Association between Level of Empathy, Attitude towards Physical Education and Victimization in Adolescents: A Multi-Group Structural Equation Analysis
Abstract
:1. Introduction
2. Materials and Methods
2.1. Design and Participants
2.2. Variables and Instruments
- Regular physical activity practice. Collection by means of an ad hoc questionnaire in which the subject is asked if the subject performs three or more hours of physical activity a week. Dichotomic answer: “Yes” or “No”. It is considered that a subject who practices physical activity three or more hours a week out of school is physically active, therefore this criterion has been used, coinciding with international recommendations.
- Cognitive and Affective Empathy Test (TECA). The original questionnaire developed by López-Pérez, Fernández-Pinto and Abad [26] was used. This seeks to analyze participants’ capacity for empathy from a dual perspective, cognitive and affective. The questionnaire was composed of 33 items that were scored according to a five-point Likert scale. The instrument presents a three factor model, composed of the two large dimensions of cognitive empathy and affective empathy. These in turn were each composed of two factors each. Cognitive empathy was formed by perspective adoption (capacity of the individual to communicate themselves, tolerate the rest and maintain social relationships) and emotional understanding (ability to recognize and understand the emotions and impressions of others). Affective empathy was formed by empathetic stress (ability to understand and share the negative emotions of others) and empathetic joy (capacity to understand and share the positive emotions of others). A reliability index of α = 0.80 was obtained in the present study, this being similar to that found in the study conducted by López-Pérez et al. [26], in which a reliability index of α = 0.82 was established.
- Attitudes towards Physical Education Questionnaire (CAEF). The original questionnaire described by Moreno, Rodríguez and Gutiérrez [27] was used. The questionnaire is composed of 56 items rated along a four-point Likert scale, where 1 = disagree and 4 = totally agree. This instrument is composed of seven different dimensions: evaluation of the subject matter and of the Physical Education teacher, difficulty of Physical Education, usefulness of Physical Education, empathy with the teacher and the subject matter, agreement with organization of the subject matter, preference for Physical Education and sport, and Physical Education as sport. For this instrument a consistency of α = 0.75 was obtained, with this being acceptable and slightly higher than the value obtained by Moreno et al. [27] in their original study (α = 0.73).
