Comparative Analysis of Long-Term Variation Characteristics of SO2, NO2, and O3 in the Ecological and Economic Zones of the Western Sichuan Plateau, Southwest China
Abstract
1. Introduction
2. Materials and Methods
3. Results and Discussion
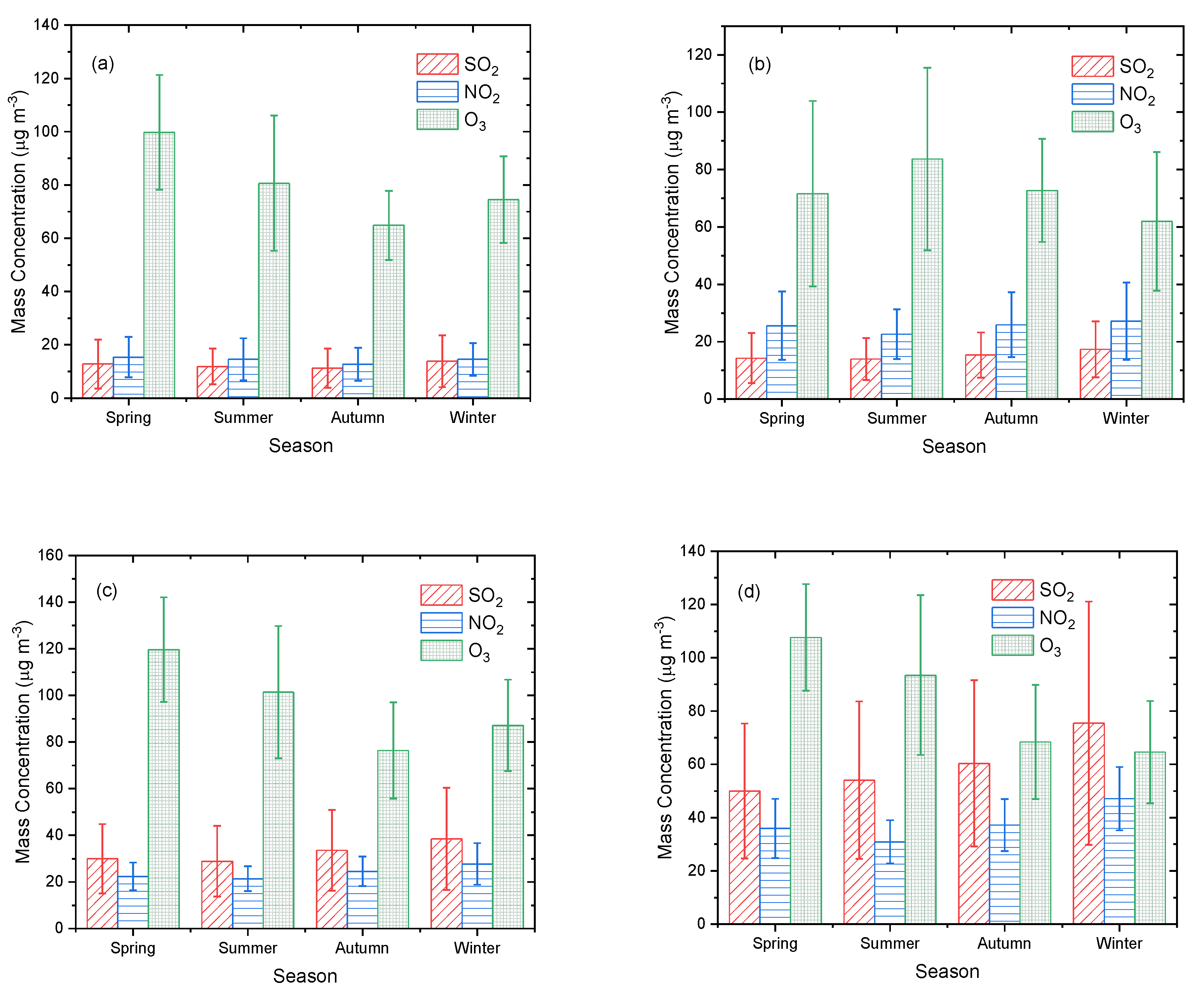
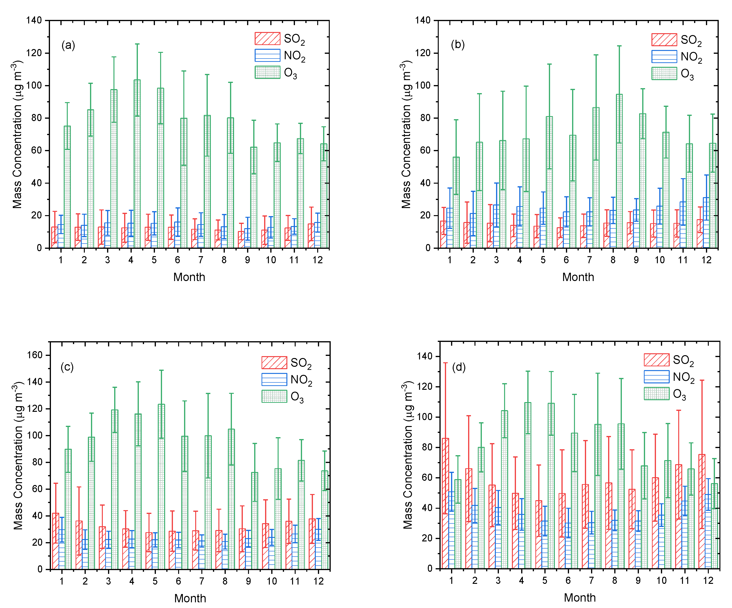
3.1. Temporal Variations of SO2, NO2, and O3
3.2. Effects of Meteorology on SO2, NO2 and O3
3.3. Characteristics of SO2, NO2, and O3
3.4. Correlation between SO2, NO2, and O3
4. Conclusions
- (1)
- On the whole, the change ranges of SO2 and NO2 in Aba, Ganzi, and Liangshan were not large, and they all showed a trend of first increasing and then decreasing. The change range of SO2 in Panzhihua was the most obvious, and the decrease range was very significant from 2012 to 2015. During the period 2015–2018, except for Aba, O3 showed a trend of first declining and then rising in the other regions. SO2/NO2 in the economic zone of Western Sichuan Plateau showed a decreasing trend, while in the relatively clean ecological zone this ratio showed an increasing trend. Although the SO2 pollution level in the clean areas was relatively low, the growth trend could not be ignored. The dependence of SO2 and NO2 on routine meteorological parameters in the ecological zone was low. The influence of meteorological parameters on gaseous pollutants was more significant in the economic zone with high anthropometric emissions.
- (2)
- O3 pollution in the Western Sichuan Plateau with less artificial emission was prominent, with the highest annual mean concentration in Liangshan, 96.25 ± 28.17 μg·m−3, and the lowest annual mean concentration in Ganzi, 72.61 ± 28.28 μg·m−3, indicating that O3 formation is promoted by strong solar radiation induced by smaller particle concentrations and more cloud-free days [42,43]. The pollution levels of SO2 and NO2 in the ecological zone were lower than those in the economic zone. The annual average concentration of SO2 in Panzhihua and Aba was the highest and lowest, at 12.39 ± 8.31 μg·m−3 and 60.05 ± 35.25 μg·m−3, respectively. Panzhihua had the highest annual average NO2 concentration, 37.81 ± 11.98 μg·m−3, while Aba had the lowest annual average concentration, 14.37 ± 7.07 μg·m−3. The seasonal and monthly variations of O3 in the four regions were more obvious than those of SO2 and NO2. The seasonal and monthly variations in the economic zone were higher than those in the ecological zone, indicating that man-made emissions have an important impact on the temporal distribution characteristics of air pollutants.
