Assessing the Spatial Distribution of Soil PAHs and their Relationship with Anthropogenic Activities at a National Scale
Abstract
1. Introduction
2. Materials and Methods
2.1. Data Sources and Processing
2.2. Statistical Analysis Method
3. Results
3.1. Characteristics and Spatial Distribution of PAHs in Soils in China
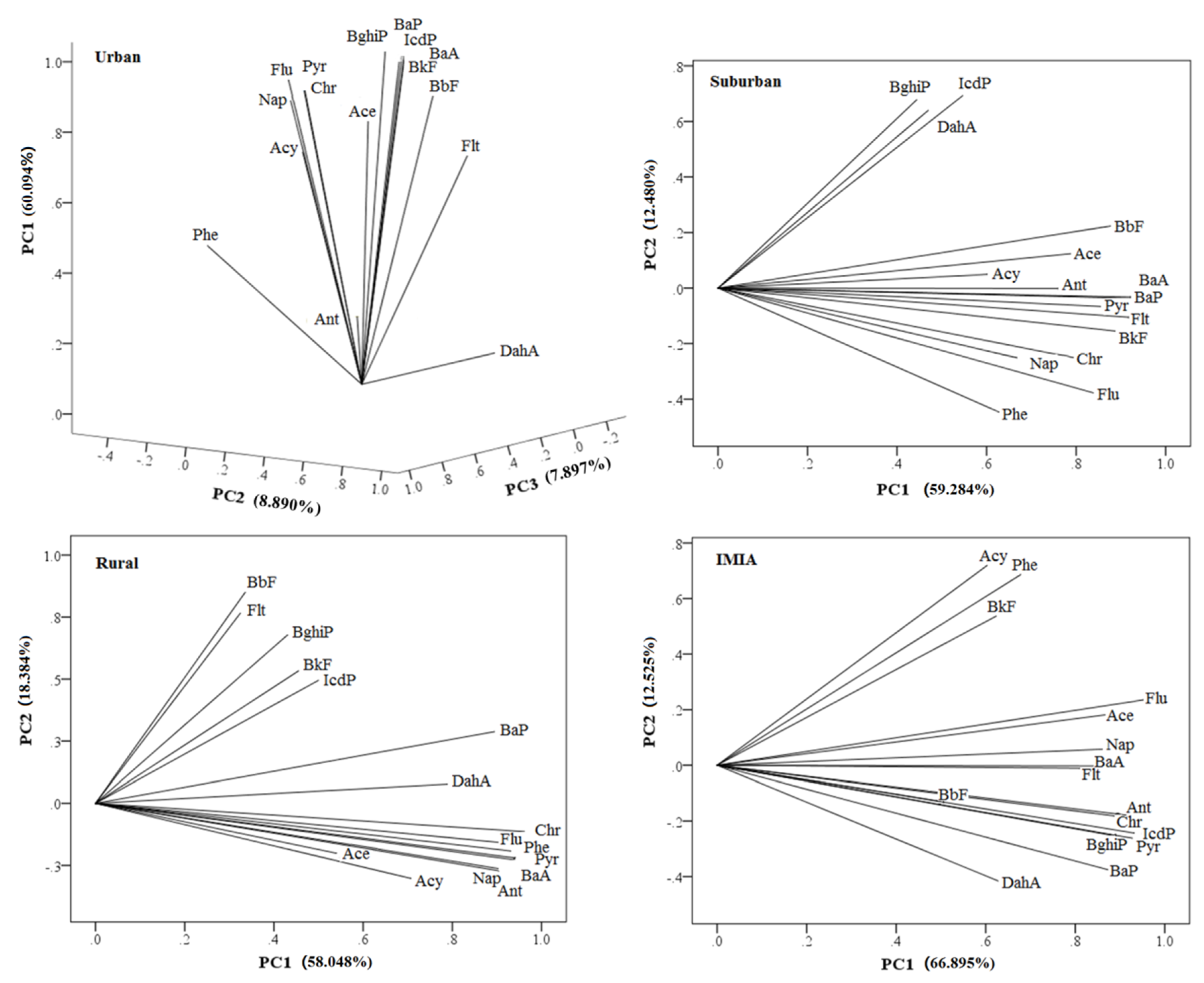
3.2. Determination of the Source of PAHs in Soils via Multiple Approaches
3.3. Relationship between PAHs Contamination and Anthropogenic Activities
4. Discussion
4.1. Status of Surface Soil Contamination with PAHs in China
4.2. Spatial Distribution of Soil PAHs Hot Spot Areas in China
4.3. Anthropogenic Factors Influencing the Presence of Soil PAHs in China
4.4. Limitations and Uncertainty Analysis
5. Conclusions
Supplementary Materials
Author Contributions
Funding
Acknowledgments
Conflicts of Interest
References
- Page, D.; Boehm, P.; Douglas, G.; Bence, A.; Burns, W.; Mankiewicz, P. Pyrogenic polycyclic aromatic hydrocarbons in sediments record past human activity: A case study in Prince William Sound, Alaska. Mar. Pollut. Bull. 1999, 38, 247–260. [Google Scholar] [CrossRef]
- Manariotis, I.D.; Karapanagioti, H.K.; Chrysikopoulos, C.V. Degradation of PAHs by high frequency ultrasound. Water Res. 2011, 45, 2587–2594. [Google Scholar] [CrossRef] [PubMed]
- Wolska, L.; Mechlińska, A.; Rogowska, J.; Namieśnik, J. Sources and fate of PAHs and PCBs in the marine environment. Crit. Rev. Environ. Sci. Technol. 2012, 42, 1172–1189. [Google Scholar] [CrossRef]
- Lasota, J.; Błońska, E. Polycyclic aromatic hydrocarbons content in contaminated forest soils with different humus types. Water Air Soil Pollut. 2018, 229, 204–211. [Google Scholar] [CrossRef] [PubMed]
- Rajpara, R.K.; Dudhagara, D.R.; Bhatt, J.K.; Gosai, H.B.; Dave, B.P. Polycyclic aromatic hydrocarbons (PAHs) at the Gulf of Kutch, Gujarat, India: Occurrence, source apportionment, and toxicity of PAHs as an emerging issue. Mar. Pollut. Bull. 2017, 119, 231–238. [Google Scholar] [CrossRef] [PubMed]
- Tarafdar, A.; Sinha, A. Estimation of decrease in cancer risk by biodegradation of PAHs content from an urban traffic soil. Environ. Sci. Pollut. Res. 2017, 24, 10373–10380. [Google Scholar] [CrossRef]
- Wang, C.; Wu, S.; Zhou, S.; Wang, H.; Li, B.; Chen, H.; Yu, Y.; Shi, Y. Polycyclic aromatic hydrocarbons in soils from urban to rural areas in Nanjing: Concentration, source, spatial distribution, and potential human health risk. Sci. Total Environ. 2015, 527, 375–383. [Google Scholar] [CrossRef]
- Wild, S.R.; Jones, K.C. Polynuclear aromatic hydrocarbons in the United Kingdom environment: A preliminary source inventory and budget. Environ. Pollut. 1995, 88, 91–108. [Google Scholar] [CrossRef]
- Duan, L.; Naidu, R.; Liu, Y.; Dong, Z.; Mallavarapu, M.; Herde, P.; Kuchel, T.; Semple, K.T. Comparison of oral bioavailability of benzo[a]pyrene in soils using rat and swine and the implications for human health risk assessment. Environ. Int. 2016, 94, 95–102. [Google Scholar] [CrossRef]
- Islam, M.N.; Jo, Y.; Chung, S.; Park, J. Assessment of polycyclic aromatic hydrocarbons in school playground aoils in urban Gwangju, South Korea. Arch. Environ. Contam. Toxicol. 2018, 74, 431–441. [Google Scholar] [CrossRef]
- Tarafdar, A.; Oh, M.; Nguyen-Phuong, Q.; Kwon, J. Profiling and potential cancer risk assessment on children exposed to PAHs in playground dust/soil: A comparative study on poured rubber surfaced and classical soil playgrounds in Seoul. Environ. Geochem. Health 2019, 1–14. [Google Scholar] [CrossRef] [PubMed]