- Victimization at School Scale (EV). The present instrument was created by Mynard and Joseph [28] and adapted into Spanish by Cava, Musitu and Murgui [29]. The questionnaire is composed of 20 items evaluated according to a four-point Likert scale, where 1 = never and 4 = always. This instrument provides information about three types of victimization: physical, verbal and relational. In the original study, Mynard and Joseph [28] obtained an internal consistency (Cronbach alpha) value of α = 0.77. In the present study, a superior coefficient of α = 0.93 was obtained, with this being similar to that obtained by Povedano, Estévez, Martínez and Monreal [30].
2.3. Procedure
2.4. Data Analysis
3. Results
4. Discussion
5. Conclusions
Author Contributions
Funding
Conflicts of Interest
References
- Graham, S. Peer victimization in school. Exploring the ethnic context. Curr. Dir. Psychol. Sci. 2006, 15, 317–321. [Google Scholar] [CrossRef]
- Hong, J.; Espelage, D.A. Review of research on bullying and peer victimization in school: An ecological system analysis. Aggress. Violent Behav. 2012, 17, 311–322. [Google Scholar] [CrossRef]
- Patchin, J.W.; Hinduja, S. Deterring teen bullying: Assessing the impact of perceived punishment from police, schools, and parents. Youth Violence Juv. J. 2018, 16, 190–207. [Google Scholar] [CrossRef]
- Forsberg, C.; Wood, L.; Smith, J.; Varjas, K.; Meyers, J.; Jungert, T.; Thornberg, R. Students’ views of factors affecting their bystander behaviors in response to school bullying: A cross-collaborative conceptual qualitative analysis. Res. Pap. Educ. 2018, 33, 127–142. [Google Scholar] [CrossRef]
- Park, A.; Jensen-Campbell, L.A.; Miller, H.L. The effects of peer relational victimization on social cognition: Rejection attribution bias or a more generalized sensitivity to social pain? J. Soc. Pers. Relat. 2017, 34, 984–1006. [Google Scholar] [CrossRef]
- Thornberg, R. School bullying as a collective action: Stigma processes and identity struggling. Child. Soc. 2015, 29, 310–320. [Google Scholar] [CrossRef]
- Donat, M.; Knigge, M.; Dalbert, C. Being a good or a just teacher: Which experiences of teachers’ behavior can be more predictive of school bullying? Aggress. Behav. 2018, 44, 29–39. [Google Scholar] [CrossRef]
- Tyllier, M.; Wilcox, P.; Fissel, E.R. Violence in Schools: Repeat Victimization, Low Self-Control, and the Mitigating Influence of School Efficacy. J. Quant. Crimonol. 2012, 34, 609–632. [Google Scholar] [CrossRef]
- Evans, C.; Cotter, K.L.; Smokowski, P.R. Giving Victims of Bullying a Voice: A Qualitative Study of Post Bullying Reactions and Coping Strategies. Child. Adol. Soc. Work J. 2017, 34, 543–555. [Google Scholar] [CrossRef]
- Turner, H.A.; Shattuck, A.; Finkelhor, D.; Hamby, S. Effects of poly-victimization on adolescent social support, self-concept, and psychological distress. J. Interpers. Violence 2017, 32, 755–780. [Google Scholar] [CrossRef]
- Olsson, G.; Låftman, S.B.; Modin, B. School Collective Efficacy and Bullying Behaviour: A Multilevel Study. Int. J. Environ. Res. Public Health 2017, 14, 1607. [Google Scholar] [CrossRef] [PubMed]
