The Characteristics of Polycyclic Aromatic Hydrocarbons in Different Emission Source Areas in Shenyang, China
Abstract
1. Introduction
2. Materials and Methods
2.1. Site Description and PM Sampling
2.2. Chemicals
2.3. Sample Treatment and Analytical Procedures
2.4. Quality Control and Quality Assurance
2.5. Health Risk Assessment
3. Results and Discussion
3.1. Concentrations of PAHs
3.2. Emission Sources of PAHs
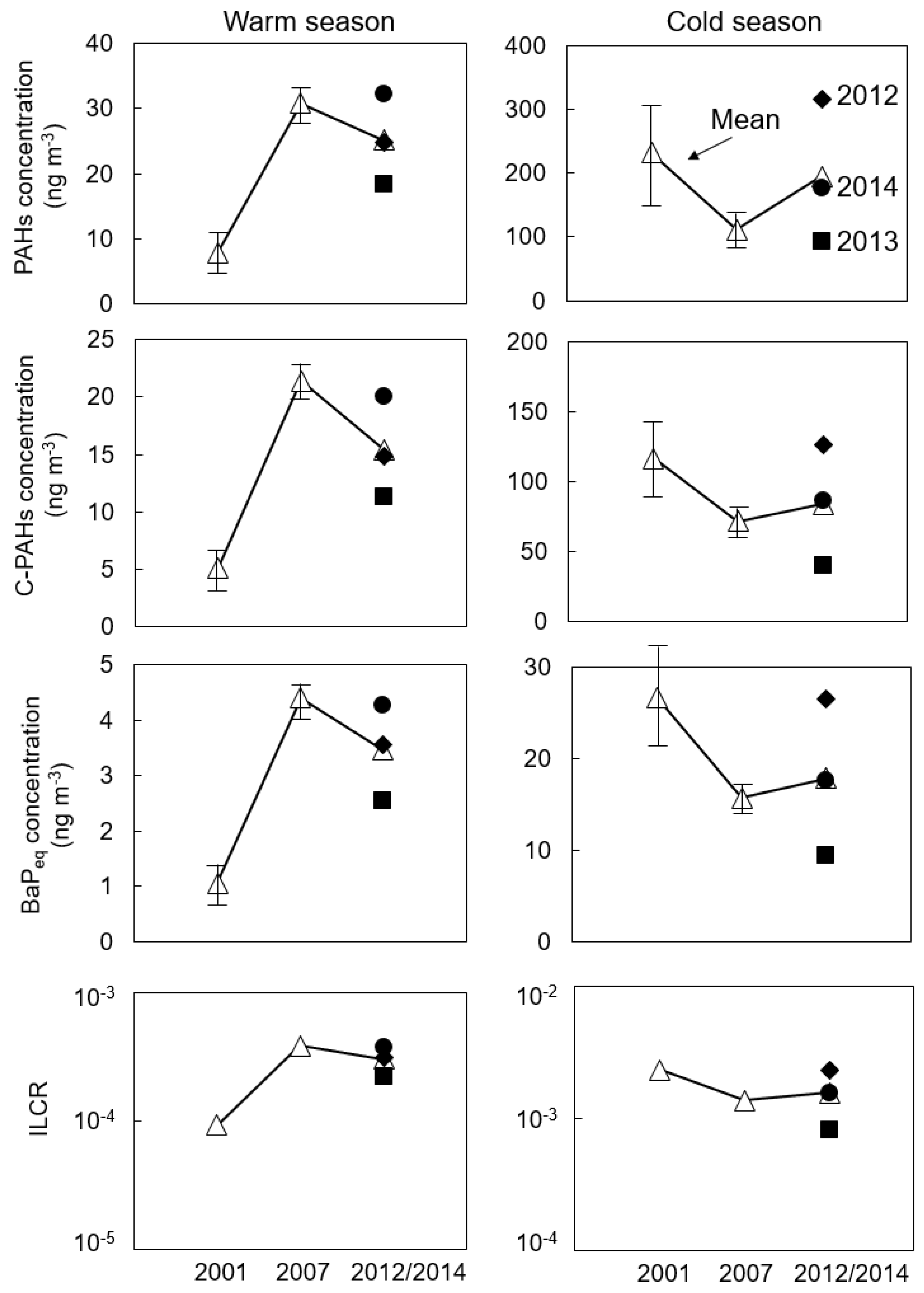
3.3. Trend in PAHs and Health Risk Changes
4. Conclusions
Author Contributions
Funding
Conflicts of Interest
References
- Van Donkelaar, A.; Martin, R.V.; Brauer, M.; Boys, B.L. Use of satellite observations for long-term exposure assessment of global concentrations of fine particulate matter. Environ. Health Perspect. 2014, 123, 135–143. [Google Scholar] [CrossRef] [PubMed]
- Tang, N.; Hattori, T.; Taga, R.; Igarashi, K.; Yang, X.; Tamura, K.; Kakimoto, H.; Mishukov, V.F.; Toriba, A.; Kizu, R.; et al. Polycyclic aromatic hydrocarbons and nitropolycyclic aromatic hydrocarbons in urban air particulates and their relationship to emission sources in the Pan–Japan Sea countries. Atmos. Environ. 2005, 39, 5817–5826. [Google Scholar] [CrossRef]
- Tang, N.; Suzuki, G.; Morisaki, H.; Tokuda, T.; Yang, X.; Zhao, L.; Lin, J.; Kameda, T.; Toriba, A.; Hayakawa, K. Atmospheric behaviors of particulate-bound polycyclic aromatic hydrocarbons and nitropolycyclic aromatic hydrocarbons in Beijing, China from 2004 to 2010. Atmos. Environ. 2017, 152, 354–361. [Google Scholar] [CrossRef]
- IARC. Monographs on the Evaluation of Carcinogenic Risks to Humans; International Agency for Research on Cancer: Lyon, France, 2013; Volume 105. [Google Scholar]
- IARC. IARC Monographs on the Evaluation of Carcinogenic Risks to Humans; International Agency for Research on Cancer: Lyon, France, 2015; Volume 109. [Google Scholar]
- Terzi, E.; Samara, C. Gas-particle partitioning of polycyclic aromatic hydrocarbons in urban, adjacent coastal, and continental background sites of western Greece. Environ. Sci. Technol. 2004, 38, 4973–4978. [Google Scholar] [CrossRef] [PubMed]
