Gut Microbiota Profiles Differ among Individuals Depending on Their Region of Origin: An Italian Pilot Study
Abstract
1. Introduction
2. Materials and Methods
2.1. Study Population
2.2. Sample Collection and DNA Extraction
2.3. Next-Generation Sequencing of Bacterial 16S rRNA Gene
2.4. Bioinformatic Analysis
2.5. Statistical Analysis
3. Results
3.1. Microbiota Profile in Italian Subjects from Different Regions
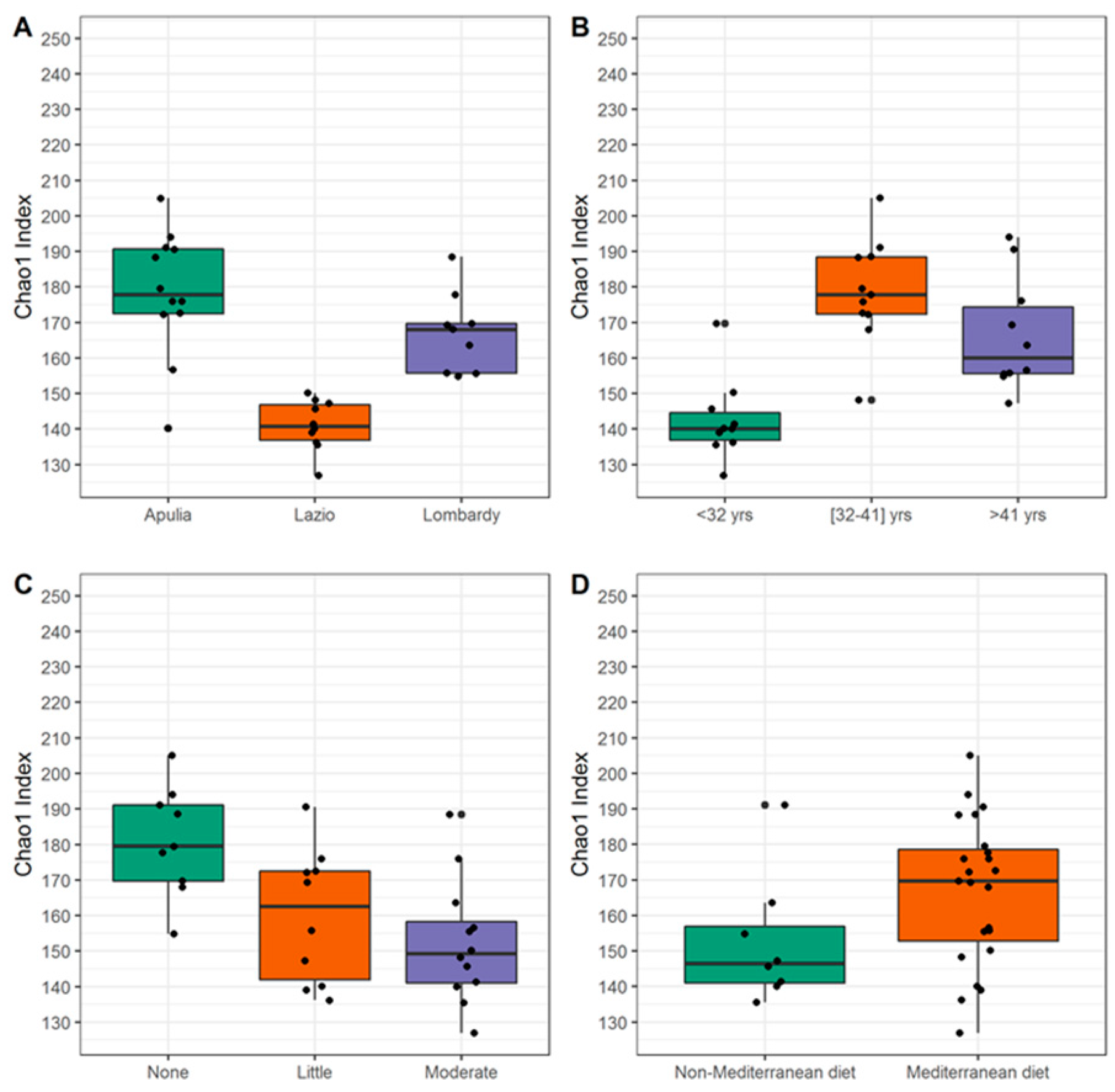
3.2. Bacterial Diversity
4. Discussion
5. Conclusions
Supplementary Materials
Author Contributions
Funding
Conflicts of Interest
References
- Schwabe, R.F.; Jobin, C. The microbiome and cancer. Nat. Rev. Cancer 2013, 13, 800–812. [Google Scholar] [CrossRef] [PubMed]
- O’Hara, A.M.; Shanahan, F. The gut flora as a forgotten organ. EMBO Rep. 2006, 7, 688–693. [Google Scholar] [CrossRef] [PubMed]
- García-Castillo, V.; Sanhueza, E.; McNerney, E.; Onate, S.A.; García, A. Microbiota dysbiosis: A new piece in the understanding of the carcinogenesis puzzle. J. Med Microbiol. 2016, 65, 1347–1362. [Google Scholar] [CrossRef] [PubMed]
- David, L.A.; Maurice, C.F.; Carmody, R.N.; Gootenberg, D.B.; Button, J.E.; Wolfe, B.E.; Ling, A.V.; Devlin, A.S.; Varma, Y.; Fischbach, M.A.; et al. Diet rapidly and reproducibly alters the human gut microbiome. Nature 2014, 505, 559–563. [Google Scholar] [CrossRef] [PubMed]
- Gupta, V.K.; Paul, S.; Dutta, C. Geography, Ethnicity or Subsistence-Specific Variations in Human Microbiome Composition and Diversity. Front. Microbiol. 2017, 8, 1162. [Google Scholar] [CrossRef] [PubMed]
- Eckburg, P.B.; Bik, E.M.; Bernstein, C.N.; Purdom, E.; Dethlefsen, L.; Sargent, M.; Gill, S.R.; Nelson, K.E.; Relman, D.A. Diversity of the human intestinal microbial flora. Science 2005, 308, 1635–1638. [Google Scholar] [CrossRef]
- Turnbaugh, P.J.; Hamady, M.; Yatsunenko, T.; Cantarel, B.L.; Duncan, A.; Ley, R.E.; Sogin, M.L.; Jones, W.J.; Roe, B.A.; Affourtit, J.P.; et al. A core gut microbiome in obese and lean twins. Nature 2009, 457, 480–484. [Google Scholar] [CrossRef]
- Armougom, F.; Henry, M.; Vialettes, B.; Raccah, D.; Raoult, D. Monitoring Bacterial Community of Human Gut Microbiota Reveals an Increase in Lactobacillus in Obese Patients and Methanogens in Anorexic Patients. PLoS ONE 2009, 4, e7125. [Google Scholar] [CrossRef]
- Sanz, Y.; Romani-Perez, M.; Benitez-Paez, A.; Portune, K.J.; Brigidi, P.; Rampelli, S.; Dinan, T.; Stanton, C.; Delzenne, N.; Blachier, F.; et al. Towards microbiome-informed dietary recommendations for promoting metabolic and mental health: Opinion papers of the MyNewGut project. Clin. Nutr. 2018, 37, 2191–2197. [Google Scholar] [CrossRef]
- Iebba, V.; Totino, V.; Gagliardi, A.; Santangelo, F.; Cacciotti, F.; Trancassini, M.; Mancini, C.; Cicerone, C.; Corazziari, E.; Pantanella, F.; et al. Eubiosis and dysbiosis: The two sides of the microbiota. New Microbiol. 2016, 39, 1–12. [Google Scholar]
- Arumugam, M.; Raes, J.; Pelletier, E.; Le Paslier, D.; Yamada, T.; Mende, D.R.; Fernandes, G.R.; Tap, J.; Bruls, T.; Batto, J.-M.; et al. Enterotypes of the human gut microbiome. Nature 2011, 473, 174–180. [Google Scholar] [CrossRef] [PubMed]
- Conlon, M.A.; Bird, A.R. The impact of diet and lifestyle on gut microbiota and human health. Nutrients 2014, 7, 17–44. [Google Scholar] [CrossRef] [PubMed]
- Mueller, S.; Saunier, K.; Hanisch, C.; Norin, E.; Alm, L.; Midtvedt, T.; Cresci, A.; Silvi, S.; Orpianesi, C.; Verdenelli, M.C.; et al. Differences in Fecal Microbiota in Different European Study Populations in Relation to Age, Gender, and Country: A Cross-Sectional Study. Appl. Environ. Microbiol. 2006, 72, 1027–1033. [Google Scholar] [CrossRef] [PubMed]
- Shin, J.-H.; Sim, M.; Lee, J.-Y.; Shin, D.-M. Lifestyle and geographic insights into the distinct gut microbiota in elderly women from two different geographic locations. J. Physiol. Anthr. 2016, 35, 31. [Google Scholar] [CrossRef] [PubMed]
- Yilmaz, B.; Spalinger, M.R.; Biedermann, L.; Franc, Y.; Fournier, N.; Rossel, J.-B.; Juillerat, P.; Rogler, G.; MacPherson, A.J.; Scharl, M. The presence of genetic risk variants within PTPN2 and PTPN22 is associated with intestinal microbiota alterations in Swiss IBD cohort patients. PLoS ONE 2018, 13, e0199664. [Google Scholar] [CrossRef] [PubMed]
- De Filippo, C.; Di Paola, M.; Ramazzotti, M.; Albanese, D.; Pieraccini, G.; Banci, E.; Miglietta, F.; Cavalieri, D.; Lionetti, P. Diet, Environments, and Gut Microbiota. A Preliminary Investigation in Children Living in Rural and Urban Burkina Faso and Italy. Front. Microbiol. 2017, 8, 1979. [Google Scholar] [CrossRef] [PubMed]
- Senghor, B.; Sokhna, C.; Ruimy, R.; Lagier, J.-C. Gut microbiota diversity according to dietary habits and geographical provenance. Hum. Microbiome J. 2018, 8, 1–9. [Google Scholar] [CrossRef]
- Suzuki, T.A.; Worobey, M. Geographical variation of human gut microbial composition. Boil. Lett. 2014, 10, 20131037. [Google Scholar] [CrossRef]
- Yatsunenko, T.; Rey, F.E.; Manary, M.J.; Trehan, I.; Dominguez-Bello, M.G.; Contreras, M.; Magris, M.; Hidalgo, G.; Baldassano, R.N.; Anokhin, A.P.; et al. Human gut microbiome viewed across age and geography. Nature 2012, 486, 222–227. [Google Scholar] [CrossRef]
- Tyakht, A.V.; Kostryukova, E.S.; Popenko, A.S.; Belenikin, M.S.; Pavlenko, A.V.; Larin, A.K.; Karpova, I.Y.; Selezneva, O.V.; Semashko, T.A.; Ospanova, E.A.; et al. Human gut microbiota community structures in urban and rural populations in Russia. Nat. Commun. 2013, 4, 2469. [Google Scholar] [CrossRef]
- He, Y.; Wu, W.; Zheng, H.-M.; Li, P.; McDonald, D.; Sheng, H.-F.; Chen, M.-X.; Chen, Z.-H.; Ji, G.-Y.; Zheng, Z.-D.-X.; et al. Author Correction: Regional variation limits applications of healthy gut microbiome reference ranges and disease models. Nat. Med. 2018, 24, 1940. [Google Scholar] [CrossRef] [PubMed]
- Panebianco, C.; Potenza, A.; Andriulli, A.; Pazienza, V. Exploring the microbiota to better understand gastrointestinal cancers physiology. Clin. Chem. Lab. Med. 2018, 56, 1400–1412. [Google Scholar] [CrossRef] [PubMed]