- Lo, T.W.; Cheng, C.H. Predicting Effects of the Self and Contextual Factors on Violence: A Comparison between School Students and Youth Offenders in Macau. Int. J. Environ. Res. Public Health 2018, 15, 258. [Google Scholar] [CrossRef] [PubMed]
- Puertas-Molero, P.; Marfil-Carmona, R.; Zurita-Ortega, F.; González-Valero, G. Impact of Sports Mass Media on the Behavior and Health of Society. A Systematic Review. Int. J. Environ. Res. Public Health 2019, 16, 486. [Google Scholar] [CrossRef]
- Earnest, A.A.; Brady, S.S. Dating Violence Victimization Among High School Students in Minnesota: Associations with Family Violence, Unsafe Schools, and Resources for Support. J. Interpers. Violence 2016, 31, 383–406. [Google Scholar] [CrossRef] [PubMed]
- Luengo-Kanacri, B.P.; Eisenberg, N.; Thartori, E.; Pastorelli, C.; Uribe-Tirado, L.M.; Gerbino, M.; Caprara, G.V. Longitudinal relations among positivity, perceived positive school climate, and prosocial behavior in Colombian adolescents. Child. Dev. 2017, 88, 1100–1114. [Google Scholar] [CrossRef] [PubMed]
- Decety, J.; Meidenbauer, K.L.; Cowell, J.M. The development of cognitive empathy and concern in preschool children: A behavioral neuroscience investigation. Dev. Sci. 2018, 21, e12570. [Google Scholar] [CrossRef] [PubMed]
- Vezzali, L.; Hewstone, M.; Capozza, D.; Trifiletti, E.; Bernardo, G.A. Improving intergroup relations with extended contact among young children: Mediation by intergroup empathy and moderation by direct intergroup contact. J. Community Appl. Soc. Psychol. 2017, 27, 35–49. [Google Scholar] [CrossRef]
- Castro-Sánchez, M.; Zurita-Ortega, F.; García-Marmol, E.; Chacón-Cuberos, R. Motivational Climate in Sport Is Associated with Life Stress Levels, Academic Performance and Physical Activity Engagement of Adolescents. Int. J. Environ. Res. Public Health 2019, 16, 1198. [Google Scholar] [CrossRef]
- Shechtman, Z. Group intervention with aggressive children and youth through bibliotherapy. Int. J. Group Psychother. 2017, 67, 47–67. [Google Scholar] [CrossRef]
- van Hazebroek, B.C.; Olthof, T.; Goossens, F.A. Predicting aggression in adolescence: The interrelation between (a lack of) empathy and social goals. Aggress. Behav. 2017, 43, 204–214. [Google Scholar] [CrossRef]
- Zurita, F.; Moreno, R.; González, G.; Viciana, V.; Martínez, A.; Muros, J.J. Revisión conceptual de la conexión entre inteligencia emocional y autoconcepto físico. Revista Euroamericana de Ciencias del Deporte 2017, 7, 139–144. [Google Scholar] [CrossRef]
- McNamee, J.; Bruecker, S.; Murray, T.; Speich, C. High-activity skills progression: A method for increasing MVPA. J. Phys. Educ. Recreat. Dance. 2007, 78, 17–32. [Google Scholar] [CrossRef]
- Almagro, S.; Dueñas, S.; Tercedor, P. Actividad física y depresión: Revisión sistemática. Actividad física y depresión: revisión sistemática 2016, 14, 377–392. [Google Scholar]
