Fuzzy Comprehensive Evaluation Assistant 3D-QSAR of Environmentally Friendly FQs to Reduce ADRs
Abstract
1. Introduction
2. Materials and Methods
2.1. Characterization of the ADRs of FQs
2.2. Construction of a 3D-QSAR Model Using the Fuzzy CEI of ADRs of FQs
2.2.1. Construction of a Fuzzy Comprehensive Evaluation System for ADRs of FQs
2.2.2. Structure Optimization and Superposition of FQ Molecules
2.2.3. Construction of a 3D-QSAR Model Using Multiple ADRs of FQs
2.3. Feasibility of Molecular Modification of FQs and Stability Evaluation of the Derivatives
3. Results and Discussion
3.1. Comprehensive Evaluation of the Three ADR Indicators of FQs
3.2. Construction and Evaluation of the 3D-QSAR Model for ADRs of FQs Using the Fuzzy CEI
3.2.1. Analysis and Evaluation of the FQs CoMFA Model
3.2.2. Validation of the FQs CoMFA Model
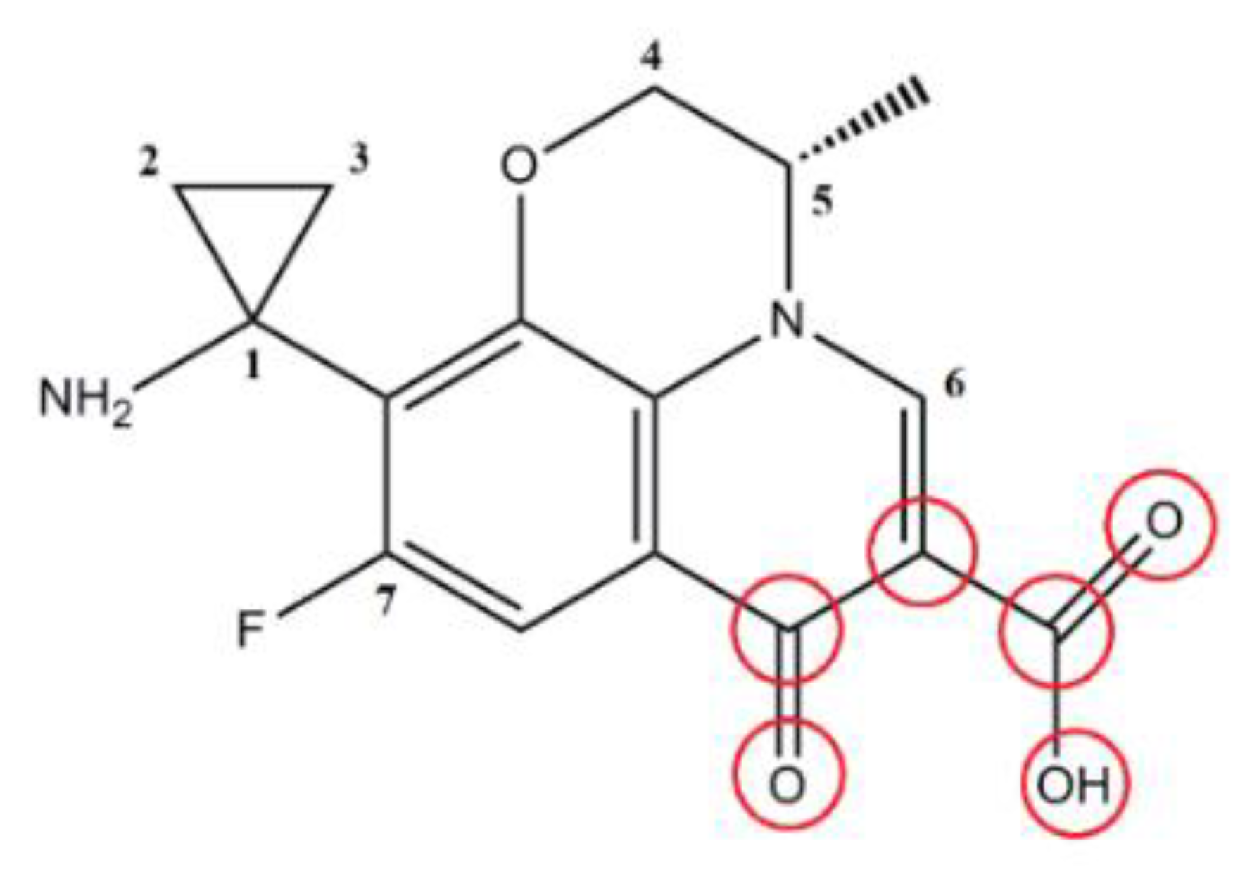
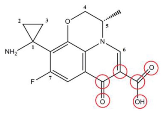
3.3. Determination of Single and Double Substitution Sites and Substituent Groups of FQ Derivatives Using Contour Maps
3.4. Comprehensive Evaluation, Persistent Organic Pollutant Characteristics, and Stability Evaluations of FQ Derivatives with Three Common ADRs
3.4.1. Fuzzy Comprehensive Evaluation of FQ Derivatives and Three Common ADRs
3.4.2. Evaluation of the Persistent Organic Pollutant Characteristics of FQ Derivatives
3.4.3. Single-Factor Validation of the ADRs of the FQ Derivatives
3.4.4. Stability Evaluation of FQ Derivatives
3.5. Risk Assessment of FQ Derivatives
3.5.1. Human Health Risk Assessment of FQ Derivatives at Median Lethal Concentrations in Water
3.5.2. Risk Assessment of the Genotoxicities of Disinfection By-Products of the FQ Derivatives
4. Conclusions
Author Contributions
Funding
Acknowledgments
Conflicts of Interest
References
- Dorival-García, N.; Zafra-Gómez, A.; Navalón, A. Removal of quinolone antibiotics from wastewaters by sorption and biological degradation in laboratory-scale membrane bioreactors. Sci. Total Environ. 2013, 442, 317–328. [Google Scholar] [CrossRef] [PubMed]
- Giles, J.A.; Falconio, J.; Yuenger, J.D.; Zenilman, J.M.; Dan, M.; Bash, M.C. Quinolone resistance-determining region mutations and por type of Neisseria gonorrhoeae isolates: Resistance surveillance and typing by molecule are methodologies. J. Infect. Dis. 2004, 189, 2085–2093. [Google Scholar] [CrossRef] [PubMed][Green Version]
- Koga, H.; Itoh, A.; Murayama, S. Structure activity relationships of antibacterial 6, 7-distubstituted and 7, 8-disbustituted1-alkyl-14-dihydro-4-oxiquinoline-3-carboxylic acids. Med. Chem. 1980, 23, 1358–1363. [Google Scholar] [CrossRef] [PubMed]
- Domagala, J.M.; Hann, L.D.; Heifetz, C.L. New structure-activity relationships of the quinolone antibacterial using the target enzyme-The development and application of a DNA gyrase assay. Med. Chem. 1986, 29, 394–404. [Google Scholar] [CrossRef] [PubMed]
- Xu, Y.; Liu, Y.; Li, H. Photosensitive damage of lysozyme caused by pazufloxacin and the protective effect of ferulic acid. Sci. China Chem. 2015, 58, 508–513. [Google Scholar] [CrossRef]
- Kang, J.; Wang, L.; Chen, X.L.; Triggle, D.J.; Rampe, D. Interactions of a series of fluoroquinolone antibacterial drugs with the human cardiac K+ Channel HERG. Mol. Pharmacol. 2001, 59, 122–126. [Google Scholar] [CrossRef]
