Nitrogen-Dioxide Remains a Valid Air Quality Indicator
Abstract
1. Introduction
2. Materials and Methods
2.1. Daily Air Pollution Data
2.2. Meteorological Data
2.3. Daily Mortality Counts
2.4. Whole Period General Additive Model (GAM)
2.5. Simplified Parametric Poisson Regression
2.6. Moving 5-Year Periods
2.7. Annual Regression Models of NO2 Concentrations on Residuals
3. Results
4. Discussion
- (1)
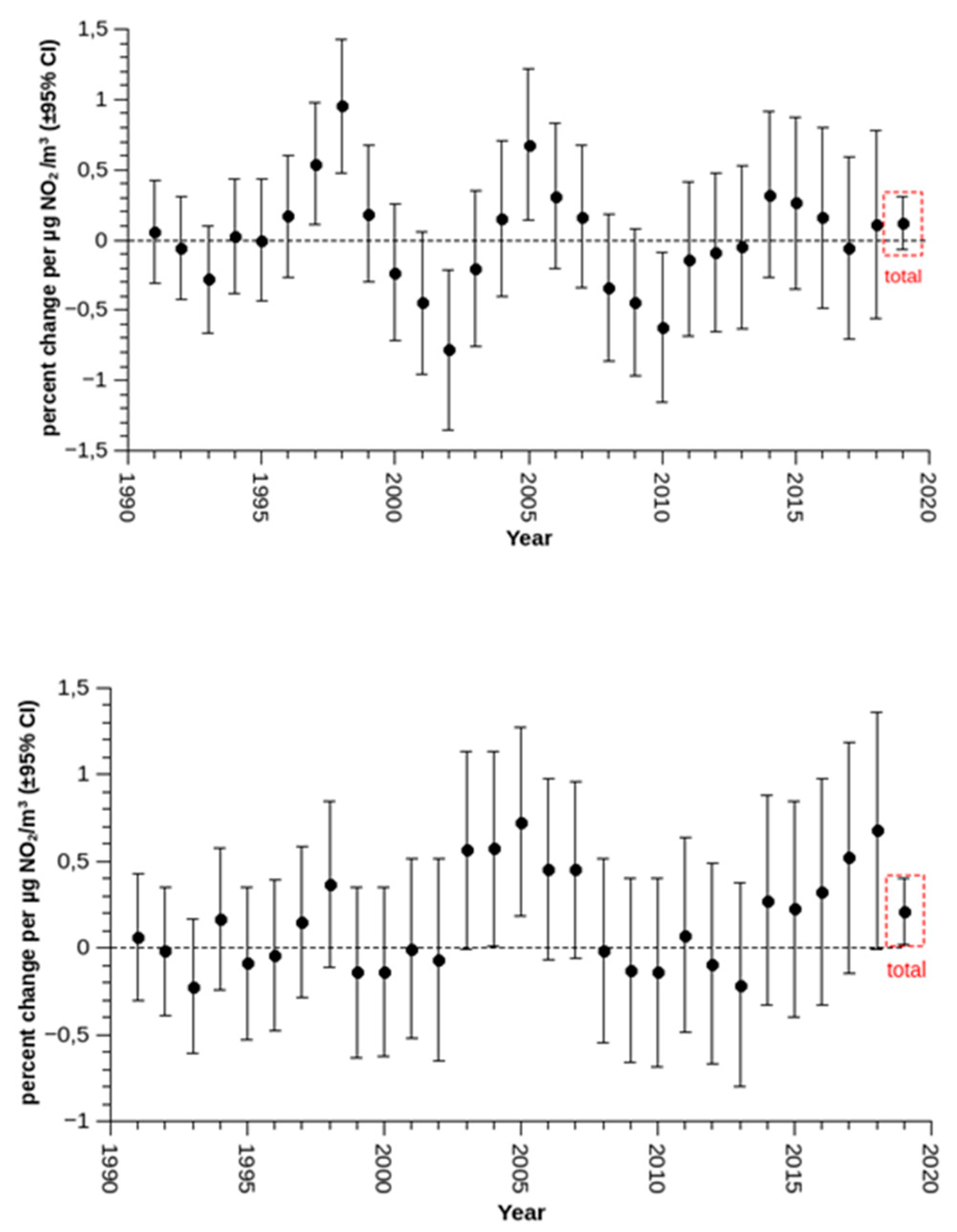
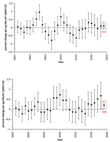
- In the early years, when concentrations were still higher, there might have been a larger variation between stations, rendering the one station BELG less representative of the city-wide exposure. This we checked by examining the annual correlation coefficients between BELG and selected stations in other regions of Vienna. Indeed, the correlation coefficients between BELG and the four other closely correlated stations (STEF, TAB, GAUD, and AKH) increased over time. However, the increase was most prominent in the first years and leveled-off after the millennium (Figure 1). This cannot explain the increase in the effect estimates in the last decade;
- (2)
- The observation might simply be a result of a non-linear relationship between concentration and risk with a kind of saturation effect at higher concentrations. Indeed, a spline function for NO2 in the GAM does display a convex form with a very broad confidence interval because of a scarcity of observations and no further substantial increase at higher concentrations, but a clear increase at concentrations below about 60 µg/m3 (Figure 5). Instead of concentration–response function being the cause of the observed increase in effect estimates over time, it could just reflect the effect that, in the earlier years with higher ambient concentrations, the effects were also weaker;
- (3)
- If NO2 were causal for the observed increase in deaths and not just a proxy for a more complex pollution mixture, lower concentrations would lead to the longer survival of those people that are more vulnerable to NO2. If, then, in spite of lower concentrations in general, a now-rarer concentration peak occurred, more people would be affected, thus increasing the overall effect estimates;
- (4)
- If, on the other hand, NO2 were just a proxy of a more complex pollution mixture, and if the major source of that pollution mixture had undergone some technological changes reducing NOX emissions, but not the emissions of the other harmful substances, then increasingly lower NO2 concentrations would serve as a proxy of the same amount of pollutants. However, industry lobbyists are claiming the opposite: diesel engines have become substantially cleaner with the new emission standards, with only NOX emissions remaining high or even increasing.
