Shedding Light on the Shade: How Nurseries Protect Their Children from Ultraviolet Radiation
Abstract
1. Introduction
2. Materials and Methods
2.1. Study Design
2.2. Inspection of Shade in Outdoor Area
2.3. Personal Interview
- (a)
- number and age range of supervised children,
- (b)
- sun protection measures taken by the staff during outdoor playtime,
- (c)
- requests to parents concerning sunscreen,
- (d)
- existence of written policies and/or verbally communicated guidelines for the staff detailing sun-protective measures,
- (e)
- the sources of information about sun protection used by the director.
2.4. Statistical Analyses
3. Results
3.1. Characteristics of Participating Nurseries
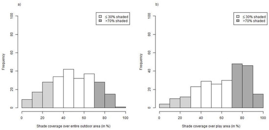
3.2. Shade Coverage in Outdoor Area of Nurseries
3.3. Sun protection Behavior of Staff and Requests to Parents
3.4. Sun Protection Policies and Guidelines in Nurseries
3.5. Sources of Information about Sun Protection
4. Discussion
5. Conclusions
Author Contributions
Funding
Acknowledgments
Conflicts of Interest
References
- Erdmann, F.; Lortet-Tieulent, J.; Schuz, J.; Zeeb, H.; Greinert, R.; Breitbart, E.W.; Bray, F. International trends in the incidence of malignant melanoma 1953–2008—Are recent generations at higher or lower risk? Int. J. Cancer 2013, 132, 385–400. [Google Scholar] [CrossRef] [PubMed]
- Zentrum für Krebsregisterdaten und Gesellschaft der Epidemiologischen Krebsregister in Deutschland. Krebs in Deutschland für 2013/2014, 11th ed.; Robert Koch-Institut, Ed.; Zentrum für Krebsregisterdaten: Berlin, Germany, 2017. [Google Scholar]
- Statistisches Bundesamt. 17% Mehr Stationäre Hautkrebsbehandlungen Innerhalb Von 5 Jahren; Press Release; Statistisches Bundesamt: Wiesbaden, Germany, 2017.
- Krensel, M.; Schafer, I.; Augustin, M. Disease costs of malignant melanoma in Europe—A systematic review. J. Dtsch. Dermatol. Ges. 2017, 15, 168. [Google Scholar]
- Gandini, S.; Sera, F.; Cattaruzza, M.S.; Pasquini, P.; Abeni, D.; Boyle, P.; Melchi, C.F. Meta-analysis of risk factors for cutaneous melanoma: I. Common and atypical naevi. Eur. J. Cancer 2005, 41, 28–44. [Google Scholar] [CrossRef] [PubMed]
- Gandini, S.; Sera, F.; Cattaruzza, M.S.; Pasquini, P.; Picconi, O.; Boyle, P.; Melchi, C.F. Meta-analysis of risk factors for cutaneous melanoma: II. Sun exposure. Eur. J. Cancer 2005, 41, 45–60. [Google Scholar] [CrossRef] [PubMed]
- Gandini, S.; Sera, F.; Cattaruzza, M.S.; Pasquini, P.; Zanetti, R.; Masini, C.; Boyle, P.; Melchi, C.F. Meta-analysis of risk factors for cutaneous melanoma: III. Family history, actinic damage and phenotypic factors. Eur. J. Cancer 2005, 41, 2040–2059. [Google Scholar] [CrossRef] [PubMed]
- Sample, A.; He, Y.Y. Mechanisms and prevention of UV-induced melanoma. Photodermatol. Photoimmunol. Photomed. 2018, 34, 13–24. [Google Scholar] [CrossRef] [PubMed]
- Stover, L.A.; Hinrichs, B.; Petzold, U.; Kuhlmei, H.; Baumgart, J.; Parpart, C.; Rademacher, O.; Stockfleth, E. Getting in early: Primary skin cancer prevention at 55 German kindergartens. Br. J. Dermatol. 2012, 167, 63–69. [Google Scholar] [CrossRef] [PubMed]