- Nakamura, T.; Fukuda, H.; Morita, Y.; Soumi, K.; Kawamura, Y. Pharmacological evaluation of garenoxacin, a novel des-F (6)-quinolone antimicrobial agent: Effects on the central nervous system. J. Toxicol. Sci. 2003, 28, 35–45. [Google Scholar] [CrossRef][Green Version]
- Owens, R.C.; Ambrose, P.G. Antimicrobial Safety: Focus on Fluoroquinolones. Clin. Infect. Dis. 2005, 41 (Suppl 2), S144–S157. [Google Scholar] [CrossRef]
- Halkin, H. Adverse effects of the fluoroquinolones. Rev. Infect. Dis. 1988, 10 (Suppl. 1), S258. [Google Scholar] [CrossRef]
- Chen, C.; Hong, S.; He, P.H.; Zhou, J. Comparison of safety profile among fluoroquinolones. Advers. Drug React. J. 2004, 6, 289–293. [Google Scholar]
- Yip, C.; Loeb, M.; Salama, S.; Moss, L.; Olde, J. Quinolone use as a risk factor for nosocomial Clostridium difficile-associated diarrhea. Infect. Control Hosp. Epidemiol. 2001, 22, 572–575. [Google Scholar] [CrossRef] [PubMed]
- Rubinstein, E.; Camm, J. Cardiotoxicity of fluoroquinolones. J. Antimicrob. Chemother. 2002, 49, 593–596. [Google Scholar] [CrossRef] [PubMed]
- Calderrone, V.; Cavero, I. Ventricular arrhythmias. A potential risk associated with the use of non-cardiovascular drugs prolonging the QT interval. Minerva Med. 2002, 93, 181. [Google Scholar]
- Franchini, S.; Battisti, U.M.; Prandi, A.; Tait, A.; Borsari, C.; Cichero, E.; Fossa, P.; Cilia, A.; Prezzavento, O.; Ronsisvalle, S.; et al. Scouting New Sigma Receptor Ligands: Synthesis, Pharmacological Evaluation and Molecular Modeling of 1, 3-Dioxolane-Based Structures and Derivatives. Eur. J. Med. Chem. 2016, 112, 1–9. [Google Scholar] [CrossRef] [PubMed]
- Fossa, P.; Cichero, E. In silico evaluation of human small heat shock protein HSP27: Homology modeling, mutation analyses and docking studies. Bioorganic Med. Chem. 2015, 23, 3215–3220. [Google Scholar] [CrossRef] [PubMed]
- Riedel, S.L.; Pitz, G.F. Utilization-Oriented Evaluation of Decision Support Systems. IEEE Trans. Syst. Man Cybern. 1986, 16, 980–996. [Google Scholar] [CrossRef]
- Zhou, W.; Ye, Y.C. The application of matrix’s method in single factor Fuzzy and synthetic assessment. China Water Transport 2007, 7, 204–205, 230. [Google Scholar]
- Afful-Dadzie, A.; Afful-Dadzie, E.; Nabareseh, S.; Oplatková, Z.K. Tracking progress of African Peer Review Mechanism (APRM) using fuzzy comprehensive evaluation method. Kybernetes 2014, 43, 1193–1208. [Google Scholar] [CrossRef]
- Zhao, Y.Y.; Li, Y. Design of Environmentally Friendly Neonicotinoid Insecticides with Tuning of Bioconcentration and Bi-directional Selective Toxic Effects. J. Clean. Prod. 2019, 22, 113–121. [Google Scholar] [CrossRef]
- Aouidate, A.; Ghaleb, A.; Ghamali, M.; Chtita, S.; Choukrad, M.; Sbai, A.; Bouachrine, M.; Lakhlifi, T. Combined 3D-QSAR and molecular docking study on 7, 8-dialkyl-1, 3-diaminopyrrolo-[3,2-f] Quinazoline series compounds to understand the binding mechanism of DHFR inhibitors. J. Mol. Struct. 2017, 1139, 319–327. [Google Scholar] [CrossRef]
- Li, X.; Ye, L.; Shi, W.; Liu, H.; Liu, C.; Qian, X.; Zhu, Y.; Yu, H. In silico study on hydroxylated polychlorinated biphenyls as androgen receptor antagonists. Ecotoxicol. Environ. Saf. 2013, 92, 258–264. [Google Scholar] [CrossRef] [PubMed]