5. Conclusions
Author Contributions
Funding
Conflicts of Interest
References
- Oldenkamp, R.; van Zelm, R.; Huijbregts, M.A.J. Valuing the human health damage caused by the fraud of Volkswagen. Environ. Pollut. 2016, 212, 121–127. [Google Scholar] [CrossRef] [PubMed]
- Holland, S.P.; Mansur, E.T.; Muller, N.Z.; Yates, A.J. Damages and Expected Deaths Due to Excess NOX Emissions from 2009 to 2015 Volkswagen Diesel Vehicles. Environ. Sci. Technol. 2016, 50, 1111–1117. [Google Scholar] [CrossRef] [PubMed]
- Hoekman, S.K. Comment on “Damages and Expected Deaths Due to Excess NOX Emissions from 2009 to 2015 Volkswagen Diesel Vehicles”. Environ. Sci. Technol. 2016, 50, 4135–4136. [Google Scholar] [CrossRef][Green Version]
- Greim, H. Diesel engine emissions: are they no longer tolerable? Arch. Toxicol. 2019, 93, 2483–2490. [Google Scholar] [CrossRef]
- WHO. Review of Evidence on Health Aspects of Air Pollution—REVIHAAP Project: Final Technical Report. 2017. Available online: http://www.euro.who.int/en/health-topics/environment-and-health/air-quality/publications/2013/review-of-evidence-on-health-aspects-of-air-pollution-revihaap-project-final-technical-report (accessed on 16 April 2020).
- Moshammer, H.; Hutter, H.-P.; Neuberger, M. Gas cooking and reduced lung function in school children. Atmos. Environ. 2006, 40, 3349–3354. [Google Scholar] [CrossRef]
- Moshammer, H.; Fletcher, T.; Heinrich, J.; Hoek, G.; Hruba, F.; Pattenden, S.; Rudnai, P.; Slachtova, H.; Speizer, F.E.; Zlotkowska, R.; et al. Gas cooking is associated with small reductions in lung function in children. Eur. Respir. J. 2010, 36, 249–254. [Google Scholar] [CrossRef]
- Anker, S. Diesel-Verbot: Diesel Wird Noch Lange die überlegene Technik Sein. PS WELT. 2017. Available online: https://www.welt.de/motor/article162608894/Warum-Diesel-noch-lange-die-ueberlegene-Technik-sein-wird.html (accessed on 29 April 2020).
- Bartens, W. Sind die Stickoxid-Grenzwerte zu Hoch Oder zu Niedrig? Süddeutsche.de. 2019. Available online: https://www.sueddeutsche.de/gesundheit/feinstaub-stickoxid-grenzwerte-1.4299418 (accessed on 16 April 2020).
- VCÖ: Österreich hat höheren Diesel-Anteil als EU-Schnitt—Mobilität mit Zukunft. Available online: https://www.vcoe.at/news/details/vcoe-oesterreich-hat-hoeheren-diesel-anteil-als-eu-schnitt (accessed on 16 April 2020).
