Effect of Levels of Self-Regulation and Situational Stress on Achievement Emotions in Undergraduate Students: Class, Study and Testing
Abstract
1. Introduction
1.1. Emotion Regulation as Individual Variable of Learning in University Students
1.2. Level of Stress in Academic Situations, as a Contextual Variable
- Environmental demands in terms of their implications. If this external, situational demand is unimportant, it does not affect the subject, and therefore does not have physical, personal or social implications. It does not trigger an emotional response. If it is important, however, it becomes a stress situation for the subject, prompting him or her to focus attention on it, and begin a process of assessment and response preparation for adaptation. Academic situations in the classroom, study time or testing can then be considered under this schema, classifiable according to the level of personal effort that each situation requires. Objectively, there are situations that trigger stress with such frequency, intensity and duration that they demand a more effortful response than others. However, the stress-eliciting potential also depends on mediating personal variables involved in processing these stimuli [29].
- Processes of assessing the stressful situation. The primary assessment is the subject’s own evaluation of the situation itself, what is involved in terms of risk, threat to his or her well-being or even survival. This is closely connected to the secondary assessment. In this assessment the subject evaluates the available resources, whether personal/social, or economic/institutional, for coping with the environmental demand. According to this assessment, the subject will consider whether he or she has resources and the capacity to meet the demand. The interplay of these two assessments determine whether the situation is considered: (1) a challenge: The subject considers that his or her resources are sufficient for handling the situation. The situation mobilizes the subject’s resources and generates feelings of efficacy and achievement; or (2) a threat: The subject considers that his or her resources are insufficient to handle the situation, and feels overwhelmed by it. Clear anxiety responses appear, and the subject’s coping activity is affected. He or she becomes ineffective, with reactions ranging from chaotic, frenetic, unorganized activity, to simple inactivity. The defining element is the perceived impossibility of control, essential to explanation of this pathology.
1.3. Positive vs. Negative Achievement Emotions as a Correlate of Emotional Well-Being in University Students
1.4. Aims and Hypotheses
2. Materials and Methods
2.1. Participants
2.2. Instruments
- Frequency of stress triggered by the event. This refers to how often an event exposes the student to stress triggers that require adaptive effort. Any new situation involves an adaptive effort. Prior research has delimited the factors of situational academic stress [58], but has not specified the stress-eliciting situations. It can be assumed that the more often one is exposed to a novel stimulus—which involves effort and adaptive adjustment—the greater the potential to elicit stress.
- Intensity of stress triggered by the event. This refers to an event’s with force to evoke emotional responses, or the strength of the reactions it can elicit, whether positive or negative. We assume that the higher the level of emotional intensity triggered by the event, the greater its potential for eliciting a certain response.
- Duration of stress triggered by the event. This is measured by the objective amount of time that the person is exposed to the stimulus eliciting a response. A greater amount of exposure time is conceptualized as a longer duration of the response-eliciting stimulus.
2.3. Procedure
2.4. Data Analysis
3. Results
3.1. Description and Linear Associations Between Types of Achievement Emotions
3.2. Structural Prediction of Level of SR and Level of Stress for Achievement Emotions
3.3. Effects of Self-Regulation Level and Situational Stress Level on Emotionality
4. Discussion
Limitations and Future Research
5. Conclusions
6. Implications
Author Contributions
Funding
Conflicts of Interest
References
- Durand-Bush, N.; McNeill, K.; Harding, M.; Dobransky, J. Investigating stress, Psychological Well-Being, Mental Heatlh Functioning, and Self-regulation Capacity Among University Undergraduates Students: It this population Optimal Functioning. Can. J. Couns. Psychoter. 2015, 49, 253–274. [Google Scholar]
- Hoying, J.; Melnyk, B.M.; APRN-CNP; FAANP; FNAP; FAAN; Elizabeth Hutson, M.S.; PMHNP-BC; Tan, A. Prevalence and Correlates of Depression, Anxiety, Stress, Healthy Beliefs, and Lifestyle Behaviors in First-Year Graduate Health Sciences Students. Sigma 2020. [Google Scholar] [CrossRef] [PubMed]