- Emmons, K.M.; Geller, A.C.; Viswanath, V.; Rutsch, L.; Zwirn, J.; Gorham, S.; Puleo, E. The SunWise Policy intervention for school-based sun protection: A pilot study. J. Sch. Nurs. 2008, 24, 215–221. [Google Scholar] [CrossRef] [PubMed]
- Montague, M.; Borland, R.; Sinclair, C. Slip! Slop! Slap! And SunSmart, 1980–2000: Skin cancer control and 20 years of population-based campaigning. Health Educ. Behav. 2001, 28, 290–305. [Google Scholar] [CrossRef] [PubMed]
- Green, A.C.; Wallingford, S.C.; McBride, P. Childhood exposure to ultraviolet radiation and harmful skin effects: Epidemiological evidence. Prog. Biophys. Mol. Biol. 2011, 107, 349–355. [Google Scholar] [CrossRef] [PubMed]
- Chin, D.G.; Schonfeld, D.J.; O’Hare, L.L.; Mayne, S.T.; Salovey, P.; Showalter, D.R.; Cicchetti, D.V. Elementary school-age children’s developmental understanding of the causes of cancer. J. Dev. Behav. Pediatr. 1998, 19, 397–403. [Google Scholar] [CrossRef] [PubMed]
- Gefeller, O.; Uter, W.; Pfahlberg, A.B. Protection from ultraviolet radiation during childhood: The parental perspective in Bavaria. Int. J. Environ. Res. Public Health 2016, 13, 1011. [Google Scholar] [CrossRef] [PubMed]
- Gefeller, O.; Uter, W.; Pfahlberg, A.B. Long-term development of parental knowledge about skin cancer risks in Germany: Has it changed for the better? Prev. Med. 2016, 89, 31–36. [Google Scholar] [CrossRef] [PubMed]
- Gefeller, O.; Li, J.; Uter, W.; Pfahlberg, A.B. The impact of parental knowledge and tanning attitudes on sun protection practice for young children in Germany. Int. J. Environ. Res. Public Health 2014, 11, 4768–4781. [Google Scholar] [CrossRef] [PubMed]
- Li, J.; Uter, W.; Pfahlberg, A.; Gefeller, O. A comparison of patterns of sun protection during beach holidays and everyday outdoor activities in a population sample of young German children. Br. J. Dermatol. 2012, 166, 803–810. [Google Scholar] [CrossRef] [PubMed]
- Li, J.; Uter, W.; Pfahlberg, A.; Gefeller, O. Parental perspective on sun protection for young children in Bavaria. Photodermatol. Photoimmunol. Photomed. 2011, 27, 196–202. [Google Scholar] [CrossRef] [PubMed]
- Kolmel, K.F.; Pfahlberg, A.; Gefeller, O. Prevention of malignant melanoma by sun protective measures in childhood—Changing awareness parents over time. Hautarzt 1997, 48, 391–396. [Google Scholar] [PubMed]
- Pfahlberg, A.; Gefeller, O.; Kölmel, K.F. The improvement of sun protection among children: Empirical evidence from successive studies in Göttingen. In Skin Cancer and UV-Radiation; Altmayer, P., Hoffmann, K., Stücker, M., Eds.; Springer: Berlin, Germany, 1997; pp. 923–929. [Google Scholar]
- Steinmetz, M. Current solar UV status in Germany. In UMID: Umwelt und Mensch—Informationsdienst; Umweltbundesamt: Deutschland, Germany, 2014; pp. 11–17. [Google Scholar]
- Keller, A.K.; Uter, W.; Pfahlberg, A.B.; Radespiel-Troger, M.; Mayer, I.; Gefeller, O. Replacing surrogate measures by direct quantification of ultraviolet radiation exposure in registry-based analyses of seasonality of melanoma diagnoses. Melanoma Res. 2015, 25, 543–549. [Google Scholar] [CrossRef] [PubMed]
- R Core Team. R: A Language and Environment for Statistical Computing; R Foundation for Statistical Computing: Vienna, Austria, 2017; Available online: http://www.R-project.org/ (accessed on 9 August 2018).
