Characteristics of Desertification and Short-Term Effectiveness of Differing Treatments on Shifting Sand Dune Stabilization in an Alpine Rangeland
Abstract
1. Introduction
2. Materials and Methods
2.1. Study Area Description
2.2. Experimental Sampling Design and Analysis
2.3. Data Analysis
3. Results
3.1. Features of Rangeland Desertification
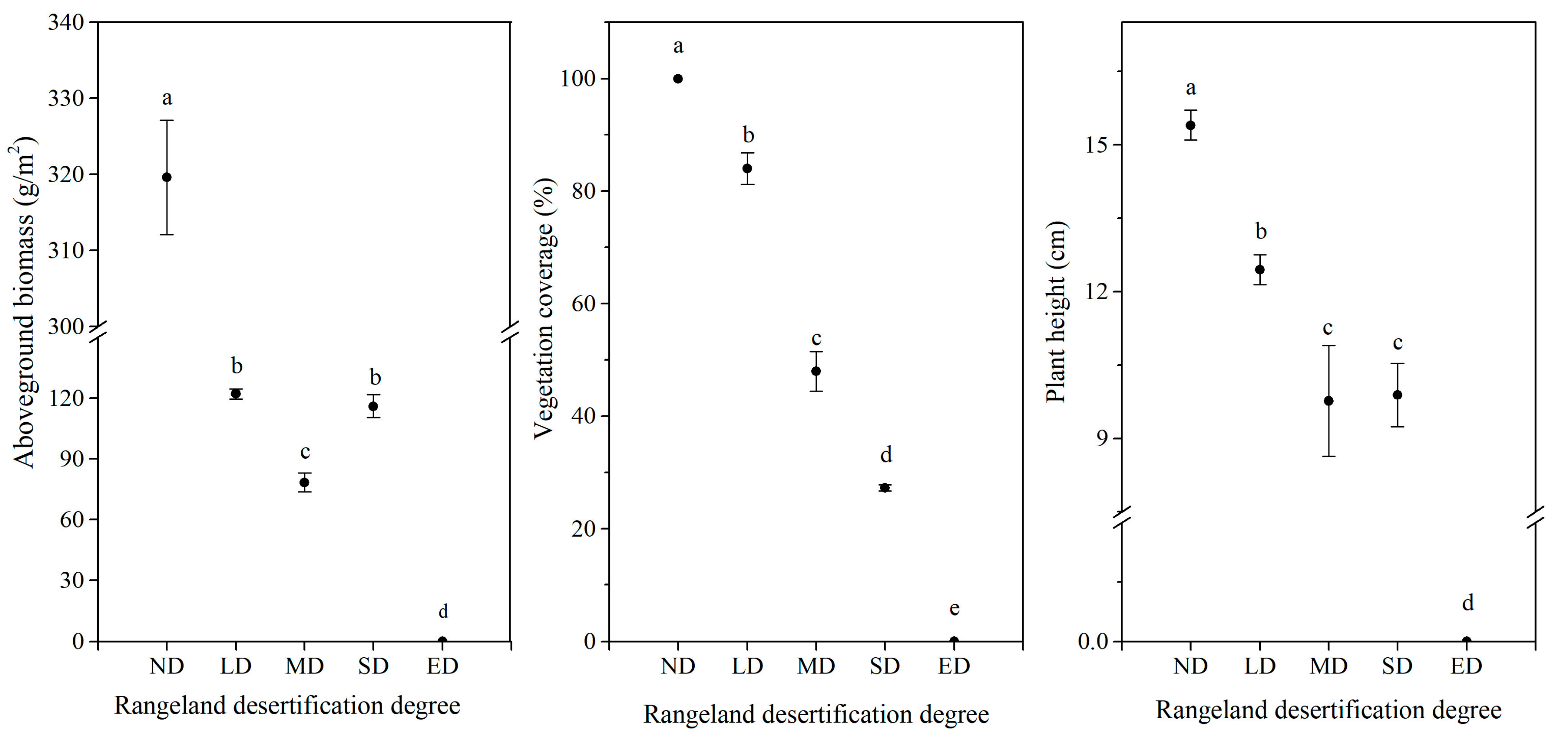
3.1.1. Selected Vegetation Traits under Rangeland Desertification
3.1.2. Characteristics of Soil Particle Size Distributions under Rangeland Desertification
3.1.3. Selected Soil Properties under Rangeland Desertification
3.2. Effectiveness of Treatments on Shifting Sand Dune Stabilization
3.2.1. Selected Vegetation Indexes under Sand Stabilization Treatments
3.2.2. Characteristics of Soil Particle Size Distributions under Sand Stabilization Treatments
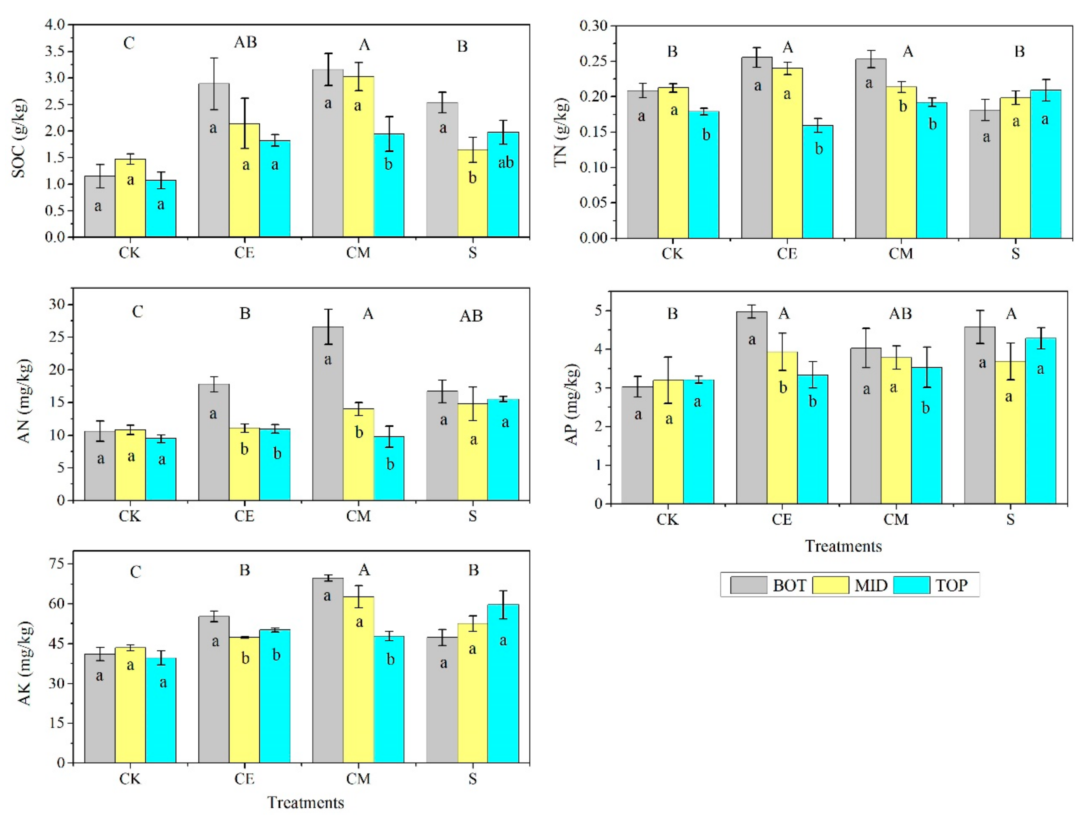
3.2.3. Selected Soil Properties under Sand Fixing Treatments
3.3. Correlations among Soil Properties
4. Discussion
4.1. Characteristics of Rangeland Desertification
4.2. Short-Term Effectiveness of the Treatments on Fixing Mobile Sand Dunes
5. Conclusions
Author Contributions
Funding
Acknowledgments
Conflicts of Interest
Abbreviations
| QTP | Qinghai-Tibet Plateau |
| ND | None desertified rangeland |
| LD | Lightly desertified rangeland |
| MD | Medium desertified rangeland |
| SD | Severely desertified rangeland |
| ED | Extremely desertified rangeland |
| CE | The treatment of checkerboard protection planted with Elymus nutans |
| CM | The treatment of checkerboard protection planted with Medicago sativa |
| S | The treatment of shrub vegetation planting method |
| CK | The treatment of control |
| BD | Soil bulk density |
| SW | Soil water content |
| PSDs | Soil particle size distributions |
References
- Wang, T.; Chang, X.L.; Chen, G.T.; Chen, H.Z.; Chen, L.H.; Gao, Q.Z.; Fan, S.Y.; He, X.D.; Han, Z.W.; Li, B.S.; et al. Dertification and Aeolian Desertification in China; Science Press: Beijing, China, 2011; pp. 12–14. [Google Scholar]
- Wang, T. Aeolian desertification and its control in Northern China. Int. Soil Water Conserv. Res. 2014, 2, 34–41. [Google Scholar]
- Zhang, C.L.; Li, Q.; Shen, Y.P.; Zhou, N.; Wang, X.S.; Li, J.; Jia, W.R. Monitoring of aeolian desertification on the Qinghai-Tibet Plateau from the 1970s to 2015 using Landsat images. Sci. Total Environ. 2018, 619, 1648–1659. [Google Scholar] [CrossRef] [PubMed]
- Li, X.L.; Gao, J.; Brierley, G.; Qiao, Y.M.; Zhang, J.; Yang, Y.W. Rangeland degradation on the Qinghai-Tibet plateau: Implications for rehabilitation. Land Degrad. Dev. 2013, 24, 72–80. [Google Scholar] [CrossRef]