- (3)
- The correlation between SO2 and NO2 in Ganzi was the highest, followed by Panzhihua; the emission characteristics of SO2 and NO2 in these two regions were similar, and point sources contributed more to local air pollutants than mobile sources. The correlation between SO2 and NO2 was the lowest in Aba, indicating that the contribution of point sources to SO2 and NO2 pollution was not prominent. Ganzi showed the highest correlation coefficient, suggesting that NO2 contribute the most to O3 in this region in the Western Sichuan Plateau, followed by Panzhihua, Aba, and Liangshan. The correlation between NO2 and O3 is significantly higher in large and medium-sized cities in China than in the ecological and economic zones of Western Sichuan Plateau, which indicates that local precursors contribute more to the formation of O3 in areas with high NO2 emissions, while in areas with low NO2 emissions, O3 is more significantly affected by the regional background.
Author Contributions
Funding
Acknowledgments
Conflicts of Interest
References
- Che, H.; Zhang, X.; Li, Y.; Zhou, Z.; Qu, J. Horizontal visibility trends in China 1981-2005. Geophys. Res. Lett. 2007, 34, L24706. [Google Scholar] [CrossRef]
- Zhao, S.; Yu, Y.; Yin, D.; He, J.; Liu, N.; Qu, J.; Xiao, J. Annual and diurnal variations of gaseous and particulate pollutants in 31 provincial capital cities based on in situ air quality monitoring data from China National Environmental Monitoring Center. Environ. Int. 2016, 86, 92–106. [Google Scholar] [CrossRef]
- Song, C.; Wu, L.; Xie, Y.; He, J.; Chen, X.; Wang, T.; Lin, Y.; Jin, T.; Wang, A.; Liu, Y.; et al. Air pollution in China: Status and spatiotemporal variations. Environ. Int. 2017, 227, 334–347. [Google Scholar] [CrossRef]
- Zhou, T.; Sun, J.; Yu, H. Temporal and spatial patterns of China’s main air pollutants: Years 2014 and 2015. Atmosphere 2017, 8, 137. [Google Scholar] [CrossRef]
- Davis, D.D.; Grodzinsky, G.; Kasibhatla, P.; Crawford, J. Impact of ship emissions on marine boundary layer NOx and SO2 distributions over the Pacific Basin. Geophys. Res. Lett. 2001, 28, 235–238. [Google Scholar] [CrossRef]
- Fattore, E.; Paiano, V.; Borgini, A.; Tittarelli, A.; Bertodi, M.; Crosignani, P.; Fanelli, R. Human health risk in relation to air quality in two municipalities in an industrialized area of Northern Italy. Environ. Res. 2011, 111, 1321–1327. [Google Scholar] [CrossRef]
- Hu, W.; Hu, M.; Hu, W.; Jimenes, J.L.; Yuan, B.; Chen, W.; Wang, M.; Wu, Y.; Chen, C.; Wang, Z.; et al. Chemical composition, sources and aging process of submicron aerosols in Beijing: Contrast between summer and winter. J. Geophys. Res. 2016, 121, 1955–1977. [Google Scholar] [CrossRef]
- Abdolahnejad, A.; Mohammadi, A.; Hajizadeh, Y. Mortality and Morbidity Due to Exposure to Ambient NO2, SO2, and O3 in Isfahan in 2013–2014. Int. J. Prev. Med. 2018, 9, 11. [Google Scholar]
- Meng, Z.; Xu, X.; Yan, P.; Ding, G.A.; Tang, J.; Lin, W.L.; Xu, X.D.; Wang, S.F. Characteristics of trace gaseous pollutants at a regional background station in Northern China. Atmos. Chem. Phys. 2009, 9, 927–936. [Google Scholar] [CrossRef]
- Lin, W.; Xu, X.; Ge, B.; Zhang, X. Characteristics of gaseous pollutants at Gucheng, a rural site southwest of Beijing. J. Geophys. Res. 2009, 114, D00G14. [Google Scholar] [CrossRef]