- Young, N.D.; Mumby, M.A.; Smolinski, J.A. Maximizing Mental Health Services: Proven Practices that Promote Emotional Well-Bein; Vernon Press: Wilmington, DE, USA, 2020. [Google Scholar]
- de la Fuente, J.; González-Torres, M.C.; Aznárez-Sanado, M.; Martínez-Vicente, J.M.; Peralta-Sánchez, F.J.; Vera, M.M. Implications of Unconnected Micro, Molecular, and Molar Level Research in Psychology: The Case of Executive Functions, Self-Regulation, and External Regulation. Front. Psychol. 2019, 10, 1919. [Google Scholar] [CrossRef] [PubMed]
- Matthews, G.; Schwean, V.L.; Campbell, S.E.; Saklofske, D.H.; Mohamed AA, R. Personality, Self-Regulation and Adaptation: A Cognitive-Social framework. In Handbook of Self-Regulation; Boekarts, M., Pintrich, P.R., Zeidner, M., Eds.; Academic Press: San Diego, CA, USA, 2000; pp. 171–207. [Google Scholar]
- de la Fuente, J. Competence for Studying, Learning and Performing under Stress: Self-Help Guide for University Students, Graduates and Professional Examination Candidates; Education & Psychology I+D+I, e-Publishing Series I+D+I: Almería, Spain, 2015. [Google Scholar]
- de la Fuente, J.; Zapata, L.; Martínez-Vicente, J.M.; Sander, P.; Putwain, D. Personal self-regulation, self-regulated learning and coping strategies, in university context with stress. In Metacognition: Fundaments, Applications, and Trends; Springer: Champagne, CA, USA, 2015; pp. 223–255. [Google Scholar]
- de la Fuente, J.; Sander, P.; Martínez-Vicente, J.M.; Vera, M.; Garzón-Umerenkova, A.; Fadda, S. Combined Effect of Levels in Personal Self-Regulation and Regulatory Teaching on Meta-Cognitive, on Meta-Motivational, and on Academic Achievement Variables in Undergraduate Students. Front. Psychol. 2017, 8, 232. [Google Scholar] [CrossRef] [PubMed]
- McRae, K.; Gross, J.J. Emotion regulation. Emotion 2020, 20, 1–9. [Google Scholar] [CrossRef] [PubMed]
- de la Fuente, J. Theory of Self- vs. Externally- Regulated Learning TM: Fundamentals, Evidence, and Applicability. Front. Psychol. 2017, 8, 1675. [Google Scholar] [CrossRef]
- de la Fuente, J.; Martínez-Vicente, J.M.; Peralta-Sánchez, F.J.; Garzón-Umerenkova, A.; Vera, M.M.; Paoloni, P. Applying the SRL vs. ERL Theory to the Knowledge of Achievement Emotions in Undergraduate University Students. Front. Psychol. 2019, 10, 2070. [Google Scholar] [CrossRef]
- Gross, J.J. The emerging field of emotion regulation: An integrative review. Special New Directions in Research on Emotion. Rev. Gen. Psychol. 1998, 2, 271–299. [Google Scholar] [CrossRef]
- Gross, J.J.; Levenson, R.W. Hiding feelings: The acute effects of inhibiting negative and positive emotion. J. Abnorm. Psychol. 1997, 106, 95–103. [Google Scholar] [CrossRef]
- Gross, J.J.; Thompson, R.A. Emotion regulation: Conceptual foundations. In Handbook of Emotion Regulation; Gross, J.J., Ed.; Guilford Press: New York, NY, USA, 2007; pp. 3–24. [Google Scholar]
- Campos, J.J.; Frankel, C.B.; Camras, L. On the nature of emotion regulation. Child. Dev. 2004, 75, 377–394. [Google Scholar] [CrossRef]
- Ong, A.D.; Bergeman, C.S. The complexity of emotions in later life. J. Gerontol. Psychol. Sci. 2004, 59, 117–122. [Google Scholar] [CrossRef] [PubMed]
- Smith, J.; Borchelt, M.; Maier, H.; Jopp, D. Health and well-being in the young old and oldest old. J. Soc. Issues 2002, 58, 715–732. [Google Scholar] [CrossRef]
- de la Fuente, J.; Amate, J.; González-Torres, M.C.; Artuch, R.; García-Torrecillas, J.M.; Fadda, S. Effects of Levels of Self-Regulation and Regulatory Teaching on Strategies for Coping with Academic Stress in Undergraduate Students. Front. Psychol. 2020, 11, 22. [Google Scholar] [CrossRef] [PubMed]
- Heikkilä, A.; Lonka, K. Studying in higher education: Students’ approaches to learning, self-regulation, and cognitive strategies. Stud. High. Educ. 2006, 31, 99–117. [Google Scholar] [CrossRef]
- Melissa Ng Lee Yen, A. The influence of self-regulation processes on metacognition in a virtual learning environment. Educ. Stud. 2020, 46, 1–17. [Google Scholar] [CrossRef]
- Artuch-Garde, R.; González-Torres, M.C.; de la Fuente, J.; Vera, M.M.; Fernández-Cabezas, M.; López-García, M. Relationship between Resilience and Self-regulation: A Study of Spanish Youth at Risk of Social Exclusion. Front. Psychol. 2017, 8, 612. [Google Scholar] [CrossRef]
- de la Fuente, J.; Zapata, L.; Martínez-Vicente, J.M. Effects of Level of Self-Regulation and Different Context of Stress on Coping Strategies. In Academic Performance; Gallanger, C.H., Ed.; Higher Education; Nova Science Publishers, Inc.: Hauppauge, NY, USA, 2016; pp. 77–96. [Google Scholar]
- Baumeister, R.F.; Vohs, K.D. Self-regulation, ego depletion, and motivation. Soc. Pers Psychol. Compass 2007, 1, 115–128. [Google Scholar] [CrossRef]
- Kauffman, B.Y.; Bakhshaie, J.; Manning, K.; Rogers, A.H.; Shepherd, J.M.; Zvolensky, M.J. The role of emotion dysregulation in the association between subjective social status and eating expectancies among college students. J. Am. Coll. Health 2020, 68, 97–103. [Google Scholar] [CrossRef]