- Panebianco, C.; Andriulli, A.; Pazienza, V. Pharmacomicrobiomics: Exploiting the drug-microbiota interactions in anticancer therapies. Microbiome 2018, 6, 92. [Google Scholar] [CrossRef] [PubMed]
- Rajpoot, M.; Sharma, A.K.; Sharma, A.; Gupta, G.K. Understanding the microbiome: Emerging biomarkers for exploiting the microbiota for personalized medicine against cancer. Semin. Cancer Boil. 2018, 52, 1–8. [Google Scholar] [CrossRef] [PubMed]
- Wang, B.; Yao, M.; Lv, L.; Ling, Z.; Li, L. Th Human Microbiota in Health and Disease. Engineering 2017, 3, 71–82. [Google Scholar] [CrossRef]
- Zhou, Y.; Xu, Z.Z.; He, Y.; Yang, Y.; Liu, L.; Lin, Q.; Nie, Y.; Li, M.; Zhi, F.; Liu, S.; et al. Gut Microbiota Offers Universal Biomarkers across Ethnicity in Inflammatory Bowel Disease Diagnosis and Infliximab Response Prediction. MSystems 2018, 3, e00188-17. [Google Scholar] [CrossRef]
- Picchianti-Diamanti, A.; Panebianco, C.; Salemi, S.; Sorgi, M.L.; Di Rosa, R.; Tropea, A.; Sgrulletti, M.; Salerno, G.; Terracciano, F.; D’Amelio, R.; et al. Analysis of Gut Microbiota in Rheumatoid Arthritis Patients: Disease-Related Dysbiosis and Modifications Induced by Etanercept. Int. J. Mol. Sci. 2018, 19, 2938. [Google Scholar] [CrossRef]
- Langille, M.G.I.; Zaneveld, J.; Caporaso, J.G.; McDonald, D.; Knights, D.; Reyes, J.A.; Clemente, J.C.; Burkepile, D.E.; Thurber, R.L.V.; Knight, R.; et al. Predictive functional profiling of microbial communities using 16S rRNA marker gene sequences. Nat. Biotechnol. 2013, 31, 814–821. [Google Scholar] [CrossRef]
- Odamaki, T.; Kato, K.; Sugahara, H.; Hashikura, N.; Takahashi, S.; Xiao, J.-Z.; Abe, F.; Osawa, R. Age-related changes in gut microbiota composition from newborn to centenarian: A cross-sectional study. BMC Microbiol. 2016, 16, 90. [Google Scholar] [CrossRef]
- Biagi, E.; Nylund, L.; Candela, M.; Ostan, R.; Bucci, L.; Pini, E.; Nikkilä, J.; Monti, D.; Satokari, R.; Franceschi, C.; et al. Correction: Through Ageing, and Beyond: Gut Microbiota and Inflammatory Status in Seniors and Centenarians. PLoS ONE 2010, 5, e10667. [Google Scholar] [CrossRef]
- Faith, J.J.; Guruge, J.L.; Charbonneau, M.; Subramanian, S.; Seedorf, H.; Goodman, A.L.; Clemente, J.C.; Knight, R.; Heath, A.C.; Leibel, R.L.; et al. The long-term stability of the human gut microbiota. Science 2013, 341, 1237439. [Google Scholar] [CrossRef] [PubMed]
- Rodriguez, J.M.; Murphy, K.; Stanton, C.; Ross, R.P.; Kober, O.I.; Juge, N.; Avershina, E.; Rudi, K.; Narbad, A.; Jenmalm, M.C.; et al. The composition of the gut microbiota throughout life, with an emphasis on early life. Microb. Ecol. Health Dis. 2015, 26, 26050. [Google Scholar] [CrossRef] [PubMed]
- Das, B.; Ghosh, T.S.; Kedia, S.; Rampal, R.; Saxena, S.; Bag, S.; Mitra, R.; Dayal, M.; Mehta, O.; Surendranath, A.; et al. Analysis of the Gut Microbiome of Rural and Urban Healthy Indians Living in Sea Level and High Altitude Areas. Sci. Rep. 2018, 8, 10104. [Google Scholar] [CrossRef] [PubMed]
- Costello, E.K.; Stagaman, K.; Dethlefsen, L.; Bohannan, B.J.M.; Relman, D.A. The application of ecological theory toward an understanding of the human microbiome. Science 2012, 336, 1255–1262. [Google Scholar] [CrossRef]
- McCarville, J.L.; Caminero, A.; Verdu, E.F. Novel perspectives on therapeutic modulation of the gut microbiota. Ther. Adv. Gastroenterol. 2016, 9, 580–593. [Google Scholar] [CrossRef]
- Gaulke, C.A.; Sharpton, T.J. The influence of ethnicity and geography on human gut microbiome composition. Nat. Med. 2018, 24, 1495–1496. [Google Scholar] [CrossRef]






| Apulia (N = 12) | Lazio (N = 10) | Lombardy (N = 9) | p-Value | ||
|---|---|---|---|---|---|
| Age (years) | Median [IQR] | 37.0 [35.0–44.2] | 26.0 [24.0–29.0] | 42.0 [39.0–47.0] | 0.005 * |
| Range | 28–65 | 24–46 | 29–74 | ||
| Gender—N (%) | Males | 6 (50.0) | 6 (60.0) | 3 (33.3) | 0.542 # |
| BMI (Kg/m2) | Mean ± SD | 22.8 ± 2.3 | 22.3 ± 3.0 | 21.7 ± 3.5 | 0.723 $ |
| Range | 19.1–28.1 | 17.2–26.9 | 16.5–28.4 | ||
| BMI (WHO classification)—N (%) | Underweight (<18.5) | 0 (0.0) | 2 (20.0) | 2 (22.2) | 0.528 # |
| Normal weight (18.5–24.9) | 10 (83.3) | 7 (70.0) | 6 (66.7) | ||
| Overweight (25.0–29.9) | 2 (16.7) | 1 (10.0) | 1 (11.1) | ||
| Diet (%) | Mediterranean | 11 (91.7) | 5 (50.0) | 7 (77.8) | 0.149 # |
| Hypercaloric | 1 (8.3) | 0 (0.0) | 1 (11.1) | ||
| Hypocaloric | 0 (0.0) | 1 (10.0) | 1 (11.1) | ||
| Vegetarian | 0 (0.0) | 1 (10.0) | 0 (0.0) | ||
| Iperproteic (meat) | 0 (0.0) | 1 (10.0) | 0 (0.0) | ||
| Carbohydrates and proteins, little vegetables | 0 (0.0) | 2 (20.0) | 0 (0.0) | ||
| Smoking (n.cigarettes/day) | Median [IQR] | 0.0 [0.0–0.8] | 0.0 [0.0–1.5] | 0.0 [0.0–11.0] | 0.764 * |
| Range | 0–12 | 0–5 | 0–17 | ||
| Smokers (yes vs. no)—N (%) | Yes | 3 (25.0) | 3 (30.0) | 3 (33.3) | 1.000 # |
| Alcohol—N (%) | None | 3 (25.0) | 4 (40.0) | 1 (11.1) | 0.336 # |
| Little (1 occasional glass) | 9 (75.0) | 5 (50.0) | 6 (66.7) | ||
| Moderate (1–2 glasses/day) | 0 (0.0) | 1 (10.0) | 2 (22.2) | ||
| Physical activity—N (%) | None | 4 (33.3) | 0 (0.0) | 5 (55.6) | 0.051 # |
| Little | 5 (41.7) | 3 (30.0) | 2 (22.2) | ||
| Moderate | 3 (25.0) | 7 (70.0) | 2 (22.2) | ||
| Spearman Correlation | |||||||
|---|---|---|---|---|---|---|---|
| Biological Classification | Microbiota | Age < 32 Years (N = 10) | Age 32–41 Years (N = 11) | Age > 41 Years (N = 10) | Test for Overall Difference (p-Value #) | Coefficient | p-Value |
| Family | Acholeplasmataceae | 0.0000 [0.0000, 0.0000] | 0.0027 [0.0006, 0.0155] | 0.0073 [0.0035, 0.0514] | 0.025 | 0.604 | 0.021 |
| Bacillaceae | 0.0000 [0.0000, 0.0000] | 0.0184 [0.0094, 0.0219] | 0.0188 [0.0071, 0.0295] | 0.025 | 0.566 | 0.029 | |
| Peptostreptococcaceae | 0.0000 [0.0000, 0.0000] | 0.0274 [0.0193, 0.0426] | 0.0364 [0.0222, 0.0432] | 0.041 | 0.536 | 0.041 | |
| Pseudomonadaceae | 0.0000 [0.0000, 0.0000] | 0.0168 [0.0090, 0.0185] | 0.0129 [0.0095, 0.0263] | 0.025 | 0.457 | 0.090 | |
| Genus | Acetivibrio | 0.0000 [0.0000, 0.0000] | 0.0142 [0.0086, 0.0238] | 0.0128 [0.0075, 0.0222] | 0.028 | 0.551 | 0.041 |