- Deutsche Krebshilfe. Clever in Sonne und Schatten—Kinderhaut schützen; Press Release; Deutsche Krebshilfe: Bonn, Germany, 2016. [Google Scholar]
- Crane, L.A.; Schneider, L.S.; Yohn, J.J.; Morelli, J.G.; Plomer, K.D. “Block the Sun, not the Fun”: Evaluation of a skin cancer prevention program for child care centers. Am. J. Prev. Med. 1999, 17, 31–37. [Google Scholar] [CrossRef]
- Kenfield, S.A.; Geller, A.C.; Richter, E.M.; Shuman, S.; O’Riordan, D.; Koh, H.K.; Colditz, G.A. Sun protection policies and practices at child care centers in Massachusetts. J. Commun. Health 2005, 30, 491–503. [Google Scholar] [CrossRef]
- World Health Organization. Sun Protection in Schools: An Educational Package to Protect Children from Ultraviolet Radiation; WHO: Geneva, Switzerland, 2003. [Google Scholar]
- Harrison, S.L.; Saunders, V.; Nowak, M. Baseline survey of sun-protection knowledge, practices and policy in early childhood settings in Queensland, Australia. Health Educ. Res. 2007, 22, 261–271. [Google Scholar] [CrossRef] [PubMed]
- Parkinson, L.; Astley, B.; Peterkin, D.; Page, C.; Hampson, A. Health promotion in childcare centres: A survey of sun protection policy and practice. Aust. N. Z. J. Public Health 2003, 27, 520–523. [Google Scholar] [CrossRef] [PubMed]
- Ettridge, K.A.; Bowden, J.A.; Rayner, J.M.; Wilson, C.J. The relationship between sun protection policy and associated practices in a national sample of early childhood services in Australia. Health Educ. Res. 2011, 26, 53–62. [Google Scholar] [CrossRef] [PubMed]
- Dono, J.; Ettridge, K.A.; Sharplin, G.R.; Wilson, C.J. The relationship between sun protection policies and practices in schools with primary-age students: The role of school demographics, policy comprehensiveness and SunSmart membership. Health Educ. Res. 2014, 29, 1–12. [Google Scholar] [CrossRef] [PubMed]
- Gritz, E.R.; Tripp, M.K.; James, A.S.; Harrist, R.B.; Mueller, N.H.; Chamberlain, R.M.; Parcel, G.S. Effects of a preschool staff intervention on children’s sun protection: Outcomes of Sun Protection is Fun! Health Educ. Behav. 2007, 34, 562–577. [Google Scholar] [CrossRef] [PubMed]
- Duignan, M.; Signal, L.; Thomson, G. “Good intentions, but inadequate practices”—Sun protection in early childhood centres, a qualitative study from New Zealand. N. Z. Med. J. 2014, 127, 40–50. [Google Scholar] [PubMed]
- Skin Cancer Foundation. Sun Safety Tips for Infants, Babies and Toddlers. 2017. Available online: https://www.skincancer.org/prevention/sun-protection/children/sun-safety-tips-for-infants-babies-and-toddlers (accessed on 6 March 2018).
- Linos, E.; Keiser, E.; Fu, T.; Colditz, G.; Chen, S.; Tang, J.Y. Hat, shade, long sleeves, or sunscreen? Rethinking US sun protection messages based on their relative effectiveness. Cancer Causes Control 2011, 22, 1067–1071. [Google Scholar] [CrossRef] [PubMed]
- Gies, P. Photoprotection by clothing. Photodermatol. Photoimmunol. Photomed. 2007, 23, 264–274. [Google Scholar] [CrossRef] [PubMed]
- Downs, N.J.; Harrison, S.L. A comprehensive approach to evaluating and classifying sun-protective clothing. Br. J. Dermatol. 2018, 178, 958–964. [Google Scholar] [CrossRef] [PubMed]
- Gefeller, O. The Garment Protection Factor: Further advances in labelling sun-protective clothing. Br. J. Dermatol. 2018, 178, 835–836. [Google Scholar] [CrossRef] [PubMed]