- Chen, Y.; Cai, X.; Jiang, L.; Li, Y. Prediction of octanol-air partition coefficients for polychlorinated biphenyls (PCBs) using 3D-QSAR models. Ecotoxicol. Environ. Saf. 2016, 12, 202–212. [Google Scholar] [CrossRef] [PubMed]
- Cichero, E.; Tonelli, M.; Novelli, F.; Tasso, B.; Delogu, I.; Loddo, R.; Bruno, O.; Fossa, P. Benzimidazole-based derivatives as privileged scaffold developed for the treatment of the RSV infection: A computational study exploring the potency and cytotoxicity profiles. J. Enzyme Inhib. Med. Chem. 2017, 32, 375–402. [Google Scholar] [CrossRef] [PubMed][Green Version]
- Zhao, X.H. Molecular Modification and Research on Mechanism of Fluoroquinolones with More Environmental Friendliness; North China Electric Power University Press: Beijing, China, 16 August 2019. [Google Scholar]
- Zhao, X.H.; Chu, Z.H.; Li, Y. Molecular Design of Lower Photodegradation Fluoroquinolone Antibiotics and Their Photolysis Paths Inference. Chem. J. Chin. Univ. 2018, 39, 107–118. [Google Scholar]
- Zhao, X.H.; Zhao, Y.Y.; Ren, Z.X.; Li, Y. Combined QSAR/QSPR and molecular docking study on fluoroquinolones to reduce biological enrichment. Comput. Biol. Chem. 2019, 79, 177–184. [Google Scholar] [CrossRef] [PubMed]
- Huang, J.B.; Wu, S.B.; Lei, M.; Cheng, H.; Liang, J.J.; Tong, H. Quantum chemistry study on pyrolysis mechanism of lignin dimer model compound. J. Fuel Chem. Technol. 2015, 43, 1334–1343. [Google Scholar]
- Hajipour, A.R.; Ghorbani, S.; Karimzadeh, M.; Jajarmia, S.; Chermahinia, A.N. A DFT approach for simple and solvent assisted-proton movement: Biurea as a case of study. Comput. Theor. Chem. 2016, 1084, 67–74. [Google Scholar] [CrossRef]
- Qiu, Y.L.; Xin, M.L.; Li, Y. Derivatization Enhanced Raman Characteristic Vibration Spectrum of PAEs Based on Pharmacophore Model. Spectrosc. Spectr. Anal. 2018, 38, 441–447. [Google Scholar]
- Yin, J.X. Transformation Mechanism and Toxicity Assessment of Levofloxacin in Oxidation Process; Research Center for Eco-Environmental Sciences, Chinese Academy of Sciences: Beijing, China, 2012. [Google Scholar]









| No. | Compounds | Docking Results | CEI | ||
|---|---|---|---|---|---|
| 3IP9 | 3N8V | 2L0W | |||
| 1 | Difloxacin | 62.686 | 97.120 | 65.403 | 0.687 |
| 2 | Enrofloxacin | 64.070 | 90.401 | 90.476 | 0.707 |
| 3 | Norfloxacin | 58.422 | 90.557 | 88.709 | 0.601 |
| 4 | Lomefloxacin | 68.236 | 91.137 | 80.276 | 0.762 |
| 5 | Ofloxacin | 66.638 | 86.122 | 86.940 | 0.697 |
| 6 | Pefloxacin | 57.529 | 99.215 | 92.037 | 0.689 |
| 7 | Fleroxacin | 66.948 | 99.890 | 83.403 | 0.843 |
| 8 | Ciprofloxacin | 60.930 | 92.373 | 86.780 | 0.661 |
| 9 | Bal ofloxacin | 49.203 | 71.254 | 56.908 | 0.137 |
| 10 | Marbofloxacin | 65.300 | 95.242 | 88.670 | 0.777 |
| 11 | Pipemidic acid | 62.866 | 97.025 | 89.229 | 0.754 |
| 12 | Cinoxacin | 55.950 | 90.199 | 85.239 | 0.543 |
| 13 | Enoxacin | 60.660 | 86.605 | 87.601 | 0.596 |
| 14 | Danofloxacin | 67.775 | 91.772 | 93.715 | 0.797 |
| 15 | Gatifloxacin | 53.617 | 63.247 | 64.941 | 0.152 |
| 16 | Levofloxacin | 66.638 | 86.122 | 86.940 | 0.697 |
| 17 | Rufloxacin | 62.386 | 70.009 | 76.275 | 0.415 |
| 18 | Pazufloxacin | 74.075 | 94.849 | 86.206 | 0.925 |
| 19 | Nadifloxacin | 56.928 | 82.392 | 73.634 | 0.444 |