| Bacillus | 0.0000 [0.0000, 0.0000] | 0.0092 [0.0045, 0.0144] | 0.0059 [0.0032, 0.0170] | 0.028 | 0.543 | 0.041 | |
| Defluviitalea | 0.0000 [0.0000, 0.0000] | 0.0114 [0.0032, 0.0197] | 0.0225 [0.0064, 0.0257] | 0.028 | 0.649 | 0.012 | |
| Eggerthella | 0.0000 [0.0000, 0.0000] | 0.0083 [0.0019, 0.0379] | 0.0112 [0.0066, 0.0182] | 0.056 | 0.524 | 0.048 | |
| Fenollaria | 0.0000 [0.0000, 0.0000] | 0.0176 [0.0131, 0.0201] | 0.0085 [0.0060, 0.0145] | 0.039 | 0.471 | 0.089 | |
| Hydrogenoanaerobacterium | 0.0000 [0.0000, 0.0000] | 0.0193 [0.0070, 0.0257] | 0.0099 [0.0062, 0.0163] | 0.034 | 0.426 | 0.131 | |
| Lachnotalea | 0.0000 [0.0000, 0.0000] | 0.0088 [0.0063, 0.0143] | 0.0087 [0.0047, 0.0269] | 0.028 | 0.580 | 0.041 | |
| Lutispora | 0.0000 [0.0000, 0.0000] | 0.0054 [0.0030, 0.0186] | 0.0068 [0.0020, 0.0246] | 0.034 | 0.499 | 0.067 | |
| Natranaerovirga | 0.0000 [0.0000, 0.0000] | 0.0183 [0.0110, 0.0311] | 0.0200 [0.0123, 0.0215] | 0.028 | 0.528 | 0.048 | |
| Paludibacter | 0.0000 [0.0000, 0.0000] | 0.0048 [0.0024, 0.0078] | 0.0045 [0.0025, 0.0060] | 0.028 | 0.558 | 0.041 | |
| Porphyromonas | 0.0000 [0.0000, 0.0000] | 0.0251 [0.0156, 0.0273] | 0.0114 [0.0071, 0.0239] | 0.040 | 0.418 | 0.136 | |
| Pseudomonas | 0.0000 [0.0000, 0.0000] | 0.0143 [0.0079, 0.0171] | 0.0119 [0.0094, 0.0215] | 0.033 | 0.482 | 0.085 | |
| Raoultibacter | 0.0000 [0.0000, 0.0000] | 0.0043 [0.0011, 0.0139] | 0.0113 [0.0045, 0.0212] | 0.050 | 0.548 | 0.041 | |
| Species | Alistipes finegoldii | 0.1246 [0.0709, 0.6407] | 0.0038 [0.0010, 0.0653] | 0.0022 [0.0001, 0.0313] | 0.049 | −0.559 | 0.043 |
| Anaerotruncus rubiinfantis | 0.0000 [0.0000, 0.0000] | 0.0081 [0.0034, 0.0272] | 0.0076 [0.0034, 0.0120] | 0.049 | 0.466 | 0.091 | |
| Bacteroides acidifaciens | 0.0000 [0.0000, 0.0000] | 0.0193 [0.0138, 0.0321] | 0.0242 [0.0162, 0.0305] | 0.049 | 0.521 | 0.056 | |
| Bacteroides clarus | 0.0000 [0.0000, 0.0000] | 0.0035 [0.0028, 0.0559] | 0.0066 [0.0015, 0.0176] | 0.049 | 0.551 | 0.043 | |
| Bacteroides sp. ANH. 2438 | 0.0000 [0.0000, 0.0000] | 0.0005 [0.0000, 0.0012] | 0.0010 [0.0000, 0.0161] | 0.189 | 0.537 | 0.043 | |
| Bifidobacterium sp. 113 | 0.0012 [0.0001, 0.0197] | 0.0000 [0.0000, 0.0000] | 0.0000 [0.0000, 0.0000] | 0.048 | −0.580 | 0.043 | |
| Blautia luti | 0.0032 [0.0003, 0.1185] | 0.0000 [0.0000, 0.0000] | 0.0000 [0.0000, 0.0000] | 0.035 | −0.637 | 0.012 | |
| Butyricimonas sp. 180 3 | 0.0013 [0.0000, 0.0079] | 0.0000 [0.0000, 0.0000] | 0.0000 [0.0000, 0.0000] | 0.072 | −0.538 | 0.043 | |
| Butyrivibrio crossotus | 0.0017 [0.0007, 0.0027] | 0.0000 [0.0000, 0.0000] | 0.0000 [0.0000, 0.0000] | 0.048 | −0.554 | 0.043 | |
| Clostridium sp. Culture Jar 19 | 0.0000 [0.0000, 0.0000] | 0.0177 [0.0053, 0.0322] | 0.0066 [0.0036, 0.0087] | 0.048 | 0.447 | 0.097 | |
| Dialister sp. GBA27 | 0.0008 [0.0000, 0.0090] | 0.0000 [0.0000, 0.0000] | 0.0000 [0.0000, 0.0000] | 0.049 | −0.536 | 0.043 | |
| Eubacterium coprostanoligenes | 0.0000 [0.0000, 0.0000] | 0.0326 [0.0159, 0.0655] | 0.0817 [0.0316, 0.3701] | 0.058 | 0.573 | 0.043 | |
| Faecalibacterium prausnitzii | 12.7134 [10.7228, 14.3182] | 3.3569 [2.0414, 5.4147] | 5.3014 [3.4161, 6.9285] | 0.035 | −0.517 | 0.057 | |
| Fenollaria timonensis | 0.0000 [0.0000, 0.0000] | 0.0154 [0.0118, 0.0183] | 0.0074 [0.0053, 0.0129] | 0.049 | 0.477 | 0.082 | |
| Flintibacter butyricus | 0.0000 [0.0000, 0.0000] | 0.0099 [0.0011, 0.0127] | 0.0184 [0.0145, 0.0311] | 0.035 | 0.664 | 0.008 | |
| Prevotella sp. 109 | 0.0000 [0.0000, 0.0000] | 0.0025 [0.0002, 0.0068] | 0.0055 [0.0012, 0.2678] | 0.048 | 0.503 | 0.064 | |
| Robinsoniella sp. MCWD5 | 0.0000 [0.0000, 0.0000] | 0.0143 [0.0044, 0.0239] | 0.0156 [0.0081, 0.0296] | 0.049 | 0.564 | 0.043 | |
| Ruminococcus sp. DJF_VR70k1 | 0.0011 [0.0002, 0.0087] | 0.0000 [0.0000, 0.0000] | 0.0000 [0.0000, 0.0000] | 0.048 | −0.537 | 0.043 | |
| Ruminococcus sp. ID1 | 0.0000 [0.0000, 0.0000] | 0.0221 [0.0109, 0.0261] | 0.0292 [0.0172, 0.0674] | 0.048 | 0.659 | 0.008 | |
| Biological Classification | Microbiota | Apulia (N = 12) | Lazio (N = 10) | Lombardy (N = 9) | Test for Overall Difference (p-Value *) |
|---|---|---|---|---|---|
| Phylum | Cyanobacteria | 0.0000 [0.0000, 0.0000] | 0.0000 [0.0000, 0.0000] | 0.0031 [0.0011, 0.0064] | <0.001 |
| Nitrospirae | 0.0037 [0.0019, 0.0061] | 0.0000 [0.0000, 0.0000] | 0.0000 [0.0000, 0.0000] | <0.001 | |
| Class | Epsilonproteobacteria | 0.0241 [0.0070, 0.0465] | 0.0000 [0.0000, 0.0000] | 0.0086 [0.0080, 0.0258] | <0.001 |
| Nitrospira | 0.0036 [0.0019, 0.0061] | 0.0000 [0.0000, 0.0000] | 0.0000 [0.0000, 0.0000] | <0.001 | |
| Oligosphaeria | 0.0007 [0.0000, 0.0152] | 0.0000 [0.0000, 0.0000] | 0.0000 [0.0000, 0.0000] | 0.024 | |
| Sphingobacteriia | 0.0127 [0.0100, 0.0253] | 0.0000 [0.0000, 0.0000] | 0.0078 [0.0074, 0.0156] | <0.001 | |
| Order | Alteromonadales | 0.0132 [0.0091, 0.0170] | 0.0000 [0.0000, 0.0000] | 0.0125 [0.0108, 0.0188] | <0.001 |
| Anaeroplasmatales | 0.0000 [0.0000, 0.0000] | 0.0000 [0.0000, 0.0000] | 0.0009 [0.0000, 0.0183] | 0.003 | |
| Bacillales | 0.0911 [0.0763, 0.1214] | 0.0255 [0.0195, 0.0356] | 0.0464 [0.0263, 0.0607] | 0.006 | |
| Corynebacteriales | 0.0062 [0.0046, 0.0112] | 0.0000 [0.0000, 0.0000] | 0.0086 [0.0063, 0.0125] | <0.001 | |
| Desulfobacterales | 0.0000 [0.0000, 0.0000] | 0.0000 [0.0000, 0.0000] | 0.0064 [0.0009, 0.0260] | <0.001 | |
| Desulfurellales | 0.0023 [0.0004, 0.0130] | 0.0000 [0.0000, 0.0000] | 0.0000 [0.0000, 0.0000] | <0.001 | |
| Micrococcales | 0.0180 [0.0133, 0.0248] | 0.0000 [0.0000, 0.0000] | 0.0151 [0.0108, 0.0184] | <0.001 | |
| Myxococcales | 0.0008 [0.0000, 0.0083] | 0.0000 [0.0000, 0.0000] | 0.0000 [0.0000, 0.0000] | 0.001 | |
| Nautiliales | 0.017 [0.0035, 0.0287] | 0.0000 [0.0000, 0.0000] | 0.0048 [0.0018, 0.0168] | 0.001 | |
| Nitrospirales | 0.0033 [0.0017, 0.0060] | 0.0000 [0.0000, 0.0000] | 0.0000 [0.0000, 0.0000] | <0.001 | |
| Sphingobacteriales | 0.0103 [0.0082, 0.0230] | 0.0000 [0.0000, 0.0000] | 0.0074 [0.0060, 0.0156] | <0.001 | |
| Streptomycetales | 0.0247 [0.0167, 0.0394] | 0.0080 [0.0051, 0.0097] | 0.0311 [0.0091, 0.0478] | 0.044 | |