- Xu, W.; Zhao, C.; Ran, L.; Deng, Z.Z.; Liu, P.F.; Ma, N.; Lin, W.L.; Xu, X.B.; Yan, P.; He, X.; et al. Characteristics of pollutants and their correlation to meteorological conditions at a suburban site in the North China Plain. Atmos. Chem. Phys. 2011, 11, 4353–4369. [Google Scholar] [CrossRef]
- Schreifels, J.J.; Fu, Y.; Wilson, E.J. Sulfur dioxide control in China: Policy evolution during the 10th and 11th Five-year Plans and lessons for the future. Energy Policy 2012, 48, 779–789. [Google Scholar] [CrossRef]
- Krotkov, N.A.; McLinden, C.A.; Li, C. Aura OMI observations of regional SO2 and NO2 pollution changes from 2005 to 2014. Atmos. Chem. Phys. 2015, 15, 26555–26607. [Google Scholar] [CrossRef]
- Jin, Y.; Andersson, H.; Zhang, S. Air pollution control policies in China: A retrospective and prospects. Int. J. Environ. Res. Public Health 2016, 13, 1219. [Google Scholar] [CrossRef]
- Zhang, L.; Lee, C.; Zhang, R.; Chen, L. Spatial and temporal evaluation of long term trend (2005-2014) of OMI retrieved NO2 and SO2 concentrations in Henan Province, China. Atmos. Environ. 2017, 154, 151–166. [Google Scholar] [CrossRef]
- Zheng, B.; Tong, D.; Li, M.; Liu, F.; Hong, C.; Geng, G.; Li, H.; Li, X.; Peng, L.; Qi, J.; et al. Trends in China’s anthropogenic emissions since 2010 as the consequence of clean air actions. Atmos. Chem. Phys. 2018, 18, 14095–14111. [Google Scholar] [CrossRef]
- Zhang, Q.; Ma, Q.; Zhao, B.; Liu, X.; Wang, X.; Jia, B.; Zhang, X. Winter haze over North China Plain from 2009 to 2016: Influence of emission and meteorology. Environ. Pollut. 2018, 242, 1308–1318. [Google Scholar] [CrossRef]
- Jin, X.; Holloway, T. Spatial and temporal variability of ozone sensitivity over China observed from the Ozone Monitoring Instrument. J. Geophys. Res. 2015, 120, 7229–7246. [Google Scholar] [CrossRef]
- Lu, X.; Hong, J.; Zhang, L.; Cooper, O.R.; Schultz, M.G.; Xu, X.; Wang, T.; Gao, M.; Zhao, Y.; Zhang, Y. Severe surface ozone pollution in China: A global perspective. Environ. Sci. Technol. Lett. 2018, 5, 487–494. [Google Scholar] [CrossRef]
- Li, K.; Jacob, D.J.; Liao, H. Anthropogenic drivers of 2013-2017 trends in summer surface ozone in China. Proc. Natl. Acad. Sci. USA 2019, 116, 422–427. [Google Scholar] [CrossRef]
- Zhao, S.; Yu, Y.; Yin, D.; Qin, D.; He, J.; Dong, L. Spatial patterns and temporal variations of six criteria air pollutants during 2015 to 2017 in the city clusters of Sichuan Basin, China. Sci. Total Environ. 2018, 624, 540–557. [Google Scholar] [CrossRef]
- Wang, S.; Huang, G.; Lin, J.; Hu, K.; Wang, L.; Gong, H. Chinese blue days: A novel index and spatio-temporal variations. Environ. Res. Lett. 2019, 14, 074026. [Google Scholar] [CrossRef]
- Yan, S.; Zhu, B.; Kang, H. Long-term fog variation and its impact factors over polluted regions of East China. J. Geophys. Res. 2019, 124, 1741–1754. [Google Scholar] [CrossRef]
- SPG. Guiding opinions on implementing the development strategy of “one line, many branches” to promote the coordinated development of the whole province. 2018. Available online: http://www.sc.gov.cn/10462/10464/10797/2018/11/20/10463293.shtml (accessed on 20 November 2018).