- Wang, H.; Zhao, Y.; Muhammad, A.; Liu, C.; Luo, Q.; Wu, H.; Wang, X.; Zheng, X.; Wang, K.; Du, Y. Influence of celery on the remediation of PAHs-contaminated farm soil. Soil Sediment Contam. 2019, 28, 200–212. [Google Scholar] [CrossRef]
- Liu, J.; Liu, Y.J.; Liu, Z.; Zhang, A.; Liu, Y. Source apportionment of soil PAHs and human health exposure risks quantification from sources: The Yulin National Energy and Chemical Industry Base, China as case study. Environ. Geochem. Health 2019, 206, 617–632. [Google Scholar] [CrossRef] [PubMed]
- Song, Y.; Bian, Y.; Wang, F.; Xu, M.; Ni, N.; Yang, X.; Gu, C.; Jiang, X. Dynamic effects of biochar on the bacterial community structure in soil contaminated with polycyclic aromatic hydrocarbons. J. Agric. Food Chem. 2017, 65, 6789–6796. [Google Scholar] [CrossRef]
- Fazeli, G.; Karbassi, A.; Khoramnejadian, S.; Nasrabadi, T. Evaluation of urban soil pollution: a combined approach of toxic metals and polycyclic aromatic hydrocarbons (PAHs). Int J Environ Res. 2019, 13, 801–811. [Google Scholar] [CrossRef]
- Banger, K.; Toor, G.S.; Chirenje, T.; Ma, L. Polycyclic aromatic hydrocarbons in urban soils of different land uses in Miami, Florida. Soil Sediment Contam. 2010, 19, 231–243. [Google Scholar] [CrossRef]
- Ray, S.; Khillare, P.S.; Agarwal, T.; Shridhar, V. Assessment of PAHs in soil around the international airport in Delhi, India. J Hazard Mater. 2008, 156, 9–16. [Google Scholar] [CrossRef]
- Peng, C.; Wang, M.; Chen, W. Spatial Analysis of PAHs in soils along an urban–suburban–rural gradient: Scale effect, distribution patterns, diffusion and influencing factors. Sci. Rep. 2016, 6, 1–10. [Google Scholar] [CrossRef]
- Essumang, D.K.; Kowalski, K.; Sogaard, E.G. Levels, distribution and source characterization of polycyclic aromatic hydrocarbons (PAHs) in topsoils and roadside soils in Esbjerg, Denmark. Bull. Environ. Contam. Toxicol. 2011, 86, 438–443. [Google Scholar] [CrossRef]
- Minkina, T.; Sushkova, S.; Konstantinova, E.; Kumar Yadav, B.; Mandzhieva, S.; Konstantinov, A.; Khoroshavin, V.; Nazarenko, O.; Antonenko, E. Polycyclic aromatic hydrocarbons in urban soils within the different land use: A case study of Tyumen, Russia. Polycycl. Aromat. Compd. 2019, 1040–6638, 1–15. [Google Scholar] [CrossRef]
- Kwon, H.; Choi, S. Polycyclic aromatic hydrocarbons (PAHs) in soils from a multi-industrial city, South Korea. Sci. Total Environ. 2014, 470–471, 1494–1501. [Google Scholar] [CrossRef] [PubMed]
- Kim, L.; Jeon, H.; Kim, Y.; Yang, S.; Choi, H.; Kim, T.; Lee, S. Monitoring polycyclic aromatic hydrocarbon concentrations and distributions in rice paddy soils from Gyeonggi-do, Ulsan, and Pohang. Appl. Biol. Chem. 2019, 62, 18–25. [Google Scholar] [CrossRef]
- Fayeulle, A.; Veignie, E.; Schroll, R.; Munch, J.C.; Rafin, C. PAH biodegradation by telluric saprotrophic fungi isolated from aged PAH-contaminated soils in mineral medium and historically contaminated soil microcosms. J. Soils Sediments 2019, 19, 3056–3067. [Google Scholar] [CrossRef]
- Tarafdar, A.; Sinha, A. Public health risk assessment with bioaccessibility considerations for soil PAHs at oil refinery vicinity areas in India. Sci. Total Environ. 2018, 616–617, 1477–1484. [Google Scholar] [CrossRef]
- Yang, W.; Lang, Y.; Li, G. Cancer risk of polycyclic aromatic hydrocarbons (PAHs) in the soils from Jiaozhou Bay wetland. Chemosphere 2014, 112, 289–295. [Google Scholar] [CrossRef]