- Costantini, E.A.; Branquinho, C.; Nunes, A.; Schwilch, G.; Stavi, I.; Valdecantos, A.; Zucca, C. Soil indicators to assess the effectiveness of restoration strategies in dryland ecosystems. Solid Earth 2016, 7, 397–414. [Google Scholar] [CrossRef]
- Dong, Z.B.; Hu, G.Y.; Yan, C.Z.; Wang, W.L.; Lu, J.F. Aeolian desertification and its causes in the Zoige Plateau of China’s Qinghai–Tibetan Plateau. Environ Earth Sci. 2010, 59, 1731–1740. [Google Scholar] [CrossRef]
- Dong, Z.B.; Hu, G.Y.; Qian, G.Q.; Lu, J.F.; Zhang, Z.C.; Luo, W.Y.; Lyu, P. High-Altitude Aeolian Research on the Tibetan Plateau. Rev. Geophys. 2017, 55, 864–901. [Google Scholar] [CrossRef]
- Hu, G.Y.; Dong, Z.B.; Lu, J.F.; Yan, C.Z. The developmental trend and influencing factors of aeolian desertification in the Zoige Basin, eastern Qinghai–Tibet Plateau. Aeolian Res. 2015, 19, 275–281. [Google Scholar] [CrossRef]
- Hu, G.Y.; Jin, H.J.; Dong, Z.B.; Lu, J.F.; Yan, C.Z. Driving forces of aeolian desertification in the source region of the Yellow River: 1975–2005. Environ. Earth Sci. 2013, 70, 3245–3254. [Google Scholar] [CrossRef]
- Xie, S.; Qu, J.; Xu, X.; Pang, Y. Interactions between freeze–thaw actions, wind erosion desertification, and permafrost in the Qinghai–Tibet Plateau. Nat. Hazards 2017, 85, 829–850. [Google Scholar] [CrossRef]
- Zhang, T.H.; Zhao, H.L.; Li, S.G.; Li, F.R.; Shirato, Y.; Ohkuro, T.; Taniyama, I. A comparison of different measures for stabilizing moving sand dunes in the Horqin Sandy Land of Inner Mongolia, China. J. Arid Environ. 2004, 58, 203–214. [Google Scholar] [CrossRef]
- Wang, T.; Xue, X.; Zhou, L.; Guo, J. Combating aeolian desertification in northern China. Land Degrad. Dev. 2015, 26, 118–132. [Google Scholar] [CrossRef]
- Tsoar, H. Sand dunes mobility and stability in relation to climate. Physica A 2005, 357, 50–56. [Google Scholar] [CrossRef]
- Liu, Z.M.; Zhao, W.Z. Shifting-sand control in central Tibet. AMBIO 2001, 30, 376–381. [Google Scholar] [PubMed]
- Li, Y.; Cui, J.; Zhang, T.; Okuro, T.; Drake, S. Effectiveness of sand-fixing measures on desert land restoration in Kerqin Sandy Land, northern China. Ecol. Eng. 2009, 35, 118–127. [Google Scholar] [CrossRef]
- Li, X.R.; Xiao, H.L.; Zhang, J.G.; Wang, X.P. Long-term ecosystem effects of sand-binding vegetation in the Tengger Desert, northern China. Restor. Ecol. 2004, 12, 376–390. [Google Scholar] [CrossRef]