| Synergistales | 0.0095 [0.0054, 0.0969] | 0.0000 [0.0000, 0.0000] | 0.0106 [0.0032, 0.0201] | <0.001 | |
| Syntrophobacterales | 0.0007 [0.0000, 0.0097] | 0.0000 [0.0000, 0.0000] | 0.0000 [0.0000, 0.0000] | 0.001 | |
| Thermoanaerobacterales | 0.0060 [0.0028, 0.0126] | 0.0000 [0.0000, 0.0000] | 0.0041 [0.0028, 0.0314] | <0.001 | |
| Tissierellales | 0.0137 [0.0118, 0.0175] | 0.0000 [0.0000, 0.0000] | 0.0124 [0.0070, 0.0401] | <0.001 | |
| Veillonellales | 2.9426 [0.2835, 4.7890] | 1.8227 [0.1197, 5.6735] | 0.0389 [0.0156, 0.1560] | 0.033 | |
| Vibrionales | 0.0026 [0.0020, 0.0073] | 0.0000 [0.0000, 0.0000] | 0.0000 [0.0000, 0.0000] | <0.001 | |
| Family | Acholeplasmataceae | 0.0049 [0.0010, 0.0149] | 0.0000 [0.0000, 0.0000] | 0.0052 [0.0032, 0.1064] | <0.001 |
| Aeromonadaceae | 0.0000 [0.0000, 0.0000] | 0.0000 [0.0000, 0.0000] | 0.0134 [0.0048, 0.0156] | <0.001 | |
| Anaeroplasmataceae | 0.0000 [0.0000, 0.0000] | 0.0000 [0.0000, 0.0000] | 0.0009 [0.0000, 0.0118] | 0.002 | |
| Atopobiaceae | 0.0045 [0.0016, 0.0115] | 0.0029 [0.0006, 0.0207] | 0.0000 [0.0000, 0.0000] | 0.002 | |
| Bacillaceae | 0.0171 [0.0072, 0.0244] | 0.0000 [0.0000, 0.0000] | 0.0186 [0.0069, 0.0220] | <0.001 | |
| Catabacteriaceae | 0.0327 [0.0234, 0.0440] | 0.0081 [0.0035, 0.0175] | 0.0126 [0.0037, 0.0343] | 0.035 | |
| Christensenellaceae | 0.6797 [0.2907, 1.3801] | 0.1033 [0.0223, 0.2216] | 0.2123 [0.0957, 0.3820] | 0.035 | |
| Clostridiales Family XII. Incertae Sedis | 0.0063 [0.0013, 0.0232] | 0.0000 [0.0000, 0.0000] | 0.0000 [0.0000, 0.0000] | <0.001 | |
| Clostridiales Family XIII. Incertae Sedis | 0.0000 [0.0000, 0.0000] | 0.0206 [0.0125, 0.0302] | 0.0092 [0.0060, 0.0419] | <0.001 | |
| Cytophagaceae | 0.0000 [0.0000, 0.0000] | 0.0000 [0.0000, 0.0000] | 0.0028 [0.0023, 0.0371] | <0.001 | |
| Desulfohalobiaceae | 0.0036 [0.0028, 0.0167] | 0.0000 [0.0000, 0.0000] | 0.0000 [0.0000, 0.0000] | <0.001 | |
| Desulfurellaceae | 0.0023 [0.0004, 0.0127] | 0.0000 [0.0000, 0.0000] | 0.0000 [0.0000, 0.0000] | <0.001 | |
| Enterococcaceae | 0.0047 [0.0010, 0.0218] | 0.0000 [0.0000, 0.0000] | 0.0060 [0.0016, 0.0113] | 0.001 | |
| Erwiniaceae | 0.0097 [0.0082, 0.0216] | 0.0000 [0.0000, 0.0000] | 0.0142 [0.0128, 0.0239] | <0.001 | |
| Flavobacteriaceae | 0.0107 [0.0070, 0.0145] | 0.0000 [0.0000, 0.0000] | 0.0093 [0.0050, 0.0150] | <0.001 | |
| Nautiliaceae | 0.0177 [0.0035, 0.0277] | 0.0000 [0.0000, 0.0000] | 0.0044 [0.0018, 0.0161] | 0.001 | |
| Nitrospiraceae | 0.0029 [0.0017, 0.0058] | 0.0000 [0.0000, 0.0000] | 0.0000 [0.0000, 0.0000] | <0.001 | |
| Oxalobacteraceae | 0.0020 [0.0000, 0.0125] | 0.0000 [0.0000, 0.0000] | 0.0226 [0.0016, 0.0436] | 0.002 | |
| Paenibacillaceae | 0.0161 [0.0085, 0.0247] | 0.0000 [0.0000, 0.0000] | 0.0000 [0.0000, 0.0000] | <0.001 | |
| Peptococcaceae | 0.0379 [0.0230, 0.0551] | 0.0035 [0.0026, 0.0224] | 0.0074 [0.0055, 0.0103] | 0.007 | |
| Peptostreptococcaceae | 0.0331 [0.0256, 0.0396] | 0.0000 [0.0000, 0.0000] | 0.0418 [0.0194, 0.0707] | <0.001 | |
| Polyangiaceae | 0.0002 [0.0000, 0.0052] | 0.0000 [0.0000, 0.0000] | 0.0000 [0.0000, 0.0000] | 0.009 | |
| Propionibacteriaceae | 0.1445 [0.0063, 0.2139] | 0.0026 [0.0014, 0.0043] | 0.2381 [0.0218, 0.6672] | 0.023 | |
| Pseudomonadaceae | 0.0168 [0.0100, 0.0303] | 0.0000 [0.0000, 0.0000] | 0.0140 [0.0100, 0.0177] | <0.001 | |
| Puniceicoccaceae | 0.0000 [0.0000, 0.0045] | 0.0000 [0.0000, 0.0000] | 0.0000 [0.0000, 0.0000] | 0.023 | |
| Ruminococcaceae | 15.3334 [9.8807, 21.7498] | 25.0671 [23.1509, 29.6044] | 19.1784 [11.2163, 24.2467] | 0.037 | |
| Selenomonadaceae | 0.0512 [0.0298, 0.1030] | 0.0070 [0.0052, 0.0103] | 0.0043 [0.0026, 0.0086] | 0.023 | |
| Sphingobacteriaceae | 0.0088 [0.0071, 0.0220] | 0.0000 [0.0000, 0.0000] | 0.0000 [0.0000, 0.0000] | <0.001 | |
| Streptomycetaceae | 0.0206 [0.0123, 0.0365] | 0.0078 [0.0042, 0.0096] | 0.0280 [0.0091, 0.0473] | 0.046 | |
| Succinivibrionaceae | 0.0010 [0.0000, 0.0019] | 0.0007 [0.0006, 0.0010] | 0.0000 [0.0000, 0.0000] | 0.009 | |
| Synergistaceae | 0.0067 [0.0036, 0.0856] | 0.0000 [0.0000, 0.0000] | 0.0097 [0.0026, 0.0183] | <0.001 | |
| Syntrophorhabdaceae | 0.0003 [0.0000, 0.0085] | 0.0000 [0.0000, 0.0000] | 0.0000 [0.0000, 0.0000] | 0.009 | |
| Thermoanaerobacterales Family III Incertae Sedis | 0.0008 [0.0000, 0.0014] | 0.0000 [0.0000, 0.0000] | 0.0000 [0.0000, 0.0000] | 0.001 | |
| Tissierellaceae | 0.0000 [0.0000, 0.0000] | 0.0000 [0.0000, 0.0000] | 0.0060 [0.0029, 0.0097] | <0.001 | |
| Veillonellaceae | 2.9400 [0.2817, 4.7843] | 1.8205 [0.1195, 5.6608] | 0.0389 [0.0156, 0.1558] | 0.025 | |
| Vibrionaceae | 0.0026 [0.0020, 0.0073] | 0.0000 [0.0000, 0.0000] | 0.0000 [0.0000, 0.0000] | <0.001 | |
| Genus | Acetanaerobacterium | 0.0192 [0.0064, 0.0330] | 0.0000 [0.0000, 0.0000] | 0.0000 [0.0000, 0.0000] | <0.001 |
| Acetivibrio | 0.0144 [0.0117, 0.0210] | 0.0000 [0.0000, 0.0000] | 0.0112 [0.0075, 0.0275] | <0.001 | |
| Acetobacteroides | 0.0002 [0.0000, 0.0032] | 0.0000 [0.0000, 0.0000] | 0.0000 [0.0000, 0.0000] | 0.009 | |
| Aeromonas | 0.0000 [0.0000, 0.0000] | 0.0000 [0.0000, 0.0000] | 0.0107 [0.0032, 0.0149] | <0.001 | |
| Alkaliphilus | 0.0000 [0.0000, 0.0000] | 0.0000 [0.0000, 0.0000] | 0.0086 [0.0057, 0.0126] | <0.001 | |
| Alloprevotella | 0.0000 [0.0000, 0.0000] | 0.0007 [0.0003, 0.0014] | 0.0000 [0.0000, 0.0000] | <0.001 | |
| Anaerofilum | 0.0068 [0.0044, 0.0207] | 0.0086 [0.0044, 0.0173] | 0.0000 [0.0000, 0.0000] | <0.001 | |
| Anaeroplasma | 0.0000 [0.0000, 0.0000] | 0.0000 [0.0000, 0.0000] | 0.0000 [0.0000, 0.0091] | 0.012 | |
| Anaerostipes | 0.0234 [0.0089, 0.0611] | 0.0174 [0.0121, 0.0206] | 0.1156 [0.0316, 0.5372] | 0.024 | |
| Bacillus | 0.0097 [0.0049, 0.0155] | 0.0000 [0.0000, 0.0000] | 0.0065 [0.0031, 0.0124] | <0.001 | |
| Candidatus Phytoplasma | 0.0000 [0.0000, 0.0000] | 0.0000 [0.0000, 0.0000] | 0.0021 [0.0016, 0.0113] | <0.001 | |
| Candidatus Soleaferrea | 0.0122 [0.0083, 0.0572] | 0.0091 [0.0075, 0.0119] | 0.0000 [0.0000, 0.0000] | 0.001 | |
| Catabacter | 0.0289 [0.0200, 0.0339] | 0.0075 [0.0030, 0.0153] | 0.0103 [0.0036, 0.0280] | 0.036 | |