- Nam, J.J.; Sweetman, A.J.; Jones, K.C. Polynuclear aromatic hydrocarbons (PAHs) in global background soils. J. Environ. Monit. 2009, 11, 45–48. [Google Scholar] [CrossRef]
- Heywood, E.; Wright, J.; Wienburg, C.L.; Black, H.I.; Long, S.M.; Osborn, D.; Spurgeon, D.J. Factors influencing the national distribution of polycyclic aromatic hydrocarbons and polychlorinated biphenyls in British Soils. Environ. Sci. Technol. 2006, 40, 7629–7635. [Google Scholar] [CrossRef]
- Aichner, B.; Bussian, B.; Lehnik-Habrink, P.; Hein, S. Levels and spatial distribution of persistent organic pollutants in the environment: A case study of German forest soils. Environ. Sci. Technol. 2013, 47, 12703–12714. [Google Scholar] [CrossRef]
- Panagos, P.; Van Liedekerke, M.; Yigini, Y.; Montanarella, L. Contaminated sites in Europe: Review of the current situation based on data collected through a European network. J. Environ. Public Health 2013, 2013, 1–11. [Google Scholar] [CrossRef]
- Jiao, H.; Wang, Q.; Zhao, N.; Jin, B.; Zhuang, X.; Bai, Z. Distributions and sources of polycyclic aromatic hydrocarbons (PAHs) in soils around a chemical plant in Shanxi, China. Int J Environ Res Public Health. 2017, 14, 1198. [Google Scholar] [CrossRef]
- Tsibart, A.S.; Gennadiev, A.N. Polycyclic aromatic hydrocarbons in soils: Sources, behavior, and indication significance (a review). Eurasian Soil Sci. 2013, 46, 728–741. [Google Scholar] [CrossRef]
- Maliszewska-Kordybach, B.; Klimkowicz-Pawlas, A.; Smreczak, B.; Stuczyński, T. Relationship between soil concentrations of PAHs and their regional emission indices. Waterairand Soil Pollut. 2010, 213, 319–330. [Google Scholar] [CrossRef]
- Lu, Y.; Xiang, X.; Zhang, S.; Liu, M.; Wang, J.; Li, S.; Yao, H.; Sun, S. Vertical distribution characteristics of PAHs in soils with different land use types during rapid urbanization. Environ. Sci. 2019, 40, 3369–3377. [Google Scholar]
- Gabov, D.; Beznosikov, V. Polycyclic aromatic hydrocarbons in tundra soils of the Komi Republic. Eurasian Soil Sci. 2014, 47, 18–25. [Google Scholar] [CrossRef]
- Gennadiev, A.N.; Tsibart, A.S. Pyrogenic polycyclic aromatic hydrocarbons in soils of reserved and anthropogenically modified areas: Factors and features of accumulation. Eurasian Soil Sci. 2013, 46, 28–36. [Google Scholar] [CrossRef]
- Teng, Y.; Li, X.; Chen, T.; Zhang, M.; Wang, X.; Li, Z.; Luo, Y. Isolation of the PCB-degrading bacteriaMesorhizobium sp. ZY1 and its combined remediation with Astragalus sinicus L. for contaminated soil. Int. J. Phytoremediation 2014, 18, 141–149. [Google Scholar] [CrossRef]
- Wang, K.; Yang, G.; Wang, Y.; Zhang, T.; Wan, F. A study on soil PAHs spatial distribution Characters of Huizhou city based on GIS. Eco Environ Sci. 2017, 26, 700–707. [Google Scholar] [CrossRef]
- Jin, A.; He, J.; Chen, S.; Huang, G. Distribution and transport of PAHs in soil profiles of different water irrigation areas in Beijing, China. Environ. Sci. Process. Impacts 2014, 16, 1526–1534. [Google Scholar] [CrossRef]
- Liu, J.; Liu, G.; Zhang, J.; Yin, H.; Wang, R. Occurrence and risk assessment of polycyclic aromatic hydrocarbons in soil from the Tiefa coal mine district, Liaoning, China. J. Environ. Monit. 2012, 14, 2634–2642. [Google Scholar] [CrossRef]
- Cao, Y.; Liu, X.; Xie, Y.; Zhang, D.; Li, F. Patterns of PAHs concentrations and components in surface soils of main areas in China. Acta Sci. Circumstantiae 2012, 32, 197–203. [Google Scholar]