| 20 | Moxifloxacin | 46.442 | 73.108 | 73.101 | 0.152 |
| 21 | Sparfloxacin | 60.872 | 84.400 | 85.512 | 0.570 |
| 22 | Sarafloxacin | 59.595 | 82.206 | 72.443 | 0.487 |
| 23 | Amifloxacin | 59.512 | 86.682 | 80.072 | 0.555 |
| 24 | Besifloxacin | 55.541 | 79.981 | 76.735 | 0.401 |
| 25 | Clinafloxacin | 59.317 | 86.327 | 80.656 | 0.549 |
| 26 | Grepafloxacin | 66.245 | 90.285 | 93.474 | 0.753 |
| 27 | Orbifloxacin | 62.945 | 81.585 | 84.843 | 0.575 |
| 28 | Sitafloxacin | 60.702 | 72.267 | 83.135 | 0.428 |
| 29 | Temafloxacin | 66.934 | 88.733 | 75.241 | 0.699 |
| Model | q2 | n | SEE | r2 | F | SEP | Q2ext | cSDEP | dq2/dr2yy | r2pred |
|---|---|---|---|---|---|---|---|---|---|---|
| CoMFA | 0.560 | 10 | 0.007 | 0.999 | 1892.254 | 0.215 | 0.999 | 0.246 | 1.861 | 0.692 |
| No. | Compounds | CEI | Pred. | Residuals |
|---|---|---|---|---|
| 1 | Difloxacinb | 0.687 | 0.688 | 0.18% |
| 2 | Enrofloxacina | 0.707 | 0.706 | 0.08% |
| 3 | Norfloxacina | 0.601 | 0.618 | 2.78% |
| 4 | Lomefloxacina | 0.762 | 0.756 | 0.82% |
| 5 | Ofloxacina | 0.697 | 0.702 | 0.76% |
| 6 | Pefloxacina | 0.689 | 0.686 | 0.39% |
| 7 | Fleroxacina | 0.843 | 0.846 | 0.35% |
| 8 | Ciprofloxacina | 0.661 | 0.663 | 0.26% |
| 9 | Balofloxacina | 0.137 | 0.140 | 1.92% |
| 10 | Marbofloxacina | 0.777 | 0.782 | 0.67% |
| 11 | Pipemidic acida | 0.754 | 0.751 | 0.36% |
| 12 | Cinoxacina | 0.543 | 0.542 | 0.23% |
| 13 | Enoxacina | 0.596 | 0.587 | 1.45% |
| 14 | Danofloxacina | 0.797 | 0.794 | 0.42% |
| 15 | Gatifloxacina | 0.152 | 0.149 | 1.74% |
| 16 | Levofloxacina | 0.697 | 0.700 | 0.47% |
| 17 | Rufloxacina | 0.415 | 0.417 | 0.50% |
| 18 | Pazufloxacina b | 0.925 | 0.922 | 0.28% |
| 19 | Nadifloxacina | 0.444 | 0.442 | 0.49% |
| 20 | Moxifloxacina | 0.152 | 0.152 | 0.23% |
| 21 | Sparfloxacina | 0.570 | 0.568 | 0.30% |
| 22 | Sarafloxacinb | 0.487 | 0.471 | 3.31% |
| 23 | Amifloxacinb | 0.555 | 0.554 | 0.22% |
| 24 | Besifloxacina | 0.401 | 0.327 | 18.49% |
| 25 | Clinafloxacinb | 0.549 | 0.415 | 24.47% |
| 26 | Grepafloxacinb | 0.753 | 0.544 | 27.74% |
| 27 | Orbifloxacina | 0.575 | 0.570 | 0.82% |
| 28 | Sitafloxacinb | 0.428 | 0.462 | 8.01% |
| 29 | Temafloxacinb | 0.699 | 0.676 | 3.26% |
| Compounds | Structure | CEI | |
|---|---|---|---|
| Pred. | Relative Error | ||
| No.18 | PAZ | 0.925 | - |
| Derivative-1 | 1-Methyl-PAZ | 0.619 | −33.08% |
| Derivative-2 | 1-Hydrogen-PAZ | 0.578 | −37.51% |
| Derivative-3 | 1-Ethyl-PAZ | 0.649 | −29.84% |
| Derivative-4 | 1-Vinyl-PAZ | 0.660 | −28.65% |
| Derivative-5 | 1-Ethynyl-PAZ | 0.719 | −22.27% |
| Derivative-6 | 1-Carbonyl-PAZ | 0.792 | −14.38% |
| Derivative-7 | 5-Hydroxyl-PAZ | 0.879 | −4.97% |
| Derivative-8 | 5-Carboxyl-PAZ | 0.827 | −10.59% |
| Derivative-9 | 5-Sulfur-PAZ | 0.848 | −8.32% |
| Derivative-10 | 5-Fluorine-PAZ | 0.814 | −12.00% |
| Derivative-11 | 5-Chlorine-PAZ | 0.717 | −22.49% |
| Derivative-12 | 5-Bromine-PAZ | 0.726 | −21.51% |
| Derivative-13 | 1-Methyl-5-Hydroxyl-PAZ | 0.762 | −17.62% |
| Derivative-14 | 1-Methyl-5-Carboxyl-PAZ | 0.743 | −19.68% |
| Derivative-15 | 1-Methyl-5-Sulfur-PAZ | 0.778 | −15.89% |
| Derivative-16 | 1-Methyl-5-Fluorine-PAZ | 0.715 | −22.70% |
| Derivative-17 | 1-Methyl-Chlorine-PAZ | 0.743 | −19.68% |