- Burke, S.M.; Vanderloo, L.M.; Gastón, A.; Pearson, E.; Tucker, P. An Examination of Self-Reported Physical Activity and Physical Activity Self-Efficacy among Children with Obesity: Findings from the Children’s Health and Activity Modification Program (C.H.A.M.P.) Pilot Study. RETOS 2015, 28, 212–218. [Google Scholar]
- Peck, S.C.; Roeser, R.W.; Zarrett, N.; Eccles, J.S. Exploring the roles of extracurricular activity quantity and quality in the educational resilience of vulnerable adolescents: Variable- and pattern-centered approaches. J. Soc. Issues 2008, 64, 135–156. [Google Scholar] [CrossRef] [PubMed]
- López-Pérez, B.; Fernández-Pinto, I.; García, F.J. TECA: Test de Empatía Cognitiva y Afectiva; TEA Ediciones: Madrid, España, 2008. [Google Scholar]
- Moreno, J.A.; Rodríguez, P.L.; Gutiérrez, M. Intereses y actitudes hacia la Educación Física. Revista Española de Educación Física 2003, 11, 14–28. [Google Scholar]
- Mynard, H.; Joseph, S. Development of the Multidimensional Peer-Victimization Scale. Off. J. Int. Soc. Res. Aggress. 2000, 26, 169–178. [Google Scholar] [CrossRef]
- Cava, M.J.; Musitu, G.; Murgui, S. Individual and social risk factors related to overt victimization in a simple of Spanish adolescents. Psychol. Rep. 2007, 101, 275–290. [Google Scholar] [CrossRef] [PubMed]
- Povedano, A.; Estévez, E.; Martínez, B.; Monreal, M.C. Un perfil psicosocial de adolescentes agresores y víctimas en la escuela: Análisis de las diferencias de género. Revista de Psicología Social 2012, 27, 169–182. [Google Scholar] [CrossRef]
- Marsh, H.W. Handbook of Sport Psychology, 3rd ed.; John Wiley and Sons Inc.: Hoboken, NJ, USA, 2007. [Google Scholar] [CrossRef]
- Zych, I.; Beltrán-Catalán, M.; Ortega-Ruiz, R.; Llorent, V.J. Social and Emotional Competencies in Adolescents Involved in Different Bullying and Cyberbullying Roles. Rev. Psicodidact. 2018, 23, 86–93. [Google Scholar] [CrossRef]
- Zych, I.; Ttofi, M.M.; Farrington, D.P. Empathy and callous-unemotional traits in different bullying roles: A systematic review and meta-analysis. Trauma Violence Abus. 2019, 20, 3–21. [Google Scholar] [CrossRef] [PubMed]
- Laghi, F.; Bianchi, D.; Pompili, S.; Lonigro, A.; Baiocco, R. Cognitive and affective empathy in binge drinking adolescents: Does empathy moderate the effect of self-efficacy in resisting peer pressure to drink? Addict. Behav. 2019, 89, 229–235. [Google Scholar] [CrossRef] [PubMed]
- Lenzi, M.; Sharkey, J.D.; Wroblewski, A.; Furlong, M.J.; Santinello, M. Protecting youth from gang membership: Individual and school-level emotional competence. J. Community Psychol. 2019, 47, 563–578. [Google Scholar] [CrossRef] [PubMed]
- Graf, D.; Yanagida, T.; Spiel, C. Through the magnifying glass: Empathys differential role in preventing and promoting traditional and cyberbullying. Comput. Hum. Behav. 2019, 96, 186–195. [Google Scholar] [CrossRef]
