Stunting and Physical Fitness. The Peruvian Health and Optimist Growth Study
Abstract
1. Introduction
2. Materials and Methods
2.1. Design and Participants
2.2. Measurements and Tests
2.2.1. Anthropometry
2.2.2. Biological Maturation
2.2.3. Physical Fitness
2.2.4. Stunting
2.3. Data Quality Control
2.4. Statistical Procedures
3. Results
4. Discussion
5. Conclusions
Author Contributions
Funding
Acknowledgments
Conflicts of Interest
References
- De Onis, M.; Branca, F. Childhood stunting: A global perspective. Matern. Child Nutr. 2016, 12, 12–26. [Google Scholar] [CrossRef] [PubMed]
- Hoddinott, J.; Behrman, J.R.; Maluccio, J.A.; Melgar, P.; Quisumbing, A.R.; Ramirez-Zea, M.; Stein, A.D.; Yount, K.M.; Martorell, R. Adult consequences of growth failure in early childhood. Am. J. Clin. Nutr. 2013, 98, 1170–1178. [Google Scholar] [CrossRef] [PubMed]
- Hossain, M.; Choudhury, N.; Abdullah, K.A.B.; Mondal, P.; Jackson, A.A.; Walson, J.; Ahmed, T. Evidence-based approaches to childhood stunting in low and middle income countries: A systematic review. Arch. Dis. Child. 2017, 102, 903–909. [Google Scholar] [CrossRef] [PubMed]
- De Onis, M.; Blössner, M.; Borghi, E. Prevalence and trends of stunting among pre-school children, 1990–2020. Publ. Health Nutr. 2012, 15, 142–148. [Google Scholar] [CrossRef]
- Urke, H.B.; Mittelmark, M.B.; Valdivia, M. Trends in stunting and overweight in Peruvian pre-schoolers from 1991 to 2011: Findings from the Demographic and Health Surveys. Publ. Health Nutr. 2014, 17, 2407–2418. [Google Scholar] [CrossRef]
- Dewey, K.G.; Begum, K. Long-term consequences of stunting in early life. Matern. Child Nutr. 2011, 7, 5–18. [Google Scholar] [CrossRef]
- Ortega, F.; Ruiz, J.; Castillo, M.; Sjöström, M. Physical fitness in childhood and adolescence: A powerful marker of health. Int. J. Obes. 2008, 32, 1–11. [Google Scholar] [CrossRef]
- Galván, M.; Uauy, R.; López-Rodríguez, G.; Kain, J. Association between childhood obesity, cognitive development, physical fitness and social-emotional wellbeing in a transitional economy. Ann. Hum. Biol. 2014, 41, 101–106. [Google Scholar] [CrossRef]
- Eveland-Sayers, B.M.; Farley, R.S.; Fuller, D.K.; Morgan, D.W.; Caputo, J.L. Physical fitness and academic achievement in elementary school children. J. Phys. Act. Health 2009, 6, 99–104. [Google Scholar] [CrossRef]
- Twisk, J.; Kemper, H.; Van Mechelen, W. The relationship between physical fitness and physical activity during adolescence and cardiovascular disease risk factors at adult age. The Amsterdam Growth and Health Longitudinal Study. Int. J. Sports Med. 2002, 23, 8–14. [Google Scholar] [CrossRef]
- Nhantumbo, L.; Ribeiro Maia, J.A.; Dos Santos, F.K.; Jani, I.V.; Gudo, E.S.; Katzmarzyk, P.T.; Prista, A. Nutritional status and its association with physical fitness, physical activity and parasitological indicators in youths from rural Mozambique. Am. J. Hum. Biol. 2013, 25, 516–523. [Google Scholar] [CrossRef] [PubMed]
- Benefice, E. Growth and motor performances of rural Senegalese children. In Physical Fitness and Nutrition During Growth: Studies in Children and Youth in Different Environments; Parizková, J., Hills, A.P., Eds.; Krager Publishers: Basel, Switzerland, 1998; Volume 43, pp. 117–131. [Google Scholar]
- Malina, R.M.; Pena Reyes, M.E.; Tan, S.K.; Little, B.B. Physical fitness of normal, stunted and overweight children 6-13 years in Oaxaca, Mexico. Eur. J. Clin. Nutr. 2011, 65, 826–834. [Google Scholar] [CrossRef] [PubMed]
- Arsenault, J.E.; Mora-Plazas, M.; Forero, Y.; Lopez-Arana, S.; Jáuregui, G.; Baylin, A.; Gordon, P.M.; Villamor, E. Micronutrient and anthropometric status indicators are associated with physical fitness in Colombian schoolchildren. Br. J. Nutr. 2011, 105, 1832–1842. [Google Scholar] [CrossRef] [PubMed]
- Prista, A.; Maia, J.A.R.; Damasceno, A.; Beunen, G. Anthropometric indicators of nutritional status: Implications for fitness, activity, and health in school-age children and adolescents from Maputo, Mozambique. Am. J. Clin. Nutr. 2003, 77, 952–959. [Google Scholar] [CrossRef] [PubMed]
- Gontarev, S.; Kalac, R.; Velickovska, L.A.; Stojmanovska, D.S.; Misovski, A.; Milenkovski, J. Health-related physical fitness of normal, stunted and overweight children aged 6-14 years in Macedonia. Nutr. Hosp. 2018, 35, 1208–1214. [Google Scholar] [CrossRef] [PubMed]
- Armstrong, M.E.G.; Lambert, M.I.; Lambert, E.V. Relationships between different nutritional anthropometric statuses and health-related fitness of South African primary school children. Ann. Hum. Biol. 2017, 44, 208–213. [Google Scholar] [CrossRef]