| Derivative-18 | 1-Methyl-5-Bromine-PAZ | 0.775 | −16.22% |
| Derivative-19 | 1-Hydrogen-5-Hydroxyl-PAZ | 0.652 | −29.51% |
| Derivative-20 | 1-Hydrogen-5-Carboxyl-PAZ | 0.592 | −36.00% |
| Derivative-21 | 1-Hydrogen-5-Sulfur-PAZ | 0.641 | −30.70% |
| Derivative-22 | 1-Hydrogen-5-Fluorine-PAZ | 0.549 | −40.65% |
| Derivative-23 | 1-Hydrogen-Chlorine-PAZ | 0.637 | −31.14% |
| Derivative-24 | 1-Hydrogen-5-Bromine-PAZ | 0.659 | −28.76% |
| Derivative-25 | 1-Ethyl-5-Hydroxyl-PAZ | 0.754 | −18.49% |
| Derivative-26 | 1-Ethyl-5-Carboxyl-PAZ | 0.796 | −13.95% |
| Derivative-27 | 1-Ethyl-5-Sulfur-PAZ | 0.776 | −16.11% |
| Derivative-28 | 1-Ethyl-5-Fluorine-PAZ | 0.727 | −21.41% |
| Derivative-29 | 1-Ethyl-Chlorine-PAZ | 0.828 | −10.49% |
| Derivative-30 | 1-Ethyl-5-Bromine-PAZ | 0.732 | −20.86% |
| Derivative-31 | 1-Vinyl-5-Hydroxyl-PAZ | 0.677 | −26.81% |
| Derivative-32 | 1-Vinyl-5-Carboxyl-PAZ | 0.613 | −33.73% |
| Derivative-33 | 1-Vinyl-5-Sulfur-PAZ | 0.710 | −23.24% |
| Derivative-34 | 1-Vinyl-5-Fluorine-PAZ | 0.691 | −25.30% |
| Derivative-35 | 1-Vinyl-5-Chlorine-PAZ | 0.558 | −39.68% |
| Derivative-36 | 1-Vinyl-5-Bromine-PAZ | 0.454 | −50.92% |
| Derivative-37 | 1-Ethynyl-5-Hydroxyl-PAZ | 0.659 | −28.76% |
| Derivative-38 | 1-Ethynyl-5-Carboxyl-PAZ | 0.880 | −4.86% |
| Derivative-39 | 1-Ethynyl-5-Sulfur-PAZ | 0.875 | −5.41% |
| Derivative-40 | 1-Ethynyl-5-Fluorine-PAZ | 0.742 | −19.78% |
| Derivative-41 | 1- Ethynyl-5-Chlorine-PAZ | 0.800 | −13.51% |
| Derivative-42 | 1-Ethynyl-5-Bromine-PAZ | 0.636 | −31.24% |
| Derivative-43 | 1-Carbonyl-5-Hydroxyl-PAZ | 0.718 | −22.38% |
| Derivative-44 | 1-Carbonyl-5-Carboxyl-PAZ | 0.682 | −26.27% |
| Derivative-45 | 1-Carbonyl-5-Sulfur-PAZ | 0.574 | −37.95% |
| Derivative-46 | 1-Carbonyl-5-Fluorine-PAZ | 0.600 | −35.14% |
| Derivative-47 | 1-Carbonyl-5-Chlorine-PAZ | 0.758 | −18.05% |
| Derivative-48 | 1-Carbonyl-5-Bromine-PAZ | 0.633 | −31.57% |
| Compounds | pLOEC (Pred. AVG) * | logt1/2 | logKow | |||
|---|---|---|---|---|---|---|
| Pred. | Relative Error | Pred. | Relative Error | Pred. | Relative Error | |
| PAZ | 7.048 | - | 1.789 | - | 1.140 | - |
| Derivative-1 | 7.404 | 5.05% | 1.925 | 7.60% | 0.191 | −83.25% |
| Derivative-2 | 7.575 | 7.48% | 1.954 | 9.22% | 0.140 | −87.72% |
| Derivative-3 | 7.322 | 3.89% | 1.937 | 8.27% | 0.289 | −74.65% |
| Derivative-4 | 6.930 | −1.67% | 1.934 | 8.11% | 1.689 | 48.16% |
| Derivative-5 | 6.936 | −1.59% | 1.869 | 4.47% | 1.602 | 40.53% |
| Derivative-6 | 6.777 | −3.85% | 1.926 | 7.66% | 1.254 | 10.00% |
| Derivative-7 | 7.082 | 0.48% | 1.726 | −3.52% | 1.169 | 2.54% |
| Derivative-8 | 7.203 | 2.20% | 1.821 | 1.79% | 1.631 | 43.07% |
| Derivative-9 | 7.073 | 0.35% | 1.728 | −3.41% | 1.354 | 18.77% |
| Derivative-10 | 7.089 | 0.58% | 1.744 | −2.52% | 1.113 | −2.37% |
| Derivative-11 | 7.031 | −0.24% | 1.732 | −3.19% | 1.170 | 2.63% |
| Derivative-12 | 7.033 | −0.21% | 1.954 | 9.22% | 1.126 | −1.23% |
| Derivative-13 | 7.022 | −0.37% | 1.827 | 2.12% | 1.856 | 62.81% |
| Derivative-14 | 7.009 | −0.55% | 1.555 | −13.08% | 2.623 | 130.09% |
| Derivative-15 | 7.048 | 0.00% | 1.987 | 11.07% | 2.083 | 82.72% |
| Derivative-16 | 7.061 | 0.18% | 1.831 | 2.35% | 1.848 | 62.11% |
| Derivative-17 | 6.993 | −0.78% | 1.930 | 7.88% | 1.907 | 67.28% |