- Kwon, S.J. A relationship between personality and empathy in teenagers school sports club participation. J. Exerc. Rehabil. 2018, 14, 746–757. [Google Scholar] [CrossRef] [PubMed]
- Foody, M.; Samara, M. Considering mindfulness techniques in school-based anti-bullying programmes. J. New Approach. Educ. Res. 2018, 7, 3–9. [Google Scholar] [CrossRef]
- Romeral, L.F.; Fernández, J.S.; Fraguela, J.A. Empatía y delincuencia juvenil: Un meta-análisis sobre la relación. Revista iberoamericana de psicologia y salud 2018, 9, 1–16. [Google Scholar] [CrossRef]
- Lago-Ballesteros, J.; Navarro-Patón, R.; Peixoto-Pino, L. Pensamiento y actitudes del alumnado de educación primaria hacia la asignatura y el maestro de educación física. Sport. Sci. J. Sch. Sport Phys. Educ. Psychomot. 2018, 4, 349–363. [Google Scholar] [CrossRef]
- Di Bartolomeo, G.; Papa, S. The effects of physical activity on social interactions: The case of trust and trustworthiness. J. Sports Econ. 2019, 20, 50–71. [Google Scholar] [CrossRef]
- Herazo-Beltran, Y.; Campo-Ternera, L.; Garcia-Puello, F.; Mendez, O.; Suarez-Villa, M.; Vasquez-De la Hoz, F.; Nunez-Bravo, N. Relationship between physical activity and emotional intelligence and bullying among school children. Psicología del Deporte Vol 28, nº 1, 2019: Revista de Psicología del Deporte 2019, 28, 97–103. [Google Scholar]
- Edwards, K.M.; Banyard, V.L.; Sessarego, S.N.; Waterman, E.A.; Mitchell, K.J.; Chang, H. Evaluation of a bystander-focused interpersonal violence prevention program with high school students. Prev. Sci. 2019. [Google Scholar] [CrossRef] [PubMed]
- Lee, J.; Lee, Y.; Kim, M.H. Effects of empathy-based learning in elementary social studies. Asia-Pac. Educ. Res. 2018, 27, 509–521. [Google Scholar] [CrossRef]
- Amado-Alonso, D.; Leon-del-Barco, B.; Mendo-Lazaro, S.; Sanchez-Miguel, P.A.; Gallego, D.I. Emotional Intelligence and the Practice of Organized Physical-Sport Activity in Children. Sustainability 2019, 11, 1615. [Google Scholar] [CrossRef]



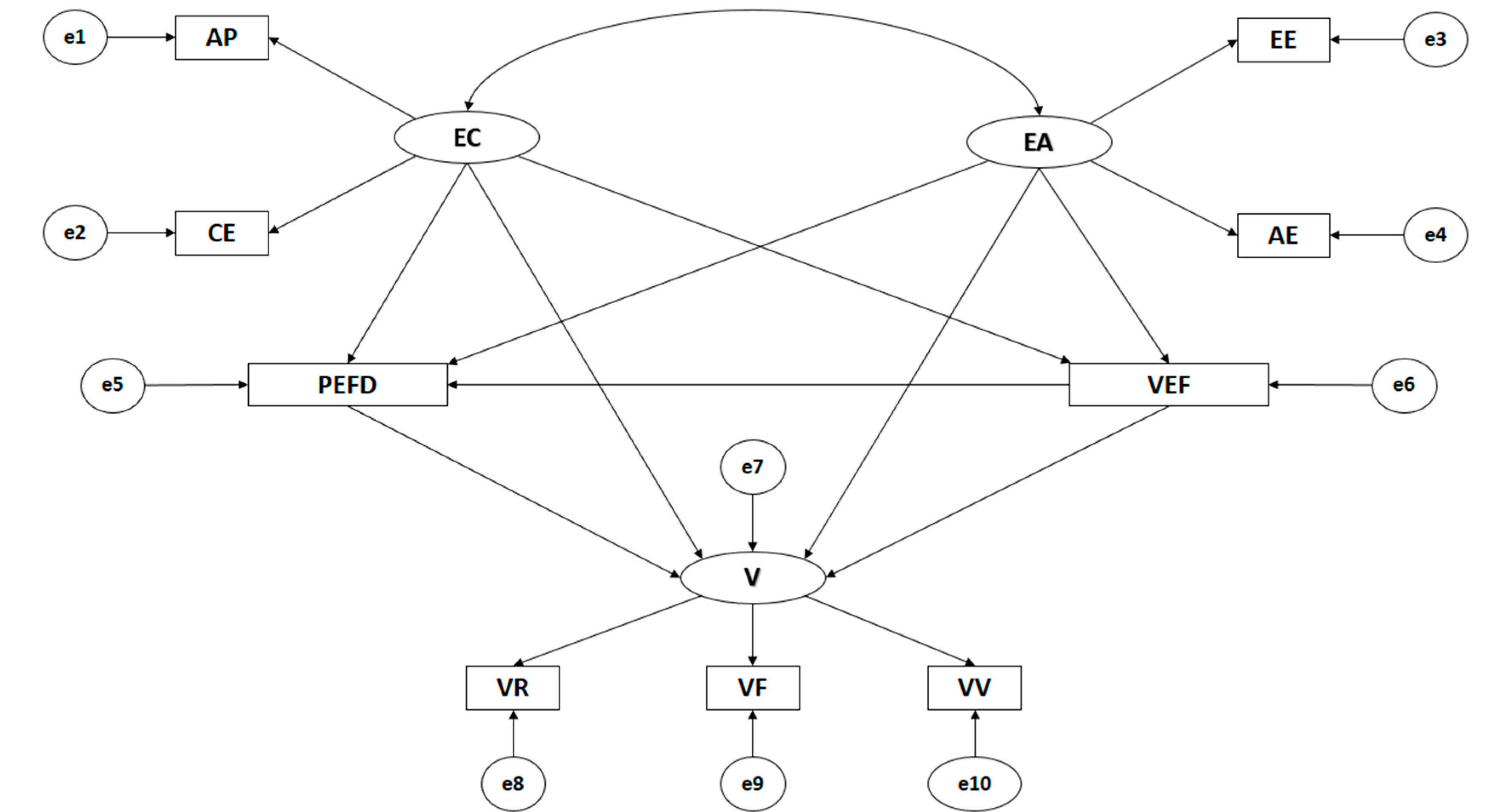
| Association between Variables | R.W. | S.W.R. | |||||
|---|---|---|---|---|---|---|---|
| Estimates | S.E. | C.R. | P | Estimates | |||
| VEF | ← | EC | 0.649 | 0.474 | 1.371 | 0.170 | 0.404 |
| VEF | ← | EA | −0.184 | 1.194 | −0.154 | 0.877 | −0.045 |
| PEFD | ← | EC | 0.902 | 1.083 | 0.833 | 0.405 | 0.489 |
| PEFD | ← | EA | −1.932 | 2.723 | −0.709 | 0.478 | −0.410 |
| PEFD | ← | VEF | 0.271 | 0.026 | 10.318 | *** | 0.236 |
| V | ← | PEFD | 0.105 | 0.036 | 2.912 | ** | 0.106 |
| V | ← | VEF | −0.111 | 0.029 | −3.847 | *** | −0.097 |
| V | ← | EC | −0.982 | 1.308 | −0.751 | 0.453 | −0.535 |
| V | ← | EA | 2.498 | 3.297 | 0.758 | 0.449 | 0.533 |
| CE | ← | EC | 1.000 | - | - | *** | 0.634 |
| AP | ← | EC | 1.043 | 0.042 | 25.102 | *** | 0.673 |
| EE | ← | EA | 1.000 | - | - | *** | 0.227 |
| AE | ← | EA | 2.642 | 0.241 | 10.984 | *** | 0.617 |
