Living Well with Pollution? The Impact of the Concentration of PM2.5 on the Quality of Life of Patients with Asthma
Abstract
1. Introduction
2. Materials and Methods
3. Results
4. Discussion
5. Conclusions
Author Contributions
Funding
Acknowledgments
Conflicts of Interest
References
- Masoli, M.; Fabian, D.; Holt, S.; Beasley, R. The global burden of asthma: Executive summary of the GINA Dissemination Committee Report. Allergy Eur. J. Allergy Clin. Immunol. 2004, 59, 469–478. [Google Scholar] [CrossRef] [PubMed]
- Ehteshami-Afshar, S.; Fitzgerald, J.M.; Doyle-Waters, M.M.; Sadatsafavi, M. The global economic burden of asthma and chronic obstructive pulmonary disease. Int. J. Tuberc. Lung Dis. 2016, 20, 11–23. [Google Scholar] [CrossRef] [PubMed]
- Ferro, M.A.; Van Lieshout, R.J.; Scott, J.G.; Alati, R.; Mamun, A.A.; Dingle, K. Condition-specific associations of symptoms of depression and anxiety in adolescents and young adults with asthma and food allergy. J. Asthma 2016, 53, 282–288. [Google Scholar] [CrossRef] [PubMed]
- Sundbom, F.; Malinovschi, A.; Lindberg, E.; Alving, K.; Janson, C. Effects of poor asthma control, insomnia, anxiety and depression on quality of life in young asthmatics. J. Asthma 2016, 53, 398–403. [Google Scholar] [CrossRef] [PubMed]
- Pawankar, R.; Mellon, M.; Parasuraman, B.; Haahtela, T.; Tuomisto, L.; Pietinalho, A.; Klaukka, T.; Erhola, M.; Kaila, M.; Nieminen, M.; et al. Allergic diseases and asthma: A global public health concern and a call to action. World Allergy Organ. J. 2014, 7, 12. [Google Scholar] [CrossRef] [PubMed]
- Penttinen, P.; Timonen, K.L.; Tiittanen, P.; Mirme, A.; Ruuskanen, J.; Pekkanen, J. Number concentration and size of particles in urban air: Effects on spirometric lung function in adult asthmatic subjects. Environ. Health Perspect. 2001, 109, 319–323. [Google Scholar] [CrossRef]
- O’Connor, G.T.; Neas, L.; Vaughn, B.; Kattan, M.; Mitchell, H.; Crain, E.F.; Evans, R.; Gruchalla, R.; Morgan, W.; Stout, J.; et al. Acute respiratory health effects of air pollution on children with asthma in US inner cities. J. Allergy Clin. Immunol. 2008, 121, 1133–1139. [Google Scholar] [CrossRef]
- Ścibor, M.; Balcerzak, B.; Czernecka, Ż.; Malinowska-Cieślik, M. Assessment of life quality in patients with bronchial asthma residing in Krakow in the areas of varying concentrations of particulate matter (PM10). Med. Śr. 2015, 18, 45–53. [Google Scholar]
- International Organization for Standardization. ISO 7708: 1995-Air Quality-Particle Size Fraction Definitions for Health-Related Sampling; ISO: Geneva, Switzerland, 1995. [Google Scholar]
- Anderson, H.R.; Favarato, G.; Atkinson, R.W. Long-term exposure to air pollution and the incidence of asthma: Meta-analysis of cohort studies. Air Qual. Atmos. Health 2013, 6, 47–56. [Google Scholar] [CrossRef]
- World Health Organization (WHO). Air quality Guidelines for Particulate Matter, Ozone, Nitrogen Dioxide and Sulfur Dioxide: Global Update 2005: Summary of Risk Assessment; World Health Organization: Geneva, Switzerland, 2006; pp. 1–22. [Google Scholar]
- Dick, S.; Friend, A.; Dynes, K.; AlKandari, F.; Doust, E.; Cowie, H.; Ayres, J.G.; Turner, S.W. A systematic review of associations between environmental exposures and development of asthma in children aged up to 9 years. BMJ Open 2014, 4, e006554. [Google Scholar] [CrossRef]