- Tanner, J.M. Growth as a mirror of the condition of society: Secular trends and class distinctions. Acta Paediatr. Jpn. 1987, 29, 96–103. [Google Scholar] [CrossRef]
- Bustamante, A.; Beunen, G.; Maia, J. Como crecen y se desarrollan los niños y adolescentes en La Merced y San Ramón. In Alcances Para la Educación Física, el Deporte y la Salud; Universidad Nacional de Educación Enrique Guzmán y Valle, La Cantuta: Lima, Perú, 2011; p. 174. [Google Scholar]
- Lohman, T.G.; Roche, A.F.; Martorell, R. Anthropometric Standardization Reference Manual; Human Kinetics Books: Champaign, IL, USA, 1988; Volume 177. [Google Scholar]
- Mirwald, R.; Baxter-Jones, A.; Bailey, D.; Beunen, G. An assessment of maturity from anthropometric measurements. Med. Sci. Sports Exerc. 2002, 34, 689–694. [Google Scholar]
- Council of Europe. Eurofit: Handbook for the Eurofit Tests of Physical Fitness; Council of Europe, Committee for the Development of Sport: Strasbourg, France, 1993. [Google Scholar]
- AAHPERD. Physical Educations, Recreation and Dance. In Health Related Physical Fitness Manual; AAHPERD: Washington, DC, USA, 1980. [Google Scholar]
- Onis, M.; Onyango, A.; Borghi, E.; Siyam, A.; Nishida, C.; Siekmann, J. Development of a WHO growth reference for school-aged children and adolescents. Bull. World Health Organ. 2007, 85, 660–667. [Google Scholar] [CrossRef]
- WHO Multicentre Growth Reference Study Group. WHO Child Growth Standards: Length/Height-for-Age, Weight-for-Age, Weight-for-Length, Weight-for-Height and Body Mass Index-for-Age: Methods and Development; World Health Organization: Geneva, Switzerland, 2006. [Google Scholar]
- World Health Organization. WHO Reference 2007 STATA macro package. Available online: https://www.who.int/childgrowth/software/readme_stata.pdf (accessed on 27 February 2020).
- D’Agostino, R.B.; Belanger, A.; D’Agostino, R.B., Jr. A suggestion for using powerful and informative tests of normality. Am. Stat. 1990, 44, 316–321. [Google Scholar]
- Eveleth, P.; Tanner, J. Worldwide Variation in Human Growth, 2nd ed.; Cambridge University Press: Cambridge, UK, 1990. [Google Scholar]
- Wamani, H.; Åstrøm, A.N.; Peterson, S.; Tumwine, J.K.; Tylleskär, T. Boys are more stunted than girls in sub-Saharan Africa: A meta-analysis of 16 demographic and health surveys. BMC Pediatr. 2007, 7, 17. [Google Scholar] [CrossRef] [PubMed]
- Khatun, M.; Stenlund, H.; Hörnell, A. BRAC initiative towards promoting gender and social equity in health: A longitudinal study of child growth in Matlab, Bangladesh. Publ. Health Nutr. 2004, 7, 1071–1079. [Google Scholar] [CrossRef] [PubMed]
- Acosta, A.M. Analysing success in the fight against malnutrition in Peru. IDS Work. Pap. 2011, 2011, 2–49. [Google Scholar] [CrossRef]
- Huicho, L.; Segura, E.R.; Huayanay-Espinoza, C.A.; de Guzman, J.N.; Restrepo-Mendez, M.C.; Tam, Y.; Barros, A.J.; Victora, C.G. Child health and nutrition in Peru within an antipoverty political agenda: A Countdown to 2015 country case study. Lancet Glob. Health 2016, 4, e414–e426. [Google Scholar] [CrossRef]
- Pomeroy, E.; Stock, J.T.; Stanojevic, S.; Miranda, J.J.; Cole, T.J.; Wells, J.C. Stunting, adiposity, and the individual-level “dual burden” among urban lowland and rural highland peruvian children. Am. J. Hum. Biol. 2014, 26, 481–490. [Google Scholar] [CrossRef] [PubMed]
- Cossio-Bolanos, M.; Campos, R.G.; Andruske, C.L.; Flores, A.V.; Luarte-Rocha, C.; Olivares, P.R.; Garcia-Rubio, J.; de Arruda, M. Physical Growth, Biological Age, and Nutritional Transitions of Adolescents Living at Moderate Altitudes in Peru. Int. J. Env. Res. Publ. Health 2015, 12, 12082–12094. [Google Scholar] [CrossRef]
- Frisancho, A.R. Human growth and development among high-altitude populations. In The Biology of High Altitude Peoples; Baker, P.T., Ed.; Cambridge University Press: New York, NY, USA, 1978; pp. 117–171. [Google Scholar]
- Beall, C.M.; Baker, P.T.; Baker, T.S.; Haas, J.D. The effects of high altitude on adolescent growth in southern Peruvian Amerindians. Hum. Biol. 1977, 49, 109–124. [Google Scholar]
- Cossio-Bolaños, M.; de Arruda, M.; Núñez Álvarez, V.; Lancho Alonso, J. Efectos de la altitud sobre el crecimiento físico en niños y adolescentes. Rev. Med. Deport. 2011, 4, 71–76. [Google Scholar]
- Banco Mundial. Perú Panorama General. Available online: https://www.bancomundial.org/es/country/peru/overview#1 (accessed on 9 May 2020).