- Deng, S.; Wu, Y.; Long, T.; Lin, Y.; Zhu, X. PAHs contamination in the surface soil of china and its sources. J. Ecol. Rural Environ. 2015, 31, 866–875. [Google Scholar]
- Ma, W.; Liu, L.; Tian, C.; Qi, H.; Jia, H.; Song, W.; Li, Y. Polycyclic aromatic hydrocarbons in Chinese surface soil: Occurrence and distribution. Environ. Sci. Pollut. Res. 2015, 22, 4190–4200. [Google Scholar] [CrossRef] [PubMed]
- Maliszewska-Kordybach, B. Polycyclic aromatic hydrocarbons in agricultural soils in Poland: Preliminary proposals for criteria to evaluate the level of soil contamination. Appl. Geochem. 1996, 11, 121–127. [Google Scholar] [CrossRef]
- Zhang, P.; Chen, Y. Polycyclic aromatic hydrocarbons contamination in surface soil of China: A review. Sci. Total Environ. 2017, 605–606, 1011–1020. [Google Scholar] [CrossRef]
- Zhang, J.; Yu, F.; Yu, Y. Content and source apportionment of polycyclic aromatic hydrocarbons in surface soil in major areas of China. Ecol. Environ. Sci. 2017, 26, 1059–1067. [Google Scholar]
- Hood, W.W.; Wilson, C.S. The literature of bibliometrics, scientometrics, and informetrics. Scientometrics 2001, 52, 291–314. [Google Scholar] [CrossRef]
- Han, J.; Liang, Y.; Zhao, B.; Wang, Y.; Xing, F.; Qin, L. Polycyclic aromatic hydrocarbon (PAHs) geographical distribution in China and their source, risk assessment analysis. Environ. Pollut. 2019, 251, 312–327. [Google Scholar] [CrossRef]
- Shang, Q.; Duan, Y.; Xu, L.; Duan, H.; He, J.; Cheng, R.; Wu, M.; Liu, J. Spatial distribution and genesis of polycyclic aromatic hydrocarbons (PAHs) in the surface soil in China. J. Ecol. Rural Environ. 2019, 35, 917–924. [Google Scholar]
- MEP of China (Ministry of Environment Protection of China). National Soil Pollution Survey Bulletin. 2014. Available online: http://www.mee.gov.cn/gkml/sthjbgw/qt/201404/t20140417_270670.htm (accessed on 26 November 2019).
- Kong, S.; Yan, Q.; Zheng, H.; Liu, H.; Wang, W.; Zheng, S.; Yang, G.; Zheng, M.; Wu, J.; Qi, S.; et al. Substantial reductions in ambient PAHs pollution and lives saved as a co-benefit of effective long-term PM2.5 pollution controls. Environ. Int. 2018, 114, 266–279. [Google Scholar] [CrossRef]
- Ma, W.; Liu, L.; Jia, H.; Yang, M.; Li, Y. PAHs in Chinese atmosphere Part I: Concentration, source and temperature dependence. Atmos. Environ. 2018, 173, 330–337. [Google Scholar] [CrossRef]
- Sun, J.; Pan, L.; Tsang, D.C.W.; Zhan, Y.; Zhu, L.; Li, X. Organic contamination and remediation in the agricultural soils of China: A critical review. Sci. Total Environ. 2018, 615, 724–740. [Google Scholar] [CrossRef] [PubMed]
- USEPA. Priority Pollutants. 2013. Available online: http://water.epa.gov/scitech/methods/cwa/pollutants.cfm (accessed on 26 November 2019).
- Zeng, S.; Ma, J.; Yang, Y.; Zhang, S.; Liu, G.; Chen, F. Spatial assessment of farmland soil pollution and its potential human health risks in China. Sci. Total Environ. 2019, 687, 642–653. [Google Scholar] [CrossRef] [PubMed]
- Christen, P.; Gayler, R.W.; Tran, K.N.; Fisher, J.; Watsalan, D. Automatic discovery of abnormal values in large textual databases. J. Data Inf. Qual. 2016, 7, 1–31. [Google Scholar] [CrossRef]
- MNR of China (Ministry of Natural Resources of China). Available online: http://www.mnr.gov.cn/sj/sjfw/td_19262/201808/t20180802_2157598.html (accessed on 26 November 2019).
- NBS of China (National Bureau of Statistics of China). Available online: http://www.stats.gov.cn/tjsj/tjcbw/201907/t20190708_1674727.html (accessed on 26 November 2019).