- Su, Y.Z.; Zhang, T.H.; Li, Y.L.; Wang, F. Changes in soil properties after establishment of Artemisia halodendron and Caragana microphylla on shifting sand dunes in semiarid Horqin Sandy Land, Northern China. Environ. Manag. 2005, 36, 272–281. [Google Scholar] [CrossRef]
- Zhao, H.L.; Zhou, R.L.; Su, Y.Z.; Zhang, H.; Zhao, L.Y.; Drake, S. Shrub facilitation of desert land restoration in the Horqin Sand Land of Inner Mongolia. Ecol. Eng. 2007, 31, 1–8. [Google Scholar] [CrossRef]
- Li, Y.; Li, Z.; Wang, Z.; Wang, W.; Jia, Y.; Tian, S. Impacts of artificially planted vegetation on the ecological restoration of movable sand dunes in the Mugetan Desert, northeastern Qinghai-Tibet Plateau. Int. J. Sediment Res. 2017, 32, 277–287. [Google Scholar] [CrossRef]
- Zhang, Y.; Zhao, W. Vegetation and soil property response of short-time fencing in temperate desert of the Hexi Corridor, northwestern China. Catena 2015, 133, 43–51. [Google Scholar] [CrossRef]
- Ebrahimi, M.; Khosravi, H.; Rigi, M. Short-term grazing exclusion from heavy livestock rangelands affects vegetation cover and soil properties in natural ecosystems of southeastern Iran. Ecol. Eng. 2016, 95, 10–18. [Google Scholar] [CrossRef]
- Miao, R.; Jiang, D.; Musa, A.; Zhou, Q.; Guo, M.; Wang, Y. Effectiveness of shrub planting and grazing exclusion on degraded sandy grassland restoration in Horqin sandy land in Inner Mongolia. Ecol. Eng. 2015, 74, 164–173. [Google Scholar] [CrossRef]
- Hu, Y.F.; Peng, J.J.; Yuan, S.; Shu, X.Y.; Jiang, S.L.; Pu, Q.; Ma, K.Y.; Yuan, C.M.; Chen, G.D.; Xiao, H.H. Influence of ecological restoration on vegetation and soil microbiological properties in Alpine-cold semi-humid desertified land. Ecol. Eng. 2016, 94, 88–94. [Google Scholar] [CrossRef]
- Mohawesh, Y.; Taimeh, A.; Ziadat, F. Effects of land use changes and soil conservation intervention on soil properties as indicators for land degradation under a Mediterranean climate. Solid Earth 2015, 6, 857–868. [Google Scholar] [CrossRef]
- Hoppe, F.; Kyzy, T.Z.; Usupbaev, A.; Schickhoff, U. Rangeland degradation assessment in Kyrgyzstan: Vegetation and soils as indicators of grazing pressure in Naryn Oblast. J. Mt. Sci. 2016, 13, 1567–1583. [Google Scholar] [CrossRef]
- Pulido, M.; Schnabel, S.; Contador, J.F.L.; Lozano-Parra, J.; Gómez-Gutiérrez, Á. Selecting indicators for assessing soil quality and degradation in rangelands of Extremadura (SW Spain). Ecol. Indic. 2017, 74, 49–61. [Google Scholar] [CrossRef]
- Yuan, Z.Q.; Jiang, X.J.; Liu, G.J.; Jin, H.J.; Chen, J.; Wu, Q.B. Responses of soil organic carbon and nutrient stocks to human-induced grassland degradation in a Tibetan alpine meadow. Catena 2019, 178, 40–48. [Google Scholar] [CrossRef]
