Spatio-Temporal Distribution of Negative Emotions in New York City After a Natural Disaster as Seen in Social Media
Abstract
1. Introduction
2. Materials and Methods
3. Results
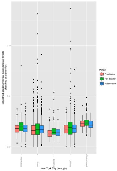
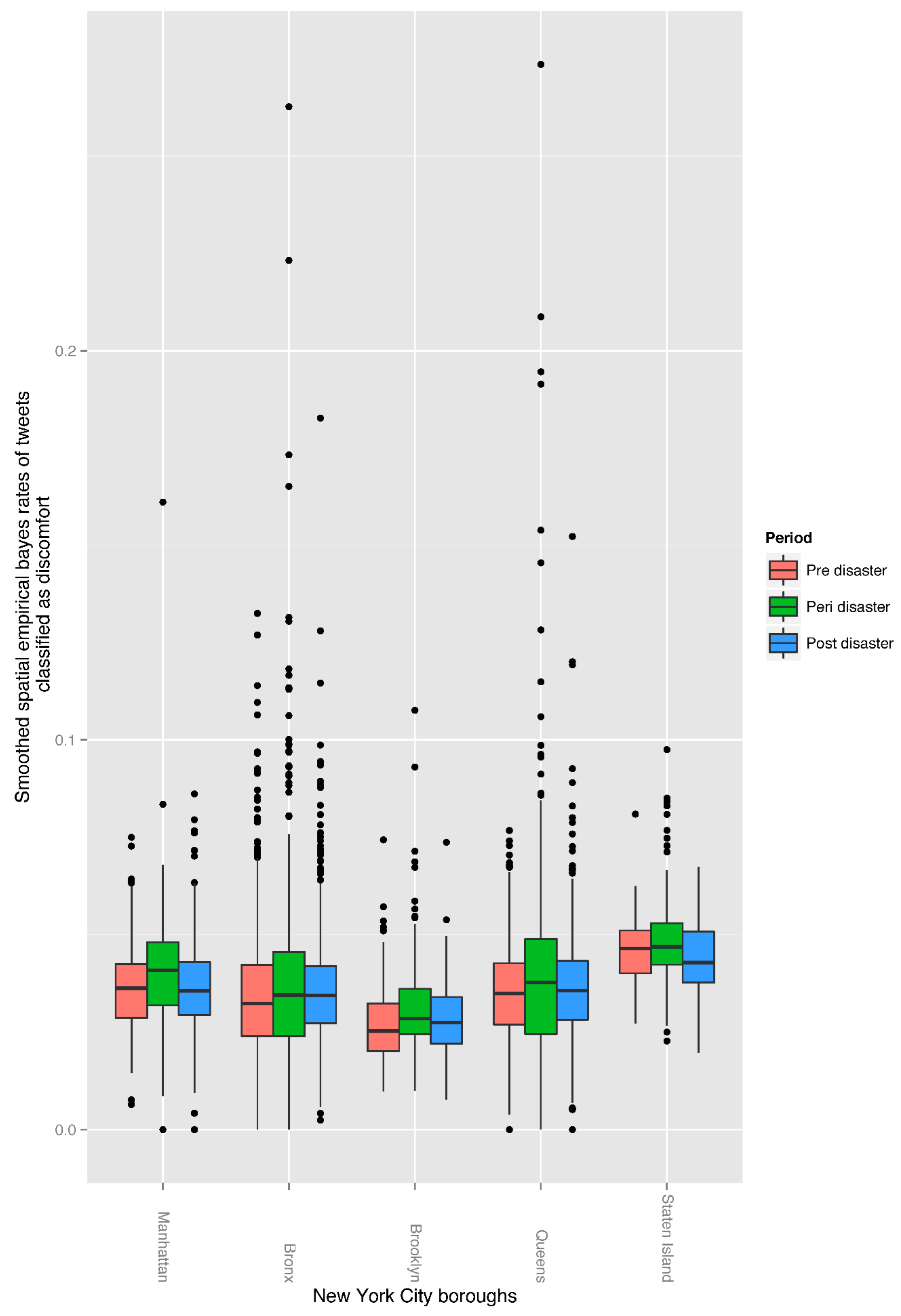
3.1. Rates of Discomfort in Twitter Data
3.2. Associations of Discomfort Over Time
3.3. Spatial Variation in Discomfort Risk
4. Discussion
5. Conclusions
Author Contributions
Funding
Acknowledgments
Conflicts of Interest
References
- International Federation of Red Cross and Red Crescent Societies World disasters report: Focus on Culture and Risk. Available online: http://www.ifrc.org/Global/Documents/Secretariat/201410/WDR%2014.pdf (accessed on 12 October 2018).