- Neuberger, M.; Rabczenko, D.; Moshammer, H. Extended effects of air pollution on cardiopulmonary mortality in Vienna. Atmos. Environ. 2007, 41, 8549–8556. [Google Scholar] [CrossRef]
- Moshammer, H.; Hutter, H.-P.; Kundi, M. Which metric of ambient ozone to predict daily mortality? Atmos. Environ. 2013, 65, 171–176. [Google Scholar] [CrossRef]
- Neuberger, M.; Moshammer, H.; Rabczenko, D. Acute and subacute effects of urban air pollution on cardiopulmonary emergencies and mortality: time series studies in Austrian cities. Int. J. Environ. Res. Public Health 2013, 10, 4728–4751. [Google Scholar] [CrossRef]
- EEA Data Base. Available online: http://discomap.eea.europa.eu/map/fme/AirQualityExport.htm (accessed on 15 March 2020).
- Zentralanstalt für Meteorologie und Geodynamik, Jahrbuch. Available online: www.zamg.ac.at/cms/de/klima/klimauebersichten/jahrbuch (accessed on 29 April 2020).
- Weitensfelder, L.; Moshammer, H. Evidence of Adaptation to Increasing Temperatures. Int. J. Environ. Res. Public Health 2019, 17, 97. [Google Scholar] [CrossRef]
- Akaike, H. Information Theory and an Extension of the Maximum Likelihood Principle. In Selected Papers of Hirotugu Akaike; Parzen, E., Tanabe, K., Kitagawa, G., Eds.; (Springer Series in Statistics); Springer: New York, NY, USA, 1998; pp. 199–213. [Google Scholar] [CrossRef]
- Poteser, M.; Moshammer, H. Daylight Saving Time Transitions: Impact on Total Mortality. Int. J. Environ. Res. Public Health 2020, 17, 1611. [Google Scholar] [CrossRef] [PubMed]
- STATA Vers. 15.1; Stata Corp: College Station, TX, USA, 2017. [Google Scholar]
- Moshammer, H.; Panholzer, J.; Ulbing, L.; Udvarhelyi, E.; Ebenbauer, B.; Peter, S. Acute Effects of Air Pollution and Noise from Road Traffic in a Panel of Young Healthy Adults. Int. J. Environ. Res. Public Health 2019, 16, 788. [Google Scholar] [CrossRef] [PubMed]
- WHO. Health Risks of Air Pollution in Europe—HRAPIE Project. Recommendations for Concentration–Response Functions for Cost–Benefit Analysis of Particulate Matter, Ozone and Nitrogen Dioxide. 2017. Available online: http://www.euro.who.int/en/health-topics/environment-and-health/air-quality/publications/2013/health-risks-of-air-pollution-in-europe-hrapie-project.-recommendations-for-concentrationresponse-functions-for-costbenefit-analysis-of-particulate-matter,-ozone-and-nitrogen-dioxide (accessed on 16 April 2020).
- Heinrich, J.; Thiering, E.; Rzehak, P.; Krämer, U.; Hochadel, M.; Rauchfuss, K.M.; Gehring, U.; Wichmann, H.-E. Long-term exposure to NO2 and PM10 and all-cause and cause-specific mortality in a prospective cohort of women. Occup. Environ. Med. 2013, 70, 179–186. [Google Scholar] [CrossRef] [PubMed]
- Wooding, D.J.; Ryu, M.H.; Hüls, A.; Lee, A.D.; Lin, D.T.S.; Rider, C.F.; Yuen, A.C.Y.; Carlsten, C. Particle Depletion does not Remediate Acute Effects of Traffic-related Air Pollution and Allergen. A Randomized, Double-Blind Crossover Study. Am. J. Respir. Crit. Care Med. 2019, 200, 565–574. [Google Scholar] [CrossRef] [PubMed]
- Liu, L.; Poon, R.; Chen, L.; Frescura, A.-M.; Montuschi, P.; Ciabattoni, G.; Wheeler, A.; Dales, R. Acute effects of air pollution on pulmonary function, airway inflammation, and oxidative stress in asthmatic children. Environ. Health Perspect. 2009, 117, 668–674. [Google Scholar] [CrossRef] [PubMed]
- Sunyer, J.; Basagaña, X.; Belmonte, J.; Antó, J.M. Effect of nitrogen dioxide and ozone on the risk of dying in patients with severe asthma. Thorax 2002, 57, 687–693. [Google Scholar] [CrossRef]
- Lu, K.; Fuchs, H.; Hofzumahaus, A.; Tan, Z.; Wang, H.; Zhang, L.; Schmitt, S.H.; Rohrer, F.; Bohn, B.; Broch, S.; et al. Fast Photochemistry in Wintertime Haze: Consequences for Pollution Mitigation Strategies. Environ. Sci. Technol. 2019, 53, 10676–10684. [Google Scholar] [CrossRef]