- de la Fuente, J.; Mañas, I.; Franco, C.; Cangas, A.; Soriano, E. Differential Effect of Level of Self-Regulation and Mindfulness Training on Coping Strategies Used by University Students. Int. J. Environ. Res. Public Health 2018, 15, 2230. [Google Scholar] [CrossRef]
- Folkman, S.; Lazarus, R.S. Stress, Appraisal, and Coping; Springer Publishing Company: New York, NY, USA, 1984; pp. 150–153. [Google Scholar]
- Lazarus, R.S. Theory-based stress measurement. Psychol. Inq. 1990, 1, 3–13. [Google Scholar] [CrossRef]
- Lazarus, R.S.; Folkman, S. Coping and adaptation. In The Handbook of Behavioral Medicine; Gentry, W.D., Ed.; Guilford: New York, NY, USA, 1984; pp. 282–325. [Google Scholar]
- Ajjawi, R.; Dracup, M.; Zacharias, N.; Bennett, S.; Boud, D. Persisting students’ explanations of and emotional responses to academic failure. High. Educ. Res. Dev. 2020, 39, 185–199. [Google Scholar] [CrossRef]
- de la Fuente, J.; Lahortiga-Ramos, F.; Laspra-Solís, C.; Maestro-Martín, C.; Alustiza, I.; Aubá, E.; Martín-Lanas, R. A Structural Equation Model of Achievement Emotions, Coping Strategies and Engagement-Burnout in Undergraduate Students: A Possible Underlying Mechanism in Facets of Perfectionism. Int. J. Environ. Res. Public Health 2020, 17, 2106. [Google Scholar] [CrossRef]
- Edwards, J.A.; Templeton, A. The structure of perceived qualities of situations. Eur. J. Soc. Psychol. 2005, 35, 705–723. [Google Scholar] [CrossRef]
- Funder, D.C. Towards a resolution of the personality triad: Persons, situations, and behaviors. J. Res. Personal. 2006, 40, 21–34. [Google Scholar] [CrossRef]
- Funder, D.C. Taking situations seriously: The situation construal model and the Riverside Situational Q-sort. Curr. Dir. Psychol. Sci. 2016, 25, 203–208. [Google Scholar] [CrossRef]
- Khon, J.H.; Frazer, G.H. An academic stress scale: Identification and importance of academic stressors. Psychol. Rep. 1986, 56, 415–426. [Google Scholar] [CrossRef]
- Frenzel, A.C.; Becker-Kurz, B.; Pekrun, R.; Goetz, T.; Lüdtke, O. Emotion transmission in the classroom revisited: A reciprocal effects model of teacher and student enjoyment. J. Educ. Psychol. 2018, 110, 628–639. [Google Scholar] [CrossRef]
- Mainhard, T.; Oudman, S.; Hornstra, L.; Bosker, R.J.; Goetz, T. Student emotions in class: The relative importance of teachers and their interpersonal relations with students. Learn. Instr. 2018, 53, 109–119. [Google Scholar] [CrossRef]
- Suldo, S.M.; Storey, L.D.; O’Brennan, L.M.; Shaunessy‑Dedrick, E.; Ferron, J.M.; Dedrick, R.F.; Parker, J.F. Identifying High School Freshmen with Signs of Emotional or Academic Risk: Screening Methods Appropriate for Students in Accelerated Courses. School Mental Health 2019, 11, 210–227. [Google Scholar] [CrossRef]
- Díaz, D.; Rodríguez-Carvajal, R.; Blanco, A.; Moreno-Jiménez, B.; Gallardo, I.; Valle, C.; Dierendonck, D.V. Adaptación española de las escalas de bienestar psicológico de Ryff. [Spanish adaptation of Ryff’s scales of psychological well-being]. Psicothema 2005, 18, 572–577. [Google Scholar]
- Poots, A.; Cassidy, T. Academic expectation, self-compassion, psychological capital, social support and student wellbeing. Int. J. Educ. Res. 2020, 99, 101506. [Google Scholar] [CrossRef]
- Salanova, M.; Martínez-Martínez, I.M.; Bresó, E.; Llorens, S.; Grau, R. Bienestar psicológico en estudiantes universitarios: Facilitadores y obstaculizadores del desempeño académico [Psychological well-being in university students: Facilitators and obstacles to academic performance]. An. Psicol. 2005, 21, 170–180. [Google Scholar]
- Bedree, H.; Moller-Mullen, M.; Rose, E.; Flander, C.E. Sexual Well-Being among College Students: A Qualitative Study. Sex. Cult. 2020, 24, 140–156. [Google Scholar] [CrossRef]
- Jina, Y.; Zhanga, M.; Wanga, Y.; Anb, J. The relationship between trait mindfulness, loneliness, regulatory emotional self-efficacy, and subjective well-being. Personal. Individ. Differ. 2020, 54, 109650. [Google Scholar] [CrossRef]
- Leung, M.C.; Cheung, R.Y.M. Music engagement and well-being in Chinese adolescents: Emotional awareness, positive emotions, and negative emotions as mediating processes. Psychol. Music 2018, 48, 105–119. [Google Scholar] [CrossRef]
- Moeller, R.W.; Seehuus, M.; Peisch, V. Emotional Intelligence, Belongingness, and Mental Health in College Students. Front. Psychol. 2020, 11, 93. [Google Scholar] [CrossRef]
- Pascoe, M.C.; Hetrick, S.E.; Parker, A.G. The impact of stress on students in secondary school and higher education. Int. J. Adolesc. Youth 2020, 25, 104–112. [Google Scholar] [CrossRef]
- Pekrun, R. The control-value theory of achievement emotions: Assumptions, corollaries, and implications for educational research and practice. Educ. Psychol. Rev. 2006, 18, 315–341. [Google Scholar] [CrossRef]