- Sichuan Ecological Environment Monitoring Center. Available online: http://www.scnewair.cn:6112/publish/index.html (accessed on 15 March 2019).
- Ning, G.; Wang, S.; Ma, M.; Ni, C.; Shang, Z.; Wang, J.; Li, J. Characteristics of air pollution in different zones of Sichuan Basin, China. Sci. Total Environ. 2018, 612, 975–984. [Google Scholar] [CrossRef]
- National Meteorological Information Center of China. Available online: http://data.cma.cn/ (accessed on 10 August 2019).
- Ma, Z.; Xu, J.; Quan, W.; Zhang, Z.; Lin, W.; Xu, X. Significant increase of surface ozone at a rural site, north of Eastern China. Atmos. Chem. Phys. 2016, 16, 3969–3977. [Google Scholar] [CrossRef]
- Wang, Z.; Zheng, F.; Zhang, W.; Wang, S. Analysis of SO2 Pollution Changes of Beijing-Tianjin-Hebei Region over China Based on OMI Observations from 2006 to 2017. Adv. Meteorol. 2018, 8746068, 15. [Google Scholar] [CrossRef]
- Karplus, V.J.; Zhang, S.; Almond, D. Quantifying coal power plant responses to tighter SO2 emissions standards in China. Proc. Natl. Acad. Sci. USA 2018, 115, 7004–7009. [Google Scholar] [CrossRef]
- Nirel, R.; Dayan, U. On the ratio of sulfur dioxide to nitrogen oxides as an indicator of air pollution sources. J. Appl. Meteorol. 2001, 40, 1209–1222. [Google Scholar] [CrossRef]
- Zhao, Z.; Cao, J.; Liu, S. The variations of NO2, SO2 and O3 at an atmospheric background site in Qinghai Lake in summer, northeastern Tibetan Plateau. J. Earth Environ. 2010, 1, 201–207. [Google Scholar]
- An, X.; Zuo, H.; Chen, L. Atmospheric environmental capacity of SO2 in winter over Lanzhou in China: A case study. Adv. Atmos. Sci. 2007, 24, 688–699. [Google Scholar] [CrossRef]
- Wang, Y.; Zhang, X.; Sun, J.; Zhang, X.C.; Che, H.Z.; Li, Y. Spatial and temporal variations of the concentrations of PM10, PM2.5 and PM1 in China. Atmos. Chem. Phys. 2015, 15, 13585–13595. [Google Scholar] [CrossRef]
- Goyal, P.S. Present scenario of air quality in Delhi: A case study of CNG implementation. Atmos. Environ. 2003, 37, 5423–5431. [Google Scholar] [CrossRef]
- Mao, M.; Zhang, X.; Yin, Y. Particulate Matter and Gaseous Pollutions in Three Metropolises along the Chinese Yangtze River: Situation and Implications. Int. J. Environ. Res. Public Health. 2018, 15, 1102. [Google Scholar] [CrossRef]
- Gaur, A.; Tripathi, S.N.; Kanawade, V.P.; Shukla, S.P.; Tare, V. Four-year measurements of trace gases (SO2, NOx, CO, and O3) at an urban location, Kanpur, in Northern India. J. Atmos. Chem. 2014, 71, 283–301. [Google Scholar] [CrossRef]
- Han, S.; Bian, H.; Feng, Y.; Liu, A.; Li, X.; Zeng, F.; Zhang, X. Analysis of the Relationship between O3, NO and NO2 in Tianjin, China. Aerosol Air Qual. Res. 2011, 11, 128–139. [Google Scholar] [CrossRef]
- Yoo, J.; Jeong, M.; Kim, D. Spatiotemporal variations of air pollutants (O3, NO2, SO2, CO, PM10 and VOCs) with land-use types. Atmos. Chem. Phys. 2015, 15, 10857–10885. [Google Scholar] [CrossRef]