- Hoeppe, P. Trends in weather related disasters—Consequences for insurers and society. Weather Clim. Extrem. 2015. [Google Scholar] [CrossRef]
- NOAA National Centers for Environmental Information, N. O. and A. A. Billion-Dollar Weather and Climate Disasters: Summary Stats. Available online: http://www.ncdc.noaa.gov/billions/summary-stats (accessed on 12 October 2018).
- Norris, F.H.; Friedman, M.J.; Watson, P.J.; Byrne, C.M.; Diaz, E.; Kaniasty, K. 60,000 disaster victims speak: Part I. An empirical review of the empirical literature, 1981–2001. Psychiatry-Interpers. Biol. Process. 2002, 65, 207–239. [Google Scholar] [CrossRef]
- Neria, Y.; Galea, S. Mental Health and Disasters; Cambridge University Press: Cambridge, UK, 2009; ISBN 0521883873. [Google Scholar]
- Neria, Y.; Nandi, A.; Galea, S. Post-traumatic stress disorder following disasters: A systematic review. Psychol. Med. 2008, 38, 467–480. [Google Scholar] [CrossRef] [PubMed]
- Goldmann, E.; Galea, S. Mental health consequences of disasters. Annu. Rev. Public Health 2014, 35, 169–183. [Google Scholar] [CrossRef] [PubMed]
- Dückers, M.L.A. A multilayered psychosocial resilience framework and its implications for community-focused crisis management. J. Contingencies Crisis Manag. 2017, 25, 182–187. [Google Scholar] [CrossRef]
- North, C.S.; Pfefferbaum, B. Mental health response to community disasters. JAMA 2013, 310, 507. [Google Scholar] [CrossRef] [PubMed]
- North, C.S. Disaster mental health epidemiology: Methodological review and interpretation of research findings. Psychiatry 2016, 79, 130–146. [Google Scholar] [CrossRef] [PubMed]
- Lazarus, R.S. Stress and Emotion A New Synthesis; SPRINGER: New York, NY, USA, 2006; ISBN 9780826102614. [Google Scholar]
- Lowe, S.R.; Chan, C.S.; Rhodes, J.E. Pre-hurricane perceived social support protects against psychological distress: A longitudinal analysis of low-income mothers. J. Consult. Clin. Psychol. 2010, 78, 551–560. [Google Scholar] [CrossRef] [PubMed]
- Weems, C.F.; Pina, A.A.; Costa, N.M.; Watts, S.E.; Taylor, L.K.; Cannon, M.F. Predisaster trait anxiety and negative affect predict posttraumatic stress in youths after Hurricane Katrina. J. Consult. Clin. Psychol. 2007, 75, 154–159. [Google Scholar] [CrossRef] [PubMed]
- La Greca, A.M.; Silverman, W.K.; Wasserstein, S.B. Children’s predisaster functioning as a predictor of posttraumatic stress following Hurricane Andrew. J. Consult. Clin. Psychol. 1998, 66, 883–892. [Google Scholar] [CrossRef] [PubMed]
- Ekman, P. Basic emotions. In Handbook of Cognition and Emotion; John Wiley&Sons, Ltd.: Chichester, UK, 2005; pp. 45–60. ISBN 9780471978367. [Google Scholar]
- Sutton, J.; Gibson, C.B.; Phillips, N.E.; Spiro, E.S.; League, C.; Johnson, B.; Fitzhugh, S.M.; Butts, C.T. A cross-hazard analysis of terse message retransmission on Twitter. Proc. Natl. Acad. Sci. USA 2015, 112, 14793–14798. [Google Scholar] [CrossRef] [PubMed]