- Seefeldt, V.; Haubenstricker, J. Patterns, phases, or stages: An analytical model for the study of developmental movement. In The Development of Movement Control and Coordination; Kelso, J.A.S., Clark, J.E., Eds.; Wiley: New York, NY, USA, 1982; pp. 309–318. [Google Scholar]
- Malina, R.M.; Bouchard, C.; Bar-Or, O. Growth, Maturation, and Physical Activity; Human Kinetics: Champaign, IL, USA, 2004. [Google Scholar]
- Bustamante Valdivia, A.; Maia, J.; Nevill, A. Identifying the ideal body size and shape characteristics associated with children’s physical performance tests in Peru. Scand. J. Med. Sci. Sports 2015, 25, e155–e165. [Google Scholar] [CrossRef]
- Tambalis, K.; Panagiotakos, D.; Psarra, G.; Sidossis, L. Prevalence, trends and risk factors of thinness among Greek children and adolescents. Int. J. Prev. Med. 2019, 60, E386. [Google Scholar]
- Abdelkarim, O.; Ammar, A.; Trabelsi, K.; Cthourou, H.; Jekauc, D.; Irandoust, K.; Taheri, M.; Bös, K.; Woll, A.; Bragazzi, N.L. Prevalence of Underweight and Overweight and Its Association with Physical Fitness in Egyptian Schoolchildren. Int. J. Env. Res. Publ. Health 2020, 17, 75. [Google Scholar] [CrossRef] [PubMed]



| Age(y)† | Sea-Level (Barranco) | Amazon region (La Merced and San Ramon) | High-Altitude (Junín) | All Areas | |||||
|---|---|---|---|---|---|---|---|---|---|
| Girls | Normal | Stunted (%) | Normal | Stunted (%) | Normal | Stunted (%) | Normal | Stunted (%) | |
| 6 | 102 | 2 (1.8) | 159 | 18 (10.2) | 50 | 0 (0.0) | 311 | 20 (6.0) | |
| 7 | 74 | 0 (0.0) | 155 | 5 (3.1) | 78 | 4 (4.9) | 307 | 9 (2.8) | |
| 8 | 82 | 5 (5.7) | 224 | 14 (5.9) | 70 | 0 (0.0) | 376 | 19 (4.8) | |
| 9 | 121 | 5 (4.0) | 201 | 15 (6.9) | 85 | 7 (7.6) | 407 | 27 (6.2) | |
| 10 | 95 | 4 (4.0) | 244 | 44 (15.3) | 85 | 9 (9.6) | 424 | 57 (11.9) | |
| 11 | 141 | 2 (1.4) | 214 | 28 (11.6) | 97 | 15 (13.4) | 452 | 45 (9.1) | |
| 12 | 115 | 0 (0.0) | 280 | 40 (12.5) | 171 | 20 (10.5) | 566 | 60 (9.6) | |