- Yamasaki, H.; Kuwata, K.; Miyamoto, H. Effects of ambient temperature on aspects of airborne polycyclic aromatic hydrocarbons. Environ. Sci. Technol. 1982, 16, 189–194. [Google Scholar] [CrossRef]
- Hayakawa, K. Environmental behaviors and toxicities of polycyclic aromatic hydrocarbons and nitropolycyclic aromatic hydrocarbons. Chem. Pharm. Bull. 2016, 64, 83–94. [Google Scholar] [CrossRef]
- Kim, J.; Lee, J.; Kim, Y.; Lee, S.-B.; Jin, H.; Bae, G.-N. Seasonal characteristics of the gaseous and particulate PAHs at a roadside station in Seoul, Korea. Atmos. Res. 2012, 116, 142–150. [Google Scholar] [CrossRef]
- Zhang, Y.; Tao, S. Global atmospheric emission inventory of polycyclic aromatic hydrocarbons (PAHs) for 2004. Atmos. Environ. 2009, 43, 812–819. [Google Scholar] [CrossRef]
- BP. Statistical Review of World Energy, 67th ed.; 2018-Full-Report; BP: London, UK, 2018. [Google Scholar]
- Zhang, Y.; Tao, S.; Cao, J.; Coveney, R.M. Emission of polycyclic aromatic hydrocarbons in China by county. Environ. Sci. Technol. 2007, 41, 683–687. [Google Scholar] [CrossRef]
- Tang, N.; Tokuda, T.; Izzaki, A.; Tamura, K.; Ji, R.; Zhang, X.; Dong, L.; Kameda, T.; Toriba, A.; Hayakawa, K. Recent changes in atmospheric polycyclic aromatic hydrocarbons (PAHs) and nitropolycyclic aromatic hydrocarbons (NPAHs) in Shenyang, China. Environ. Forensics 2011, 12, 342–348. [Google Scholar] [CrossRef]
- WHO. Regional Office for Europe: Air Quality Guidelines for Europe, 2nd ed.; WHO Regional Publications: Geneva, Switzerland, 2000; pp. 92–96. [Google Scholar]
- Nisbet, I.C.; Lagoy, P.K. Toxic equivalency factors (TEFs) for polycyclic aromatic hydrocarbons (PAHs). Regul. Toxicol. Pharmacol. 1992, 16, 290–300. [Google Scholar] [CrossRef]
- Hattori, T.; Tang, N.; Tamura, K.; Hokoda, A.; Yang, X.; Igarashi, K.; Ohno, M.; Okada, Y.; Kameda, T.; Toriba, A.; et al. Particulate polycyclic aromatic hydrocarbons and their nitrated derivatives in three cities in Liaoning Province, China. Environ. Forensics 2007, 8, 165–172. [Google Scholar] [CrossRef]
- Fang, G.-C.; Chang, C.-N.; Wu, Y.-S.; Fu, P.P.-C.; Yang, I.-L.; Chen, M.-H. Characterization, identification of ambient air and road dust polycyclic aromatic hydrocarbons in central Taiwan, Taichung. Sci. Total Environ. 2004, 327, 135–146. [Google Scholar] [CrossRef] [PubMed]
