Hydrophobic Organic Pollutants in Soils and Dusts at Electronic Waste Recycling Sites: Occurrence and Possible Impacts of Polybrominated Diphenyl Ethers
Abstract
1. Introduction
2. Materials and Methods
2.1. Study Locations and Sites
2.2. Study Design
2.3. Sample Collection and Preparation
2.4. Chemicals and Materials
2.5. Sample Extraction and Cleanup
2.6. Sample Analysis
2.7. Quality Assurance/Quality Control
2.8. Data Analysis
3. Results
3.1. Physicochemical Characteristics of the Soil and Dust Samples
3.2. PBDE Concentrations at the Various Activity Sites
3.3. Assessment of the Top Soil Samples
3.3.1. Assessment of the Floor Dust Samples
3.3.2. Assessment of the Roadside Dust Samples
3.3.3. Assessment of the Direct Dust Samples
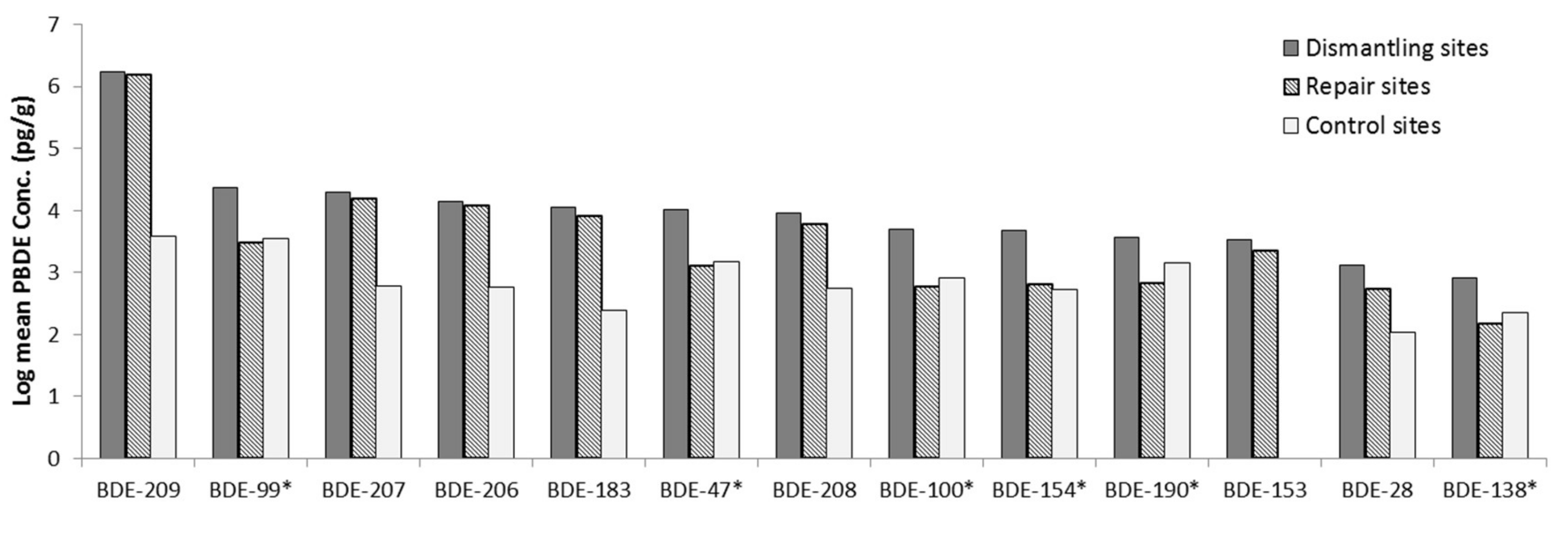
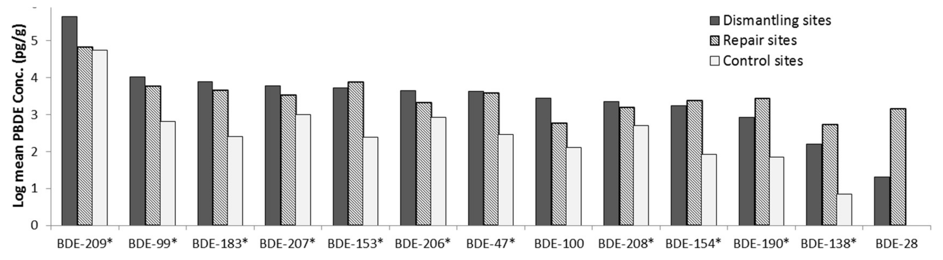
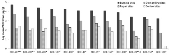
3.4. Patterns in PBDEs Contamination
4. Discussion
4.1. Extent of Pollution As A Result of Informal E-waste Recycling
4.2. Implications of High PBDE Concentrations on Health and Environment
5. Conclusions
Supplementary Materials
Author Contributions
Funding
Acknowledgments
Conflicts of Interest
References
- Baldé, C.P.; Wang, F.; Kuehr, R.; Huisman, J. The Global E-Waste Monitor—2014; United Nations University: Bonn, Germany, 2015; ISBN 978-92-808-4556-3. [Google Scholar]
- Baldé, C.P.; Gray, V.; Forti, V.; Kuehr, R.; Stegmann, P. The Global E-waste Monitor 2017; United Nations University (UNU): Bonn, Germany; International Telecommunication Union (ITU): Geneva, Switzerland; International Solid Waste Association (ISWA): Vienna, Austria, 2017; ISBN 9789280890532. [Google Scholar]
- Cruz, N.F.; Ferreira, S.; Cabral, M.; Simoes, P.; Marques, R.C. Packaging waste recycling in Europe: Is the industry paying for it? Waste Manag. 2014, 34, 298–308. [Google Scholar] [CrossRef] [PubMed]
- United Nations Environmental Programme, Division of Technology I and E, International Environmental Technology. E-Waste Volume I: Inventory Assessment Manual; United Nations Environmental Programme: Osaka, Japan, 2007. [Google Scholar]
- Widmer, R.; Oswald-Krapf, H.; Sinha-Khetriwal, D.; Schnellmann, M.; Böni, H. Global perspectives on e-waste. Environ. Impact Assess. Rev. 2005, 25, 436–458. [Google Scholar] [CrossRef]
- Brigden, K.; Labunska, I.; Santillo, D.; Johnston, P. Chemical Contamination at E-Waste Recycling and Disposal Sites in Accra and Korforidua, Ghana; The Greenpeace Research Laboratories: Exeter, UK, 2008. [Google Scholar]
- Asante, K.A.; Agusa, T.; Biney, C.A.; Agyekum, W.A.; Bello, M.; Otsuka, M.; Itai, T.; Takahashi, S.; Tanabe, S. Multi-trace element levels and arsenic speciation in urine of e-waste recycling workers from Agbogbloshie, Accra in Ghana. Sci. Total Environ. 2012, 424, 63–73. [Google Scholar] [CrossRef] [PubMed]