- Zhang, X.; Chen, D.; Zhong, T.; Zhang, X.; Cheng, M.; Li, X. Assessment of cadmium (Cd) concentration in arable soil in china. Environ. Sci. Pollut. Res. 2015, 22, 4932–4941. [Google Scholar] [CrossRef]
- Zhang, X.; Zhong, T.; Liu, L.; Ouyang, X. Impact of soil heavy metal pollution on food safety in China. PLoS ONE 2015, 10, e0135182. [Google Scholar] [CrossRef]
- Delgado-Baquerizo, M.; Oliverio, A.M.; Brewer, T.E.; Benavent-González, A.; Eldridge, D.J.; Bardgett, R.D.; Maestre, F.T.; Singh, B.K.; Fierer, N. A global atlas of the dominant bacteria found in soil. Science 2018, 359, 320–325. [Google Scholar] [CrossRef]
- Hamid, N.; Syed, J.H.; Junaid, M.; Mahmood, A.; Li, J.; Zhang, G.; Malik, R.N. Elucidating the urban levels, sources and health risks of polycyclic aromatic hydrocarbons (PAHs) in Pakistan: Implications for changing energy demand. Sci. Total Environ. 2018, 619–620, 165–175. [Google Scholar] [CrossRef]
- Tang, Y.M.; Junaid, M.; Niu, A.; Deng, S.; Pei, D.S. Diverse toxicological risks of PAHs in surface water with an impounding level of 175 m in the Three Gorges Reservoir Area, China. Sci. Total Environ. 2016, 580, 1085–1096. [Google Scholar] [CrossRef]
- Bing, Y.; Zhou, L.; Xue, N.; Li, F.; Li, Y.; Vogt, R.D.; Xin, C.; Yan, Y.; Bo, L. Source apportionment of polycyclic aromatic hydrocarbons in soils of Huanghuai Plain, China: Comparison of three receptor models. Sci. Total Environ. 2013, 443, 31–39. [Google Scholar] [CrossRef]
- Slezakova, K.; Castro, D.; Delerue-Matos, C.; Alvim-Ferraz, M.D.C.; Morais, S.; Pereira, M.D.C. Impact of vehicular traffic emissions on particulate-bound PAHs: Levels and associated health risks. Atmos. Res. 2013, 127, 141–147. [Google Scholar] [CrossRef]
- Hamid, N.; Syed, J.H.; Kamal, A.; Aziz, F.; Tanveer, S.; Ali, U.; Cincinelli, A.; Katsoyiannis, A.; Yadav, I.C.; Li, J. A review on the abundance, distribution and eco-biological risks of PAHs in the key environmental matrices of South Asia. Rev. Environ. Contam. Toxicol. 2016, 240, 1–30. [Google Scholar] [CrossRef]
- Tao, Y.; Yao, S.; Xue, B.; Deng, J.; Wang, X.; Feng, M.; Hu, W. Polycyclic aromatic hydrocarbons in surface sediments from drinking water sources of Taihu Lake, China: Sources, partitioning and toxicological risk. J. Environ. Monit. 2010, 12, 2282–2289. [Google Scholar] [CrossRef] [PubMed]
- Larsen, R.K.; Baker, J.E. Source Apportionment of polycyclic aromatic hydrocarbons in the urban atmosphere: A comparison of three methods. Environ. Sci. Technol. 2003, 9, 1873–1881. [Google Scholar] [CrossRef] [PubMed]
- Ahlgren, P.; Jarneving, B.; Rousseau, R. Requirements for a cocitation similarity measure, with special reference to Pearson’s correlation coefficient. J. Am. Soc. Inf. Sci. Technol. 2003, 54, 550–560. [Google Scholar] [CrossRef]
- Adler, J.; Parmryd, I. Quantifying colocalization by correlation: The pearson correlation coefficient is superior to the Mander’s overlap coefficient. Cytom. Part A 2010, 77, 733–742. [Google Scholar] [CrossRef]
- Hua, Z. The influence of soil and petroleum hydrocarbon properties on the efficiency of petroleum contaminated soil remediation by solvent extraction. Ph.D. Thesis, Tianjin University, Tianjin, China, 2013. [Google Scholar]
- Davis, E.; Walker, T.R.; Adams, M.; Willis, R.; Norris, G.A.; Henry, R.C. Source apportionment of polycyclic aromatic hydrocarbons (PAHs) in small craft harbor (SCH) surficial sediments in Nova Scotia, Canada. Sci. Total Environ. 2019, 691, 528–537. [Google Scholar] [CrossRef]
- Yunker, M.B.; McLaughlin, F.A.; Fowler, M.G.; Fowler, B.R. Source apportionment of the hydrocarbon background in sediment cores from Hecate Strait, a pristine sea on the west coast of British Columbia, Canada. Org. Geochem. 2014, 76, 235–258. [Google Scholar] [CrossRef]
- Zuo, Q.; Duan, Y.H.; Yang, Y.; Wang, X.J.; Tao, S. Source apportionment of polycyclic aromatic hydrocarbons in surface soil in Tianjin, China. Environ. Pollut. 2007, 147, 303–310. [Google Scholar] [CrossRef]
- Sun, Z.; Liu, J.; Zhuo, S.; Chen, Y.; Zhang, Y.; Shen, H.; Yun, X.; Shen, G.; Liu, W.; Zeng, E.Y.; et al. Occurrence and geographic distribution of polycyclic aromatic hydrocarbons in agricultural soils in eastern China. Environ. Sci. Pollut. Res. 2017, 24, 12168–12175. [Google Scholar] [CrossRef]