| Christensenella | 0.4438 [0.1379, 0.7502] | 0.0479 [0.0142, 0.1074] | 0.1088 [0.0463, 0.1956] | 0.017 | |
| Coprobacillus | 0.0000 [0.0000, 0.0047] | 0.0000 [0.0000, 0.0000] | 0.0000 [0.0000, 0.0000] | 0.024 | |
| Dakarella | 0.1114 [0.0015, 0.7843] | 0.0002 [0.0000, 0.0004] | 0.0000 [0.0000, 0.0000] | 0.002 | |
| Defluviitalea | 0.0151 [0.0062, 0.0247] | 0.0000 [0.0000, 0.0000] | 0.0191 [0.0062, 0.0218] | <0.001 | |
| Denitrobacterium | 0.0000 [0.0000, 0.0000] | 0.0036 [0.0000, 0.0198] | 0.0020 [0.0005, 0.0075] | 0.005 | |
| Desulfohalobium | 0.0009 [0.0003, 0.0049] | 0.0000 [0.0000, 0.0000] | 0.0000 [0.0000, 0.0000] | <0.001 | |
| Desulfotomaculum | 0.0077 [0.0036, 0.0154] | 0.0000 [0.0000, 0.0000] | 0.0000 [0.0000, 0.0000] | <0.001 | |
| Dialister | 1.7288 [0.0421, 4.6387] | 1.7564 [0.0939, 5.6073] | 0.0041 [0.0027, 0.0080] | 0.016 | |
| Dysgonomonas | 0.0106 [0.0040, 0.0272] | 0.0000 [0.0000, 0.0000] | 0.0000 [0.0000, 0.0000] | <0.001 | |
| Eggerthella | 0.0069 [0.0026, 0.0144] | 0.0000 [0.0000, 0.0000] | 0.0195 [0.0145, 0.0349] | <0.001 | |
| Escherichia | 0.0029 [0.0009, 0.0262] | 0.0000 [0.0000, 0.0000] | 0.0011 [0.0000, 0.0089] | 0.001 | |
| Eubacterium | 1.8114 [1.2982, 3.1914] | 1.0085 [0.7616, 3.2710] | 4.5088 [2.7865, 6.5613] | 0.046 | |
| Faecalibacterium | 6.7009 [5.1594, 8.8515] | 18.9963 [17.4550, 19.9556] | 9.0591 [6.4928, 10.7255] | 0.003 | |
| Falcatimonas | 0.0000 [0.0000, 0.0000] | 0.0037 [0.0022, 0.0086] | 0.0097 [0.0009, 0.0456] | <0.001 | |
| Fastidiosipila | 0.0041 [0.0017, 0.0068] | 0.0000 [0.0000, 0.0000] | 0.0011 [0.0002, 0.0022] | 0.001 | |
| Fenollaria | 0.0136 [0.0057, 0.0178] | 0.0000 [0.0000, 0.0000] | 0.0203 [0.0124, 0.0289] | <0.001 | |
| Gabonibacter | 0.0000 [0.0000, 0.0000] | 0.0003 [0.0000, 0.0009] | 0.0000 [0.0000, 0.0000] | 0.007 | |
| Gorbachella | 0.0000 [0.0000, 0.0000] | 0.0000 [0.0000, 0.0000] | 0.0172 [0.0093, 0.0202] | <0.001 | |
| Gordonibacter | 0.0000 [0.0000, 0.0000] | 0.0000 [0.0000, 0.0000] | 0.0186 [0.0021, 0.0473] | <0.001 | |
| Haemophilus | 0.0014 [0.0004, 0.0213] | 0.0000 [0.0000, 0.0000] | 0.0093 [0.0028, 0.0252] | 0.001 | |
| Harryflintia | 0.0005 [0.0000, 0.0022] | 0.0006 [0.0004, 0.0094] | 0.0000 [0.0000, 0.0000] | 0.005 | |
| Hespellia | 0.0075 [0.0027, 0.0117] | 0.0161 [0.0109, 0.0229] | 0.0000 [0.0000, 0.0000] | <0.001 | |
| Hippea | 0.0023 [0.0000, 0.0118] | 0.0000 [0.0000, 0.0000] | 0.0000 [0.0000, 0.0000] | 0.001 | |
| Howardella | 0.0005 [0.0003, 0.0113] | 0.0000 [0.0000, 0.0000] | 0.0000 [0.0000, 0.0000] | <0.001 | |
| Hungatella | 0.0000 [0.0000, 0.0000] | 0.0131 [0.0025, 0.0207] | 0.0000 [0.0000, 0.0000] | <0.001 | |
| Hydrogenoanaerobacterium | 0.0177 [0.0089, 0.0243] | 0.0000 [0.0000, 0.0000] | 0.0158 [0.0052, 0.0193] | <0.001 | |
| Ihubacter | 0.0000 [0.0000, 0.0000] | 0.0096 [0.0066, 0.0205] | 0.0057 [0.0025, 0.0247] | <0.001 | |
| Intestinibacter | 0.0000 [0.0000, 0.0000] | 0.0000 [0.0000, 0.0000] | 0.0037 [0.0005, 0.0382] | <0.001 | |
| Lachnobacterium | 0.0000 [0.0000, 0.0000] | 0.0118 [0.0080, 0.0242] | 0.0187 [0.0104, 0.0365] | <0.001 | |
| Lachnotalea | 0.0084 [0.0070, 0.0119] | 0.0000 [0.0000, 0.0000] | 0.0156 [0.0050, 0.0294] | <0.001 | |
| Libanicoccus | 0.0000 [0.0000, 0.0000] | 0.0000 [0.0000, 0.0004] | 0.0000 [0.0000, 0.0000] | 0.023 | |
| Lutispora | 0.0051 [0.0036, 0.0229] | 0.0000 [0.0000, 0.0000] | 0.0054 [0.0028, 0.0214] | 0.001 | |
| Mediterranea | 0.0012 [0.0003, 0.0024] | 0.0000 [0.0000, 0.0000] | 0.0000 [0.0000, 0.0000] | <0.001 | |
| Megamonas | 0.0010 [0.0000, 0.0042] | 0.0000 [0.0000, 0.0000] | 0.0000 [0.0000, 0.0000] | 0.001 | |
| Megasphaera | 0.0343 [0.0003, 0.5532] | 0.0000 [0.0000, 0.0000] | 0.0000 [0.0000, 0.0000] | <0.001 | |
| Mitsuokella | 0.0010 [0.0000, 0.0094] | 0.0000 [0.0000, 0.0000] | 0.0000 [0.0000, 0.0000] | 0.001 | |
| Mucilaginibacter | 0.0000 [0.0000, 0.0019] | 0.0000 [0.0000, 0.0000] | 0.0000 [0.0000, 0.0000] | 0.024 | |
| Natranaerovirga | 0.0177 [0.0100, 0.0249] | 0.0000 [0.0000, 0.0000] | 0.0208 [0.0183, 0.0279] | <0.001 | |
| Nautilia | 0.0129 [0.0029, 0.0231] | 0.0000 [0.0000, 0.0000] | 0.0034 [0.0014, 0.0054] | 0.001 | |
| Nitrospira | 0.0013 [0.0000, 0.0029] | 0.0000 [0.0000, 0.0000] | 0.0000 [0.0000, 0.0000] | 0.001 | |
| Olsenella | 0.0033 [0.0000, 0.0109] | 0.0009 [0.0000, 0.0203] | 0.0000 [0.0000, 0.0000] | 0.024 | |
| Oribacterium | 0.0069 [0.0037, 0.0124] | 0.0000 [0.0000, 0.0000] | 0.0062 [0.0032, 0.0073] | <0.001 | |
| Oxalobacter | 0.0000 [0.0000, 0.0000] | 0.0000 [0.0000, 0.0000] | 0.0204 [0.0005, 0.0343] | <0.001 | |
| Paenibacillus | 0.0143 [0.0068, 0.0230] | 0.0000 [0.0000, 0.0000] | 0.0000 [0.0000, 0.0000] | <0.001 | |
| Paludibacter | 0.0054 [0.0025, 0.0116] | 0.0000 [0.0000, 0.0000] | 0.0046 [0.0023, 0.0048] | <0.001 | |
| Pantoea | 0.0016 [0.0007, 0.0103] | 0.0000 [0.0000, 0.0000] | 0.0000 [0.0000, 0.0000] | <0.001 | |
| Parasporobacterium | 0.0000 [0.0000, 0.0000] | 0.0023 [0.0000, 0.0075] | 0.0000 [0.0000, 0.0000] | 0.002 | |
| Peptococcus | 0.0093 [0.0034, 0.0207] | 0.0000 [0.0000, 0.0000] | 0.0000 [0.0000, 0.0000] | <0.001 | |
| Porphyromonas | 0.0246 [0.0185, 0.0293] | 0.0000 [0.0000, 0.0000] | 0.0138 [0.0112, 0.0254] | <0.001 | |
| Prevotellamassilia | 0.0003 [0.0000, 0.0016] | 0.0000 [0.0000, 0.0000] | 0.0000 [0.0000, 0.0000] | 0.009 | |
| Propionibacterium | 0.1439 [0.0041, 0.2118] | 0.0000 [0.0000, 0.0000] | 0.1904 [0.0156, 0.6649] | <0.001 | |
| Provencibacterium | 0.0000 [0.0000, 0.0006] | 0.0000 [0.0000, 0.0000] | 0.0006 [0.0000, 0.0011] | 0.030 | |
| Pseudomonas | 0.0156 [0.0094, 0.0245] | 0.0000 [0.0000, 0.0000] | 0.0118 [0.0092, 0.0138] | <0.001 | |
| Raoultibacter | 0.0052 [0.0016, 0.0131] | 0.0000 [0.0000, 0.0000] | 0.0161 [0.0097, 0.0218] | <0.001 | |
| Robinsoniella | 0.0179 [0.0128, 0.0248] | 0.0122 [0.0065, 0.0148] | 0.0481 [0.0374, 0.1007] | 0.016 | |
| Saccharofermentans | 0.0380 [0.0251, 0.0634] | 0.0000 [0.0000, 0.0000] | 0.0121 [0.0065, 0.0403] | <0.001 | |
| Selenomonas | 0.0061 [0.0027, 0.0218] | 0.0000 [0.0000, 0.0000] | 0.0000 [0.0000, 0.0000] | <0.001 | |