| 13 | 88 | 1 (1.1) | 268 | 23 (7.9) | 91 | 21 (18.8) | 447 | 45 (9.1) | |
| 14 | 138 | 11 (7.4) | 210 | 39 (15.7) | 122 | 29 (19.2) | 470 | 79 (14.4) | |
| 15 | 78 | 13 (14.3) | 69 | 24 (25.8) | 71 | 12 (14.5) | 218 | 49 (18.4) | |
| Total | 1034 | 43 (4.0) | 2024 | 250 (11.0) | 920 | 117 (11.3) | 3978 | 410 (9.3) | |
| Normal | Stunted (%) | Normal | Stunted (%) | Normal | Stunted (%) | Normal | Stunted (%) | ||
| 6 | 44 | 0 (0.0) | 133 | 21 (13.6) | 57 | 3 (5.0) | 234 | 24 (9.3) | |
| 7 | 28 | 0 (0.0) | 218 | 23 (9.5) | 59 | 1 (1.7) | 305 | 24 (7.3) | |
| 8 | 36 | 0 (0.0) | 182 | 37 (16.9) | 80 | 4 (4.8) | 298 | 41 (12.1) | |
| 9 | 42 | 1 (2.3) | 231 | 16 (6.5) | 105 | 5 (4.5) | 378 | 22 (5.5) | |
| Boys | 10 | 39 | 3 (7.1) | 217 | 30 (12.1) | 96 | 9 (8.6) | 352 | 42 (10.7) |
| 11 | 78 | 4 (4.9) | 219 | 30 (12.0) | 69 | 11 (13.8) | 366 | 45 (10.9) | |
| 12 | 99 | 3 (2.9) | 156 | 36 (18.8) | 120 | 9 (7.0) | 375 | 48 (11.3) | |
| 13 | 32 | 0 (0.0) | 138 | 39 (22.0) | 103 | 33 (24.3) | 273 | 72 (20.9) | |
| 14 | 71 | 2 (2.7) | 128 | 34 (21.0) | 107 | 39 (26.7) | 306 | 75 (19.7) | |
| 15 | 75 | 10 (11.8) | 78 | 18 (18.8) | 56 | 13 (18.8) | 209 | 41 (16.4) | |
| Total | 544 | 23 (4.1) | 1700 | 284 (14.3) | 852 | 127 (13.0) | 3096 | 434 (12.3) | |
| Height (cm) | ||||||||
|---|---|---|---|---|---|---|---|---|
| Girls | Boys | |||||||
| Age (y) | Normal | Stunted | F | Dif | Normal | Stunted | F | Dif |
| 6 | 113.3 ± 0.3 | 101.6 ± 1.1 | 101.23 | 11.7 * | 114.0 ± 0.3 | 103.4 ± 1.1 | 91.09 | 10.6 * |
| 7 | 118.4 ± 0.3 | 108.9 ± 1.7 | 31.66 | 9.5 * | 119.5 ± 0.3 | 109.5 ± 1.1 | 81.73 | 10.0 * |
| 8 | 124.5 ± 0.3 | 112.6 ± 1.2 | 101.18 | 11.9 * | 124.1 ± 0.3 | 113.0 ± 0.8 | 164.11 | 11.1 * |
| 9 | 130.0 ± 0.2 | 118.4 ± 1.0 | 134.30 | 11.6 * | 129.1 ± 0.3 | 117.1 ± 1.1 | 111.63 | 12.0 * |
| 10 | 136.4 ± 0.2 | 123.9 ± 0.7 | 309.88 | 12.5 * | 133.2 ± 0.3 | 122.7 ± 0.8 | 154.13 | 10.5 * |