- Jacquemin, B.; Siroux, V.; Sanchez, M.; Carsin, A.-E.; Schikowski, T.; Adam, M.; Bellisario, V.; Buschka, A.; Bono, R.; Brunekreef, B.; et al. Ambient air pollution and adult asthma incidence in six European cohorts (ESCAPE). Environ. Health Perspect. 2015, 123, 613. [Google Scholar] [CrossRef] [PubMed]
- Global Initiative for Asthma. Global Strategy for Asthma Management and Prevention; Global Initiative for Asthma—GINA: Fontana, WI, USA, 2015. [Google Scholar]
- Juniper, E.F.; Sonia Buist, A.; Cox, F.M.; Ferrie, P.J.; King, D.R. Validation of a standardized version of the asthma quality of life questionnaire. Chest 1999, 115, 1265–1270. [Google Scholar] [CrossRef] [PubMed]
- Juniper, E.F.; Norman, G.R.; Cox, F.M.; Roberts, J.N. Comparison of the standard gamble, rating scale, AQLQ and SF-36 for measuring quality of life in asthma. Eur. Respir. J. 2001, 18, 38–44. [Google Scholar] [CrossRef] [PubMed]
- Juniper, E.F.; Guyatt, G.H.; Ferrie, P.J.; Griffith, L.E. Measuring Quality of Life in Asthma. Am. Rev. Respir. Dis. 2013, 147, 832–838. [Google Scholar] [CrossRef] [PubMed]
- Kaambwa, B.; Chen, G.; Ratcliffe, J.; Iezzi, A.; Maxwell, A.; Richardson, J. Mapping between the Sydney Asthma Quality of Life Questionnaire (AQLQ-S) and five multi-attribute utility instruments (MAUIs). Pharmacoeconomics 2017, 35, 111–124. [Google Scholar] [CrossRef] [PubMed]
- Orru, H.; Maasikmets, M.; Lai, T.; Tamm, T.; Kaasik, M.; Kimmel, V.; Orru, K.; Merisalu, E.; Forsberg, B. Health impacts of particulate matter in five major Estonian towns: Main sources of exposure and local differences. Air Qual. Atmos. Health 2011, 4, 247–258. [Google Scholar] [CrossRef]
- Correia, A.W.; Pope, C.A., 3rd; Dockery, D.W.; Wang, Y.; Ezzati, M.; Dominici, F. Effect of air pollution control on life expectancy in the United States: An analysis of 545 U.S. counties for the period from 2000 to 2007. Epidemiology 2013, 24, 23–31. [Google Scholar] [CrossRef]
- Raaschou-Nielsen, O.; Andersen, Z.J.; Beelen, R.; Samoli, E.; Stafoggia, M.; Weinmayr, G.; Hoffmann, B.; Fischer, P.; Nieuwenhuijsen, M.J.; Brunekreef, B.; et al. Air pollution and lung cancer incidence in 17 European cohorts: Prospective analyses from the European Study of Cohorts for Air Pollution Effects (ESCAPE). Lancet Oncol. 2013, 14, 813–822. [Google Scholar] [CrossRef]
- Katanoda, K.; Sobue, T.; Satoh, H.; Tajima, K.; Suzuki, T.; Nakatsuka, H.; Takezaki, T.; Nakayama, T.; Nitta, H.; Tanabe, K.; et al. An Association between Long-Term Exposure to Ambient Air Pollution and Mortality from Lung Cancer and Respiratory Diseases in Japan. J. Epidemiol. 2011, 21, 132–143. [Google Scholar] [CrossRef]
- Tian, Y.; Xiang, X.; Juan, J.; Sun, K.; Song, J.; Cao, Y.; Hu, Y. Fine particulate air pollution and hospital visits for asthma in Beijing, China. Environ. Pollut. 2017, 230, 227–233. [Google Scholar] [CrossRef]
- Ding, L.; Zhu, D.; Peng, D.; Zhao, Y. Air pollution and asthma attacks in children: A case–crossover analysis in the city of Chongqing, China. Environ. Pollut. 2017, 220, 348–353. [Google Scholar] [CrossRef] [PubMed]
- WHO Expert Consultation: Available Evidence for the Future Update of the WHO Global Air Quality Guidelines (AQGs) 2015. Available online: http://www.euro.who.int/__data/assets/pdf_file/0013/301720/Evidence-future-update-AQGs-mtg-report-Bonn-sept-oct-15.pdf (accessed on 12 July 2019).