| Succinivibrio | 0.0008 [0.0000, 0.0017] | 0.0007 [0.0006, 0.0010] | 0.0000 [0.0000, 0.0000] | 0.009 | |
| Synergistes | 0.0000 [0.0000, 0.0147] | 0.0000 [0.0000, 0.0000] | 0.0000 [0.0000, 0.0000] | 0.024 | |
| Syntrophorhabdus | 0.0000 [0.0000, 0.0048] | 0.0000 [0.0000, 0.0000] | 0.0000 [0.0000, 0.0000] | 0.024 | |
| Wigglesworthia | 0.0069 [0.0043, 0.0088] | 0.0000 [0.0000, 0.0000] | 0.0000 [0.0000, 0.0000] | <0.001 | |
| Species | Clostridium colinum | 0.0000 [0.0000, 0.0054] | 0.0000 [0.0000, 0.0000] | 0.0000 [0.0000, 0.0000] | 0.026 |
| Clostridium glycyrrhizinilyticum | 0.0000 [0.0000, 0.0028] | 0.0000 [0.0000, 0.0000] | 0.0000 [0.0000, 0.0000] | 0.026 | |
| Clostridium polysaccharolyticum | 0.0000 [0.0000, 0.0000] | 0.0000 [0.0000, 0.0000] | 0.0073 [0.0038, 0.0114] | <0.001 | |
| Clostridium symbiosum | 0.0021 [0.0016, 0.0049] | 0.0000 [0.0000, 0.0000] | 0.0000 [0.0000, 0.0000] | <0.001 | |
| Clostridium xylanolyticum | 0.0000 [0.0000, 0.0000] | 0.0099 [0.0006, 0.0226] | 0.0000 [0.0000, 0.0000] | <0.001 | |
| Eubacterium hallii | 0.0161 [0.0060, 0.0439] | 0.0000 [0.0000, 0.0000] | 0.0651 [0.0207, 0.0704] | <0.001 | |
| Adlercreutzia equolifaciens | 0.0000 [0.0000, 0.0000] | 0.0000 [0.0000, 0.0000] | 0.0011 [0.0005, 0.0086] | <0.001 | |
| Alistipes finegoldii | 0.0011 [0.0006, 0.0128] | 0.1265 [0.1095, 0.6407] | 0.0419 [0.0031, 0.0692] | 0.003 | |
| Alistipes sp. S457 | 0.0030 [0.0000, 0.1588] | 0.0000 [0.0000, 0.0000] | 0.0000 [0.0000, 0.1262] | 0.027 | |
| Alloprevotella rava | 0.0000 [0.0000, 0.0000] | 0.0002 [0.0000, 0.0007] | 0.0000 [0.0000, 0.0000] | 0.007 | |
| Anaerostipes butyraticus | 0.0000 [0.0000, 0.0000] | 0.0000 [0.0000, 0.0000] | 0.0220 [0.0031, 0.0334] | <0.001 | |
| Anaerostipes hadrus | 0.0023 [0.0003, 0.0039] | 0.0000 [0.0000, 0.0000] | 0.0089 [0.0041, 0.0289] | 0.001 | |
| Anaerotruncus colihominis | 0.0054 [0.0023, 0.0089] | 0.0000 [0.0000, 0.0000] | 0.0000 [0.0000, 0.0000] | <0.001 | |
| Anaerotruncus rubiinfantis | 0.0117 [0.0069, 0.0252] | 0.0000 [0.0000, 0.0000] | 0.0064 [0.0025, 0.0170] | <0.001 | |
| Angelakisella massiliensis | 0.0212 [0.0065, 0.0532] | 0.0000 [0.0000, 0.0000] | 0.0000 [0.0000, 0.0000] | <0.001 | |
| Bacillus nealsonii | 0.0000 [0.0000, 0.0000] | 0.0000 [0.0000, 0.0000] | 0.0019 [0.0000, 0.0038] | 0.003 | |
| Bacteroides acidifaciens | 0.0158 [0.0116, 0.0317] | 0.0000 [0.0000, 0.0000] | 0.0265 [0.0254, 0.0307] | <0.001 | |
| Bacteroides barnesiae | 0.0040 [0.0020, 0.0105] | 0.0000 [0.0000, 0.0000] | 0.0000 [0.0000, 0.0000] | <0.001 | |
| Bacteroides caecicola | 0.0000 [0.0000, 0.0007] | 0.0000 [0.0000, 0.0000] | 0.0000 [0.0000, 0.0000] | 0.026 | |
| Bacteroides clarus | 0.0066 [0.0032, 0.0233] | 0.0000 [0.0000, 0.0000] | 0.0050 [0.0032, 0.4975] | <0.001 | |
| Bacteroides faecichinchillae | 0.0000 [0.0000, 0.0000] | 0.0000 [0.0000, 0.0000] | 0.0094 [0.0031, 0.0176] | <0.001 | |
| Bacteroides fluxus | 0.0035 [0.0013, 0.0093] | 0.0000 [0.0000, 0.0000] | 0.0000 [0.0000, 0.0000] | <0.001 | |
| Bacteroides intestinalis | 0.0000 [0.0000, 0.0000] | 0.0000 [0.0000, 0.0000] | 0.0018 [0.0005, 0.0046] | <0.001 | |
| Bacteroides mediterraneensis | 0.0032 [0.0010, 0.1966] | 0.0000 [0.0000, 0.0000] | 0.0000 [0.0000, 0.0000] | <0.001 | |
| Bacteroides paurosaccharolyticus | 0.0016 [0.0013, 0.0092] | 0.0000 [0.0000, 0.0000] | 0.0000 [0.0000, 0.0000] | <0.001 | |
| Bacteroides rodentium | 0.0000 [0.0000, 0.0000] | 0.0000 [0.0000, 0.0000] | 0.0005 [0.0003, 0.0010] | <0.001 | |
| Bacteroides salanitronis | 0.0009 [0.0004, 0.0032] | 0.0000 [0.0000, 0.0000] | 0.0000 [0.0000, 0.0000] | <0.001 | |
| Bacteroides salyersiae | 0.0000 [0.0000, 0.0000] | 0.0018 [0.0006, 0.0033] | 0.0031 [0.0016, 0.2846] | <0.001 | |
| Bacteroides sp. 35AE37 | 0.0000 [0.0000, 0.0000] | 0.0000 [0.0000, 0.0000] | 0.0022 [0.0011, 0.0031] | <0.001 | |
| Bacteroides sp. ANH 2438 | 0.0002 [0.0000, 0.0013] | 0.0000 [0.0000, 0.0000] | 0.0011 [0.0005, 0.0023] | 0.010 | |
| Bacteroides sp. HGA0138 | 0.0000 [0.0000, 0.0000] | 0.0000 [0.0000, 0.0000] | 0.0045 [0.0000, 0.0086] | 0.003 | |
| Bacteroides sp. Marseille P3108 | 0.0190 [0.0046, 0.0212] | 0.0000 [0.0000, 0.0000] | 0.0108 [0.0031, 0.0225] | <0.001 | |
| Bacteroides stercorirosoris | 0.0000 [0.0000, 0.0000] | 0.0000 [0.0000, 0.0000] | 0.0041 [0.0000, 0.0354] | 0.001 | |
| Bacteroides vulgatus | 0.7618 [0.0572, 1.2351] | 1.4728 [0.9327, 2.1484] | 1.9609 [1.7974, 3.7528] | 0.032 | |
| Bifidobacterium adolescentis | 0.0000 [0.0000, 0.0000] | 0.0000 [0.0000, 0.0000] | 0.0011 [0.0000, 0.0099] | 0.003 | |
| Bifidobacterium sp. 113 | 0.0000 [0.0000, 0.0000] | 0.0012 [0.0004, 0.0197] | 0.0000 [0.0000, 0.0000] | <0.001 | |
| Bifidobacterium sp. TM 7 | 0.0000 [0.0000, 0.0000] | 0.0000 [0.0000, 0.0005] | 0.0000 [0.0000, 0.0000] | 0.024 | |
| Blautia luti | 0.0000 [0.0000, 0.0000] | 0.0236 [0.0004, 0.1324] | 0.0000 [0.0000, 0.0000] | <0.001 | |
| Blautia obeum | 0.1137 [0.0579, 0.2103] | 0.0627 [0.0455, 0.1708] | 0.5450 [0.2173, 0.6162] | 0.019 | |
| Blautia sp. Canine oral taxon 337 | 0.0000 [0.0000, 0.0000] | 0.0000 [0.0000, 0.0000] | 0.0134 [0.0083, 0.0258] | <0.001 | |
| Butyricicoccus desmolans | 0.0000 [0.0000, 0.0000] | 0.0108 [0.0024, 0.0188] | 0.0103 [0.0005, 0.0296] | <0.001 | |
| Butyricimonas faecihominis | 0.0000 [0.0000, 0.0000] | 0.0021 [0.0000, 0.0132] | 0.0000 [0.0000, 0.0000] | 0.007 | |
| Butyricimonas sp. 180 3 | 0.0000 [0.0000, 0.0000] | 0.0035 [0.0002, 0.0134] | 0.0000 [0.0000, 0.0000] | 0.001 | |
| Butyricimonas sp. AT11 | 0.0168 [0.0013, 0.0422] | 0.0000 [0.0000, 0.0000] | 0.0025 [0.0010, 0.0106] | 0.002 | |
| Butyricimonas sp. S479 | 0.0000 [0.0000, 0.0000] | 0.0053 [0.0004, 0.0200] | 0.0000 [0.0000, 0.0000] | 0.001 | |
| Butyrivibrio crossotus | 0.0000 [0.0000, 0.0000] | 0.0023 [0.0014, 0.0029] | 0.0000 [0.0000, 0.0000] | <0.001 | |
| Candidatus Dorea massiliensis | 0.0008 [0.0000, 0.0030] | 0.0015 [0.0006, 0.0019] | 0.0000 [0.0000, 0.0000] | 0.022 | |
| Candidatus Soleaferrea massiliensis | 0.0019 [0.0010, 0.0069] | 0.0000 [0.0000, 0.0000] | 0.0000 [0.0000, 0.0000] | <0.001 | |
| Catabacter hongkongensis | 0.0097 [0.0068, 0.0142] | 0.0000 [0.0000, 0.0000] | 0.0000 [0.0000, 0.0000] | <0.001 | |