| 11 | 142.7 ± 0.2 | 128.7 ± 0.7 | 313.31 | 14.0 * | 139.2 ± 0.3 | 126.9 ± 0.8 | 222.67 | 12.3 * |
| 12 | 147.0 ± 0.2 | 134.1 ± 0.7 | 356.82 | 12.9 * | 145.2 ± 0.3 | 132.1 ± 0.7 | 270.17 | 13.1 * |
| 13 | 150.7 ± 0.2 | 140.9 ± 0.8 | 156.24 | 9.8 * | 152.1 ± 0.3 | 137.6 ± 0.6 | 448.21 | 14.5 * |
| 14 | 152.2 ± 0.2 | 142.7 ± 0.6 | 240.42 | 9.5 * | 158.0 ± 0.3 | 144.7 ± 0.6 | 392.70 | 13.3 * |
| 15 | 153.9 ± 0.3 | 144.8 ± 0.7 | 132.72 | 9.1 * | 161.0 ± 0.4 | 148.8 ± 0.8 | 188.80 | 12.2 * |
| Two-Factor ANOVA Model Results | ||||||||
| Age | F(9, 4366) = 894.06, p < 0.01, η2 = 0.65 | F(9, 3508) = 1206.54, p < 0.01, η2 = 0.76 | ||||||
| Stunted | F(1, 4366) = 1277.20, p < 0.01, η2 = 0.23 | F(9, 3508) = 1206.54, p < 0.01, η2 = 0.76 | ||||||
| Age by Stunted | F (9, 4366) = 4.50, p < 0.01, η2 = 0.01 | F(9, 3508) = 3.03, p < 0.01, η2 = 0.01 | ||||||
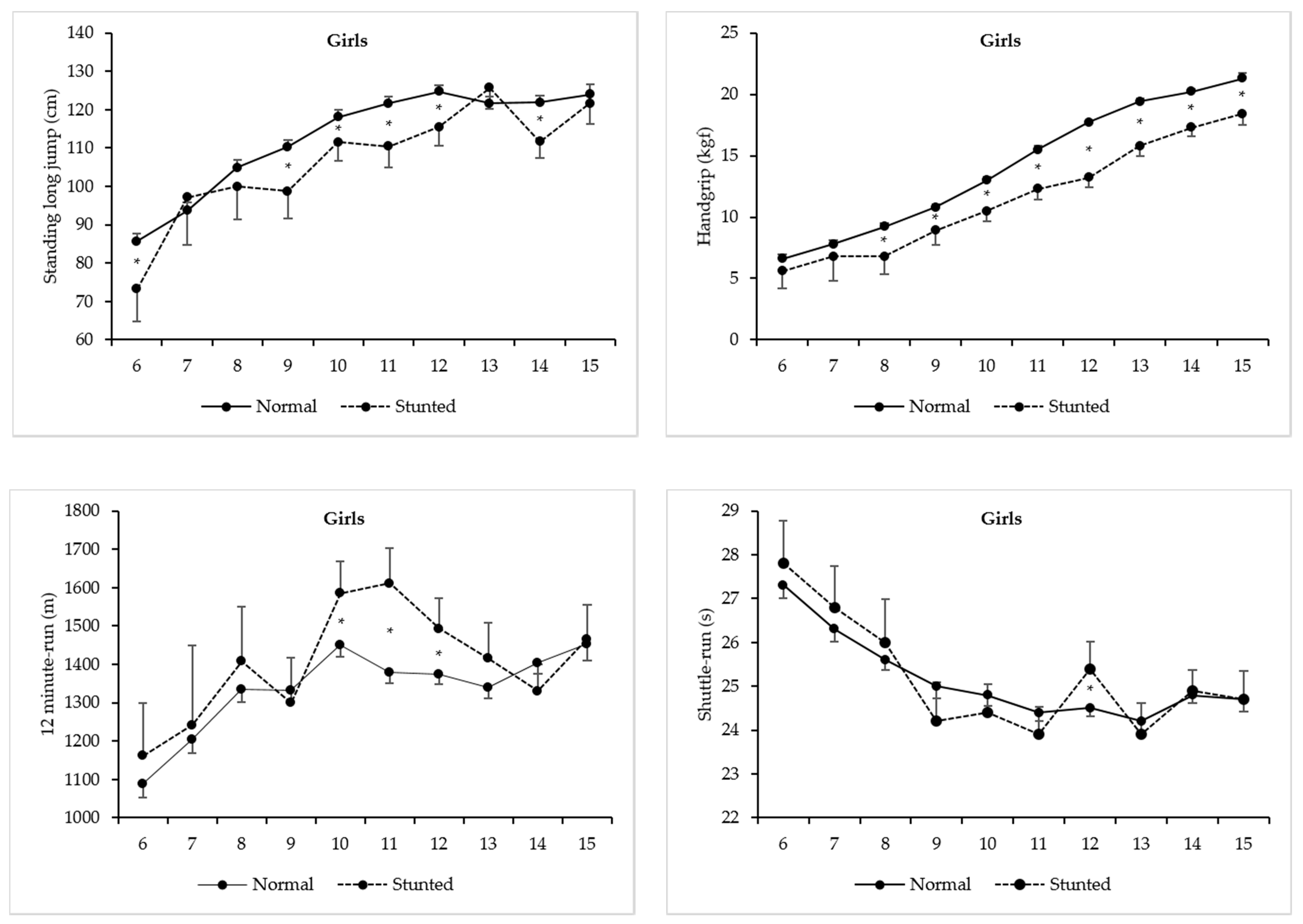
| Age (y) | Handgrip (kgf) | Standing Long Jump (cm) | Shuttle-Run (s) | 12 min run (m) | ||||||||||||
|---|---|---|---|---|---|---|---|---|---|---|---|---|---|---|---|---|
| Normal | Stunted | F | Dif | Normal | Stunted | F | Dif | Normal | Stunted | F | Dif | Normal | Stunted | F | Dif | |
| 6 | 6.6 ± 0.2 | 5.6 ± 0.7 | 2.10 | 1.0 | 85.7 ± 1.1 | 73.2 ± 4.3 | 8.10 | 12.5 * | 27.3 ± 0.1 | 27.8 ± 0.5 | 0.85 | −0.5 | 1087.9 ± 17.9 | 1161.4 ± 70.5 | 1.02 | −73.5 |
| 7 | 7.8 ± 0.2 | 6.8 ± 1.0 | 0.83 | 1.0 | 93.7 ± 1.1 | 97.1 ± 6.3 | 0.27 | −3.4 | 26.3 ± 0.1 | 26.8 ± 0.4 | 6.28 | −0.5 | 1203.8 ± 18.0 | 1242.2 ± 105.0 | 0.13 | −38.4 |
| 8 | 9.2 ± 0.2 | 6.8 ± 0.7 | 11.39 | 2.4 * | 104.9 ± 1.0 | 99.9 ± 4.4 | 1.28 | 5.0 | 25.6 ± 0.1 | 26.0 ± 0.5 | 0.38 | −0.4 | 1334.3 ± 16.3 | 1408.4 ± 72.3 | 1.00 | −74.1 |
| 9 | 10.8 ± 0.2 | 8.9 ± 0.6 | 9.51 | 1.9 * | 110.3 ± 0.9 | 98.7 ± 3.7 | 9.37 | 11.6 * | 25.0 ± 0.1 | 24.2 ± 0.4 | 2.56 | 0.8 | 1332.8 ± 15.6 | 1299.3 ± 60.6 | 0.29 | 33.5 |
| 10 | 13.0 ± 0.1 | 10.5 ± 0.4 | 34.73 | 2.5 * | 118.1 ± 0.9 | 111.5 ± 2.5 | 6.01 | 6.6 * | 24.8 ± 0.1 | 24.4 ± 0.3 | 1.07 | 0.4 | 1449.5 ± 15.3 | 1585.8 ± 41.8 | 9.40 | −136.3 * |