- Wang, X.; Gao, J.; Shen, J. The pollution distribution characteristics of polycyclic aromatic hydrocarbons in representative region soil. Adm. Tech. Environ. Monit. 2014, 2, 22–25. [Google Scholar]
- Kong, L.; Shi, M.; Liang, J. Concentration and origin of polycyclic aromatic hydrocarbons in the soil of Dagang Oil Field. Environ. Sci. Technol. 2018, 41, 151–157. [Google Scholar]
- Gao, P. Soil contamination characteristic and health risk assessment from different function areas in Taiyuan City. Ph.D. Thesis, Dissertation of Shanxi University, Shanxi, China, 2016. [Google Scholar]
- Ge, X.; Yan, J.; Jiao, X.; Yuan, X.; Li, Q.; Luo, S. Environmental geochemistry of polycyclic aromatic hydrocarbons (PAHs) in the urban area of Xuzhou. Geophys. Geochem. Explor. 2008, 32, 622–626. [Google Scholar]
- Sun, Y.; Sun, G.; Zhou, Q.; Xu, Y.; Wang, L.; Liang, X.; Sun, Y.; Qin, X. Polycyclic aromatic hydrocarbon (PAH) contamination in the urban topsoils of Shenyang, China. J. Soil Contam. 2012, 21, 901–917. [Google Scholar] [CrossRef]
- Jiao, W.; Lu, Y.; Wang, T.; Li, J.; Luo, W.; Shi, Y. Characteristics and sources of polycyclic aromatic hydrocarbons in surface soil from chemical industrial areas. Environ. Sci. 2009, 30, 1166–1172. [Google Scholar]
- Ding, H.; Tao, X.; KangeLe, L.; Zhang, N. Distribution characteristics and risk analysis of PAHs and PCBs in soils of Lanzhou. Adm. Tech. Environ. Monit. 2018, 30, 25–29. [Google Scholar]
- Ding, A.; Pan, G.; Li, L. Contents and sources of PAH s in top soils of farm lands in parts of Jiangsu, China. J. Ecol. Rural Environ. 2007, 23, 71–75. [Google Scholar]
- Li, Y.; Duan, X. Polycyclic aromatic hydrocarbons in sediments of China Sea. Environ. Sci. Pollut. Res. Int. 2015, 22, 15432–15442. [Google Scholar] [CrossRef] [PubMed]
- Cai, Q.; Mo, C.; Wu, Q.; Katsoyiannis, A.; Zeng, Q. The status of soil contamination by semivolatile organic chemicals (SVOCs) in China: A review. Sci. Total Environ. 2008, 389, 209–224. [Google Scholar] [CrossRef]
- Wang, W.; Simonich, S.; Giri, B.; Chang, Y.; Zhang, Y.; Jia, Y.; Tao, S.; Wang, R.; Wang, B.; Li, W.; et al. Atmospheric concentrations and air–soil gas exchange of polycyclic aromatic hydrocarbons (PAHs) in remote, rural village and urban areas of Beijing–Tianjin region, North China. Sci. Total Environ. 2011, 409, 2942–2950. [Google Scholar] [CrossRef]
- Suman, S.; Sinha, A.; Tarafdar, A. Polycyclic aromatic hydrocarbons (PAHs) concentration levels, pattern, source identification and soil toxicity assessment in urban traffic soil of Dhanbad, India. Sci. Total Environ. 2016, 545–546, 353–360. [Google Scholar] [CrossRef]
- Zhang, Y.; Hou, D.; Xiong, G.; Duan, Y.; Cai, C.; Wang, X.; Li, J.; Tao, S.; Liu, W. Structural equation modeling of PAHs in ambient air, dust fall, soil, and cabbage in vegetable bases of Northern China. Environ. Pollut. 2018, 239, 13–20. [Google Scholar] [CrossRef] [PubMed]
- Yuan, S.; Li, K.; Chen, T.; Bi, X.; Wang, Q. Soil contamination by polycyclic aromatic hydrocarbons at natural recreational areas in Delaware, USA. Environ. Earth Sci. 2014, 72, 387–398. [Google Scholar] [CrossRef]
- Singh, D.P.; Gadi, R.; Mandal, T.K. Levels, sources, and toxic potential of polycyclic aromatic hydrocarbons in urban soil of Delhi, India. Hum. Ecol. Risk Assess. Int. J. 2012, 18, 393–411. [Google Scholar] [CrossRef]
- Karaca, G. Spatial distribution of polycyclic aromatic hydrocarbon (PAH) concentrations in soils from Bursa, Turkey. Arch. Environ. Contam. Toxicol. 2016, 70, 406–417. [Google Scholar] [CrossRef]
- Vane, C.H.; Kim, A.W.; Beriro, D.J.; Cave, M.R.; Knights, K.; Moss-Hayes, V.; Nathanail, P.C. Polycyclic aromatic hydrocarbons (PAH) and polychlorinated biphenyls (PCB) in urban soils of Greater London, UK. Appl. Geochem. 2014, 51, 303–314. [Google Scholar] [CrossRef]
- Agarwal, T.; Khillare, P.S.; Shridhar, V.; Ray, S. Pattern, sources and toxic potential of PAHs in the agricultural soils of Delhi, India. J. Hazard. Mater. 2009, 163, 1033–1039. [Google Scholar] [CrossRef]