| Derivative-18 | 7.007 | −0.58% | 1.862 | 4.08% | 2.102 | 84.39% |
| Derivative-19 | 7.193 | 2.06% | 1.860 | 3.97% | 1.629 | 42.89% |
| Derivative-20 | 7.245 | 2.80% | 1.942 | 8.55% | 2.108 | 84.91% |
| Derivative-21 | 7.185 | 1.94% | 1.862 | 4.08% | 1.794 | 57.37% |
| Derivative-22 | 7.129 | 1.15% | 1.952 | 9.11% | 1.768 | 55.09% |
| Derivative-23 | 7.121 | 1.04% | 1.969 | 10.06% | 1.545 | 35.53% |
| Derivative-24 | 7.173 | 1.77% | 1.877 | 4.92% | 1.639 | 43.77% |
| Derivative-25 | 7.030 | −0.26% | 2.028 | 13.36% | 2.055 | 80.26% |
| Derivative-26 | 7.034 | −0.20% | 2.073 | 15.87% | 2.254 | 97.72% |
| Derivative-27 | 7.051 | 0.04% | 1.978 | 10.56% | 2.087 | 83.07% |
| Derivative-28 | 7.033 | −0.21% | 1.837 | 2.68% | 1.875 | 64.47% |
| Derivative-29 | 6.988 | −0.85% | 1.956 | 9.33% | 2.085 | 82.89% |
| Derivative-30 | 7.055 | 0.10% | 1.847 | 3.24% | 1.917 | 68.16% |
| Derivative-31 | 6.987 | −0.87% | 1.903 | 6.37% | 2.317 | 103.25% |
| Derivative-32 | 6.938 | −1.56% | 1.414 | −20.96% | 2.378 | 108.60% |
| Derivative-33 | 6.743 | −4.33% | 1.769 | −1.12% | 2.599 | 127.98% |
| Derivative-34 | 7.253 | 2.91% | 1.438 | −19.62% | 0.486 | −57.37% |
| Derivative-35 | 7.242 | 2.75% | 1.941 | 8.50% | 2.403 | 110.79% |
| Derivative-36 | 7.293 | 3.48% | 1.939 | 8.38% | 2.330 | 104.39% |
| Derivative-37 | 7.123 | 1.06% | 1.884 | 5.31% | 2.205 | 93.42% |
| Derivative-38 | 6.949 | −1.40% | 1.709 | −4.47% | 2.515 | 120.61% |
| Derivative-39 | 6.922 | −1.79% | 2.060 | 15.15% | 2.352 | 106.32% |
| Derivative-40 | 6.884 | −2.33% | 1.749 | −2.24% | 2.215 | 94.30% |
| Derivative-41 | 7.056 | 0.11% | 1.854 | 3.63% | 1.959 | 71.84% |
| Derivative-42 | 7.076 | 0.40% | 1.942 | 8.55% | 2.184 | 91.58% |
| Derivative-43 | 7.180 | 1.87% | 1.880 | 5.09% | 1.580 | 38.60% |
| Derivative-44 | 7.057 | 0.13% | 1.870 | 4.53% | 1.960 | 71.93% |
| Derivative-45 | 7.149 | 1.43% | 1.864 | 4.19% | 1.535 | 34.65% |
| Derivative-46 | 7.155 | 1.52% | 1.953 | 9.17% | 1.614 | 41.58% |
| Derivative-47 | 6.953 | −1.35% | 1.767 | −1.23% | 1.919 | 68.33% |
| Derivative-48 | 7.152 | 1.48% | 1.921 | 7.38% | 1.669 | 46.40% |
| Evaluation Project | PAZ | Derivative-1 | Derivative-2 | Derivative-3 |
|---|---|---|---|---|
| Comprehensive evaluation index | 0.925 | 0.619 | 0.578 | 0.649 |
| −33.08% | −37.51% | −29.84% | ||
| Convulsive Toxicity | 74.075 | 62.218 | 60.048 | 63.499 |
| −16.01% | −18.94% | −14.28% | ||
| CEI × 50% | - | −16.54% | −18.76% | −14.92% |
| Relative error | 3.23% | 0.96% | 4.30% | |
| Gastrointestinal Toxicity | 99.890 | 87.029 | 85.286 | 88.230 |
| −12.88% | −14.62% | −11.67% | ||
| CEI × 40% | - | −13.23% | −15.01% | −11.94% |
| Relative error | 2.70% | 2.57% | 2.20% | |
| Cardiotoxicity | 93.715 | 91.282 | 91.352 | 91.266 |
| −2.60% | −2.52% | −2.61% | ||
| CEI × 10% | - | −3.31% | −3.75% | −2.98% |
| Relative error | 15.07% | 32.78% | 12.42% |
| Compounds | Frequency/(cm−1) | ΔG/(a.u.) | ΔE/(a.u.) |
|---|---|---|---|
| Path 1 (–CH3) | 35.02 | −0.026 | 39.307 |
| Path 2 (–H) | 39.97 | −0.023 | 39.439 |
| Path 3 (–C2H5) | 35.60 | −0.023 | 40.617 |
| Molecule | Medium | Carcinogenicity | Fish | Water Fleas | Shrimp | ||||||
|---|---|---|---|---|---|---|---|---|---|---|---|
| ADD | HI | RI | ADD | HI | RI | ADD | HI | RI | |||