| 11 | 15.5 ± 0.1 | 12.3 ± 0.5 | 45.40 | 3.2 * | 121.6 ± 0.9 | 110.4 ± 2.8 | 14.09 | 11.2 * | 24.4 ± 0.1 | 23.9 ± 0.3 | 2.40 | 0.5 | 1379.8 ± 14.8 | 1610.6 ± 47.0 | 21.91 | −230.8 * |
| 12 | 17.7 ± 0.1 | 13.2 ± 0.4 | 113.59 | 4.5 * | 124.7 ± 0.8 | 115.5 ± 2.5 | 12.76 | 9.2 * | 24.5 ± 0.1 | 25.4 ± 0.3 | 8.42 | −0.9 * | 1375.4 ± 13.3 | 1492.7 ± 40.7 | 7.50 | −117.3 * |
| 13 | 19.4 ± 0.1 | 15.8 ± 0.5 | 53.84 | 3.6 * | 121.6 ± 0.9 | 125.7 ± 2.8 | 1.90 | −4.1 | 24.2 ± 0.1 | 23.9 ± 0.3 | 0.49 | 0.3 | 1339.6 ± 14.9 | 1415.4 ± 47.0 | 2.36 | −75.8 |
| 14 | 20.2 ± 0.1 | 17.3 ± 0.3 | 60.05 | 2.9 * | 121.9 ± 0.9 | 111.6 ± 2.1 | 20.0 | 10.3 * | 24.8 ± 0.1 | 24.9 ± 0.3 | 0.02 | −0.1 | 1402.9 ± 14.5 | 1329.9 ± 35.5 | 3.63 | 73.0 |
| 15 | 21.3 ± 0.2 | 18.4 ± 0.4 | 36.14 | 2.9 * | 124.0 ± 1.3 | 121.6 ± 2.7 | 0.64 | 2.4 | 24.7 ± 0.2 | 24.7 ± 0.3 | 0.02 | 0.0 | 1451.8 ± 21.4 | 1466.5 ± 45.0 | 0.09 | −14.7 |
| Two-Factor ANOVA Model Results | ||||||||||||||||
| Age | F(9, 4366) = 294.43, p < 0.01, η2 = 0.38 | F(9, 4366) = 48.66, p < 0.01, η2 = 0.09 | F(= 9, 4366) = 16.72, p < 0.01, η2 = 0.03 | F(9, 4366) = 14.57, p < 0.01, η2 = 0.03 | ||||||||||||
| Stunted | F(1, 4366) = 181.07, p < 0.01, η2 = 0.04 | F(1, 4366) = 26.57, p < 0.01, η2 = 0.01 | F(1, 4366) = 2.13, p = 0.14, η2 = 0.000 | F(1, 4366) = 11.00, p < 0.01, η2 = 0.003 | ||||||||||||
| Age by Stunted | F(9, 4366) = 3.36, p < 0.01, η2 = 0.01 | F(9, 4366) = 2.99, p < 0.01, η2 = 0.01 | F(9, 4366) = 2.48, p < 0.01, η2 = 0.01 | F(9, 4366) = 3.56, p < 0.01, η2 = 0.01 | ||||||||||||
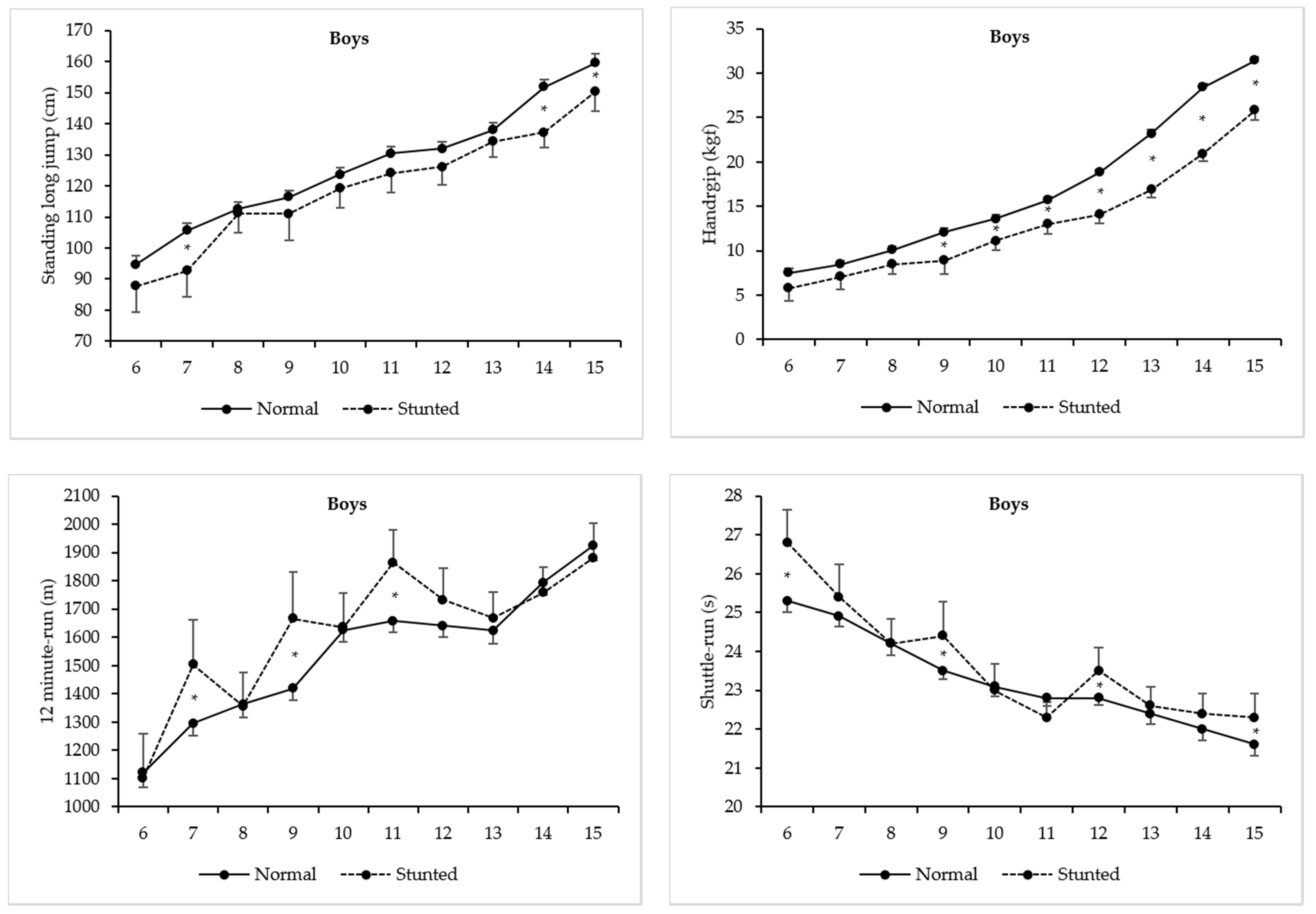
| Age (y) | Handgrip (kgf) | Standing Long Jump (cm) | Shuttle-Run (s) | 12 min run (m) | ||||||||||||
|---|---|---|---|---|---|---|---|---|---|---|---|---|---|---|---|---|
| Normal | Stunted | F | Dif | Normal | Stunted | F | Dif | Normal | Stunted | F | Dif | Normal | Stunted | F | Dif | |