- Harrison, R.M.; Smith, D.; Luhana, L. Source apportionment of atmospheric polycyclic aromatic hydrocarbons collected from an urban location in Birmingham, UK. Environ. Sci. Technol. 1996, 30, 825–832. [Google Scholar] [CrossRef]
- Li, X.; Wang, Y.; Guo, X.; Wang, Y. Seasonal variation and source apportionment of organic and inorganic compounds in PM2.5 and PM10 particulates in Beijing, China. J. Environ. Sci. 2013, 25, 741–750. [Google Scholar] [CrossRef]
- Wang, X.; Cheng, H.; Xu, X.; Zhuang, G.; Zhao, C. A wintertime study of polycyclic aromatic hydrocarbons in PM2. 5 and PM2. 5–10 in Beijing: Assessment of energy structure conversion. J. Hazard. Mater. 2008, 157, 47–56. [Google Scholar] [CrossRef] [PubMed]
- Chen, Y.; Li, X.; Zhu, T.; Han, Y.; Lv, D. PM2.5-bound PAHs in three indoor and one outdoor air in Beijing: Concentration, source and health risk assessment. Sci. Total Environ. 2017, 586, 255–264. [Google Scholar] [CrossRef]
- Kong, S.; Yan, Q.; Zheng, H.; Liu, H.; Wang, W.; Zheng, S.; Yang, G.; Zheng, M.; Wu, J.; Qi, S.; et al. Substantial reductions in ambient PAHs pollution and lives saved as a co-benefit of effective long-term PM2.5 pollution controls. Environ. Int. 2018, 114, 266–279. [Google Scholar] [CrossRef]
- Hu, R.; Liu, G.; Zhang, H.; Xue, H.; Wang, X. Levels and Sources of PAHs in Air-borne PM2.5 of Hefei City, China. Bull. Environ. Contam. Toxicol. 2017, 98, 270–276. [Google Scholar] [CrossRef]
- Khan, M.F.; Latif, M.T.; Lim, C.H.; Amil, N.; Jaafar, S.A.; Dominick, D.; Nadzir, M.S.M.; Sahani, M.; Tahir, N.M. Seasonal effect and source apportionment of polycyclic aromatic hydrocarbons in PM2. 5. Atmos. Environ. 2015, 106, 178–190. [Google Scholar] [CrossRef]
- Sicre, M.; Marty, J.; Saliot, A.; Aparicio, X.; Grimalt, J.; Albaiges, J. Aliphatic and aromatic hydrocarbons in different sized aerosols over the Mediterranean Sea: Occurrence and origin. Atmos. Environ. (1967) 1987, 21, 2247–2259. [Google Scholar] [CrossRef]