| VV | ← | V | 1.000 | - | - | *** | 0.939 |
| VF | ← | V | 0.697 | 0.013 | 53.353 | *** | 0.747 |
| VR | ← | V | 0.888 | 0.014 | 64.176 | *** | 0.861 |
| EC | ↔ | EA | 0.043 | 0.004 | 10.633 | *** | 0.821 |
| Associations between Variables | R.W. | S.R.W. | |||||
|---|---|---|---|---|---|---|---|
| Estimates | S.E. | C.R. | P | Estimates | |||
| VEF | ← | EC | 0.667 | 0.196 | 3.400 | *** | 0.403 |
| VEF | ← | EA | −0.321 | 0.436 | −0.737 | 0.461 | −0.076 |
| PEFD | ← | EC | 0.613 | 0.369 | 1.662 | * | 0.292 |
| PEFD | ← | EA | −1.528 | 0.818 | −1.867 | * | −0.287 |
| PEFD | ← | VEF | 0.313 | 0.046 | 6.823 | *** | 0.247 |
| V | ← | PEFD | 0.099 | 0.030 | 3.342 | *** | 0.113 |
| V | ← | VEF | −0.073 | 0.037 | −1.964 | * | −0.065 |
| V | ← | EC | 0.032 | 0.198 | 0.164 | 0.870 | 0.018 |
| V | ← | EA | −0.303 | 0.437 | −0.694 | 0.488 | −0.065 |
| CE | ← | EC | 1.000 | - | - | *** | 0.626 |
| AP | ← | EC | 1.137 | 0.076 | 14.862 | *** | 0.690 |
| EE | ← | EA | 1.000 | - | - | *** | 0.229 |
| AE | ← | EA | 2.272 | 0.297 | 7.638 | *** | 0.505 |
| VV | ← | V | 1.000 | - | - | *** | 0.928 |
| VF | ← | V | 0.761 | 0.025 | 29.945 | *** | 0.728 |
| VR | ← | V | 0.910 | 0.025 | 37.035 | *** | 0.870 |
| EC | ↔ | EA | 0.048 | 0.006 | 7.434 | *** | 0.722 |
© 2019 by the authors. Licensee MDPI, Basel, Switzerland. This article is an open access article distributed under the terms and conditions of the Creative Commons Attribution (CC BY) license (http://creativecommons.org/licenses/by/4.0/).
Share and Cite
Arufe-Giráldez, V.; Zurita-Ortega, F.; Padial-Ruz, R.; Castro-Sánchez, M. Association between Level of Empathy, Attitude towards Physical Education and Victimization in Adolescents: A Multi-Group Structural Equation Analysis. Int. J. Environ. Res. Public Health 2019, 16, 2360. https://doi.org/10.3390/ijerph16132360
Arufe-Giráldez V, Zurita-Ortega F, Padial-Ruz R, Castro-Sánchez M. Association between Level of Empathy, Attitude towards Physical Education and Victimization in Adolescents: A Multi-Group Structural Equation Analysis. International Journal of Environmental Research and Public Health. 2019; 16(13):2360. https://doi.org/10.3390/ijerph16132360
Chicago/Turabian StyleArufe-Giráldez, Víctor, Félix Zurita-Ortega, Rosario Padial-Ruz, and Manuel Castro-Sánchez. 2019. "Association between Level of Empathy, Attitude towards Physical Education and Victimization in Adolescents: A Multi-Group Structural Equation Analysis" International Journal of Environmental Research and Public Health 16, no. 13: 2360. https://doi.org/10.3390/ijerph16132360
APA StyleArufe-Giráldez, V., Zurita-Ortega, F., Padial-Ruz, R., & Castro-Sánchez, M. (2019). Association between Level of Empathy, Attitude towards Physical Education and Victimization in Adolescents: A Multi-Group Structural Equation Analysis. International Journal of Environmental Research and Public Health, 16(13), 2360. https://doi.org/10.3390/ijerph16132360