| 6 | 7.5 ± 0.2 | 5.8 ± 0.7 | 5.33 | 1.7 | 94.7 ± 1.4 | 87.8 ± 4.2 | 2.47 | 6.9 | 25.3 ± 0.1 | 26.8 ± 0.4 | 10.63 | −1.5 * | 1120.3 ± 25.9 | 1101.8 ± 80.9 | 0.05 | −18.5 |
| 7 | 8.5 ± 0.2 | 7.1 ± 0.7 | 3.37 | 1.4 | 105.6 ± 1.2 | 92.7 ± 4.2 | 8.67 | 12.9 * | 24.9 ± 0.1 | 25.4 ± 0.4 | 1.05 | −0.5 | 1295.5 ± 22.8 | 1503.0 ± 81.0 | 6.10 | −207.7 * |
| 8 | 10.1 ± 0.2 | 8.5 ± 0.6 | 7.32 | 1.6 | 112.5 ± 1.2 | 111.2 ± 3.2 | 0.13 | 1.3 | 24.2 ± 0.1 | 24.2 ± 0.3 | 0.00 | 0.0 | 1363.0 ± 22.9 | 1355.6 ± 62.0 | 0.01 | 7.4 |
| 9 | 12.1 ± 0.2 | 8.9 ± 0.8 | 17.12 | 3.2 * | 116.4 ± 1.1 | 111.0 ± 4.4 | 1.40 | 5.4 | 23.5 ± 0.1 | 24.4 ± 0.5 | 3.45 | −0.9 * | 1418.7 ± 20.4 | 1666.7 ± 84.4 | 8.16 | −248.0 * |
| 10 | 13.6 ± 0.2 | 11.1 ± 0.6 | 18.57 | 2.5 * | 123.6 ± 1.1 | 119.2 ± 3.2 | 1.73 | 4.4 | 23.1 ± 0.1 | 23.0 ± 0.3 | 0.02 | 0.1 | 1624.8 ± 21.1 | 1635.7 ± 61.1 | 0.03 | −10.9 |
| 11 | 15.7 ± 0.2 | 13.0 ± 0.5 | 23.15 | 2.7 * | 130.4 ± 1.1 | 124.1 ± 3.1 | 3.74 | 6.3 | 22.8 ± 0.1 | 22.3 ± 0.3 | 4.81 | 0.5 | 1658.1 ± 20.7 | 1863.5 ± 59.0 | 10.77 | −205.4 * |
| 12 | 18.8 ± 0.2 | 14.1 ± 0.5 | 71.80 | 4.7 * | 131.9 ± 1.1 | 126.1 ± 3.0 | 3.37 | 5.8 | 22.8 ± 0.1 | 23.5 ± 0.3 | 3.81 | −0.7 * | 1641.0 ± 20.6 | 1731.9 ± 57.2 | 2.23 | −90.9 |
| 13 | 23.2 ± 0.2 | 16.9 ± 0.4 | 176.27 | 6.3 * | 137.9 ± 1.3 | 134.2 ± 2.4 | 1.83 | 3.7 | 22.4 ± 0.1 | 22.6 ± 0.3 | 0.64 | −0.2 | 1623.2 ± 24.0 | 1667.4 ± 46.8 | 0.71 | −44.2 |
| 14 | 28.4 ± 0.2 | 20.9 ± 0.4 | 262.57 | 7.5 * | 151.8 ± 1.2 | 137.1 ± 2.4 | 30.20 | 14.7 * | 22.0 ± 0.1 | 22.4 ± 0.2 | 2.87 | −0.4 | 1793.6 ± 22.7 | 1756.7 ± 45.9 | 0.52 | 36.9 |
| 15 | 31.4 ± 0.3 | 25.8 ± 0.6 | 84.11 | 5.6 * | 159.5 ± 1.4 | 150.3 ± 3.2 | 6.87 | 9.2 * | 21.6 ± 0.2 | 22.3 ± 0.3 | 3.08 | −0.7 * | 1924.5 ± 27.6 | 1881.6 ± 61.9 | 0.40 | 42.9 |
| Two-Factor ANOVA Model Results | ||||||||||||||||
| Age | F(9, 3508) = 571.24, p < 0.01, η2 = 0.59 | F(9, 3508) = 109.14, p < 0.01, η2 = 0.22 | F(9, 3508) = 44.24, p < 0.01, η2 = 0.10 | F(9, 3508) = 40.36, p < 0.01, η2 = 0.09 | ||||||||||||