- Carpenter, S.R.; Turner, M.G. Hares and tortoises: Interactions of fast and slow variablesin ecosystems. Ecosystems 2000, 3, 495–497. [Google Scholar] [CrossRef]
- Wang, T.; Chang, X.L.; Chen, G.T.; Chen, H.Z.; Chen, L.H.; Gao, Q.Z.; Fan, S.Y.; He, X.D.; Han, Z.W.; Li, B.S.; et al. Dertification and Aeolian Desertification in China; Science Press: Beijing, China, 2011; pp. 121–124. [Google Scholar]
- Belnap, J. Surface disturbances: Their role in accelerating desertification. Environ. Monit. Assess. 1995, 37, 39–57. [Google Scholar] [CrossRef]
- Shirato, Y.; Zhang, T.H.; Ohkuro, T.; Fujiwara, H.; Taniyama, I. Changes in Topographical Features and Soil Properties after Exclosure Combined with Sand-Fixing Measures in Horqin Sandy Land, Northern China. Soil Sci. Plant Nutr. 2005, 51, 61–68. [Google Scholar] [CrossRef]
- Feng, X.; Qu, J.; Tan, L.; Fan, Q.; Niu, Q. Fractal features of sandy soil particle-size distributions during the rangeland desertification process on the eastern Qinghai-Tibet Plateau. J. Soils Sediments 2019, 1–14. [Google Scholar] [CrossRef]
- Wang, X.M.; Lang, L.L.; Yan, P.; Wang, G.T.; Li, H.; Ma, W.Y.; Hua, T. Aeolian processes and their effect on sandy desertification of the Qinghai–Tibet Plateau: A wind tunnel experiment. Soil Tillage Res. 2016, 158, 67–75. [Google Scholar] [CrossRef]
- Yan, Y.C.; Wang, X.; Guo, Z.J.; Chen, J.Q.; Xin, X.P.; Xu, D.W.; Yan, R.R.; Chen, B.R.; Xu, L.J. Influence of wind erosion on dry aggregate size distribution and nutrients in three steppe soils in northern China. Catena 2018, 170, 159–168. [Google Scholar] [CrossRef]
- Su, Y.Z.; Zhao, H.L.; Zhao, W.Z.; Zhang, T.H. Fractal features of soil particle size distribution and the implication for indicating desertification. Geoderma 2004, 122, 43–49. [Google Scholar] [CrossRef]
- Wang, X.; Lang, L.; Hua, T.; Li, H.; Zhang, C.; Ma, W. Effects of aeolian processes on soil nutrient loss in the Gonghe Basin, Qinghai–Tibet Plateau: An experimental study. J. Soils Sediments 2018, 18, 229–238. [Google Scholar] [CrossRef]
- Deng, J.F.; Li, J.H.; Deng, G.; Zhu, H.Y.; Zhang, R.H. Fractal scaling of particle-size distribution and associations with soil properties of Mongolian pine plantations in the Mu Us Desert, China. Sci. Rep. 2017, 7, 6742. [Google Scholar] [CrossRef] [PubMed]
- Jin, Z.; Dong, Y.S.; Qi, Y.C.; Liu, W.G.; An, Z.S. Characterizing variations in soil particle-size distribution along a grass-desert shrub transition in the ordos plateau of Inner Mongolia, China. Land Degrad. Dev. 2013, 24, 141–146. [Google Scholar] [CrossRef]