- Zohair, A.; Salim, A.; Soyibo, A.A.; Beck, A.J. Residues of polycyclic aromatic hydrocarbons (PAHs), polychlorinated biphenyls (PCBs) and organochlorine pesticides in organically-farmed vegetables. Chemosphere 2006, 63, 541–553. [Google Scholar] [CrossRef]
- Nam, J.J.; Song, B.H.; Eom, K.C.; Lee, S.H.; Smith, A. Distribution of polycyclic aromatic hydrocarbons in agricultural soils in South Korea. Chemosphere 2003, 50, 1281–1289. [Google Scholar] [CrossRef]
- Kim, J.; Shim, S.; Lee, C. Degradation of phenanthrene by bacterial strains isolated from soil in oil refinery fields in Korea. J. Microbiol. Biotechnol. 2005, 15, 337–345. [Google Scholar] [CrossRef]
- Deka, J.; Sarma, K.P.; Hoque, R.R. Source contributions of polycyclic aromatic hydrocarbons in soils around oilfield in the Brahmaputra valley. Ecotoxicol. Environ. Saf. 2016, 133, 281–289. [Google Scholar] [CrossRef]
- Bozlaker, A.; Muezzinoglu, A.; Odabasi, M. Atmospheric concentrations, dry deposition and air–soil exchange of polycyclic aromatic hydrocarbons (PAHs) in an industrial region in Turkey. J. Hazard. Mater. 2008, 153, 1093–1102. [Google Scholar] [CrossRef] [PubMed]
- Yang, G.; Zhang, T.; Gao, S.; Guo, Y.; Wan, H.; Gao, Y. Source and distribution characteristics of polycyclic aromatic hydrocarbons in agricultural soils in the Pearl River Delta. Environ. Sci. 2007, 28, 2350–2354. [Google Scholar]
- Wilcke, W. Global patterns of polycyclic aromatic hydrocarbons (PAHs) in soil. Geoderma 2007, 141, 157–166. [Google Scholar] [CrossRef]
- Wang, X.; Zuo, Q.; Duan, Y.; Liu, W.; Cao, J.; Tao, S. Factors affecting spatial variation of polycyclic aromatic hydrocarbons in surface soils in North China Plain. Environ. Toxicol. Chem. 2012, 31, 2246–2252. [Google Scholar] [CrossRef]
- Harmsen, J.; Rietra, R.P.J.J. 25 years monitoring of PAHs and petroleum hydrocarbons biodegradation in soil. Chemosphere 2018, 207, 229–238. [Google Scholar] [CrossRef]
- Li, H.; Ma, Y. Field study on the uptake, accumulation, translocation and risk assessment of PAHs in a soil-wheat system with amendments of sewage sludge. Sci. Total Environ. 2016, 560–561, 55–61. [Google Scholar] [CrossRef]
- Nwaichi, E.O.; Wegwu, M.O.; Nwosu, U.L. Distribution of selected carcinogenic hydrocarbon and heavy metals in an oil-polluted agriculture zone. Environ. Monit. Assess. 2014, 186, 8697–8706. [Google Scholar] [CrossRef]
- Li, S.; Tao, Y.; Yao, S.; Xue, B. Distribution and sources of polycyclic armatic hydrocarbons (PAHs) in lake sediments from China. Quat. Sci. 2015, 35, 118–135. [Google Scholar]
- Nádudvari, Á.; Fabiańska, M.J.; Marynowski, L.; Kozielska, B.; Konieczyński, J.; Smołka-Danielowska, D.; Ćmiel, S. Distribution of coal and coal combustion related organic pollutants in the environment of the Upper Silesian Industrial Region. Sci. Total Environ. 2018, 628, 1462–1488. [Google Scholar] [CrossRef]
- Zhang, H.; Yan, Q.; Huang, H. Problems, influences and response of China’s structural transformation from an international perspective. China Ind. Econ. 2019, 6, 41–59. [Google Scholar]
- Ma, Y.; Pan, Y. Promoting strategies of coal green mining technology: From the evolutionary game pespective between government and enterprises. China Min. Mag. 2019, 28, 97–108. [Google Scholar]
- Chen, W.; Wu, X.; Zhang, H.; Sun, J.; Liu, W.; Zhu, L.; Li, X.; Tsang, D.C.W.; Tao, S.; Wang, X. Contamination characteristics and source apportionment of methylated PAHs in agricultural soils from Yangtze River Delta, China. Environ. Pollut. 2017, 230, 927–935. [Google Scholar] [CrossRef] [PubMed]
- Jia, J.; Bi, C.; Zhang, J.; Jin, X.; Chen, Z. Characterization of polycyclic aromatic hydrocarbons (PAHs) in vegetables near industrial areas of Shanghai, China: Sources, exposure, and cancer risk. Environ. Pollut. 2018, 241, 750–758. [Google Scholar] [CrossRef] [PubMed]
- Ishitake, M.; Moriwaki, H.; Katahira, K.; Yamamoto, O.; Tsuruho, K.; Yamazaki, H.; Yoshikawa, S. Vertical profile of polycyclic aromatic hydrocarbons in a sediment core from a reservoir in Osaka City. Environ. Geol. 2007, 52, 123–129. [Google Scholar] [CrossRef]