- National Center for Environmental Assessment, Office of Research and Development, United States Environmental Protection Agency (USEPA). An Exposure Assessment of Polybrominated Diphenyl Ethers; USEPA: Washington DC, USA, 2010. [Google Scholar]
- Kostianoy, A.G.; Boer, De J.; Garrigues, P.; Gu, J.; Jones, K.C.; Knepper, T.; Newton, A.; Sparks, D.L. The Handbook of Environmental Chemistry (Book 16); Damia Barcelo, A.G.K., Ed.; Springer-Verlag: Berlin, German, 2010; ISBN 9783642192685. [Google Scholar]
- Agency for Toxic Substances and Disease Registry (ATSDR); Division of Toxicology/Toxicology Information Branch, United States Environmental Protection. Toxicological Profile for Polybrominated Biphenyls and Polybrominated Diphenyl Ethers; Agency for Toxic Substances and Disease Registry (ATSDR); Division of Toxicology/Toxicology Information Branch, United States Environmental Protection: Atlanta, GA, USA, 2004. [Google Scholar]
- Zheng, X.; Xu, X.; Yekeen, T.A.; Zhang, Y.; Chen, A.; Kim, S.S.; Dietrich, K.N.; Ho, S.M.; Lee, S.A.; Reponen, T.; et al. Ambient air heavy metals in PM2.5 and potential human health risk assessment in an informal electronic-waste recycling site of China. Aerosol. Air Qual. Res. 2016, 16, 388–397. [Google Scholar] [CrossRef]
- Berg van den, M.; Denison, M.S.; Birnbaum, L.S.; Devito, M.J.; Fiedler, H.; Falandysz, J.; Rose, M.; Schrenk, D.; Safe, S.; Tohyama, C.; et al. Polybrominated dibenzo-p-dioxins, dibenzofurans, and biphenyls: Inclusion in the toxicity equivalency factor concept for dioxin-like compounds. Toxicol. Sci. 2013, 133, 197–208. [Google Scholar] [CrossRef] [PubMed]
- Koibuchi, N.; Yen, P.M. (Eds.) Thyroid Hormone Disruption and Neurodevelopment; Springer: New York, NY, USA, 2016; ISBN 978-1-4939-3735-6. [Google Scholar]
- Darnerud, P.O.; Eriksen, G.S.; Johannesson, T.; Larsen, P.B.; Viluksela, M. Polybrominated Diphenyl Ethers: Occurrence, Dietary Exposure, and Toxicology. Environ. Health Perspect. 2001, 109, 49. [Google Scholar] [PubMed]
- Betts, K.S. Unwelcome guest: PBDEs in indoor dust. Environ. Health Perspect. 2008, 116, 202–208. [Google Scholar] [CrossRef]
- La Guardia, M.J.; Hale, R.C.; Harvey, E. Detailed polybrominated diphenyl ether (PBDE) congener composition of the widely used penta-, octa-, and deca-PBDE technical flame-retardant mixtures. Environ. Sci. Technol. 2006, 40, 6247–6254. [Google Scholar] [CrossRef]
- European Union. The European Commission, 2017/227, Amending Annex XVII to Regulation (EC) No 1907/2006 of the European Parliament and of the Council concerning the Registration, Evaluation, Authorisation and Restriction of Chemicals (REACH) as regards bis (pentabromophenyl) ether. 9 February 2017. Off. J. Eur. Union 2017. [Google Scholar]