| Christensenella timonensis | 0.0177 [0.0047, 0.0223] | 0.0000 [0.0000, 0.0000] | 0.0037 [0.0023, 0.0124] | <0.001 | |
| Clostridium carnis | 0.0000 [0.0000, 0.0000] | 0.0000 [0.0000, 0.0000] | 0.0000 [0.0000, 0.0009] | 0.044 | |
| Clostridium phoceensis | 0.0000 [0.0000, 0.0000] | 0.0011 [0.0001, 0.0059] | 0.0023 [0.0003, 0.0074] | 0.003 | |
| Clostridium sp. 14,505 | 0.0000 [0.0000, 0.0000] | 0.0000 [0.0000, 0.0006] | 0.0000 [0.0000, 0.0000] | 0.024 | |
| Clostridium sp. 37hoe | 0.0034 [0.0000, 0.0135] | 0.0000 [0.0000, 0.0000] | 0.0114 [0.0062, 0.0294] | 0.003 | |
| Clostridium sp. ACB 29 | 0.0000 [0.0000, 0.0000] | 0.0000 [0.0000, 0.0000] | 0.0011 [0.0005, 0.0035] | <0.001 | |
| Clostridium sp. Clone 17 | 0.0000 [0.0000, 0.0000] | 0.0000 [0.0000, 0.0000] | 0.0240 [0.0184, 0.0255] | <0.001 | |
| Clostridium sp. Culture Jar 19 | 0.0076 [0.0059, 0.0221] | 0.0000 [0.0000, 0.0000] | 0.0092 [0.0056, 0.0146] | <0.001 | |
| Clostridium sp. Culture 41 | 0.0056 [0.0044, 0.0072] | 0.0000 [0.0000, 0.0000] | 0.0062 [0.0022, 0.0092] | <0.001 | |
| Clostridium sp. Culture 46 | 0.0007 [0.0000, 0.0011] | 0.0000 [0.0000, 0.0000] | 0.0000 [0.0000, 0.0000] | 0.001 | |
| Clostridium sp. Enrichment culture clone 06 1235251 89 | 0.0118 [0.0087, 0.0296] | 0.0000 [0.0000, 0.0000] | 0.0080 [0.0047, 0.0149] | <0.001 | |
| Clostridium sp. enrichment culture clone 7 14 | 0.0007 [0.0000, 0.0088] | 0.0000 [0.0000, 0.0000] | 0.0043 [0.0023, 0.0097] | 0.005 | |
| Clostridium sp. Enrichment culture clone VanCtr97 | 0.0049 [0.0028, 0.0131] | 0.0000 [0.0000, 0.0000] | 0.0374 [0.0032, 0.0521] | 0.001 | |
| Clostridium sp. Enrichment culture clone Y234 | 0.0000 [0.0000, 0.0000] | 0.0040 [0.0002, 0.0072] | 0.0002 [0.0000, 0.0290] | 0.009 | |
| Clostridium sp. ID6 | 0.0000 [0.0000, 0.0000] | 0.0000 [0.0000, 0.0000] | 0.0054 [0.0000, 0.0073] | 0.003 | |
| Clostridium sp. Marseille P3122 | 0.0080 [0.0038, 0.0166] | 0.0000 [0.0000, 0.0000] | 0.0067 [0.0031, 0.0126] | <0.001 | |
| Clostridium sp. Marseille P3244 | 0.0012 [0.0000, 0.0094] | 0.0000 [0.0000, 0.0000] | 0.0038 [0.0028, 0.0095] | 0.001 | |
| Clostridium sp. MLG856.1 | 0.0000 [0.0000, 0.0089] | 0.0000 [0.0000, 0.0000] | 0.0000 [0.0000, 0.0000] | 0.026 | |
| Clostridium sp. PI S10 B5A | 0.0000 [0.0000, 0.0000] | 0.0000 [0.0000, 0.0000] | 0.0000 [0.0000, 0.0003] | 0.044 | |
| Clostridium sp. TM 40 | 0.0003 [0.0000, 0.0010] | 0.0000 [0.0000, 0.0000] | 0.0000 [0.0000, 0.0000] | 0.010 | |
| Clostridium sp. VKM B 2202 | 0.0082 [0.0061, 0.0092] | 0.0000 [0.0000, 0.0000] | 0.0114 [0.0083, 0.0186] | <0.001 | |
| Coprobacter secundus | 0.0082 [0.0010, 0.0222] | 0.0023 [0.0002, 0.0207] | 0.0000 [0.0000, 0.0000] | 0.010 | |
| Coprococcus eutactus | 0.0029 [0.0013, 0.0098] | 0.0000 [0.0000, 0.0000] | 0.0062 [0.0005, 0.0225] | 0.003 | |
| Dakarella massiliensis | 0.1038 [0.0008, 0.7340] | 0.0000 [0.0000, 0.0004] | 0.0000 [0.0000, 0.0000] | 0.002 | |
| Dialister invisus | 0.0032 [0.0000, 0.0207] | 0.0000 [0.0000, 0.0000] | 0.0000 [0.0000, 0.0005] | 0.015 | |
| Dialister sp. GBA27 | 0.0000 [0.0000, 0.0000] | 0.0008 [0.0000, 0.0090] | 0.0000 [0.0000, 0.0000] | 0.007 | |
| Dialister sp. Oral clone MCE7_134 | 0.0008 [0.0000, 0.0028] | 0.0000 [0.0000, 0.0000] | 0.0000 [0.0000, 0.0000] | 0.010 | |
| Dialister sp. oral taxon 119 | 0.0029 [0.0005, 0.0186] | 0.0000 [0.0000, 0.0000] | 0.0000 [0.0000, 0.0000] | <0.001 | |
| Dialister sp. Oral taxon A97 | 0.0000 [0.0000, 0.0000] | 0.0000 [0.0000, 0.0005] | 0.0000 [0.0000, 0.0000] | 0.024 | |
| Dialister succinatiphilus | 0.0024 [0.0000, 0.2609] | 0.0038 [0.0015, 0.0074] | 0.0000 [0.0000, 0.0000] | 0.004 | |
| Eisenbergiella massiliensis | 0.0000 [0.0000, 0.0014] | 0.0061 [0.0013, 0.0322] | 0.0000 [0.0000, 0.0000] | 0.007 | |
| Escherichia coli | 0.0019 [0.0009, 0.0237] | 0.0000 [0.0000, 0.0000] | 0.0011 [0.0000, 0.0073] | 0.002 | |
| Eubacterium coprostanoligenes | 0.0264 [0.0088, 0.0484] | 0.0000 [0.0000, 0.0000] | 0.1952 [0.0921, 0.6125] | <0.001 | |
| Faecalibacterium CM04 06 | 0.0082 [0.0034, 0.0594] | 1.4640 [0.6198, 3.3800] | 0.0250 [0.0063, 0.0389] | 0.004 | |
| Faecalibacterium prausnitzii | 3.7151 [2.5044, 5.1455] | 12.7134 [10.3494, 14.3182] | 5.5894 [3.2108, 7.2897] | <0.001 | |
| Falcatimonas natans | 0.0000 [0.0000, 0.0000] | 0.0021 [0.0001, 0.0042] | 0.0086 [0.0009, 0.0434] | 0.002 | |
| Fenollaria timonensis | 0.0126 [0.0048, 0.0157] | 0.0000 [0.0000, 0.0000] | 0.0181 [0.0107, 0.0238] | <0.001 | |
| Flintibacter butyricus | 0.0127 [0.0104, 0.0169] | 0.0000 [0.0000, 0.0000] | 0.0140 [0.0043, 0.0311] | <0.001 | |
| Holdemania massiliensis | 0.0000 [0.0000, 0.0000] | 0.0000 [0.0000, 0.0000] | 0.0000 [0.0000, 0.0091] | 0.044 | |
| Howardella ureilytica | 0.0000 [0.0000, 0.0106] | 0.0000 [0.0000, 0.0000] | 0.0000 [0.0000, 0.0000] | 0.026 | |
| Hungatella hathewayi | 0.0000 [0.0000, 0.0000] | 0.0047 [0.0011, 0.0163] | 0.0000 [0.0000, 0.0000] | <0.001 | |
| Intestinibacter bartlettii | 0.0000 [0.0000, 0.0000] | 0.0000 [0.0000, 0.0000] | 0.0037 [0.0005, 0.0382] | <0.001 | |
| Intestinimonas butyriciproducens | 0.0000 [0.0000, 0.0000] | 0.0021 [0.0010, 0.0056] | 0.0000 [0.0000, 0.0000] | <0.001 | |
| Intestinimonas gabonensis | 0.0108 [0.0077, 0.0270] | 0.0925 [0.0581, 0.1601] | 0.0067 [0.0023, 0.0165] | <0.001 | |
| Intestinimonas timonensis | 0.0031 [0.0017, 0.0180] | 0.0000 [0.0000, 0.0000] | 0.0000 [0.0000, 0.0000] | <0.001 | |
| Lachnobacterium bovis | 0.0000 [0.0000, 0.0000] | 0.0000 [0.0000, 0.0000] | 0.0152 [0.0011, 0.0187] | <0.001 | |
| Mediterranea massiliensis | 0.0009 [0.0003, 0.0014] | 0.0000 [0.0000, 0.0000] | 0.0000 [0.0000, 0.0000] | <0.001 | |
| Megasphaera elsdenii | 0.0004 [0.0000, 0.0077] | 0.0000 [0.0000, 0.0000] | 0.0000 [0.0000, 0.0000] | 0.010 | |
| Merdibacter massiliensis | 0.0026 [0.0009, 0.0055] | 0.0000 [0.0000, 0.0000] | 0.0000 [0.0000, 0.0000] | <0.001 | |
| Methanobrevibacter smithii | 0.0061 [0.0000, 0.0322] | 0.0019 [0.0000, 0.0329] | 0.0000 [0.0000, 0.0000] | 0.031 | |
| Oribacterium sp. NK2B42 | 0.0033 [0.0011, 0.0091] | 0.0000 [0.0000, 0.0000] | 0.0000 [0.0000, 0.0000] | <0.001 | |