- Harrison, R.M.; Smith, D.J.T.; Kibble, A.J. What is responsible for the carcinogenicity of PM2. 5? Occup. Environ. Med. 2004, 61, 799–805. [Google Scholar] [CrossRef] [PubMed]
- Franklin, M.; Koutrakis, P.; Schwartz, J. The role of particle composition on the association between PM2.5 and mortality. Epidemiology 2008, 19, 680. [Google Scholar] [CrossRef] [PubMed]
- Schwartz, J. Harvesting and long term exposure effects in the relation between air pollution and mortality. Am. J. Epidemiol. 2000, 151, 440–448. [Google Scholar] [CrossRef] [PubMed]
- Pope, C.A., III; Burnett, R.T.; Thun, M.J.; Calle, E.E.; Krewski, D.; Ito, K.; Thurston, G.D. Lung cancer, cardiopulmonary mortality, and long-term exposure to fine particulate air pollution. JAMA 2002, 287, 1132–1141. [Google Scholar] [CrossRef] [PubMed]
- Turner, M.C.; Krewski, D.; Pope, C.A.; Chen, Y.; Gapstur, S.M.; Thun, M.J. Long-term Ambient Fine Particulate Matter Air Pollution and Lung Cancer in a Large Cohort of Never-Smokers. Am. J. Respir. Crit. Care Med. 2011, 184, 1374–1381. [Google Scholar] [CrossRef] [PubMed]
- Xing, Y.F.; Xu, Y.H.; Shi, M.H.; Lian, Y.X. The impact of PM2.5 on the human respiratory system. J. Thorac. Dis. 2016, 8, E69–E74. [Google Scholar] [PubMed]
- Zanobetti, A.; Franklin, M.; Koutrakis, P.; Schwartz, J. Fine particulate air pollution and its components in association with cause-specific emergency admissions. Environ. Health A Glob. Access Sci. Source 2009, 8, 58. [Google Scholar] [CrossRef] [PubMed]
- Dominici, F.; Peng, R.D.; Bell, M.L.; Pham, L.; McDermott, A.; Zeger, S.L.; Samet, J.M. Fine particulate air pollution and hospital admission for cardiovascular and respiratory diseases. JAMA 2006, 295, 1127–1134. [Google Scholar] [CrossRef] [PubMed]
- Li, N.; Peng, X. Relationship between air pollutant and daily hospital visits for respiratory diseases in Guangzhou: A time-series study. J. Environ. Health 2009, 26, 1077–1080. [Google Scholar]
- Auerbach, A.; Hernandez, M.L. The effect of environmental oxidative stress on airway inflammation. Curr. Opin. Allergy Clin. Immunol. 2012, 12, 133–139. [Google Scholar] [CrossRef] [PubMed]