- United Nations Enviornmental Programme (UNEP). Recommendations of the Persistent Organic Pollutants Review Committee of the Stockholm Convention to amend Annexes A, B or C of the Convention. UNEP/POPS/COP.4/17. In Proceedings of the Stockholm Convention on Persistent Organic Pollutants, Geneva, Switzerland, 4–8 May 2009. [Google Scholar]
- United States Environmental Protection Agency (USEPA). Design for the Environment Furniture Flame Retardancy Partnership: Environmental Profiles of Chemical Flame-Retardant Alternatives for Low-Density Polyurethane Foam; USEPA: Cincinnati, OH, USA, 2005; Volume 1. [Google Scholar]
- Pure Strategies and The Lowell Center for Sustainable Production University of Massachusetts Lowell. Decabromodiphenylether: An Investigation of Non-Halogen Substitutes in Electronic Enclosure and Textile Applications; Lowell Center for Sustainable Production, University of Massachusetts: Lowell MA, USA, 2005. [Google Scholar]
- Pakalin, S.; Cole, T.; Steinkellner, J.; Nicolas, R.; Tissier, C.; Eisenreich, S. Review on Production Processes of Decabromodiphenyl Ether (DecaBDE) Used in Polymeric Applications in Electrical and Electronic Equipment, and Assessment of the Availability of Potential Alternatives to Deca BDE; European Chemicals Bureau Institute of Health and Consumer Protection, Directorate-General, Joint Research Centre ISPRA, European Commission: Italy, Rome, 2007. [Google Scholar]
- Castro-Jiménez, J.; González-Gaya, B.; Pizarro, M.; Casal, P.; Pizarro-Álvarez, C.; Dachs, J. Organophosphate ester flame retardants and plasticizers in the global oceanic atmosphere. Environ. Sci. Technol. 2016, 50, 12831–12839. [Google Scholar] [CrossRef]
- Awasthi, A.K.; Li, J. Management of electrical and electronic waste: A comparative evaluation of China and India. Renew. Sustain. Energy Rev. 2017, 76, 434–447. [Google Scholar] [CrossRef]
- Prakash, S.; Manhart, A. Socio-Economic Assessment and Feasibility Study on Sustainable E-Waste Management in Ghana; Öko-Institut e.V.: Freiburg, Germany, 2010. [Google Scholar]
- Ogungbuyi, O.; Nnorom, I.C.; Osibanjo, O.; Schluep, M. E-Waste Country Assessment Nigeria; E-Waste Africa project of the Secretariat of the Basel Convention; Basel Convention Coordinating Centre, Nigeria, UNEP; EMPA: Dübendorf, Switzerland, 2012. [Google Scholar]
- Leung, A.O.W.; Duzgoren-Aydin, N.S.; Cheung, K.C.; Wong, M.H. Heavy Metals Concentrations of Surface Dust from e-Waste Recycling and Its Human Health Implications in Southeast China. Environ. Sci. Technol. 2008, 42, 2674–2680. [Google Scholar] [CrossRef]