- Pekrun, R.; Frenzel, A.; Goetz, T.; Perry, R.P. The control-value theory of achievement emotions: An integrative approach to emotions in education. In Emotion in Education; Schutz, P.A., Pekrun, R., Eds.; Academic Press: San Diego, CA, USA, 2007; pp. 13–36. [Google Scholar]
- Pekrun, R.; Hall, N.C.; Goetz, T.; Perry, R.P. Boredom and academic achievement: Testing a model of reciprocal causation. J. Educ. Psychol. 2014, 106, 696–710. [Google Scholar] [CrossRef]
- Pekrun, R.; Murayama, K.; Marsh, H.W.; Goetz, T.; Frenzel, A.C. Happy fish in little ponds: Testing a compositional effects model of achievement and emotion. J. Personal. Soc. Psychol. 2019. Available online: http://centaur.reading.ac.uk/80558/ (accessed on 9 June 2020). [CrossRef]
- Pekrun, R.; Linnenbrink-Garcia, L. International Handbook of Emotions in Education; Routledge: New York, NY, USA, 2014. [Google Scholar]
- Pekrun, R.; Perry, R.P. Control-value theory of achievement emotions. In International Handbook of Emotions in Education; Pekrun, R., Linnenbrink-Garcia, L., Eds.; Taylor & Francis: New York, NY, USA, 2014; pp. 120–141. [Google Scholar]
- Pekrun, R.; Stephens, E.J. Academic emotions. In APA Educational Psychology Handbook, Vol. 2: Individual Differences and Cultural and Contextual Factors; Harris, K.R., Ed.; American Psychological Association: Washington, DC, USA, 2012; pp. 3–31. [Google Scholar]
- Myyry, L.; Karaharju-Suvanto, T.; Vesalainen, M.; Virtala, A.M.; Raekallio, M.; Salminen, O.; Vuorensola, K.; Nevgi, A. Experienced academics’ emotions related to assessment. Assess. Eval. High. Educ. 2020, 45, 1–13. [Google Scholar] [CrossRef]
- Sharp, J.C.; Sharp, J.C.; Young, E. Academic boredom, engagement and the achievement of undergraduate students at university: A review and synthesis of relevant literature. Res. Pap. Educ. 2020, 35, 144–184. [Google Scholar] [CrossRef]
- Brown, J.M.; Miller, W.R.; Lawendowski, L.A. The Self-Regulation Questionnaire. In Innovations in Clinical Practice: A Source Book; Vandecreek, L., Jackson, T.L., Eds.; Professional Resources Press: Sarasota, FL, USA, 1999; Volume 17, pp. 281–293. [Google Scholar]
- Pichardo, C.; Justicia, F.; de la Fuente, J.; Martínez-Vicente, J.M.; Berbén, A.B. Factor structure of the self-regulation questionnaire (SRQ) at Spanish Universities. Span. J. Psychol. 2014, 17, e62. [Google Scholar] [CrossRef] [PubMed]
- Garzón-Umerenkova, A.; de la Fuente, J.; Martínez-Vicente, J.M.; Zapata-Sevillano, L.; Pichardo, M.C.; García-Berbén, A.B. Validation of the Spanish Short Self-Regulation Questionnaire (SSSRQ) through Rasch Analysis. Front. Psychol. 2017, 8, 276. [Google Scholar] [CrossRef] [PubMed]
- Cabanach, R.G.; Rodríguez, S.; Valle, A.; Piñeiro, I.; Millán, P.G. Metas académicas y vulnerabilidad al estrés en contextos académicos [Academic goals and vulnerability to stress in academic contexts]. Aula Abierta 2007, 36, 3–16. [Google Scholar]
- de la Fuente, J. Learning-Related Emotions Questionnaire. Spanish version, University of Almería. Unpublished work. 2015. [Google Scholar]
- de la Fuente, J. Test-Related Emotions Questionnaire. Spanish version, University of Almería. Unpublished work. 2015. [Google Scholar]
- Paoloni, P.V. Class-Related Emotions Questionnaire. Spanish version, University of Río Cuarto, CONICET (Argentina). Unpublished work. 2015. [Google Scholar]
- Pekrun, R.; Goetz, T.; Perry, R.P. Achievement Emotions Questionnaire (AEQ). User’s Manual, Department of Psychology, University of Munich. Available online: https://es.scribd.com/doc/217451779/2005-AEQ-Manual (accessed on 9 June 2020).
- Pekrun, R.; Goetz, T.; Titz, W.; Perry, R.P. Academic emotions in students’ self-regulated learning and achievement: A program of qualitative and quantitative research. Educ. Psychol. 2002, 37, 91–105. [Google Scholar] [CrossRef]
- de la Fuente, J.; López, M.; Zapata, L.; Sollinas, G.; Fadda, S. Improving mental health through an online self-assessment and self-help e-Utility in university students. In Progress in Education; Nata, R.V., Ed.; Nova Publisher: New York, NY, USA, 2015; Volume 33, pp. 63–74. [Google Scholar]
- Arbuckle, J. Amos User’s Guide; SmallWaters: Chicago, IL, USA, 2003. [Google Scholar]
- Bentler, P. EQS Structural Equations Program. Manual; Multivariate Software: Encino, CA, USA, 1995. [Google Scholar]
- McDonald, R.P.; Marsh, H.W. Choosing a multivariate model: Non centrality and goodness of fit. Psychol. Bull. 1990, 107, 247–255. [Google Scholar] [CrossRef]
- Jöreskog, K.G.; Sörbom, D. LISREL 8: Structural Equation Modeling with the SIMPLIS Command Language; Scientific Software International: Lincolnwood, IL, USA, 1993. [Google Scholar]
- Keith, T.Z. Multiple Regression and beyond: An Introduction to Multiple Regression and Structural Equation Modeling; Routledge: New York, NY, USA, 2014. [Google Scholar]
- Kenny, D.A. SEM: Fit (David A. Kenny). 2014. Available online: http://davidakenny.net/cm/fit.htm (accessed on 9 June 2020).