- Gasana, J.; Dillikar, D.; Mendy, A.; Forno, E.; Ramos Vieira, E. Motor vehicle air pollution and asthma in children: A meta-analysis. Environ. Res. 2012, 117, 36–45. [Google Scholar] [CrossRef] [PubMed]
- Searing, D.A.; Rabinovitch, N. Environmental pollution and lung effects in children. Curr. Opin. Pediatr. 2011, 23, 314–318. [Google Scholar] [CrossRef] [PubMed]
- Loftus, C.; Yost, M.; Sampson, P.; Arias, G.; Torres, E.; Vasquez, V.B.; Bhatti, P.; Karr, C. Regional PM2. 5 and asthma morbidity in an agricultural community: A panel study. Environ. Res. 2015, 136, 505–512. [Google Scholar] [CrossRef] [PubMed]
- Gorai, A.K.; Tuluri, F.; Tchounwou, P.B. A GIS based approach for assessing the association between air pollution and asthma in New York State, USA. Int. J. Environ. Res. Public Health 2014, 11, 4845–4869. [Google Scholar] [CrossRef] [PubMed]
- Xu, Q.; Li, X.; Wang, S.; Wang, C.; Huang, F.; Gao, Q.; Wu, L.; Tao, L.; Guo, J.; Wang, W.; et al. Fine particulate air pollution and hospital emergency room visits for respiratory disease in urban areas in Beijing, China, in 2013. PLoS ONE 2016, 11, e0153099. [Google Scholar] [CrossRef] [PubMed]
- Smith, K.W.; Avis, N.E.; Assmann, S.F. Distinguishing between quality of life and health status in quality of life research: A meta-analysis. Qual. Life Res. 1999, 8, 447–459. [Google Scholar] [CrossRef] [PubMed]
- Crabbe, H.; Barber, A.; Bayford, R.; Hamilton, R.; Jarrett, D.; Machin, N. The use of a European telemedicine system to examine the effects of pollutants and allergens on asthmatic respiratory health. Sci. Total Environ. 2004, 334, 417–426. [Google Scholar] [CrossRef] [PubMed]
- Dewulf, B.; Neutens, T.; Lefebvre, W.; Seynaeve, G.; Vanpoucke, C.; Beckx, C.; Van de Weghe, N. Dynamic assessment of exposure to air pollution using mobile phone data. Int. J. Health Geogr. 2016, 15, 14. [Google Scholar] [CrossRef]
- Khreis, H.; Nieuwenhuijsen, M. Traffic-related air pollution and childhood asthma: Recent advances and remaining gaps in the exposure assessment methods. Int. J. Environ. Res. Public Health 2017, 14, 312. [Google Scholar] [CrossRef] [PubMed]
- Billionnet, C.; Sherrill, D.; Annesi-Maesano, I. Estimating the health effects of exposure to multi-pollutant mixture. Ann. Epidemiol. 2012, 22, 126–141. [Google Scholar] [CrossRef] [PubMed]