| Stunted | F(1, 3508) = 351.53, p < 0.01, η2 = 0.09 | F(1, 3508) = 37.81, p < 0.01, η2 = 0.01 | F(1, 3508) = 11.51, p < 0.01, η2 = 0.003 | F(1, 3508) = 10.14, p < 0.01, η2 = 0.003 | ||||||||||||
| Age by stunted | F(9, 3508) = 14.99, p < 0.01, η2 = 0.04 | F(9, 3508) = 2.10, p < 0.01, η2 = 0.01 | F(9, 3508) = 2.43, p < 0.01, η2 = 0.01 | F(9, 3508) = 2.43, p < 0.01, η2 = 0.01 | ||||||||||||
© 2020 by the authors. Licensee MDPI, Basel, Switzerland. This article is an open access article distributed under the terms and conditions of the Creative Commons Attribution (CC BY) license (http://creativecommons.org/licenses/by/4.0/).
Share and Cite
Santos, C.; Bustamante, A.; Vasconcelos, O.; Pereira, S.; Garganta, R.; Tani, G.; Hedeker, D.; Katzmarzyk, P.T.; Maia, J. Stunting and Physical Fitness. The Peruvian Health and Optimist Growth Study. Int. J. Environ. Res. Public Health 2020, 17, 3440. https://doi.org/10.3390/ijerph17103440
Santos C, Bustamante A, Vasconcelos O, Pereira S, Garganta R, Tani G, Hedeker D, Katzmarzyk PT, Maia J. Stunting and Physical Fitness. The Peruvian Health and Optimist Growth Study. International Journal of Environmental Research and Public Health. 2020; 17(10):3440. https://doi.org/10.3390/ijerph17103440
Chicago/Turabian StyleSantos, Carla, Alcibíades Bustamante, Olga Vasconcelos, Sara Pereira, Rui Garganta, Go Tani, Donald Hedeker, Peter T. Katzmarzyk, and José Maia. 2020. "Stunting and Physical Fitness. The Peruvian Health and Optimist Growth Study" International Journal of Environmental Research and Public Health 17, no. 10: 3440. https://doi.org/10.3390/ijerph17103440
APA StyleSantos, C., Bustamante, A., Vasconcelos, O., Pereira, S., Garganta, R., Tani, G., Hedeker, D., Katzmarzyk, P. T., & Maia, J. (2020). Stunting and Physical Fitness. The Peruvian Health and Optimist Growth Study. International Journal of Environmental Research and Public Health, 17(10), 3440. https://doi.org/10.3390/ijerph17103440