- de la Fuente, J.; Zapata, L.; Martínez-Vicente, J.M.; Sander, P.; Cardelle-Elawar, M. The role of personal self-regulation and regulatory teaching to predict motivational-affective variables, achievement, and satisfaction: A structural model. Front. Psychol. 2015, 6, 399. [Google Scholar] [CrossRef]
- Villavicencio, F.T.; Bernardo, A.B.L. Positive academic emotions moderate the relationship between self-regulation and academic achievement. Br. J. Educ. Psychol. 2013, 83, 329–340. [Google Scholar] [CrossRef]
- Reindl, M.; Tulis, M.; Dresel, M. Profiles of emotional and motivational self-regulation following errors: Associations with learning. Learn. Individ. Differ. 2020, 77, 101806. [Google Scholar] [CrossRef]
- Elbers, J.; McCraty, R. HeartMath approach to self-regulation and psychosocial well-being. J. Psychol. Afr. 2020, 30, 69–79. [Google Scholar] [CrossRef]
- Yumatov, E.A. Emotional Stress: The Dialectics of Nature. Neurosci. Med. 2020, 11, 20–28. Available online: https://www.scirp.org/journal/nm (accessed on 9 June 2020). [CrossRef][Green Version]
- Alsubaie, M.M.; Stain, H.J.; Webster LA, D.; Wadman, R. The role of sources of social support on depression and quality of life for university students. Int. J. Adolesc. Youth 2019, 24, 484–496. [Google Scholar] [CrossRef]
- Oreg, S.; Edwards, J.A.; Rauthmann, J.F. The situation six: Uncovering six basic dimensions of psychological situations from the Hebrew language. J. Personal. Soc. Psychol. 2020. [Google Scholar] [CrossRef]
- Sander, P. Current developments in measuring academic behavioural confidence. Psychol. Teach. Rev. 2009, 15, 32–44. [Google Scholar]
- Wang, L.; Sang, B. The effect of self-regulation of shame on teenagers’ aggression. Studia Psychol. 2020, 62, 58–73. [Google Scholar] [CrossRef]
- Bench, S.W.; Lench, H.C. Boredom as a seeking state: Boredom prompts the pursuit of novel (even negative) experiences. Emotion 2019, 19, 242–254. [Google Scholar] [CrossRef]
- Khan, K.W.; Ramzan, M.; Zia, Y.; Zafar, Y.; Khan, M.; Saeed, H. Factors Affecting Academic Performance of Medical Students. Life Sci. 2020, 1, 4. [Google Scholar] [CrossRef]
- Obergriesser, S.; Stoeger, H. Students’ emotions of enjoyment and boredom and their use of cognitive learning strategies–How do they affect one another? Learn. Instr. 2020, 66, 101285. [Google Scholar] [CrossRef]
- Pekrun, R. Emotions and learning (Educational Practices Series, Vol. 24). In International Academy of Education (IAE) and International Bureau of Education (IBE) of the United Nations Educational; Scientific and Cultural Organization (UNESCO): Geneva, Switzerland, 2014. [Google Scholar]
- Shadid, A.; Shadid, A.M.; Shadid, A.; Almutairi, F.E.; Almotairi, K.E.; Aldarwish, T.; Khan, S.U.D. Stress, burnout, and associated risk factors in medical students. Cureus 2020, 12, e6633. [Google Scholar] [CrossRef]
- Pekrun, R.; Cusack, A.; Murayama, K.; Elliot, A.J.; Thomas, K. The power of anticipated feedback: Effects on students’ achievement goals and achievement emotions. Learn. Instr. 2014, 29, 115–124. [Google Scholar] [CrossRef]
- Pekrun, R.; Elliot, A.J.; Maier, M.A. Achievement goals and achievement emotions: Testing a model of their joint relations with academic performance. J. Educ. Psychol. 2009, 101, 115–135. [Google Scholar] [CrossRef]