| Derivative-1 | sensitive | Carcinogenic | 0.0002 | 0.0117 | 2.81 × 10−5 | 0.0001 | 0.0055 | 1.32 × 10−5 | 4.36 × 10−5 | 0.0022 | 5.23 × 10−6 |
| Non-Carcinogenic | 8.03 × 10−5 | 0.0040 | 9.64 × 10−6 | 3.77 × 10−5 | 0.0019 | 4.53 × 10−6 | 1.49 × 10−5 | 0.0007 | 1.79 × 10−6 | ||
| Non-sensitive | Carcinogenic | 9.41 × 10−5 | 0.0047 | 1.13 × 10−5 | 4.42 × 10−5 | 0.0022 | 5.30 × 10−6 | 1.75 × 10−5 | 0.0009 | 2.10 × 10−6 | |
| Non-Carcinogenic | 3.36 × 10−5 | 0.0017 | 4.03 × 10−6 | 1.58 × 10−5 | 0.0008 | 1.89 × 10−6 | 6.25 × 10−6 | 0.0003 | 7.50 × 10−7 | ||
| Derivative-2 | sensitive | Carcinogenic | 0.0005 | 0.0248 | 5.94 × 10−5 | 0.0003 | 0.0134 | 3.21 × 10−5 | 0.0001 | 0.0067 | 1.60 × 10−5 |
| Non-Carcinogenic | 0.0002 | 0.0085 | 2.04 × 10−5 | 9.19 × 10−5 | 0.0046 | 1.10 × 10−5 | 4.58 × 10−5 | 0.0023 | 5.50 × 10−6 | ||
| Non-sensitive | Carcinogenic | 0.0002 | 0.0100 | 2.39 × 10−5 | 0.0001 | 0.0054 | 1.29 × 10−5 | 5.37 × 10−5 | 0.0027 | 6.44 × 10−6 | |
| Non-Carcinogenic | 7.11 × 10−5 | 0.0036 | 8.53 × 10−6 | 3.85 × 10−5 | 0.0019 | 4.61 × 10−6 | 1.92 × 10−5 | 0.0010 | 2.30 × 10−6 | ||
| Derivative-3 | sensitive | Carcinogenic | 0.0001 | 0.0052 | 1.21 × 10−5 | 4.17 × 10−5 | 0.0021 | 5.00 × 10−6 | 1.29 × 10−5 | 0.0006 | 1.55 × 10−6 |
| Non-Carcinogenic | 3.55 × 10−5 | 0.0018 | 4.26 × 10−6 | 1.43 × 10−5 | 0.0007 | 1.72 × 10−6 | 4.41 × 10−6 | 0.0002 | 5.30 × 10−7 | ||
| Non-sensitive | Carcinogenic | 4.16 × 10−5 | 0.0021 | 4.99 × 10−6 | 1.68 × 10−5 | 0.0008 | 2.01 × 10−6 | 5.17 × 10−6 | 0.0003 | 6.21 × 10−7 | |
| Non-Carcinogenic | 1.48 × 10−5 | 0.0007 | 1.78 × 10−6 | 5.98 × 10−6 | 0.0003 | 7.18 × 10−7 | 1.85 × 10−6 | 9.24 × 10−5 | 2.22 × 10−7 | ||
| Compounds | Pred.59 | Relative Error | Pred.61 | Relative Error | Pred. AVG * | Relative Error |
|---|---|---|---|---|---|---|
| PAZ | 7.048 | |||||
| PAZ-Cl-1 | 7.448 | 5.68% | 7.992 | 13.39% | 7.720 | 9.53% |
| PAZ-Cl-2 | 7.719 | 9.52% | 8.113 | 15.11% | 7.916 | 12.32% |
| PAZ-Cl-3 | 7.806 | 10.75% | 7.991 | 13.38% | 7.899 | 12.07% |
| PAZ-Cl-4 | 7.588 | 7.66% | 8.195 | 16.27% | 7.891 | 11.96% |
| PAZ-Cl-5 | 7.378 | 4.68% | 7.755 | 10.03% | 7.567 | 7.36% |
| PAZ-Cl-6 | 7.275 | 3.22% | 7.678 | 8.94% | 7.477 | 6.09% |
| PAZ-Cl-7 | 7.149 | 1.43% | 7.533 | 6.88% | 7.341 | 4.16% |
| PAZ-Cl-8 | 6.967 | −1.15% | 7.235 | 2.65% | 7.101 | 0.75% |
| PAZ-Cl-9 | 6.829 | −3.11% | 7.355 | 4.36% | 7.092 | 0.62% |
| PAZ-Cl-10 | 7.497 | 6.37% | 7.709 | 9.38% | 7.603 | 7.87% |
| PAZ-Cl-11 | 7.481 | 6.14% | 7.670 | 8.83% | 7.575 | 7.48% |
| PAZ-Cl-12 | 7.415 | 5.21% | 7.649 | 8.53% | 7.532 | 6.87% |
| PAZ-Cl-13 | 7.375 | 4.64% | 7.572 | 7.43% | 7.473 | 6.03% |
| Compounds | Pred.59 | Relative Error | Pred.61 | Relative Error | Pred. AVG * | Relative Error |
|---|---|---|---|---|---|---|
| Derivative-1 | 7.404 | |||||
| Derivative-1-Cl-1 | 7.335 | −0.93% | 7.907 | 6.79% | 7.621 | 2.93% |
| Derivative-1-Cl-2 | 7.439 | 0.47% | 7.745 | 4.61% | 7.592 | 2.54% |
| Derivative-1-Cl-3 | 7.523 | 1.61% | 7.615 | 2.85% | 7.569 | 2.23% |
| Derivative-1-Cl-4 | 7.162 | −3.27% | 7.466 | 0.84% | 7.314 | −1.22% |
| Derivative-1-Cl-5 | 6.506 | −12.13% | 6.524 | −11.89% | 6.515 | −12.01% |
| Derivative-1-Cl-6 | 6.815 | −7.96% | 7.227 | −2.39% | 7.021 | −5.17% |
