolescent development. J. Youth Adolesc 2010, 39, 1387–1391. [Google Scholar] [CrossRef]
- Jones, D.; Vigfusdottir, T.; Lee, Y. Body image and the appearance culture among adolescent boys and girls: An examination of friend conversations, peer criticism, appearance magazines, and the internalization of appearance ideals. J. Adolesc. Res. 2004, 19, 323–339. [Google Scholar] [CrossRef]
- Robinson, E. Overweight but unseen: A review of the underestimation of weight status and a visual normalization theory. Obes. Rev. 2017, 18, 1200–1209. [Google Scholar] [CrossRef] [PubMed]
- Rothman, K. BMI-related errors in the measurement of obesity. Int. J. Obes. 2008, 32, 56–59. [Google Scholar] [CrossRef]
- Williams, D.; Going, S.; Lohman, T. Body fatness and risk for elevated blood pressure, total cholesterol, and serum lipoprotein ratios in children and adolescents. Am. J. Public Health 1992, 82, 358–363. [Google Scholar] [CrossRef]
- Sweeting, H. Measurement and Definitions of Obesity in Childhood and Adolescence: A field guide for the uninitiated. Nutr. J. 2007. [Google Scholar] [CrossRef] [PubMed]
- Radley, D.; Gately, P.J.; Cooke, C.B.; Carroll, S.; Oldroyd, B.; Truscott, J.G. Percentage Fat in Overweight and Obese Children: Comparison of DXA and Air Displacement Plethysmography. Obes. Res. 2005, 13, 75–85. [Google Scholar] [CrossRef] [PubMed]
- Costa-Urrutia, P.; Vizuet-Gámez, A.; Ramirez-Alcántara, M. Obesity measured as percent body fat, relationship with body mass index, and percentile curves for Mexican pediatric population. PLoS ONE 2019, e0212792. [Google Scholar] [CrossRef] [PubMed]
- Cole, T.J.; Bellizzi, M.C.; Flegal, K.M.; Dietz, W.H. Establishing a standard definition for child overweight and obesity worldwide: International survey. Br. Med. J. 2000, 320, 1240–1243. [Google Scholar] [CrossRef]
- Kopecky, M.; Krejcovsky, L.; Svarc, M. Anthropometric Instrumentation and Methodology of Measurement for Anthropometric Parameters; Palacky University in Olomouc: Olomouc, Czech Republic, 2013; ISBN 978-80244-3613-5. [Google Scholar]
- InBody 230 User’s Manual. Available online: https://inbodyusa.zendesk.com/hc/en-us (accessed on 2 May 2020).
- Elgar, F.J.; Pförtner, T.K.; Moor, I.; De Clercq, B.; Stevens, G.W.; Currie, C. Socioeconomic inequalities in adolescent health 2002–2010: A time-series analysis of 34 countries participating in the health behaviour in school-aged children study. Lancet 2015, 385, 2088–2095. [Google Scholar] [CrossRef]
- de Onis, M.; Onyango, A.W.; Borghi, E.; Siyam, A.; Nishida, C.; Siekmann, J. Development of a WHO Growth Reference for School-aged Children and Adolescents. Bull. World Health Organ. 2007, 85, 660–667. [Google Scholar] [CrossRef]
- Youden, W.J. Index for rating diagnostic tests. Cancer 1950, 3, 32–35. [Google Scholar] [CrossRef]
- Rowland, M.L. Self-reported weight and height. Am. J. Clin. Nutr. 1990, 52, 1125–1133. [Google Scholar] [CrossRef] [PubMed]
- Spencer, E.A.; Appleby, P.N.; Davey, G.K.; & Key, T.J. Validity of self-reported height and weight in 4808 EPIC–Oxford participants. Public Health Nutr. 2002, 5, 561–565. [Google Scholar] [CrossRef] [PubMed]
- Wilson, O.W.A.; Bopp, C.M.; Papalia, Z.; & Bopp, M. Objective vs self-report assessment of height, weight and body mass index: Relationships with adiposity, aerobic fitness and physical activity. Clin. Obes. 2019, 9. [Google Scholar] [CrossRef] [PubMed]
- Crocker, M.K.; Stern, E.A.; Sedaka, N.M.; Shomaker, L.B.; Brady, S.M.; Yanovski, J.A. Sexual dimorphisms in the associations of BMI and body fat with indices of pubertal development in girls and boys. J. Clin. Endocrinol. Metab. 2014, 99. [Google Scholar] [CrossRef] [PubMed]
- Mills, T.C.; Gallagher, D.; Wang, J.; Heshka, S. Modelling the relationfship between body fat and the BMI. Int. J. Body Compos. Res. 2007, 5, 73–79. [Google Scholar]
- Javed, A.; Jumean, M.; Murad, M.; Okorodudu, D.; Kumar, S.; Somers, V.K.; Sochor, O.; Lopez-Jimenez, F. Diagnostic performance of body mass index to identify obesity as defined by body adiposity in children and adolescents: A systematic review and meta-analysis. Pediatric Obes. 2015, 10, 234–244. [Google Scholar] [CrossRef]
- Prentice, A.M.; Jebb, S.A. Beyond body mass index. Obes. Rev. 2001. [Google Scholar] [CrossRef]