- Pekrun, R.; Goetz, T.; Frenzel, A.C.; Barchfeld, P.; Perry, R.P. Measuring emotions in students’ learning and performance: The achievement emotions questionnaire (AEQ). Contemp. Educ. Psychol. 2011, 36, 36–48. [Google Scholar] [CrossRef]
- Loderer, K.; Gentsch, K.; Duffy, M.C.; Zhuc, M.; Xie, X.; Chavarría, J.A.; Pekrun, R. Are concepts of achievement-related emotions universal across cultures? A semantic profiling approach. Cognit. Emot. 2020, 1–10. [Google Scholar] [CrossRef]
- Lee, Y.J.; Anderman, E.M. Profiles of perfectionism and their relations to educational outcomes in college students: The moderating role of achievement goals. Learn. Individ. Differ. 2020, 77, 101813. [Google Scholar] [CrossRef]
- Becerra, R.; Campitelli, G. Emotional reactivity: Critical analysis and proposal of a new scale. Int. J. Appl. Psychol. 2013, 3, 161–168. [Google Scholar]
- Becerra, R.; Preece, D.; Campitelli, G.; Scott-Pillow, G. The assessment of emotional reactivity across negative and positive emotions: Development and validation of the Perth Emotional Reactivity Scale (PERS). Assessment 2019, 26, 867–879. [Google Scholar] [CrossRef]
- Gratz, K.L.; Forbes, C.N.; Wheeless, L.E.; Richmond, J.R.; Tull, M.T. Self-Report Assessment of Emotion Dysregulation; The Oxford Handbook of Emotion Dysregulation: Oxford, UK, 2020; p. 395. [Google Scholar]
- Biggs, J. The reflective institution: Assuring and enhancing the quality of teaching and learning. High. Educ. 2001, 41, 221–238. [Google Scholar] [CrossRef]
- Funder, D.C.; Guillaume, E.; Kumagai, S.; Kawamoto, S.; Sato, T. The person-situation debate and the assessment of situations. Jpn. J. Personal. 2012, 21, 1–11. [Google Scholar] [CrossRef][Green Version]
- Ben-Eliyahu, A. Academic Emotional Learning: A Critical Component of Self-Regulated Learning in the Emotional Learning Cycle. Educ. Psychol. 2019. [Google Scholar] [CrossRef]
- Putwain, D.W. An examination of the self-referent executive processing model of test anxiety: Control, emotion regulation, self-handicapping, and examination performance. Eur. J. Psychol. Educ. 2018, 1–18. [Google Scholar] [CrossRef]
- Ainley, M.; Hidi, S. Interest and enjoyment. In International Handbook of Emotions in Education; Pekrun, R., Linnenbrink-Garcia, L., Eds.; Routledge: New York, NY, USA, 2014; pp. 205–227. [Google Scholar]
- Sander, P.; Sanders, L. Measuring confidence in academic study: A summary report. Electron. J. Res. Educ. Psychol. 2003, 1, 1–17. [Google Scholar]
- Amaral, A.; Soares, M.; Pereira, A.; Bos, S.; Roque, C.; Bajouco, M.; Macedo, A. Stress, Cognitive Emotion Regulation, and Sleep in University Students. Eur. Psychiatry 2015, 30, 934. [Google Scholar] [CrossRef]
- Wayment, H.A.; Cavolo, K. Quiet ego, self-regulatory skills, and perceived stress in college students. J. Am. Coll. Health 2018, 67, 92–96. [Google Scholar] [CrossRef] [PubMed]
- Rauthmann, J.F.; Sherman, R.A.; Funder, D.C. Principles of situation research: Towards a better understanding of psychological situations. Eur. J. Personal. 2015, 29, 363–381. [Google Scholar] [CrossRef]
- Putwain, D.W.; Sander, P. Does the confidence of first-year undergraduate students change over time according to achievement goal profile. Stud. Higher Educ. 2014. [Google Scholar] [CrossRef]