- Huang, X.; Zhang, J.; Luo, B.; Wang, L.; Tang, G.; Liu, Z.; Song, H.; Zhang, W.; Yuan, L.; Wang, Y. Water-soluble ions in PM2.5 during spring haze and dust periods in Chengdu, China: Variations, nitrate formation and potential source areas. Environ. Pollut. 2018, 243, 1740–1749. [Google Scholar] [CrossRef]
- Clark, C.M.; Phelan, J.; Doraiswamy, P.; Buckley, J.; Cajka, J.C.; Dennis, R.L.; Lynch, J.; Nolte, C.G.; Spero, T.L. Atmospheric deposition and exceedances of critical loads from 1800–2025 for the conterminous United States. Ecol. Appl. 2018, 28, 978–1002. [Google Scholar] [CrossRef]
- Lovett, G.M.; Tear, T.H.; Evers, D.C.; Findlay, S.E.G.; Cosby, B.J.; Dunscomb, J.K.; Driscoll, C.T.; Weathers, K.C. Effects of air pollution on ecosystems and biological diversity in the eastern United States. Ann. N. Y. Acad. Sci. 2009, 1162, 99–135. [Google Scholar] [CrossRef]
- Font, A.; Guiseppin, L.; Blangiardo, M.; Ghersi, V.; Fuller, G.W. A tale of two cities: is air pollution improving in Paris and London? Environ. Pollut. 2019, 249, 1–12. [Google Scholar] [CrossRef] [PubMed]
- Cyrys, J.; Wichmann, H.-E.; Rückerl, R.; Peters, A. Low emission zones in Germany: A reliable measure for keeping current air quality standards? Bundesgesundh. Gesundh. Gesundh. 2018, 61, 645–655. [Google Scholar] [CrossRef] [PubMed]
- Harrison, R.M.; Beddows, D.C. Efficacy of Recent Emissions Controls on Road Vehicles in Europe and Implications for Public Health. Sci. Rep. 2017, 7, 1152. [Google Scholar] [CrossRef] [PubMed]





| Station | Operated From | Operated Till | Pearson’s R |
|---|---|---|---|
| BELG | 19.03.1988 | 31.12.2018 | - |
| STEF | 01.01.1990 | 31.12.2018 | 0.8871 |
| TAB | 01.01.1988 | 31.12.2018 | 0.8715 |
| GAUD | 16.03.1988 | 31.12.2018 | 0.8605 |
| AKH | 01.01.1988 | 31.12.2018 1 | 0.8604 |
| LOB | 01.01.1987 | 31.12.2018 2 | 0.5127 |
| LIES | 0.8652 | ||
| ZA | 0.8263 | ||
| KE | 0.7848 | ||
| LAA | 0.7844 | ||
| STAD | 0.7646 | ||
| MBA | 0.7563 | ||
| FLO | 0.7501 | ||
| SCHA | 0.7144 | ||
| HER | 0.6735 | ||
| RINN | 0.6458 | ||
| KEND | 0.6255 | ||
| JAEG | 0.4621 |
| Model | Same Day NO2 | Previous Day NO2 | ||||
|---|---|---|---|---|---|---|
| Estimate | 95% Confidence Interval | Estimate | 95% Confidence Interval | |||
| GAM | 0.33 | 0.15 | 0.51 | 0.52 | 0.35 | 0.70 |
| Poisson | 0.12 | −0.07 | 0.30 | 0.21 | 0.02 | 0.40 |
© 2020 by the authors. Licensee MDPI, Basel, Switzerland. This article is an open access article distributed under the terms and conditions of the Creative Commons Attribution (CC BY) license (http://creativecommons.org/licenses/by/4.0/).
Share and Cite
Moshammer, H.; Poteser, M.; Kundi, M.; Lemmerer, K.; Weitensfelder, L.; Wallner, P.; Hutter, H.-P. Nitrogen-Dioxide Remains a Valid Air Quality Indicator. Int. J. Environ. Res. Public Health 2020, 17, 3733. https://doi.org/10.3390/ijerph17103733
Moshammer H, Poteser M, Kundi M, Lemmerer K, Weitensfelder L, Wallner P, Hutter H-P. Nitrogen-Dioxide Remains a Valid Air Quality Indicator. International Journal of Environmental Research and Public Health. 2020; 17(10):3733. https://doi.org/10.3390/ijerph17103733
Chicago/Turabian StyleMoshammer, Hanns, Michael Poteser, Michael Kundi, Kathrin Lemmerer, Lisbeth Weitensfelder, Peter Wallner, and Hans-Peter Hutter. 2020. "Nitrogen-Dioxide Remains a Valid Air Quality Indicator" International Journal of Environmental Research and Public Health 17, no. 10: 3733. https://doi.org/10.3390/ijerph17103733
APA StyleMoshammer, H., Poteser, M., Kundi, M., Lemmerer, K., Weitensfelder, L., Wallner, P., & Hutter, H.-P. (2020). Nitrogen-Dioxide Remains a Valid Air Quality Indicator. International Journal of Environmental Research and Public Health, 17(10), 3733. https://doi.org/10.3390/ijerph17103733