- Liu, X.; Bai, Z.; Yu, Q.; Cao, Y.; Zhou, W. Polycyclic aromatic hydrocarbons in the soil profiles (0–100 cm) from the industrial district of a large open-pit coal mine, China. RSC Adv. 2017, 7, 28029–28037. [Google Scholar] [CrossRef]
- Song, N.; Ma, J.; Yu, Y.; Yang, Z.; Li, Y. New observations on PAH pollution in old heavy industry cities in northeastern China. Environ. Pollut. 2015, 205, 415–423. [Google Scholar] [CrossRef]
- Feng, T.; Sun, L.; Zhang, Y. The relationship between energy consumption structure, economic structure and energy intensity in China. Energy Policy 2009, 37, 5475–5483. [Google Scholar] [CrossRef]
- Zhao, W.; Wei, F.; Li, J. Study on the change in energy production structure under the energy coordinated development strategy of Beijing-Tianjin-Hebei urban agglomeration, China. Acta Ecol. Sin. 2019, 39, 1203–1211. [Google Scholar]
- Ukalska-Jaruga, A.; Smreczak, B.; Klimkowicz-Pawlas, A. Soil organic matter composition as a factor affecting the accumulation of polycyclic aromatic hydrocarbons. J. Soils Sediments 2018, 19, 1890–1900. [Google Scholar] [CrossRef]
- Kim, K.J.; Choi, S.H.; Park, K.H. Factors Affecting concentration of polycyclic aromatic hydrocarbons in Oyster, Laver and Rockfish. Lect. Notes Phys. 2008, 309, 446–449. [Google Scholar] [CrossRef]









| Item | LMW | HMW | Provincial Total Σ16PAHs | Petroleum Reserves | Natural Gas Reserves | Coal Reserves | ΣP-Coal | ΣP&C-Crude Oil and Coal |
|---|---|---|---|---|---|---|---|---|
| LMW | 1 | |||||||
| HMW | −0.023 (n = 31) | 1 | ||||||
| Provincial total Σ16PAHs | 0.410 * (n = 31) | 0.521 ** (n = 31) | 1 | |||||
| Petroleum reserves | 0.695 ** (n = 22) | 0.155 (n = 22) | 0.476 * (n = 22) | 1 | ||||
| Natural gas reserves | 0.101 (n = 24) | 0.571 ** (n = 24) | 0.643 ** (n = 24) | 0.327 (n = 24) | 1 | |||
| Coal reserves | −0.009 (n = 30) | 0.655 ** (n = 30) | 0.491 ** (n = 30) | 0.234 (n = 22) | 0.226 (n = 24) | 1 | ||
| ΣP-coal | −0.048 (n = 30) | 0.677 ** (n = 30) | 0.540 ** (n = 30) | 0.190 (n = 21) | 0.281 (n = 23) | 0.956 ** (n = 29) | 1 | |
| ΣP&C-crude oil and coal | −0.006 (n = 30) | 0.565 ** (n = 30) | 0.492 ** (n = 30) | 0.276 (n = 21) | 0.187 (n = 23) | 0.873 ** (n = 29) | 0.940 ** (n = 30) | 1 |
| Urban | Suburban | Rural | IMIA | |
|---|---|---|---|---|
| China | 1479.97 (0.02–39,891) | 523.34 (3.51–6248) | 293.95 (0.38–5910) | 8800.77 (5.1–97,680) |
| Delaware, USA a | 2732 (362–16462) | 172 (70–448) | 170 (78.7–497) | - |
| Delhi and Bajalkota, India b | 5524.25 (1550.9–11,460) | - | 1458 (827–2095) | 3920 (1190–12,700) |
| Izmir and Bursa, Turkey c | 2243.5 | 55.9 | 152 | 4628 |
| London and England, UK d | 68,000 | 41,000 | 590 | - |
| Ulsan, Korea and South Korea e | 390 (65–1200) | 236 (23.3–2834) | 220 (92–450) | 2515 |
© 2019 by the authors. Licensee MDPI, Basel, Switzerland. This article is an open access article distributed under the terms and conditions of the Creative Commons Attribution (CC BY) license (http://creativecommons.org/licenses/by/4.0/).
Share and Cite
Zeng, S.; Ma, J.; Ren, Y.; Liu, G.-J.; Zhang, Q.; Chen, F. Assessing the Spatial Distribution of Soil PAHs and their Relationship with Anthropogenic Activities at a National Scale. Int. J. Environ. Res. Public Health 2019, 16, 4928. https://doi.org/10.3390/ijerph16244928
Zeng S, Ma J, Ren Y, Liu G-J, Zhang Q, Chen F. Assessing the Spatial Distribution of Soil PAHs and their Relationship with Anthropogenic Activities at a National Scale. International Journal of Environmental Research and Public Health. 2019; 16(24):4928. https://doi.org/10.3390/ijerph16244928
Chicago/Turabian StyleZeng, Siyan, Jing Ma, Yanhua Ren, Gang-Jun Liu, Qi Zhang, and Fu Chen. 2019. "Assessing the Spatial Distribution of Soil PAHs and their Relationship with Anthropogenic Activities at a National Scale" International Journal of Environmental Research and Public Health 16, no. 24: 4928. https://doi.org/10.3390/ijerph16244928
APA StyleZeng, S., Ma, J., Ren, Y., Liu, G.-J., Zhang, Q., & Chen, F. (2019). Assessing the Spatial Distribution of Soil PAHs and their Relationship with Anthropogenic Activities at a National Scale. International Journal of Environmental Research and Public Health, 16(24), 4928. https://doi.org/10.3390/ijerph16244928