- Yunker, M.B.; Macdonald, R.W.; Vingarzan, R.; Mitchell, R.H.; Goyette, D.; Sylvestre, S. PAHs in the Fraser River basin: A critical appraisal of PAH ratios as indicators of PAH source and composition. Org. Geochem. 2002, 33, 489–515. [Google Scholar] [CrossRef]
- Zhang, F.; Chen, Y.; Cui, M.; Feng, Y.; Yang, X.; Chen, J.; Zhang, Y.; Gao, H.; Tian, C.; Matthias, V.; et al. Emission factors and environmental implication of organic pollutants in PM emitted from various vessels in China. Atmos. Environ. 2019, 200, 302–311. [Google Scholar] [CrossRef]
- Hayakawa, K.; Tang, N.; Morisaki, H.; Toriba, A.; Akutagawa, T.; Sakai, S. Atmospheric Polycyclic and Nitropolycyclic Aromatic Hydrocarbons in an Iron-manufacturing City. Asian J. Atmos. Environ. 2016, 10, 90–98. [Google Scholar] [CrossRef]
- Rogge, W.F.; Hildemann, L.M.; Mazurek, M.A.; Cass, G.R.; Simoneit, B.R. Sources of fine organic aerosol. 2. Noncatalyst and catalyst-equipped automobiles and heavy-duty diesel trucks. Environ. Sci. Technol. 1993, 27, 636–651. [Google Scholar] [CrossRef]
- Bourotte, C.; Forti, M.-C.; Taniguchi, S.; Bícego, M.C.; Lotufo, P.A. A wintertime study of PAHs in fine and coarse aerosols in São Paulo city, Brazil. Atmos. Environ. 2005, 39, 3799–3811. [Google Scholar] [CrossRef]
- Kong, S.; Ding, X.; Bai, Z.; Han, B.; Chen, L.; Shi, J.; Li, Z. A seasonal study of polycyclic aromatic hydrocarbons in PM2.5 and PM2.5–10 in five typical cities of Liaoning Province, China. J. Hazard Mater. 2010, 183, 70–80. [Google Scholar] [CrossRef]
- Yue, H.; Yun, Y.; Gao, R.; Li, G.; Sang, N. Winter polycyclic aromatic hydrocarbon-bound particulate matter from peri-urban North China promotes lung cancer cell metastasis. Environ. Sci. Technol. 2015, 49, 14484–14493. [Google Scholar] [CrossRef]
- Da, Y.L.M.A.B.; Limu, D.L.N.T.L.; Miti, A.B.L.Y.; Wang, X.; Ding, X. Autumn and wintertime polycyclic aromatic hydrocarbons in PM2.5 and PM2.5–10 from Urumqi, China. Aerosol Air Qual. Res. 2013, 13, 407–414. [Google Scholar]
- Ravindra, K.; Sokhi, R.; Van Grieken, R. Atmospheric polycyclic aromatic hydrocarbons: Source attribution, emission factors and regulation. Atmos. Environ. 2008, 42, 2895–2921. [Google Scholar] [CrossRef]



| Warm Season | SY-1 | SY-2 | SY-3 | |||