- Lardier, D.T., Jr.; Lee, C.Y.S.; Rodas, J.M.; Garcia-Reid, P.; Reid, R.J. The Effect of Perceived College-Related Stress on Depression, Life Satisfaction, and School Satisfaction: The Coping Strategies of Hispanic College Students from a Hispanic Serving Institution. Educ. Urban. Soc. 2020. [Google Scholar] [CrossRef]
- Woodhead, E.L.; Chin-Newman, C.; Spink, K.; Hoang, M.; Smith, S.A. College students’ disclosure of mental health problems on campus. J. Am. Coll. Health 2020, 1–8. [Google Scholar] [CrossRef]




| Situation | Parameters of Stress | Heading | Degree of Threat: Theoretical | Hypothesized | Degree of Threat: Empirical | Khon and Fracer |
|---|---|---|---|---|---|---|
| F(x) | I(x) | D(x) = Rank | Range (1–3) | Mean and SD | Range (25–100) | |
| 1. Class | 3 x | 1 x | 2 = 6 | 1 low | 1.57 (.60) | 39 |
| 2. Study | 3 x | 2 x | 2 = 12 | 2. medium | 2.37 (.64) | 82 |
| 3. Testing | 3 x | 3 x | 2 = 18 | 3. high | 2.71 (.45) | 100 |
| Enjoyment | Hope | Pride | Boredom | Anger | Anxiety | Shame | Mean (sd) | |
|---|---|---|---|---|---|---|---|---|
| Enjoyment | 3.27 (0.70) | |||||||
| Hope | 0.768 ** | 3.47 (0.76) | ||||||
| Pride | 0.799 ** | 0.758 ** | 3.49 (0.75) | |||||
| Boredom/Relief | −0.323 ** | −0.325 ** | −0.214 ** | 2.72 (0.05) | ||||
| Anger | −0.333 ** | −0.400 ** | −0.265 ** | 0.544 ** | 2.01 (0.73) | |||
| Anxiety | −0.250 ** | −0.388 ** | −0.195 ** | 0.510 ** | 0.622 ** | 2.58 (0.82) | ||
| Shame | −0.186 * | −0.343 ** | −0.227 ** | 0.139 * | 0.531 ** | 0.598 ** | 2.08 (0.84) | |
| Hopelessness | −0.324 ** | −0.504 ** | −0.374 ** | 0.380 ** | 0.766 ** | 0.706 ** | 0.695 ** | 1.91 (0.79) |
| SR Level | Situation Level | Positive | Negative | |
|---|---|---|---|---|
| Positive | 0.453 | −0.109 | ||
| Negative | −0.402 | 0.186 | ||
| Enjoyment | 0.882 | |||
| Hope | 0.874 | |||
| Pride | 0.870 | |||
| Boredom/Relief | 0.506 | |||
| Anger | 0.830 | |||
| Anxiety | 0.802 | |||
| Shame | 0.710 | |||
| Hopelessness | 0.907 |
| SR Level | Situation Level | Positive | Negative | |
|---|---|---|---|---|
| Positive | ||||
| Negative | ||||
| Enjoyment | 0.400 | −0.096 | ||
| Hope | 0.396 | −0.095 | ||
| Pride | 0.394 | −0.095 | ||
| Boredom/Relief | −0.365 | 0.094 | ||
| Anger | −0.334 | 0.154 | ||
| Anxiety | −0.323 | 0.149 | ||
| Shame | −0.285 | 0.132 | ||
| Hopelessness | −0.365 | 0.168 |
| SR | Low (n = 335) | Medium (n = 598) | High (n = 310) | ||||||||||
|---|---|---|---|---|---|---|---|---|---|---|---|---|---|
| Situation | Class | Study | Testing | Mean | Class | Study | Testing | Mean | Class | Study | Testing | Mean | Total |
| n = 104 | n = 215 | n = 99 | n = 418 | n = 114 | n = 188 | n = 108 | n = 410 | n = 117 | n = 195 | n = 103 | n = 415 | n = 1243 | |
| Emotions | |||||||||||||
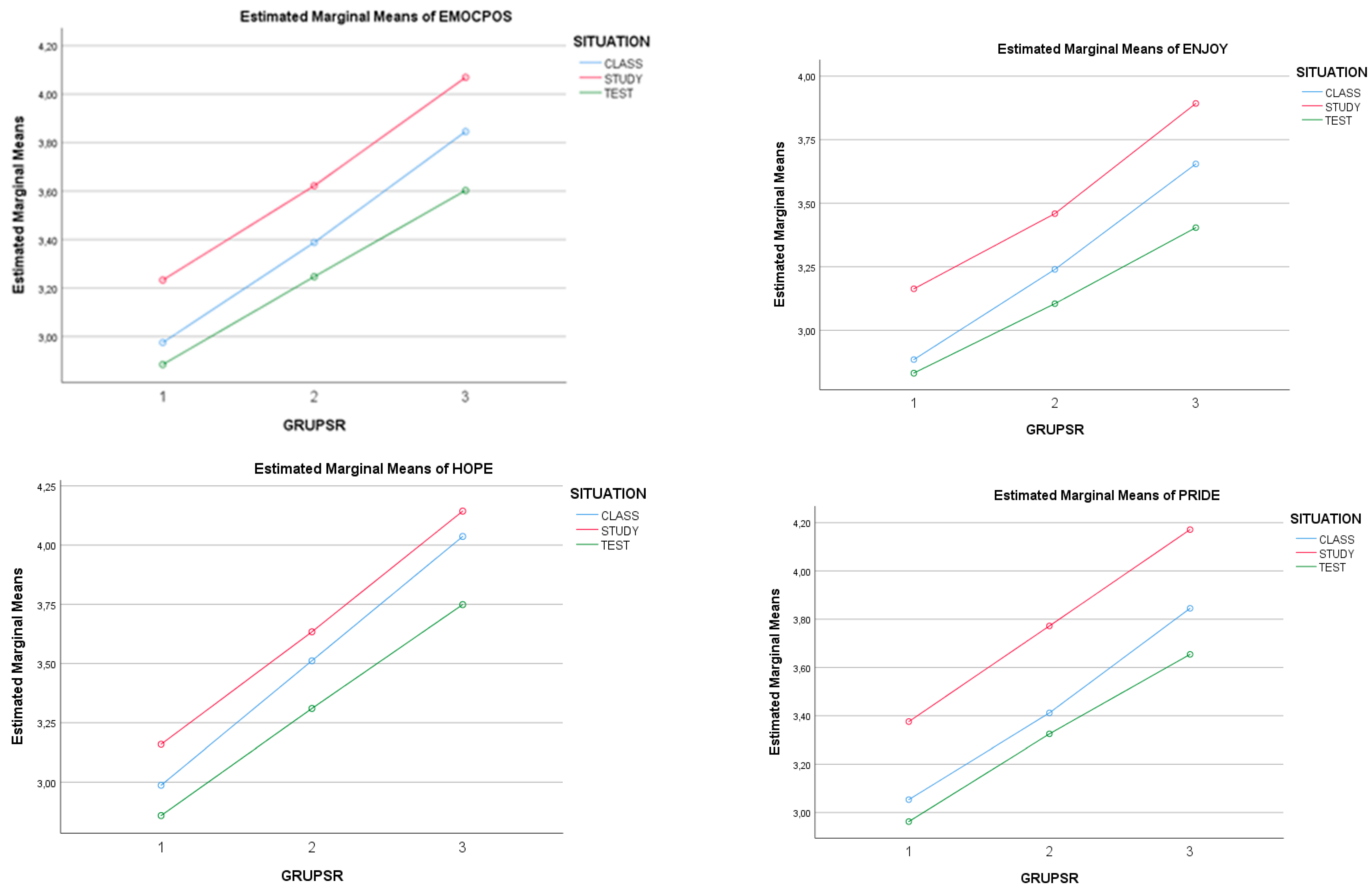
| Positive | 2.97 (0.59) | 3.38 (0.54) | 3.84 (0.61) | 3.39 (0.64) | 3.23 (0.65) | 3.62 (0.54) | 4.06 (0.68) | 3.63 (0.66) | 2.88 (0.68) | 3.24 (0.60) | 3.60 (0.62) | 3.23 (0.68) | 3.41 (0.68) |
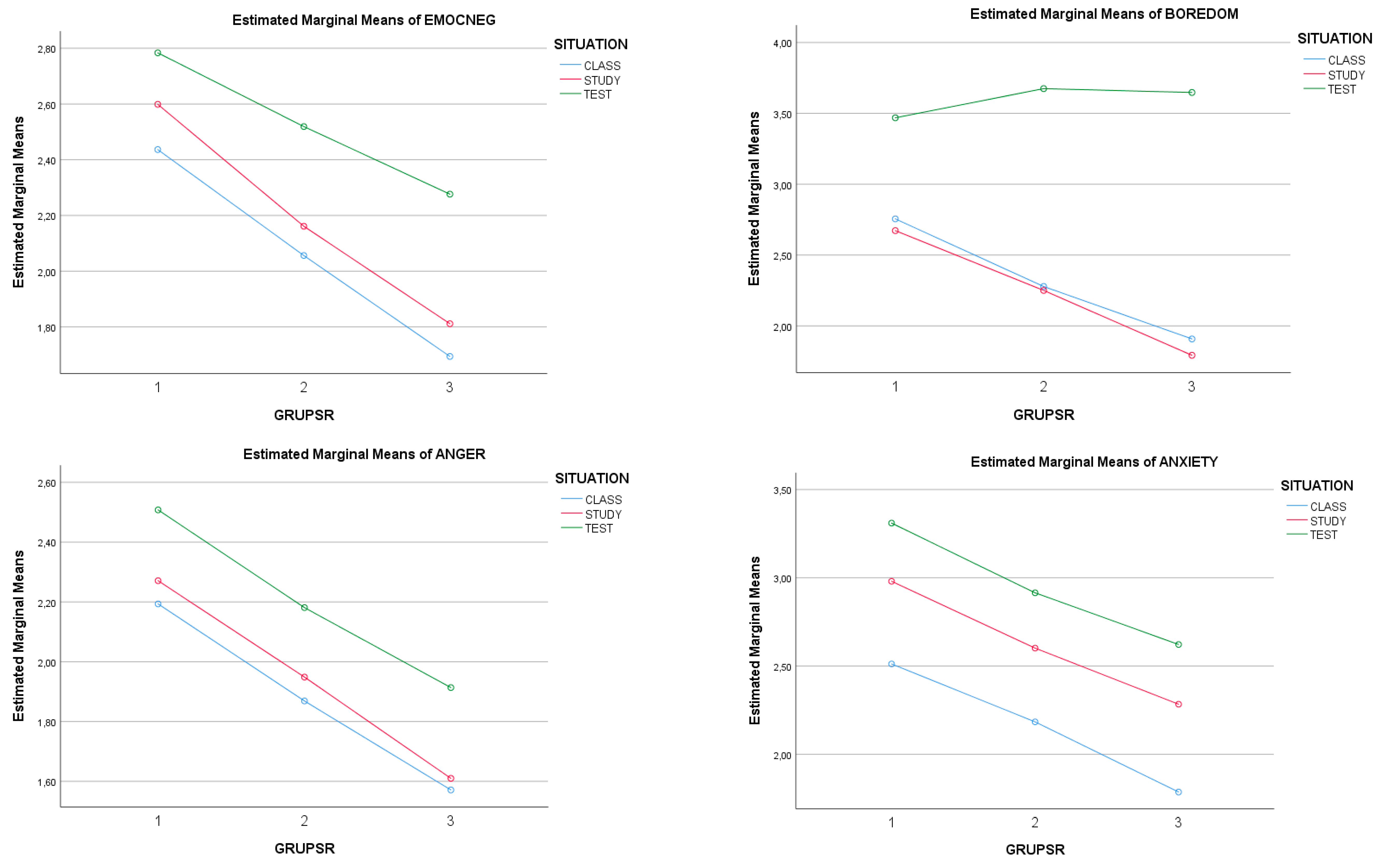
| Negative | 2.43 (0.63) | 2.05 (0.56) | 1.69 (0.54) | 2.06 (0.63) | 2.59 (0.68 | 2.16 (0.59) | 1.81 (0.83) | 2.19 (0.49) | 2.78 (0.56) | 2.51 (0.55) | 2.27 (0.56) | 2.26 (0.66) | 2.26 (0.66) |