- Gritz, E.R.; Tripp, M.K.; James, A.S.; Carvajal, S.C.; Harrist, R.B.; Mueller, N.H.; Chamberlain, R.M.; Parcel, G.S. An intervention for parents to promote preschool children’s sun protection: Effects of Sun Protection is Fun! Prev. Med. 2005, 41, 357–366. [Google Scholar] [CrossRef] [PubMed]
- Igoe, D.; Parisi, A.; Carter, B. Smartphones as tools for delivering sun-smart education to students. Teach. Sci. 2013, 59, 36–38. [Google Scholar]
- Dobbinson, S.; Buller, D.; Kane, I.; Shane, J.; English, D. Successful use of a tablet computer mobile app to observe sun protection practices in Australia and the United States. Presented at the NIWA UV Workshop, Auckland, New Zealand, 15–17 April 2014. [Google Scholar]
- Jenkins, E. Bringing the “SunSmart” message to smart phones. Lancet Oncol. 2017, 18, 293. [Google Scholar] [CrossRef]
- Uter, W.; Fiessler, C.; Gefeller, O.; Pfahlberg, A. Knowledge and information sources of parents of 3- to 6-year-old children concerning skin cancer risk factors. Bundesgesundheitsblatt-Gesundheitsforschung-Gesundheitsschutz 2017, 60, 856–864. [Google Scholar] [CrossRef] [PubMed]
- Parisi, A.V.; Turnbull, D.J. Shade provision for UV minimization: A review. Photochem. Photobiol. 2014, 90, 479–490. [Google Scholar] [CrossRef] [PubMed]


| Shade Coverage and Sources | Overall | Small 3 | Medium 3 | Large 3 | p |
|---|---|---|---|---|---|
| n | 243 | 59 | 155 | 29 | |
| Shade coverage in entire outdoor area (in %, mean (SD)) | 51.81 (21.45) | 47.63 (23.03) | 51.97 (20.68) | 59.48 (20.72) | 0.011 1 |
| Shade coverage in play area (in %, mean (SD)) | 65.11 (22.88) | 61.86 (22.91) | 65.59 (22.25) | 69.10 (25.94) | 0.033 1 |
| Trees (n (%)) | 235 (96.7) | 56 (94.9) | 152 (98.1) | 27 (93.1) | 0.994 2 |
| Garden parasols (n (%)) | 180 (74.1) | 43 (72.9) | 114 (73.5) | 23 (79.3) | 0.582 2 |
| Shade sails (n (%)) | 185 (76.1) | 43 (72.9) | 122 (78.7) | 20 (69.0) | 0.967 2 |
| Awnings (n (%)) | 81 (33.3) | 15 (25.4) | 55 (35.5) | 11 (37.9) | 0.167 2 |
| Porches (n (%)) | 157 (64.6) | 35 (59.3) | 100 (64.5) | 22 (75.9) | 0.147 2 |
| Sun Protection Measures | Overall | Small 3 | Medium 3 | Large 3 | p |
|---|---|---|---|---|---|
| n | 246 | 61 | 156 | 29 | |
| Sun protection measures taken by staff: | |||||
| Seeking shade (n (%)) | 175 (71.1) | 39 (63.9) | 113 (72.4) | 23 (79.3) | 0.108 1 |
| Avoiding peak sun intensity hours (n (%)) | 96 (39.0) | 23 (37.7) | 59 (37.8) | 14 (48.3) | 0.441 1 |
| Wearing long-sleeved clothing (n (%)) | 29 (11.8) | 5 (8.2) | 17 (10.9) | 7 (24.1) | 0.054 1 |
| Wearing sunglasses (n (%)) | 6 (2.4) | 2 (3.3) | 2 (1.3) | 2 (6.9) | 0.586 1 |
| Wearing sunhats (n (%)) | 242 (98.4) | 59 (96.7) | 154 (98.7) | 29 (100.0) | n.a. 2 |
| Applying sunscreen (n (%)) | 243 (98.8) | 61 (100.0) | 156 (100.0) | 26 (89.7) | n.a. 2 |
| Additional sunhats available | 191 (77.6) | 50 (82.0) | 119 (76.3) | 22 (75.9) | 0.415 1 |
| Requests to parents concerning sunscreen: | |||||
| Deliver children with sunscreen already applied (n (%)) | 209 (85.0) | 48 (78.7) | 136 (87.2) | 25 (86.2) | 0.207 1 |
| Provide sunscreen for their child for later use in nursery (n (%)) | 161 (65.4) | 36 (59.0) | 106 (67.9) | 19 (65.5) | 0.372 1 |
| Policies and Guidelines | Overall | Small 3 | Medium 3 | Large 3 | p |
|---|---|---|---|---|---|
| n | 245 | 60 | 156 | 29 | |
| Written policies: | |||||