| (>2.1) | (≤2.1) | (>2.1) | (≤2.1) | (>2.1) | (≤2.1) | |
| FR | 0.68 ± 0.28 | 1.78 ± 0.50 | 0.45 ± 0.22 | 1.14 ± 0.44 | 0.39 ± 0.07 | 1.44 ± 0.35 | 
| Pyr | 0.62 ± 0.12 | 1.54 ± 0.16 | 0.32 ± 0.14 | 1.05 ± 0.34 | 0.46 ± 0.10 | 1.68 ± 0.41 | 
| BaA | 0.39 ± 0.14 | 0.82 ± 0.17 | 0.37 ± 0.25 | 0.70 ± 0.26 | 0.29 ± 0.07 | 0.82 ± 0.21 | 
| Chr | 0.68 ± 0.24 | 1.26 ± 0.29 | 0.72 ± 0.36 | 1.27 ± 0.61 | 0.62 ± 0.19 | 1.58 ± 0.14 | 
| BbF | 1.13 ± 0.48 | 3.81 ± 1.67 | 0.97 ± 0.59 | 2.51 ± 1.26 | 1.30 ± 0.47 | 6.08 ± 0.88 | 
| BkF | 0.41 ± 0.17 | 1.39 ± 0.55 | 0.40 ± 0.27 | 0.93 ± 0.38 | 0.49 ± 0.16 | 2.35 ± 0.32 | 
| BaP | 0.47 ± 0.13 | 1.96 ± 0.50 | 0.40 ± 0.26 | 1.32 ± 0.75 | 0.42 ± 0.09 | 2.23 ± 0.50 | 
| BgPe | 0.94 ± 0.36 | 4.45 ± 1.95 | 1.02 ± 0.60 | 3.12 ± 1.21 | 1.17 ± 0.31 | 6.97 ± 1.16 | 
| IDP | 0.44 ± 0.17 | 2.14 ± 0.98 | 0.42 ± 0.28 | 1.33 ± 0.48 | 0.49 ± 0.15 | 3.41 ± 0.59 | 
| PAHs | 5.76 ± 1.87 | 19.1 ± 5.85 | 5.07 ± 2.81 | 13.4 ± 5.42 | 5.64 ± 1.57 | 26.6 ± 4.01 | 
| PM | 103 ± 28.4 | 43.9 ± 12.6 | 53.5 ± 18.2 | 33.5 ± 14.3 | 61.6 ± 16.8 | 41.3 ± 8.38 | 
| Cold Season | SY-1 | SY-2 | SY-3 | |||
| (>2.1) | (≤2.1) | (>2.1) | (≤2.1) | (>2.1) | (≤2.1) | |
| FR | 15.2 ± 20.1 | 58.5 ± 64.4 | 7.56 ± 3.96 | 15.1 ± 5.40 | 4.67 ± 2.38 | 30.7 ± 24.7 | 
| Pyr | 17.5 ± 23.4 | 73.6 ± 86.0 | 6.42 ± 3.32 | 14.3 ± 5.40 | 5.14 ± 2.64 | 30.8 ± 22.1 | 
| BaA | 4.75 ± 6.83 | 22.9 ± 25.2 | 1.88 ± 1.08 | 5.31 ± 1.93 | 3.14 ± 2.18 | 15.8 ± 8.3 | 
| Chr | 5.58 ± 8.39 | 24.2 ± 27.9 | 2.59 ± 1.45 | 6.81 ± 2.64 | 1.90 ± 1.16 | 16.2 ± 8.8 | 
| BbF | 9.79 ± 15.4 | 20.0 ± 13.8 | 2.26 ± 1.16 | 6.34 ± 2.31 | 3.83 ± 2.52 | 18.4 ± 9.49 | 
| BkF | 3.40 ± 5.14 | 7.33 ± 4.90 | 0.90 ± 0.45 | 2.47 ± 0.87 | 1.35 ± 0.91 | 6.42 ± 3.43 | 
| BaP | 6.08 ± 9.15 | 12.0 ± 6.69 | 1.84 ± 0.94 | 4.99 ± 1.78 | 2.19 ± 1.41 | 9.39 ± 5.33 | 
| BgPe | 7.36 ± 10.2 | 18.2 ± 10.2 | 2.38 ± 1.17 | 7.06 ± 1.87 | 3.71 ± 1.74 | 15.3 ± 8.72 | 
| IDP | 2.69 ± 3.58 | 7.09 ± 3.97 | 1.12 ± 0.46 | 3.32 ± 0.95 | 1.46 ± 0.67 | 6.11 ± 3.69 | 
| PAHs | 72.3 ± 102 | 244 ± 240 | 27.0 ± 13.8 | 65.7 ± 23.9 | 27.4 ± 14.1 | 149 ± 55.7 | 
| PM | 49.2 ± 26.2 | 83.4 ± 63.0 | 71.1 ± 31.5 | 91.6 ± 43.4 | 49.9 ± 17.5 | 74.6 ± 17.6 | 