- Olstrup, H.; Johansson, C.; Forsberg, B.; Tornevi, A.; Ekebom, A.; Meister, K. A Multi-Pollutant Air Quality Health Index (AQHI) Based on Short-Term Respiratory Effects in Stockholm, Sweden. Int. J. Environ. Res. Public Health 2019, 16, 105. [Google Scholar] [CrossRef] [PubMed]
- Scibor, M. Are we safe inside? Indoor air quality in relation to outdoor concentration of PM 10 and PM 2.5 and to characteristics of homes. Sustain. Cities Soc. 2019, 48, 101537. [Google Scholar] [CrossRef]


| Characteristics of the Study Group | Total n = 300 | Low Exposure (≤25 µg/m3) n = 75 | High Exposure (25.1–46 µg/m3) n = 75 | Very High Exposure (46.1–58 µg/m3) n = 75 | Extremely High Exposure (>58 µg/m3) n = 75 | p |
|---|---|---|---|---|---|---|
| women | 145 (48.3%) | 36 (48.0%) | 30 (40.0%) | 40 (53.3%) | 39 (52.0%) | 0.356 |
| men | 155 (51.7%) | 39 (52.0%) | 45 (60.0%) | 35 (46.7%) | 36 (48.0%) | |
| age (years) | 53 ± 15.3 | 49.8 ± 15.7 | 51.3 ± 15.5 | 52.1 ± 13.3 | 59.0 ± 15.3 | 0.001 |
| university education | 127 (42.3%) | 39 (52%) | 35 (46.7%) | 29 (38.7%) | 24 (32%) | 0.068 |
| active smoker | 31 (10.3%) | 1 (1.3%) | 11 (14.7%) | 16 (21.3%) | 3 (4.0%) | <0.001 |
| current employment | ||||||
| student | 11 (3.7%) | 3 (4.0%) | 4 (5.3%) | 3 (4.1%) | 1 (1.3%) | 0.124 |
| employed | 172 (57.5%) | 47 (62.7%) | 48 (64.0%) | 43 (58.1%) | 34 (45.3%) | |
| unemployed | 27 (9.0%) | 7 (9.3%) | 5 (6.7%) | 9 (12.2%) | 6 (8.0%) | |
| retired | 89 (29.8%) | 18 (24.0%) | 18 (24.0%) | 19 (25.7%) | 34 (45.3%) | |
| missing | 1 | |||||
| keeping pets at home | 133 (43.3%) | 34 (45.3%) | 33 (75%) | 28 (37.3%) | 38 (50.7%) | 0.433 |
| quality of life in asthma | ||||||
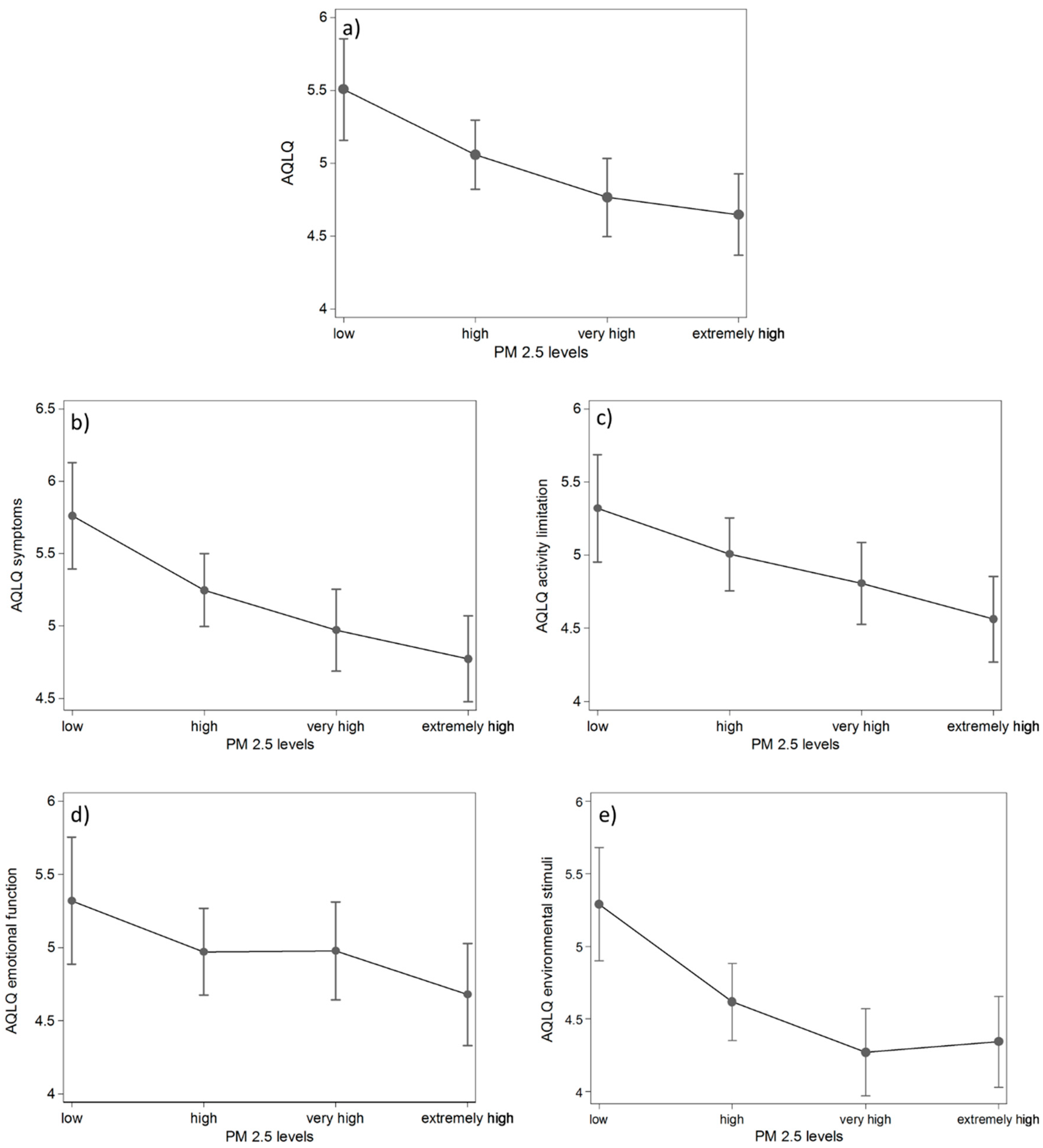
| AQLQ * total | 5.0 ± 1.29 | 5.6 ± 1.11 | 5.1 ± 1.14 | 4.8 ± 1.15 | 4.4 ± 1.43 | <0.001 |
| AQLQ symptoms | 5.2 ± 1.34 | 5.7 ± 1.23 | 5.3 ± 1.13 | 5.1 ± 1.28 | 4.6 ± 1.48 | <0.001 |
| AQLQ activity limitation | 4.9 ± 1.37 | 5.7 ± 1.14 | 5.0 ± 1.25 | 4.7 ± 1.18 | 4.3 ± 1.51 | <0.001 |
| AQLQ emotional function | 5.0 ± 1.53 | 5.6 ± 1.21 | 5.1 ± 1.36 | 4.9 ± 1.51 | 4.4 ± 1.78 | <0.001 |
| AQLQ environmental stimuli | 4.6 ± 1.33 | 5.4 ± 1.35 | 4.6 ± 1.22 | 4.3 ± 1.22 | 4.2 ± 1.2 | <0.001 |