| Oxalobacter formigenes | 0.0000 [0.0000, 0.0000] | 0.0000 [0.0000, 0.0000] | 0.0172 [0.0005, 0.0280] | <0.001 | |
| Pantoea dispersa | 0.0013 [0.0004, 0.0102] | 0.0000 [0.0000, 0.0000] | 0.0000 [0.0000, 0.0000] | <0.001 | |
| Papillibacter cinnamivorans | 0.0000 [0.0000, 0.0000] | 0.0083 [0.0024, 0.0115] | 0.0057 [0.0002, 0.0086] | <0.001 | |
| Parabacteroides merdae | 0.0007 [0.0000, 0.0013] | 0.0004 [0.0000, 0.0056] | 0.0000 [0.0000, 0.0000] | 0.025 | |
| Parabacteroides sp. SN4 | 0.0000 [0.0000, 0.0034] | 0.0000 [0.0000, 0.0000] | 0.0000 [0.0000, 0.0000] | 0.026 | |
| Phascolarctobacterium sp. 377 | 0.0000 [0.0000, 0.0000] | 0.0000 [0.0000, 0.0000] | 0.0000 [0.0000, 0.0034] | 0.012 | |
| Phascolarctobacterium succinatutens | 0.0000 [0.0000, 0.0000] | 0.0002 [0.0000, 1.0265] | 0.0000 [0.0000, 0.0023] | 0.050 | |
| Phocea massiliensis | 0.0031 [0.0020, 0.0116] | 0.0000 [0.0000, 0.0000] | 0.0000 [0.0000, 0.0000] | <0.001 | |
| Prevotella copri | 0.0009 [0.0000, 0.0112] | 0.0000 [0.0000, 0.0000] | 0.0000 [0.0000, 0.0000] | 0.001 | |
| Prevotella sp. 109 | 0.0048 [0.0003, 1.4759] | 0.0000 [0.0000, 0.0000] | 0.0034 [0.0022, 0.0074] | 0.005 | |
| Prevotella sp. Canine oral taxon 282 | 0.0008 [0.0004, 0.0011] | 0.0000 [0.0000, 0.0000] | 0.0000 [0.0000, 0.0000] | <0.001 | |
| Prevotella sp. DJF_RP53 | 0.0000 [0.0000, 0.0003] | 0.0029 [0.0022, 0.0957] | 0.0000 [0.0000, 0.0000] | <0.001 | |
| Prevotella stercorea | 0.0002 [0.0000, 0.0064] | 0.0006 [0.0001, 0.0034] | 0.0000 [0.0000, 0.0000] | 0.034 | |
| Propionibacterium sp. S342 | 0.1322 [0.0024, 0.1969] | 0.0000 [0.0000, 0.0000] | 0.1538 [0.0062, 0.6465] | <0.001 | |
| Pseudoflavonifractor sp. Marseille P3106 | 0.0000 [0.0000, 0.0000] | 0.0000 [0.0000, 0.0000] | 0.0023 [0.0012, 0.0050] | <0.001 | |
| Robinsoniella peoriensis | 0.0000 [0.0000, 0.0000] | 0.0000 [0.0000, 0.0000] | 0.0046 [0.0032, 0.0138] | <0.001 | |
| Robinsoniella sp. MCWD5 | 0.0110 [0.0042, 0.0156] | 0.0000 [0.0000, 0.0000] | 0.0298 [0.0276, 0.0405] | <0.001 | |
| Roseburia inulinivorans | 0.0639 [0.0282, 0.1109] | 0.5866 [0.1126, 1.7230] | 0.0204 [0.0002, 0.0274] | 0.006 | |
| Roseburia sp. 831b | 0.0672 [0.0000, 0.4704] | 0.9504 [0.2563, 1.5792] | 0.0000 [0.0000, 0.0003] | 0.030 | |
| Roseburia sp. DJF_VR77 | 0.0000 [0.0000, 0.0000] | 0.0000 [0.0000, 0.0000] | 0.0026 [0.0000, 0.0345] | 0.003 | |
| Ruminiclostridium thermocellum | 0.0000 [0.0000, 0.0000] | 0.0000 [0.0000, 0.0000] | 0.0021 [0.0014, 0.0045] | <0.001 | |
| Ruminococcus flavefaciens | 0.0090 [0.0010, 0.0314] | 0.0063 [0.0025, 0.0110] | 0.0000 [0.0000, 0.0000] | 0.001 | |
| Ruminococcus sp. 16442 | 0.0068 [0.0053, 0.0099] | 0.0000 [0.0000, 0.0000] | 0.0113 [0.0002, 0.0147] | 0.001 | |
| Ruminococcus sp. 653 | 0.0000 [0.0000, 0.0000] | 0.0103 [0.0074, 0.0152] | 0.0140 [0.0070, 0.0260] | <0.001 | |
| Ruminococcus sp. AT10 | 0.0000 [0.0000, 0.0000] | 0.0000 [0.0000, 0.0000] | 0.0092 [0.0037, 0.1247] | <0.001 | |
| Ruminococcus sp. DJF_VR52 | 0.0000 [0.0000, 0.0000] | 0.0000 [0.0000, 0.0000] | 0.0005 [0.0000, 0.0034] | 0.003 | |
| Ruminococcus sp. DJF_VR70k1 | 0.0000 [0.0000, 0.0000] | 0.0040 [0.0008, 0.0102] | 0.0000 [0.0000, 0.0000] | <0.001 | |
| Ruminococcus sp. ID1 | 0.0235 [0.0164, 0.0259] | 0.0000 [0.0000, 0.0000] | 0.0368 [0.0172, 0.0697] | <0.001 | |
| Ruminococcus sp. ZS2 15 | 0.0000 [0.0000, 0.0000] | 0.0000 [0.0000, 0.0000] | 0.0011 [0.0005, 0.0063] | <0.001 | |
| Saccharofermentans acetigenes | 0.0099 [0.0047, 0.0158] | 0.0000 [0.0000, 0.0000] | 0.0000 [0.0000, 0.0000] | <0.001 | |
| Streptococcus agalactiae | 0.0000 [0.0000, 0.0000] | 0.0000 [0.0000, 0.0000] | 0.0000 [0.0000, 0.0005] | 0.012 | |
| Streptococcus equinus | 0.0000 [0.0000, 0.0000] | 0.0000 [0.0000, 0.0000] | 0.0035 [0.0013, 0.0161] | <0.001 | |
| Streptococcus mitis | 0.0000 [0.0000, 0.0009] | 0.0000 [0.0000, 0.0000] | 0.0000 [0.0000, 0.0000] | 0.026 | |
| Succinivibrio dextrinosolvens | 0.0008 [0.0000, 0.0012] | 0.0003 [0.0000, 0.0004] | 0.0000 [0.0000, 0.0000] | 0.030 | |
| Sutterella sp. 252 | 0.0000 [0.0000, 0.0843] | 0.0000 [0.0000, 0.0000] | 0.0000 [0.0000, 0.0000] | 0.026 | |
| Tyzzerella sp. Marseille P3062 | 0.0000 [0.0000, 0.0000] | 0.0000 [0.0000, 0.0000] | 0.0002 [0.0000, 0.0057] | 0.003 |
© 2019 by the authors. Licensee MDPI, Basel, Switzerland. This article is an open access article distributed under the terms and conditions of the Creative Commons Attribution (CC BY) license (http://creativecommons.org/licenses/by/4.0/).
Share and Cite
Fontana, A.; Panebianco, C.; Picchianti-Diamanti, A.; Laganà, B.; Cavalieri, D.; Potenza, A.; Pracella, R.; Binda, E.; Copetti, M.; Pazienza, V. Gut Microbiota Profiles Differ among Individuals Depending on Their Region of Origin: An Italian Pilot Study. Int. J. Environ. Res. Public Health 2019, 16, 4065. https://doi.org/10.3390/ijerph16214065
Fontana A, Panebianco C, Picchianti-Diamanti A, Laganà B, Cavalieri D, Potenza A, Pracella R, Binda E, Copetti M, Pazienza V. Gut Microbiota Profiles Differ among Individuals Depending on Their Region of Origin: An Italian Pilot Study. International Journal of Environmental Research and Public Health. 2019; 16(21):4065. https://doi.org/10.3390/ijerph16214065
Chicago/Turabian StyleFontana, Andrea, Concetta Panebianco, Andrea Picchianti-Diamanti, Bruno Laganà, Duccio Cavalieri, Adele Potenza, Riccardo Pracella, Elena Binda, Massimiliano Copetti, and Valerio Pazienza. 2019. "Gut Microbiota Profiles Differ among Individuals Depending on Their Region of Origin: An Italian Pilot Study" International Journal of Environmental Research and Public Health 16, no. 21: 4065. https://doi.org/10.3390/ijerph16214065
APA StyleFontana, A., Panebianco, C., Picchianti-Diamanti, A., Laganà, B., Cavalieri, D., Potenza, A., Pracella, R., Binda, E., Copetti, M., & Pazienza, V. (2019). Gut Microbiota Profiles Differ among Individuals Depending on Their Region of Origin: An Italian Pilot Study. International Journal of Environmental Research and Public Health, 16(21), 4065. https://doi.org/10.3390/ijerph16214065