| Positive | |||||||||||||
| Enjoyment | 2.88 (0.63) | 3.16 (0.61) | 2.83 (0.63) | 2.99 (0.66) | 3.23 (0.62) | 3.45 (0.57) | 3.10 (0.67) | 3.26 (0.63) | 3.65 (0.72) | 3.89 (0.62) | 3.40 (0.67) | 3.65 (0.70) | 3.27 (0.70) |
| Hope | 2.98 (0.66) | 3.15 (0.72) | 2.85 (0.77) | 3.00 (0.73) | 3.51 (0.56) | 3.63 (0.64) | 3.31 (0.66) | 3.48 (0.63) | 4.03 (0.63) | 4.14 (0.67) | 3.74 (0.73) | 3.97 (0.70) | 3.47 (0.76) |
| Pride | 3.05 (0.70) | 3.37 (0.77) | 2.96 (0.75) | 3.13 (0.76) | 3.41 (0.72) | 3.77 (0.62) | 3.32 (0.74) | 3.42 (0.65) | 3.84 (0.68) | 4.17 (0.64) | 3.65 (0.67) | 3.89 (0.70) | 3.49 (0.71) |
| Negative | |||||||||||||
| Boredom/Relief | 2.75 (0.87) | 2.67 (0.85) | 3.48 (0.82) | 2.97 (0.91) | 2.27 (0.79) | 2.25 (0.80) | 3.67 (0.74) | 2.72 (1.0) | 1.90 (0.80) | 1.79 (0.76) | 3.64 (0.86) | 2.44 (1.1) | 2.72 (1.0) |
| Anger | 2.19 (0.73) | 2.27 (0.79) | 2.50 (0.68) | 2.32 (0.74) | 1.86 (0.66) | 1.94 (0.71) | 2.18 (0.67) | 1.99 (0.69) | 1.57 (0.62) | 1.61 (0.67) | 1.91 (0.66) | 1.69 (0.66) | 2.01 (0.73) |
| Anxiety | 2.51 (0.72) | 2.98 (0.68) | 3.30 (0.81) | 2.94 (0.81) | 2.18 (0.65) | 2.60 (0.61) | 2.91 (0.81) | 2.55 (0.76) | 1.78 (0.62) | 2.28 (0.69) | 2.62 (0.87) | 2.23 (0.80) | 2.58 (0.82) |
| Shame | 2.57 (0.91) | 2.64 (0.82) | 2.22 (0.89) | 2.47 (0.89) | 2.19 (0.80) | 2.09 (0.73) | 1.83 (0.72) | 2.04 (0.87) | 1.79 (0.75) | 1.81 (0.77) | 1.60 (0.70) | 1.74 (0.75) | 2.08 (0.84) |
| Hopelessness | 2.14 (0.74) | 2.43 (0.87) | 2.40 (0.84) | 2.33 (0.83) | 1.75 (0.60) | 1.91 (0.70) | 1.98 (0.70) | 1.87 (0.70) | 1.40 (0.55) | 1.55 (0.71) | 1.59 (0.79) | 1.52 (0.70) | 1.91 (0.79) |
© 2020 by the authors. Licensee MDPI, Basel, Switzerland. This article is an open access article distributed under the terms and conditions of the Creative Commons Attribution (CC BY) license (http://creativecommons.org/licenses/by/4.0/).
Share and Cite
de la Fuente, J.; Verónica Paoloni, P.; Vera-Martínez, M.M.; Garzón-Umerenkova, A. Effect of Levels of Self-Regulation and Situational Stress on Achievement Emotions in Undergraduate Students: Class, Study and Testing. Int. J. Environ. Res. Public Health 2020, 17, 4293. https://doi.org/10.3390/ijerph17124293
de la Fuente J, Verónica Paoloni P, Vera-Martínez MM, Garzón-Umerenkova A. Effect of Levels of Self-Regulation and Situational Stress on Achievement Emotions in Undergraduate Students: Class, Study and Testing. International Journal of Environmental Research and Public Health. 2020; 17(12):4293. https://doi.org/10.3390/ijerph17124293
Chicago/Turabian Stylede la Fuente, Jesús, Paola Verónica Paoloni, Manuel Mariano Vera-Martínez, and Angélica Garzón-Umerenkova. 2020. "Effect of Levels of Self-Regulation and Situational Stress on Achievement Emotions in Undergraduate Students: Class, Study and Testing" International Journal of Environmental Research and Public Health 17, no. 12: 4293. https://doi.org/10.3390/ijerph17124293
APA Stylede la Fuente, J., Verónica Paoloni, P., Vera-Martínez, M. M., & Garzón-Umerenkova, A. (2020). Effect of Levels of Self-Regulation and Situational Stress on Achievement Emotions in Undergraduate Students: Class, Study and Testing. International Journal of Environmental Research and Public Health, 17(12), 4293. https://doi.org/10.3390/ijerph17124293