| Concentration of PM2.5 Categorized According to 24 h Threshold (>25 µg/m3, n = 225 versus ≤ 25 µg/m3, n = 75) and According to the Quartiles | Asthma Quality of Life on Original Scale | Categorized Asthma Quality of Life (Ordered from Good as “1” to Poor as “3”) | ||||
|---|---|---|---|---|---|---|
| B * | 95% CI for B | pa | OR | 95% CI ** for OR | pb | |
| AQLQ total | ||||||
| >25 µg/m3 versus ≤ 25 µg/m3 | −0.56 | −0.98; −0.13 | 0.011 | 5.12 | 2.72; 9.63 | <0.001 |
| high versus low | −0.45 | −0.88; −0.01 | 0.044 | 2.68 | 1.28; 5.60 | 0.009 |
| very high versus low | −0.74 | −1.24; −0.24 | 0.004 | 7.34 | 3.50; 15.42 | <0.001 |
| extremely high versus low | −0.86 | −1.37; −0.34 | <0.001 | 7.17 | 3.39; 15.20 | <0.001 |
| AQLQ symptoms | ||||||
| >25 µg/m3 versus ≤ 25 µg/m3 | −0.63 | −1.08; −0.17 | 0.007 | 3.51 | 1.82; 6.77 | 0.001 |
| high versus low | −0.50 | −0.97; −0.05 | 0.029 | 2.24 | 1.04; 4.84 | 0.039 |
| very high versus low | −0.79 | −1.32; −0.26 | 0.003 | 3.59 | 1.67; 7.72 | 0.001 |
| extremely high versus low | −0.99 | −1.53; −0.44 | <0.001 | 5.30 | 2.48; 11.31 | <0.001 |
| AQLQ activity limitation | ||||||
| >25 µg/m3 versus ≤ 25 µg/m3 | −0.41 | −0.86; 0.04 | 0.074 | 5.74 | 3.07; 10.73 | <0.001 |
| high versus low | −0.31 | −0.77; 0.14 | 0.177 | 3.10 | 1.49; 6.43 | 0.002 |
| very high versus low | −0.51 | −1.03; 0.01 | 0.055 | 8.05 | 3.84; 16.90 | <0.001 |
| extremely high versus low | −0.76 | −1.30; −0.22 | 0.006 | 8.01 | 3.81; 16.85 | <0.001 |
| AQLQ emotional function | ||||||
| >25 µg/m3 versus ≤ 25 µg/m3 | −0.38 | −0.91; 0.14 | 0.155 | 2.30 | 1.30; 4.07 | 0.004 |
| high versus low | −0.35 | −0.89; 0.19 | 0.206 | 1.94 | 0.98; 3.84 | 0.055 |
| very high versus low | −0.34 | −0.96; 0.28 | 0.279 | 2.72 | 1.36; 5.43 | 0.004 |
| extremely high versus low | −0.64 | −1.28; 0.001 | 0.050 | 2.33 | 1.17; 4.62 | 0.016 |
| AQLQ environmental stimuli | ||||||
| >25 µg/m3 versus ≤ 25 µg/m3 | −0.78 | −1.25; −0.30 | <0.001 | 4.78 | 2.72; 8.38 | <0.001 |
| high versus low | −0.67 | −1.16; −0.19 | 0.007 | 3.24 | 1.67; 6.26 | <0.001 |
| very high versus low | −1.02 | −1.58; −0.46 | <0.001 | 6.06 | 3.04; 12.09 | <0.001 |
| extremely high versus low | −0.95 | −1.53; −0.37 | 0.001 | 6.08 | 3.02; 12.24 | <0.001 |