- Zhao, W.J.; Cui, Z.; Ma, H. Fractal features of soil particle-size distributions and their relationships with soil properties in gravel-mulched fields. Arab. J. Geosci. 2017, 10, 211. [Google Scholar] [CrossRef]
- Liu, X.; Zhang, G.; Heathman, G.C.; Wang, Y.; Huang, C.H. Fractal features of soil particle-size distribution as affected by plant communities in the forested region of Mountain Yimeng, China. Geoderma 2009, 154, 123–130. [Google Scholar] [CrossRef]
- Gao, G.L.; Ding, G.D.; Zhao, Y.Y.; Wu, B.; Zhang, Y.Q.; Qin, S.G.; Bao, Y.F.; Yu, M.H.; Liu, Y.D. Fractal approach to estimating changes in soil properties following the establishment of Caragana korshinskii shelterbelts in Ningxia, NW China. Ecol. Indic. 2014, 43, 236–243. [Google Scholar] [CrossRef]
- Albaladejo, J.; Martinez-Mena, M.; Roldan, A.; Castillo, V. Soil degradation and desertification induced by vegetation removal in a semiarid environment. Soil Use Manag. 1998, 14, 1–5. [Google Scholar] [CrossRef]
- Heuscher, S.A.; Brandt, C.C.; Jardine, P.M. Using soil physical and chemical properties to estimate bulk density. Soil Sci. Soc. Am. J. 2005, 69, 51–56. [Google Scholar]
- Yang, F.; Zhang, G.L.; Yang, J.L.; Li, D.C.; Zhao, Y.G.; Liu, F.; Yang, R.M.; Yang, F. Organic matter controls of soil water retention in an alpine grassland and its significance for hydrological processes. J. Hydrol. 2014, 519, 3086–3093. [Google Scholar] [CrossRef]
- Keller, T.; Håkansson, I. Estimation of reference bulk density from soil particle size distribution and soil organic matter content. Geoderma 2010, 154, 398–406. [Google Scholar] [CrossRef]
- Qiu, G.Y.; Lee, I.B.; Shimizu, H.; Gao, Y.; Ding, G. Principles of sand dune fixation with straw checkerboard technology and its effects on the environment. J. Arid Environ. 2004, 56, 449–464. [Google Scholar] [CrossRef]
- Zhang, J.; Zhang, C.; Zhou, N.; Ma, X. Spatial pattern of grain-size distribution in surface sediments as a result of variations in the aeolian environment in China’s Shapotou railway protective system. Aeolian Res. 2011, 3, 295–302. [Google Scholar] [CrossRef]
- Feng, X.; Li, S.Y.; Xu, X.W. Wind tunnel test on effectiveness of vinyl acetate sand-fixing agents on sand fixation. J. Soil Water Conserv. 2015, 295, 61–65, (In Chinese, abstract in English). [Google Scholar]
- Ohkuro, T.; Nemoto, M. Vegetation and soil restoration process by grazing control at desertified sandy grassland in semi-arid regions of Northeast China. J. Jpn. Inst. Landsc. Archit. 1997, 60, 500. [Google Scholar]