| Derivative-1-Cl-7 | 6.823 | −7.85% | 7.200 | −2.76% | 7.011 | −5.31% |
| Derivative-1-Cl-8 | 7.125 | −3.77% | 7.181 | −3.01% | 7.153 | −3.39% |
| Derivative-1-Cl-9 | 7.076 | −4.43% | 7.119 | −3.85% | 7.097 | −4.15% |
| Derivative-1-Cl-10 | 7.012 | −5.29% | 7.100 | −4.11% | 7.056 | −4.70% |
| Derivative-1-Cl-11 | 7.027 | −5.09% | 7.024 | −5.13% | 7.025 | −5.12% |
| Derivative-2 | 7.575 | |||||
| Derivative-2-Cl-1 | 7.049 | −6.94% | 7.399 | −2.32% | 7.224 | −4.63% |
| Derivative-2-Cl-2 | 7.145 | −5.68% | 7.293 | −3.72% | 7.219 | −4.70% |
| Derivative-2-Cl-3 | 7.246 | −4.34% | 7.167 | −5.39% | 7.207 | −4.86% |
| Derivative-2-Cl-4 | 6.506 | −14.11% | 6.524 | −13.87% | 6.515 | −13.99% |
| Derivative-2-Cl-5 | 6.815 | −10.03% | 7.227 | −4.59% | 7.021 | −7.31% |
| Derivative-2-Cl-6 | 6.823 | −9.93% | 7.200 | −4.95% | 7.011 | −7.45% |
| Derivative-2-Cl-7 | 7.125 | −5.94% | 7.181 | −5.20% | 7.153 | −5.57% |
| Derivative-2-Cl-8 | 7.076 | −6.59% | 7.119 | −6.02% | 7.097 | −6.31% |
| Derivative-2-Cl-9 | 7.012 | −7.43% | 7.100 | −6.27% | 7.056 | −6.85% |
| Derivative-2-Cl-10 | 7.027 | −7.23% | 7.024 | −7.27% | 7.025 | −7.26% |
| Derivative-3 | 7.322 | |||||
| Derivative-3-Cl-1 | 7.396 | 1.01% | 7.951 | 8.59% | 7.674 | 4.81% |
| Derivative-3-Cl-2 | 7.493 | 2.34% | 7.811 | 6.68% | 7.652 | 4.51% |
| Derivative-3-Cl-3 | 7.578 | 3.50% | 7.683 | 4.93% | 7.630 | 4.21% |
| Derivative-3-Cl-4 | 7.162 | −2.19% | 7.466 | 1.97% | 7.314 | −0.11% |
| Derivative-3-Cl-5 | 6.506 | −11.14% | 6.524 | −10.90% | 6.515 | −11.02% |
| Derivative-3-Cl-6 | 6.815 | −6.92% | 7.227 | −1.30% | 7.021 | −4.11% |
| Derivative-3-Cl-7 | 6.823 | −6.82% | 7.200 | −1.67% | 7.011 | −4.25% |
| Derivative-3-Cl-8 | 7.125 | −2.69% | 7.181 | −1.93% | 7.153 | −2.31% |
| Derivative-3-Cl-9 | 7.076 | −3.36% | 7.119 | −2.77% | 7.097 | −3.07% |
| Derivative-3-Cl-10 | 7.012 | −4.23% | 7.100 | −3.03% | 7.056 | −3.63% |
| Derivative-3-Cl-11 | 7.027 | −4.03% | 7.024 | −4.07% | 7.025 | −4.06% |
© 2019 by the authors. Licensee MDPI, Basel, Switzerland. This article is an open access article distributed under the terms and conditions of the Creative Commons Attribution (CC BY) license (http://creativecommons.org/licenses/by/4.0/).
Share and Cite
Ren, Z.; Wang, Y.; Xu, H.; Li, Y.; Han, S. Fuzzy Comprehensive Evaluation Assistant 3D-QSAR of Environmentally Friendly FQs to Reduce ADRs. Int. J. Environ. Res. Public Health 2019, 16, 3161. https://doi.org/10.3390/ijerph16173161
Ren Z, Wang Y, Xu H, Li Y, Han S. Fuzzy Comprehensive Evaluation Assistant 3D-QSAR of Environmentally Friendly FQs to Reduce ADRs. International Journal of Environmental Research and Public Health. 2019; 16(17):3161. https://doi.org/10.3390/ijerph16173161
Chicago/Turabian StyleRen, Zhixing, Yingwei Wang, Haihong Xu, Yufei Li, and Song Han. 2019. "Fuzzy Comprehensive Evaluation Assistant 3D-QSAR of Environmentally Friendly FQs to Reduce ADRs" International Journal of Environmental Research and Public Health 16, no. 17: 3161. https://doi.org/10.3390/ijerph16173161
APA StyleRen, Z., Wang, Y., Xu, H., Li, Y., & Han, S. (2019). Fuzzy Comprehensive Evaluation Assistant 3D-QSAR of Environmentally Friendly FQs to Reduce ADRs. International Journal of Environmental Research and Public Health, 16(17), 3161. https://doi.org/10.3390/ijerph16173161