| PM2.5 Concentration | Asthma Quality of Life on Original Scale | Categorized Asthma Quality of Life (Ordered from Good as “1” to Poor as ”3”) | ||||
|---|---|---|---|---|---|---|
| B * | 95% CI for B | pa | OR | 95% CI for OR | pb | |
| AQLQ total | ||||||
| 14-day concentrations of PM2.5 | −0.16 | −0.24; −0.07 | <0.001 | 1.46 | 1.29; 1.66 | <0.001 |
| AQLQ symptoms | ||||||
| 14-day concentrations of PM2.5 | −0.18 | −0.27; −0.09 | <0.001 | 1.37 | 1.20; 1.55 | <0.001 |
| AQLQ activity limitation | ||||||
| 14-day concentrations of PM2.5 | −0.14 | −0.23; −0.06 | <0.001 | 1.46 | 1.29; 1.66 | <0.001 |
| AQLQ emotional function | ||||||
| 14-day concentrations of PM2.5 | −0.15 | −0.26; −0.05 | 0.004 | 1.21 | 0.91; 1.20 | 0.002 |
| AQLQ environmental stimuli | ||||||
| 14-day concentrations of PM2.5 | −0.14 | −0.24; −0.05 | 0.003 | 1.40 | 1.24; 1.58 | <0.001 |
© 2019 by the authors. Licensee MDPI, Basel, Switzerland. This article is an open access article distributed under the terms and conditions of the Creative Commons Attribution (CC BY) license (http://creativecommons.org/licenses/by/4.0/).
Share and Cite
Ścibor, M.; Galbarczyk, A.; Jasienska, G. Living Well with Pollution? The Impact of the Concentration of PM2.5 on the Quality of Life of Patients with Asthma. Int. J. Environ. Res. Public Health 2019, 16, 2502. https://doi.org/10.3390/ijerph16142502
Ścibor M, Galbarczyk A, Jasienska G. Living Well with Pollution? The Impact of the Concentration of PM2.5 on the Quality of Life of Patients with Asthma. International Journal of Environmental Research and Public Health. 2019; 16(14):2502. https://doi.org/10.3390/ijerph16142502
Chicago/Turabian StyleŚcibor, Monika, Andrzej Galbarczyk, and Grazyna Jasienska. 2019. "Living Well with Pollution? The Impact of the Concentration of PM2.5 on the Quality of Life of Patients with Asthma" International Journal of Environmental Research and Public Health 16, no. 14: 2502. https://doi.org/10.3390/ijerph16142502
APA StyleŚcibor, M., Galbarczyk, A., & Jasienska, G. (2019). Living Well with Pollution? The Impact of the Concentration of PM2.5 on the Quality of Life of Patients with Asthma. International Journal of Environmental Research and Public Health, 16(14), 2502. https://doi.org/10.3390/ijerph16142502