- Li, S.G.; Harazono, Y.; Zhao, H.L.; He, Z.Y.; Chang, X.L.; Zhao, X.Y.; Zhang, T.H.; Oikawa, T. Micrometeorological changes following establishment of artificially established artemisia vegetation on desertified sandy land in the Horqin sandy land, China and their implication on regional environmental change. J. Arid Environ. 2002, 52, 101–119. [Google Scholar] [CrossRef]
- Lancaster, N.; Baas, A. Influence of vegetation cover on sand transport by wind: Field studies at Owens Lake, California. J. Br. Geomorphol. Group 1998, 23, 69–82. [Google Scholar] [CrossRef]





| Abbreviations | Sand Fixing Treatments | Vegetation Types | Vegetation Species | Number of Sand Fixing Years |
|---|---|---|---|---|
| CE | Checkerboard protection planted with herbaceous vegetation | Herb | Elymus nutans | 5 |
| CM | Checkerboard protection planted with herbaceous vegetation | Herb | Medicago sativa | 5 |
| S | Shrub vegetation planting method | Shrub | Salix oritrepha | 5 |
| SOC (g/kg) | TN (g/kg) | AN (mg/kg) | AP (mg/kg) | AK (mg/kg) | BD (g/cm3) | SW (%) | |
|---|---|---|---|---|---|---|---|
| ND | 111.4 ± 3.4 a | 8.17 ± 0.09 a | 936.5 ± 70.9 a | 9.6 ± 2.1 a | 120.0 ± 3.1 a | 0.71 ± 0.03 d | 42.2 ± 2.2 a |
| LD | 23.1 ± 0.8 b | 1.99 ± 0.06 b | 228.7 ± 4.3 b | 6.0 ± 0.2 b | 115.2 ±5.6 a | 1.23 ± 0.01 c | 18.8 ± 0.3 b |
| MD | 6.0 ± 0.4 c | 0.47 ± 0.03 c | 65.7 ± 5.5 c | 4.5 ± 0.2 b | 63.7 ± 2.5 b | 1.38 ± 0.04 b | 6.8 ± 0.5 c |
| SD | 1.6 ± 0.1 c | 0.21 ± 0.01 d | 15.8 ± 0.1 c | 3.4 ± 0.1 b | 45.2 ± 3.3 c | 1.57 ± 0.04 a | 4.1 ± 0.1 c |
| ED | 1.6 ± 0.1 c | 0.17 ± 0 d | 8.8 ± 0.2 c | 2.9 ± 0.5 b | 39.1 ± 1.7 c | 1.64 ± 0.01 a | 3.8 ± 0.2 c |
| Sand Fixing Treatments | Selected Vegetation Indexes | Topographic Locations of Sand Dunes | ||
|---|---|---|---|---|
| BOT | MID | TOP | ||
| CE | Vegetation coverage (%) | 46 ± 0.7 a | 30 ± 1.9 b | 4 ± 0.4 c |
| Plant height (cm) | 35 ± 1.3 a | 25 ± 2.5 b | 22 ± 0.6 b | |
| Aboveground biomass (g/m2) | 71 ± 2.5 a | 30 ± 2.6 b | 6 ± 0.6 c | |
| CM | Vegetation coverage (%) | 47 ± 3.1 a | 30 ± 1.0 b | 6 ± 0.4 c |
| Plant height (cm) | 17 ± 2.1 b | 33 ± 3.0 a | 25 ± 1.8 ab | |
| Aboveground biomass (g/m2) | 79 ± 1.8 a | 32 ± 3.2 b | 7 ± 1.3 c | |
| S | Plant density (Plants/m2) | 0.32 ± 0.02 a | 0.35 ± 0.01 a | 0.30 ± 0.01 a |
| Plant height (cm) | 150 ± 7.1 a | 90 ± 10.6 b | 177 ± 2.5 a | |
| Plant canopy (cm) | 148 ± 13.7 b | 90 ± 9.1 c | 209 ± 5.4 a | |
| Soil Particle Size Classes (μm) | Treatments | Positions of Sand Dunes | |||
|---|---|---|---|---|---|
| BOT | MID | TOP | Mean | ||