| Seeking shade (n (%)) | 17 (6.9) | 3 (5.0) | 11 (7.1) | 3 (10.3) | 0.360 1 |
| Avoiding peak sun intensity hours (n (%)) | 12 (4.9) | 1 (1.7) | 9 (5.8) | 2 (6.9) | 0.207 1 |
| Long-sleeved clothing (n (%)) | 1 (0.4) | 0 (0.0) | 0 (0.0) | 1 (3.4) | n.a. 2 |
| Sunhats (n (%)) | 36 (14.7) | 7 (11.7) | 22 (14.1) | 7 (24.1) | 0.164 1 |
| Sunscreen (n (%)) | 35 (14.3) | 8 (13.3) | 20 (12.8) | 7 (24.1) | 0.289 1 |
| Verbally communicated guidelines: | |||||
| Seeking shade (n (%)) | 75 (30.6) | 20 (33.3) | 48 (30.8) | 7 (24.1) | 0.410 1 |
| Avoiding peak sun intensity hours (n (%)) | 46 (18.8) | 9 (15.0) | 32 (20.5) | 5 (17.2) | 0.614 1 |
| Long-sleeved clothing (n (%)) | 4 (1.6) | 1 (1.7) | 3 (1.9) | 0 (0.0) | n.a. 2 |
| Sunhats (n (%)) | 135 (55.1) | 34 (56.7) | 84 (53.8) | 17 (58.6) | 0.986 1 |
| Sunscreen (n (%)) | 138 (56.3) | 37 (61.7) | 85 (54.5) | 16 (55.2) | 0.440 1 |
| Sources of Information about Sun Protection | Overall | Small 2 | Medium 2 | Large 2 | p |
|---|---|---|---|---|---|
| n | 246 | 61 | 156 | 29 | |
| Information material from pharmacies or physicians (n (%)) | 217 (88.2) | 50 (82.0) | 140 (89.7) | 27 (93.1) | 0.081 1 |
| Advertisements or posters (n (%)) | 167 (67.9) | 40 (65.6) | 110 (70.5) | 17 (58.6) | 0.768 1 |
| Counseling at pharmacies or physicians (n (%)) | 104 (42.3) | 27 (44.3) | 61 (39.1) | 16 (55.2) | 0.581 1 |
| Internet (n (%)) | 67 (27.2) | 14 (23.0) | 47 (30.1) | 6 (20.7) | 0.863 1 |
| Magazine or newspaper articles (n (%)) | 208 (84.6) | 53 (86.9) | 127 (81.4) | 28 (96.6) | 0.540 1 |
| Reports on TV (n (%)) | 178 (72.4) | 44 (72.1) | 116 (74.4) | 18 (62.1) | 0.493 1 |
| Reports on the radio (n (%)) | 101 (41.1) | 23 (37.7) | 63 (40.4) | 15 (51.7) | 0.261 1 |
| Talks at events (n (%)) | 36 (14.6) | 9 (14.8) | 26 (16.7) | 1 (3.4) | 0.312 1 |
| Information from family, friends, neighbors (n (%)) | 121 (49.2) | 30 (49.2) | 76 (48.7) | 15 (51.7) | 0.873 1 |
| Policies or guidelines (n (%)) | 110 (44.7) | 26 (42.6) | 68 (43.6) | 16 (55.2) | 0.351 1 |
© 2018 by the authors. Licensee MDPI, Basel, Switzerland. This article is an open access article distributed under the terms and conditions of the Creative Commons Attribution (CC BY) license (http://creativecommons.org/licenses/by/4.0/).
Share and Cite
Fiessler, C.; Pfahlberg, A.B.; Uter, W.; Gefeller, O. Shedding Light on the Shade: How Nurseries Protect Their Children from Ultraviolet Radiation. Int. J. Environ. Res. Public Health 2018, 15, 1793. https://doi.org/10.3390/ijerph15091793
Fiessler C, Pfahlberg AB, Uter W, Gefeller O. Shedding Light on the Shade: How Nurseries Protect Their Children from Ultraviolet Radiation. International Journal of Environmental Research and Public Health. 2018; 15(9):1793. https://doi.org/10.3390/ijerph15091793
Chicago/Turabian StyleFiessler, Cornelia, Annette B. Pfahlberg, Wolfgang Uter, and Olaf Gefeller. 2018. "Shedding Light on the Shade: How Nurseries Protect Their Children from Ultraviolet Radiation" International Journal of Environmental Research and Public Health 15, no. 9: 1793. https://doi.org/10.3390/ijerph15091793
APA StyleFiessler, C., Pfahlberg, A. B., Uter, W., & Gefeller, O. (2018). Shedding Light on the Shade: How Nurseries Protect Their Children from Ultraviolet Radiation. International Journal of Environmental Research and Public Health, 15(9), 1793. https://doi.org/10.3390/ijerph15091793