- Ackah, M. Informal E-waste recycling in developing countries: Review of metal(loid)s pollution, environmental impacts and transport pathways. Environ. Sci. Pollut. Res. 2017, 24, 24092–24101. [Google Scholar] [CrossRef] [PubMed]
- Banerjee, A.D.K. Heavy metal levels and solid phase speciation in street dusts of Delhi, India. Environ. Pollut. 2003, 123, 95–105. [Google Scholar] [CrossRef]
- Wuana, R.A.; Okieimen, F.E. Heavy Metals in Contaminated Soils: A Review of Sources, Chemistry, Risks and Best Available Strategies for Remediation. ISRN Ecol. 2011, 2011, 402647. [Google Scholar] [CrossRef]
- Tang, Z.; Huang, Q.; Yang, Y.; Nie, Z.; Cheng, J.; Yang, J.; Wang, Y.; Chai, M. Polybrominated diphenyl ethers (PBDEs) and heavy metals in road dusts from a plastic waste recycling area in north China: Implications for human health. Environ. Sci. Pollut. Res. 2015, 23, 625–637. [Google Scholar] [CrossRef] [PubMed]
- Lu, X.; Zhang, X.; Li, L.Y.; Chen, H. Assessment of metals pollution and health risk in dust from nursery schools in Xi’an, China. Environ. Res. 2014, 128, 27–34. [Google Scholar] [CrossRef] [PubMed]
- Ohajinwa, C.M.; van Bodegom, P.M.; Vijver, M.G.; Peijnenburg, W.J.G.M. Impact of informal electronic waste recycling on metal concentrations in soils and dusts. Environ. Res. 2018, 164, 385–394. [Google Scholar] [CrossRef] [PubMed]
- Osibanjo, O.; Nnorom, I.C. The challenge of electronic waste (e-waste) management in developing countries. Waste Manag. Res. 2007, 25, 489–501. [Google Scholar] [CrossRef]
- Cai, M.G.; Hong, Q.Q.; Wang, Y.; Luo, X.J.; Chen, S.J.; Cai, M.H.; Qiu, C.R.; Huang, S.Y.; Mai, B.X. Deep-Sea Research II Distribution of polybrominated diphenyl ethers and decabromodiphenylethane in surface sediments from the Bering Sea, Chukchi Sea, and Canada Basin. Deep Res. Part II 2012, 81–84, 95–101. [Google Scholar] [CrossRef]
- Kalachova, K.; Hradkova, P.; Lankova, D.; Hajslova, J.; Pulkrabova, J. Science of the Total Environment Occurrence of brominated fl ame retardants in household and car dust from the Czech Republic. Sci. Total Environ. 2012, 441, 182–193. [Google Scholar] [CrossRef] [PubMed]
- United States Environmental Protection Agency (USEPA). USEPA Method 9045D: Soil and Waste pH, Part of Test. Methods for Evaluating Solid Waste, Physical/Chemical Methods; USEPA: Washington, DC, USA, 2004. [Google Scholar]
- Pansu, M.; Gautheyrou, J. Handbook of Soil Analysis, Mineralogical, Organic and Inorganic Methods; Springer: Berlin, Germany, 2006; ISBN 13. [Google Scholar]
- Maya Li Wei-Haas. The Influence of Dissolved Organic Matter on the Fate of Polybrominated Diphenyl Ethers (PBDEs) in the Environment. Ph.D. Thesis, The Ohio State University, Columbus, OH, USA, 2015.