- Xie, Y.; Zhao, B.; Zhang, L.; Luo, R. Spatiotemporal variations of PM2.5 and PM10 concentrations between 31 Chinese cities and their relationships with SO2, NO2, CO and O3. Particuology 2015, 20, 141–149. [Google Scholar] [CrossRef]
- de Souza, A.; Aristone, F.; Kumar, U.; Kovac-Andric, E. Analysis of the correlations between NO, NO2 and O3 concentrations in campo grande-MS, Brazil. Eur. Chem. Bull. 2017, 6, 284–291. [Google Scholar] [CrossRef]
- Zhu, X.; He, H.; Liu, M.; Yu, G.; Sun, X.; Gao, Y. Spatio-temporal variation of photosynthetically active radiation in China in recent 50 years. J. Geogr. Sci. 2010, 20, 803–817. [Google Scholar] [CrossRef]
- Wang, T.; Xue, L.; Brimblecombe, P.; Lam, Y.F.; Li, L.; Zhang, L. Ozone pollution in China: A review of concentrations, meteorological influences, chemical precursors and effects. Sci. Total Environ. 2017, 575, 1582–1596. [Google Scholar] [CrossRef]













| Region Category | Administrative Area (km2) | Resident Population (10,000) | Urbanization Rate (%) | GDP (Billion Yuan) | Possession of Civil Motor Vehicles (10,000) | |
|---|---|---|---|---|---|---|
| Aba | Ecological zone | 83,016 | 93.46 | 37.86 | 28.13 | 10.5 |
| Ganzi | Ecological zone | 149,599 | 118.05 | 29.26 | 22.98 | 8.3 |
| Liangshan | Economic zone | 60,294 | 482.22 | 33.04 | 140.39 | 24.9 |
| Panzhihua | Economic zone | 7401 | 123.56 | 65.34 | 101.47 | 15.1 |
© 2019 by the authors. Licensee MDPI, Basel, Switzerland. This article is an open access article distributed under the terms and conditions of the Creative Commons Attribution (CC BY) license (http://creativecommons.org/licenses/by/4.0/).
Share and Cite
Zhao, P.; Liu, J.; Luo, Y.; Wang, X.; Li, B.; Xiao, H.; Zhou, Y. Comparative Analysis of Long-Term Variation Characteristics of SO2, NO2, and O3 in the Ecological and Economic Zones of the Western Sichuan Plateau, Southwest China. Int. J. Environ. Res. Public Health 2019, 16, 3265. https://doi.org/10.3390/ijerph16183265
Zhao P, Liu J, Luo Y, Wang X, Li B, Xiao H, Zhou Y. Comparative Analysis of Long-Term Variation Characteristics of SO2, NO2, and O3 in the Ecological and Economic Zones of the Western Sichuan Plateau, Southwest China. International Journal of Environmental Research and Public Health. 2019; 16(18):3265. https://doi.org/10.3390/ijerph16183265
Chicago/Turabian StyleZhao, Pengguo, Jia Liu, Yu Luo, Xiuting Wang, Bolan Li, Hui Xiao, and Yunjun Zhou. 2019. "Comparative Analysis of Long-Term Variation Characteristics of SO2, NO2, and O3 in the Ecological and Economic Zones of the Western Sichuan Plateau, Southwest China" International Journal of Environmental Research and Public Health 16, no. 18: 3265. https://doi.org/10.3390/ijerph16183265
APA StyleZhao, P., Liu, J., Luo, Y., Wang, X., Li, B., Xiao, H., & Zhou, Y. (2019). Comparative Analysis of Long-Term Variation Characteristics of SO2, NO2, and O3 in the Ecological and Economic Zones of the Western Sichuan Plateau, Southwest China. International Journal of Environmental Research and Public Health, 16(18), 3265. https://doi.org/10.3390/ijerph16183265