- Reilly, J.J.; Dorosty, A.R.; & Emmett, P.M. Identification of the obese child: Adequacy of the body mass index for clinical practice and epidemiology. Int. J. Obes. 2000, 24, 1623–1627. [Google Scholar] [CrossRef]
- Romero-Corral, A.; Somers, V.K.; Sierra-Johnson, J.; Thomas, R.J.; Collazo-Clavell, M.L.; Korinek, J.; Lopez-Jimenez, F. Accuracy of body mass index in diagnosing obesity in the adult general population. Int. J. Obes. 2008, 32, 959–966. [Google Scholar] [CrossRef]
- Kaplowitz, P. Link between body fat and the timing of puberty. Pediatrics 2008. [Google Scholar] [CrossRef] [PubMed]
- Reinehr, T.; Roth, C. Is there a causal relationship between obesity and puberty? Lancet. Child. Adolesc. Health 2019. [Google Scholar] [CrossRef]
- Pinto, I.S.; Arruda, I.K.; Diniz, A.S.; Cavalcanti, A.M. Prevalence of overweight and abdominal obesity according to anthropometric parameters and the association with sexual maturation in adolescent schoolchildren. Cad Saude Publica 2010, 26, 1727–1737. [Google Scholar] [CrossRef] [PubMed][Green Version]
- Deurenberg, P.; Andreoli, A.; Borg, P.; Kukkonen-Harjula, K.; de Lorenzo, A.; van Marken Lichtenbelt, W.D.; Testolin, G.; Vigano, R.; Vollaard, N. The validity of predicted body fat percentage from body mass index and from impedance in samples of five European populations. Eur. J. Clin. Nutr. 2001, 55, 973–979. [Google Scholar] [CrossRef]


| Characteristics | N (%) |
|---|---|
| Gender | |
| Boys | 436 (55.8) |
| Girls | 346 (44.2) |
| Age | |
| 11 years | 121 (15.5) |
| 12 years | 173 (22.1) |
| 13 years | 188 (24.0) |
| 14 years | 185 (23.7) |
| 15 years | 115 (14.7) |
| Family affluence | |
| Low | 152 (24.9) |
| Middle | 183 (30.0) |
| High | 275 (45.1) |
| Number and percentage of adolescents with overweight based on: | |
| BMI from measured height and weight | 136 (17.4) |
| BMI from self-reported height and weight | 121 (15.5) |
| Number and percentage of adolescents with obesity based on: | |
| BMI from measured height and weight | 60 (7.7) |
| BMI from self-reported height and weight | 37 (4.7) |
| Body fat percentage (adolescents with overweight or obesity) | 160 (20.5) |
| Diagnostic Indices | Measured BMI | Self-Reported BMI | p-Value of Difference * |
|---|---|---|---|
| Sensitivity | 82% (CI 75–87%) | 66% (CI 58–73%) | <0.001 |
| Specificity | 90% (CI 87–92%) | 92% (CI 89–94%) | 0.058 |
| PPV | 67% (CI 60–73%) | 67% (CI 58–74%) | |
| NPV | 95% (CI 93–97%) | 91% (CI 87–93%) |
| Diagnostic Indices | Measured BMI | Self-reported BMI | p-Value of Difference * |
|---|---|---|---|
| Sensitivity | 35% (CI 28–43%) | 21% (CI 15–28%) | <0.001 |
| Specificity | 99% (CI 98–100%) | 99% (CI 98–100%) | ≈1 |
| PPV | 93% (CI 83–98%) | 92% (CI 78–97%) | |
| NPV | 86% (CI 83–88%) | 83% (CI 82–84%) |
© 2020 by the authors. Licensee MDPI, Basel, Switzerland. This article is an open access article distributed under the terms and conditions of the Creative Commons Attribution (CC BY) license (http://creativecommons.org/licenses/by/4.0/).
Share and Cite
Karchynskaya, V.; Kopcakova, J.; Klein, D.; Gába, A.; Madarasova-Geckova, A.; van Dijk, J.P.; de Winter, A.F.; Reijneveld, S.A. Is BMI a Valid Indicator of Overweight and Obesity for Adolescents? Int. J. Environ. Res. Public Health 2020, 17, 4815. https://doi.org/10.3390/ijerph17134815
Karchynskaya V, Kopcakova J, Klein D, Gába A, Madarasova-Geckova A, van Dijk JP, de Winter AF, Reijneveld SA. Is BMI a Valid Indicator of Overweight and Obesity for Adolescents? International Journal of Environmental Research and Public Health. 2020; 17(13):4815. https://doi.org/10.3390/ijerph17134815
Chicago/Turabian StyleKarchynskaya, Viktoryia, Jaroslava Kopcakova, Daniel Klein, Aleš Gába, Andrea Madarasova-Geckova, Jitse P. van Dijk, Andrea F. de Winter, and Sijmen A. Reijneveld. 2020. "Is BMI a Valid Indicator of Overweight and Obesity for Adolescents?" International Journal of Environmental Research and Public Health 17, no. 13: 4815. https://doi.org/10.3390/ijerph17134815
APA StyleKarchynskaya, V., Kopcakova, J., Klein, D., Gába, A., Madarasova-Geckova, A., van Dijk, J. P., de Winter, A. F., & Reijneveld, S. A. (2020). Is BMI a Valid Indicator of Overweight and Obesity for Adolescents? International Journal of Environmental Research and Public Health, 17(13), 4815. https://doi.org/10.3390/ijerph17134815