- Zhu, L.; Hites, R.A. Brominated flame retardants in tree bark from North America. Environ. Sci. Technol. 2006, 40, 3711–3716. [Google Scholar] [CrossRef] [PubMed]
- Hakanson, L. An ecological risk index for aquatic pollution control. a sedimentological approach. Water Res. 1980, 14, 975–1001. [Google Scholar] [CrossRef]
- Islam, S.; Ahmed, K.; Masunaga, S. Potential ecological risk of hazardous elements in different land-use urban soils of Bangladesh. Sci. Total Environ. 2015, 512–513, 94–102. [Google Scholar] [CrossRef] [PubMed]
- Nkwunonwo, U.C.; Okeke, F.I. GIS-based production of digital soil map for Nigeria. J. Ethiop. Stud. Environ. Vol. Manag. 2013, 6, 498–506. [Google Scholar] [CrossRef]
- Lundgren, K. The Global Impact of E-Waste: Addressing the Challenge; International Labour Organization: Geneva, Switzerland, 2012; ISBN 9789221268970. [Google Scholar]
- Akortia, E.; Olukunle, O.I.; Daso, A.P.; Okonkwo, J.O. Soil concentrations of polybrominated diphenyl ethers and trace metals from an electronic waste dump site in the Greater Accra Region, Ghana: Implications for human exposure. Ecotoxicol. Environ. Saf. 2017, 137, 247–255. [Google Scholar] [CrossRef]
- Matsukami, H.; Suzuki, G.; Someya, M.; Uchida, N.; Tue, N.M.; Tuyen, L.H.; Viet, P.H.; Takahashi, S.; Tanabe, S.; Takigami, H. Concentrations of polybrominated diphenyl ethers and alternative flame retardants in surface soils and river sediments from an electronic waste-processing area in northern Vietnam, 2012–2014. Chemosphere 2017, 167, 291–299. [Google Scholar] [CrossRef]
- Luo, Q.; Wong, M.H.; Wang, Z.; Cai, Z. Polybrominated diphenyl ethers in combusted residues and soils from an open burning site of electronic wastes. Environ. Earth Sci. 2012, 69, 2633–2641. [Google Scholar] [CrossRef]
- Li, Y.; Duan, Y.P.; Huang, F.; Yang, J.; Xiang, N.; Meng, X.Z.; Chen, L. Polybrominated diphenyl ethers in e-waste: Level and transfer in a typical e-waste recycling site in Shanghai, Eastern China. Waste Manag. 2014, 34, 1059–1065. [Google Scholar] [CrossRef]
- Ohajinwa, C.; Van Bodegom, P.; Vijver, M.; Peijnenburg, W. Health Risks Awareness of Electronic Waste Workers in the Informal Sector in Nigeria. Int. J. Environ. Res. Public Health 2017, 14, 911. [Google Scholar] [CrossRef]
- Ohajinwa, C.M.; van Bodegom, P.M.; Vijver, M.G.; Olumide, A.O.; Osibanjo, O.; Peijnenburg, W.J.G.M. Prevalence and injury patterns among electronic waste workers in the informal sector in Nigeria. Inj. Prev. 2017, 24, 185–192. [Google Scholar] [CrossRef] [PubMed]
- Morf, L.S.; Tremp, J.; Gloor, R.; Huber, Y.; Stengele, M.; Zennegg, M. Brominated Flame Retardants in Waste Electrical and Electronic Equipment: Substance Flows in a Recycling Plant. Environ. Sci. Technol. 2005, 39, 8691–8699. [Google Scholar] [CrossRef] [PubMed]
- Cetin, B. Soil concentrations and source apportionment of polybrominated diphenyl ethers (PBDEs) and trace elements around a heavily industrialized area in Kocaeli, Turkey. Environ. Sci. Pollut. Res. 2014, 21, 8284–8293. [Google Scholar] [CrossRef] [PubMed]