| <2 | CK | 1.1 ± 0.0 Cc | 1.4 ± 0.0 Ab | 1.2 ± 0.0 Ba | 1.2 c |
| CE | 1.8 ± 0.1 Aab | 1.7 ± 0.0 Aa | 1.6 ± 0.1 Aa | 1.7 a | |
| CM | 1.9 ± 0.1 Aa | 1.3 ± 0.1 Bb | 1.6 ± 0.2 ABa | 1.6 ab | |
| S | 1.5 ± 0.1 Ab | 1.4 ± 0.1 Ab | 1.3 ± 0.1 Aa | 1.4 bc | |
| Mean | 1.6 A | 1.4 A | 1.4 A | ||
| 2–50 | CK | 4 ± 0.3 Ac | 5 ± 0.3 Ab | 5 ± 0.4 Aa | 4.8 c |
| CE | 9 ± 0.8 Aa | 8 ± 0.5 ABa | 6 ± 0.4 Ba | 7.5 a | |
| CM | 8 ± 0.2 Aa | 5 ± 0.2 Bb | 6 ± 1.0 Ba | 6.3 b | |
| S | 6 ± 0.6 Ab | 5 ± 0.5 Ab | 5 ± 0.4 Aa | 5.5 bc | |
| Mean | 6.8 A | 5.8 B | 5.4 B | ||
| 50–100 | CK | 6 ± 0.5 Ab | 3 ± 1.5 Ab | 4 ± 1.6 Ab | 4.5 b |
| CE | 14 ± 1.4 ABa | 15 ± 2.2 Aa | 9 ± 0.7 Bab | 12.6 a | |
| CM | 16 ± 1.5 Aa | 10 ± 1.5 Ba | 7 ± 1.0 Bb | 11.0 a | |
| S | 12 ± 1.9 Aa | 10 ± 0.7 Aa | 11 ± 1.0 Aa | 11.0 a | |
| Mean | 11.7 A | 9.7 AB | 7.9 B | ||
| 100–250 | CK | 66 ± 1.4 Aa | 65 ± 1.0 Ab | 70 ± 3.6 Aa | 66.8 a |
| CE | 60 ± 1.4 Ca | 65 ± 1.6 Bb | 74 ± 0.4 Aa | 66.5 a | |
| CM | 64 ± 1.1 Ba | 70 ± 0.5 Aa | 73 ± 1.5 Aa | 68.9 a | |
| S | 65 ± 3.3 Aa | 69 ± 0.9 Aa | 71 ± 1.3 Aa | 68.3 a | |
| Mean | 63.6 C | 67.4 B | 71.9 A | ||
| 250–500 | CK | 22 ± 1.1 Aa | 25 ± 2.3 Aa | 20 ± 4.8 Aa | 22.6 a |
| CE | 16 ± 2.2 Aab | 10 ± 1.9 ABb | 9 ± 0.2 Bb | 11.7 b | |
| CM | 11 ± 2.2 Ab | 14 ± 1.4 Ab | 12 ± 1.9 Aab | 12.3 b | |
| S | 16 ± 4.3 Aab | 14 ± 0.9 Ab | 11 ± 1.9 Aab | 13.6 b | |
| Mean | 16.1 A | 15.7 A | 13.4 A | ||
| 250–500 μm | 100–250 μm | 50–100 μm | 2–50 μm | <2 μm | ||||||
|---|---|---|---|---|---|---|---|---|---|---|
| F-Value | p-Value | F-Value | p-Value | F-Value | p-Value | F-Value | p-Value | F-Value | p-Value | |
| T | 13.014 | <0.001 | 1.361 | 0.279 | 19.94 | <0.001 | 15.51 | <0.001 | 12.22 | <0.001 |
| P | 1.465 | 0.251 | 22.87 | <0.001 | 7.8 | 0.002 | 8.31 | 0.002 | 2.94 | 0.072 |
| T × P | 0.865 | 0.534 | 2 | 0.105 | 2.8 | 0.033 | 3.26 | 0.017 | 4.34 | 0.004 |
| SOC | TN | AN | AP | AK | ||||||
|---|---|---|---|---|---|---|---|---|---|---|
| F-Value | p-Value | F-Value | p-Value | F-Value | p-Value | F-Value | p-Value | F-Value | p-Value | |
| T | 14.459 | <0.001 | 3.988 | 0.019 | 11.359 | <0.001 | 4.086 | 0.018 | 24.721 | <0.001 |
| P | 6.626 | 0.005 | 15.775 | <0.001 | 21.894 | <0.001 | 2.414 | 0.111 | 2.211 | 0.131 |
| T × P | 1.889 | 0.124 | 7.300 | <0.001 | 6.989 | <0.001 | 1.227 | 0.327 | 7.711 | <0.001 |
| Sand | Silt | Clay | SOC | TN | AN | AP | AK | BD | SW | |
|---|---|---|---|---|---|---|---|---|---|---|
| Sampling sites under rangeland desertification (n = 5) | ||||||||||
| Sand | 1 | |||||||||
| Silt | −1.00 ** | 1 | ||||||||