| Emission Sources | [FR]/([FR] + [Pyr]) | [BaA]/([BaA] + [Chr]) | [IDP]/([IDP] + [BgPe]) | [BaP]/[BgPe] | 
|---|---|---|---|---|
| Coal burning | >0.5 [21,22,23] | >0.35 [25,26,27] | >0.5 [26,28] | >0.9 [30,31,32] | 
| >0.6 [33] | ||||
| Vehicle exhaust | 0.4–0.5 [23,24] | 0.2–0.35 [25,26,27] | 0.2–0.5 [21,26,29] | <0.6 [33] | 
| 0.5–0.6 (gasoline) [31,34] | ||||
| 0.3–0.4 (diesel) [29,32] | ||||
| 0.2–0.6 [30] | 
© 2019 by the authors. Licensee MDPI, Basel, Switzerland. This article is an open access article distributed under the terms and conditions of the Creative Commons Attribution (CC BY) license (http://creativecommons.org/licenses/by/4.0/).
Share and Cite
Yang, L.; Suzuki, G.; Zhang, L.; Zhou, Q.; Zhang, X.; Xing, W.; Shima, M.; Yoda, Y.; Nakatsubo, R.; Hiraki, T.; et al. The Characteristics of Polycyclic Aromatic Hydrocarbons in Different Emission Source Areas in Shenyang, China. Int. J. Environ. Res. Public Health 2019, 16, 2817. https://doi.org/10.3390/ijerph16162817
Yang L, Suzuki G, Zhang L, Zhou Q, Zhang X, Xing W, Shima M, Yoda Y, Nakatsubo R, Hiraki T, et al. The Characteristics of Polycyclic Aromatic Hydrocarbons in Different Emission Source Areas in Shenyang, China. International Journal of Environmental Research and Public Health. 2019; 16(16):2817. https://doi.org/10.3390/ijerph16162817
Chicago/Turabian StyleYang, Lu, Genki Suzuki, Lulu Zhang, Quanyu Zhou, Xuan Zhang, Wanli Xing, Masayuki Shima, Yoshiko Yoda, Ryohei Nakatsubo, Takatoshi Hiraki, and et al. 2019. "The Characteristics of Polycyclic Aromatic Hydrocarbons in Different Emission Source Areas in Shenyang, China" International Journal of Environmental Research and Public Health 16, no. 16: 2817. https://doi.org/10.3390/ijerph16162817
APA StyleYang, L., Suzuki, G., Zhang, L., Zhou, Q., Zhang, X., Xing, W., Shima, M., Yoda, Y., Nakatsubo, R., Hiraki, T., Sun, B., Fu, W., Qi, H., Hayakawa, K., Toriba, A., & Tang, N. (2019). The Characteristics of Polycyclic Aromatic Hydrocarbons in Different Emission Source Areas in Shenyang, China. International Journal of Environmental Research and Public Health, 16(16), 2817. https://doi.org/10.3390/ijerph16162817
 
        


 
       