- Li, W.-L.; Ma, W.-L.; Jia, H.-L.; Hong, W.-J.; Moon, H.-B.; Nakata, H.; Minh, N.H.; Sinha, R.K.; Chi, K.H.; Kannan, K.; et al. Polybrominated Diphenyl Ethers (PBDEs) in Surface Soils across Five Asian Countries: Levels, Spatial Distribution, and Source Contribution. Environ. Sci. Technol. 2016, 50, 12779–12788. [Google Scholar] [CrossRef]
- Alabi, O.A.; Bakare, A.A.; Xu, X.; Li, B.; Zhang, Y.; Huo, X. Comparative evaluation of environmental contamination and DNA damage induced by electronic-waste in Nigeria and China. Sci. Total Environ. 2012, 423, 62–72. [Google Scholar] [CrossRef] [PubMed]
- Takigami, H.; Suzuki, G.; Hirai, Y.; Sakai, S. Transfer of brominated flame retardants from components into dust inside television cabinets. Chemosphere 2008, 73, 161–169. [Google Scholar] [CrossRef] [PubMed]
- Katima, Z.; Okonkwo, J.O.; Daso, A.P. A review of brominated flame retardants in the environment with emphasis on atmospheric levels, knowledge and information gaps in the African continent. Atmos. Pollut. Res. 2017, 8, 767–780. [Google Scholar] [CrossRef]
- Talsness, C.E. Overview of toxicological aspects of polybrominated diphenyl ethers: A flame-retardant additive in several consumer products. Environ. Res. 2008, 108, 158–167. [Google Scholar] [CrossRef]
- Bocio, A.; Llobet, J.M.; Domingo, J.L.; Corbella, J.; Teixidó, A.; Casas, C. Polybrominated diphenyl ethers (PBDEs) in foodstuffs: Human exposure through the diet. J. Agric. Food Chem. 2003, 51, 3191–3195. [Google Scholar] [CrossRef]
- Strandberg, B.; Dodder, N.G.; Basu, I.; Hites, R.A. Concentrations and spatial variations of polybrominated diphenyl ethers and other organohalogen compounds in Great Lakes air. Environ. Sci. Technol. 2001, 35, 1078–1083. [Google Scholar] [CrossRef]
- Zhang, S.; Xu, X.; Wu, Y.; Ge, J.; Li, W.; Huo, X. Polybrominated diphenyl ethers in residential and agricultural soils from an electronic waste polluted region in South China: Distribution, compositional profile, and sources. Chemosphere 2014, 102, 55–60. [Google Scholar] [CrossRef] [PubMed]
- O’Driscoll, K.; Robinson, J.; Chiang, W.S.; Chen, Y.Y.; Kao, R.C.; Doherty, R. The environmental fate of polybrominated diphenyl ethers (PBDEs) in western Taiwan and coastal waters: Evaluation with a fugacity-based model. Environ. Sci. Pollut. Res. 2016, 23, 13222–13234. [Google Scholar] [CrossRef] [PubMed]
- Pohl, H.R.; McClure, P.; Zaccaria, K.; Llados, F.; Kawa, M.; Citra, M. Toxicological Profile for Polybrominated Biphenyl and Polybrominated Diphenyl Ethers; Agency for Toxic Substances and Disease RegistryDivision of Toxicology and Human Health Sciences: Atlanta, GE, USA, 2017. [Google Scholar]
- Siddiqi, M.A.; Laessig, R.H.; Reed, K.D. Polybrominated diphenyl ethers (PBDEs): New pollutants-old diseases. Clin. Med. Res. 2003, 1, 281–290. [Google Scholar] [CrossRef] [PubMed]