| Clay | −1.00 ** | 0.99 ** | 1 | |||||||
| SOC | −0.95 * | 0.95 * | 0.92 * | 1 | ||||||
| TN | −0.96 ** | 0.96 ** | 0.93 * | 1.00 ** | 1 | |||||
| AN | −0.96 ** | 0.97 ** | 0.94 * | 1.00 ** | 1.00 ** | 1 | ||||
| AP | −0.99 ** | 0.99 ** | 0.97 ** | 0.96 ** | 0.97 ** | 0.97 ** | 1 | |||
| AK | −0.92 * | 0.92 * | 0.95 * | 0.76 | 0.78 | 0.79 | 0.90 * | 1 | ||
| BD | 0.98 ** | −0.98 ** | −0.96 * | −0.96 * | −0.96 ** | −0.97 ** | −1.00 ** | −0.89 * | 1 | |
| SW | −0.99 ** | 0.99 ** | 0.98 ** | 0.98 ** | 0.99 ** | 0.99 ** | 0.99 ** | 0.87 | −0.98 ** | 1 |
| Sampling sites under the sand stabilization treatments (n = 12) | ||||||||||
| Sand | 1 | |||||||||
| Silt | −0.99 ** | 1 | ||||||||
| Clay | −0.92 ** | 0.91 ** | 1 | |||||||
| SOC | −0.69 * | 0.69 * | 0.63 * | 1 | ||||||
| TN | −0.64 * | 0.66 * | 0.45 | 0.55 | 1 | |||||
| AN | −0.59 * | 0.57 | 0.56 | 0.75 ** | 0.57 | 1 | ||||
| AP | −0.69 * | 0.69 * | 0.55 | 0.73 ** | 0.47 | 0.61 * | 1 | |||
| AK | −0.41 | 0.42 | 0.44 | 0.81 ** | 0.50 | 0.81 ** | 0.50 | 1 | ||
© 2019 by the authors. Licensee MDPI, Basel, Switzerland. This article is an open access article distributed under the terms and conditions of the Creative Commons Attribution (CC BY) license (http://creativecommons.org/licenses/by/4.0/).
Share and Cite
Feng, X.; Qu, J.; Fan, Q.; Tan, L.; An, Z. Characteristics of Desertification and Short-Term Effectiveness of Differing Treatments on Shifting Sand Dune Stabilization in an Alpine Rangeland. Int. J. Environ. Res. Public Health 2019, 16, 4968. https://doi.org/10.3390/ijerph16244968
Feng X, Qu J, Fan Q, Tan L, An Z. Characteristics of Desertification and Short-Term Effectiveness of Differing Treatments on Shifting Sand Dune Stabilization in an Alpine Rangeland. International Journal of Environmental Research and Public Health. 2019; 16(24):4968. https://doi.org/10.3390/ijerph16244968
Chicago/Turabian StyleFeng, Xiao, Jianjun Qu, Qingbin Fan, Lihai Tan, and Zhishan An. 2019. "Characteristics of Desertification and Short-Term Effectiveness of Differing Treatments on Shifting Sand Dune Stabilization in an Alpine Rangeland" International Journal of Environmental Research and Public Health 16, no. 24: 4968. https://doi.org/10.3390/ijerph16244968
APA StyleFeng, X., Qu, J., Fan, Q., Tan, L., & An, Z. (2019). Characteristics of Desertification and Short-Term Effectiveness of Differing Treatments on Shifting Sand Dune Stabilization in an Alpine Rangeland. International Journal of Environmental Research and Public Health, 16(24), 4968. https://doi.org/10.3390/ijerph16244968