- Fujimori, T.; Takigami, H.; Agusa, T.; Eguchi, A.; Bekki, K.; Yoshida, A.; Terazono, A.; Ballesteros, F.C. Impact of metals in surface matrices from formal and informal electronic-waste recycling around Metro Manila, the Philippines, and intra-Asian comparison. J. Hazard. Mater. 2012, 221–222, 139–146. [Google Scholar] [CrossRef] [PubMed]








| Countries | Units | BDE-209 | Reference |
|---|---|---|---|
| Computer village Nigeria | ng/g dry wt | 583 | This study |
| Alaba international market, Nigeria | ng/g dry wt | 7648± 8369 | |
| Soil at e-waste recycling site, Ghana | ng/g dry wt | 10.6 ± 16.6 | [44] |
| Soils near e-waste recycling site, China | ng/g dry wt | 3400 ± 4200 | [50] |
| Soils near e-waste recycling site South Korea | ng/g dry wt | 8.8 ± 11 | |
| Soils near e-waste recycling site Vietnam | ng/g dry wt | 63 | |
| Guiyu Soils near e-waste recycling site, China | ng/g dry wt | 1157 ± 1131 | [55] |
| Computer village dumpsite soil, Nigeria | ng/g dry wt | 1820 | [51] |
| Alaba international market dumpsite soil, Nigeria | ng/g dry wt | 9800 | |
| Guiyu e-waste dumpsite soil, China | ng/g dry wt | 12,130 |
© 2019 by the authors. Licensee MDPI, Basel, Switzerland. This article is an open access article distributed under the terms and conditions of the Creative Commons Attribution (CC BY) license (http://creativecommons.org/licenses/by/4.0/).
Share and Cite
Ohajinwa, C.M.; Van Bodegom, P.M.; Xie, Q.; Chen, J.; Vijver, M.G.; Osibanjo, O.O.; Peijnenburg, W.J.G.M. Hydrophobic Organic Pollutants in Soils and Dusts at Electronic Waste Recycling Sites: Occurrence and Possible Impacts of Polybrominated Diphenyl Ethers. Int. J. Environ. Res. Public Health 2019, 16, 360. https://doi.org/10.3390/ijerph16030360
Ohajinwa CM, Van Bodegom PM, Xie Q, Chen J, Vijver MG, Osibanjo OO, Peijnenburg WJGM. Hydrophobic Organic Pollutants in Soils and Dusts at Electronic Waste Recycling Sites: Occurrence and Possible Impacts of Polybrominated Diphenyl Ethers. International Journal of Environmental Research and Public Health. 2019; 16(3):360. https://doi.org/10.3390/ijerph16030360
Chicago/Turabian StyleOhajinwa, Chimere May, Peter M. Van Bodegom, Qing Xie, Jingwen Chen, Martina G. Vijver, Oladele O. Osibanjo, and Willie J.G.M. Peijnenburg. 2019. "Hydrophobic Organic Pollutants in Soils and Dusts at Electronic Waste Recycling Sites: Occurrence and Possible Impacts of Polybrominated Diphenyl Ethers" International Journal of Environmental Research and Public Health 16, no. 3: 360. https://doi.org/10.3390/ijerph16030360
APA StyleOhajinwa, C. M., Van Bodegom, P. M., Xie, Q., Chen, J., Vijver, M. G., Osibanjo, O. O., & Peijnenburg, W. J. G. M. (2019). Hydrophobic Organic Pollutants in Soils and Dusts at Electronic Waste Recycling Sites: Occurrence and Possible Impacts of Polybrominated Diphenyl Ethers. International Journal of Environmental Research and Public Health, 16(3), 360. https://doi.org/10.3390/ijerph16030360