- Houston, J.B.; Hawthorne, J.; Perreault, M.F.; Park, E.H.; Goldstein Hode, M.; Halliwell, M.R.; Turner McGowen, S.E.; Davis, R.; Vaid, S.; McElderry, J.A.; et al. Social media and disasters: A functional framework for social media use in disaster planning, response, and research. Disasters 2015, 39, 1–22. [Google Scholar] [CrossRef] [PubMed]
- Glass, K.; Colbaugh, R. Estimating the sentiment of social media content for security informatics applications. Secur. Inform. 2012, 1, 3. [Google Scholar] [CrossRef]
- Johansson, F.; Brynielsson, J.; Quijano, M.N. Estimating Citizen Alertness in Crises Using Social Media Monitoring and Analysis. In Proceedings of the 2012 European Intelligence and Security Informatics Conference, Odense, Denmark, 22–24 August 2012. [Google Scholar] [CrossRef]
- Kumar, S.; Barbier, G.; Abbasi, M.A.; Liu, H. Tweet Tracker: An Analysis Tool for Humanitarian and Disaster Relief. In Proceedings of the Fifth International AAAI Conference on Weblogs and Social Media, Barcelona, Spain, 17–21 July 2011. [Google Scholar]
- Gruebner, O.; Lowe, S.R.; Sykora, M.; Shankardass, K.; Subramanian, S.V.; Galea, S. A novel surveillance approach for disaster mental health. PLoS ONE 2017, 12, e0181233. [Google Scholar] [CrossRef] [PubMed]
- Gruebner, O.; Sykora, M.; Lowe, S.R.; Shankardass, K.; Trinquart, L.; Jackson, T.; Subramanian, S.V.; Galea, S. Mental health surveillance after the terrorist attacks in Paris. Lancet 2016, 387, 2195–2196. [Google Scholar] [CrossRef]
- Gruebner, O.; Sykora, M.; Lowe, S.R.; Shankardass, K.; Galea, S.; Subramanian, S.V. Big data opportunities for social behavioral and mental health research. Soc. Sci. Med. 2017, 2012, 2016–2018. [Google Scholar] [CrossRef] [PubMed]
- Hirschberg, J.; Manning, C.D. Advances in natural language processing. Science 2015, 349, 261–266. [Google Scholar] [CrossRef] [PubMed]
- Sykora, M.D.; Jackson, T.W.; OBrien, A.; Elayan, S. Emotive Ontology: Extracting Fine-Grained Emotions from Terse, Informal Messages. In Proceedings of the IADIS International Conference Intelligent Systems and Agents 2013, Prague, Czech Republic, 22–24 July 2013. [Google Scholar]
- Shaughnessy, K.; Reyes, R.; Shankardass, K.; Sykora, M.; Feick, R.; Lawrence, H.; Robertson, C. Using geolocated social media for ecological momentary assessments of emotion: Innovative opportunities in psychology science and practice. Can. Psychol. Can. 2017. [Google Scholar] [CrossRef]
- Hofmann, W.; Patel, P.V. Survey signal. Soc. Sci. Comput. Rev. 2015, 33, 235–253. [Google Scholar] [CrossRef]
- National Oceanic and Atmospheric Administration Hurricane Sandy. Available online: https://www.weather.gov/okx/HurricaneSandy (accessed on 28 July 2018).
- NYC Housing Authority Sandy Recovery and Progress. Available online: https://www1.nyc.gov/site/nycha/about/recovery-history.page (accessed on 28 July 2018).
- Shelton, T.; Poorthuis, A.; Graham, M.; Zook, M. Mapping the data shadows of Hurricane Sandy: Uncovering the sociospatial dimensions of ‘big data’. Geoforum 2014, 52, 167–179. [Google Scholar] [CrossRef]
- Kryvasheyeu, Y.; Chen, H.; Obradovich, N.; Moro, E.; Van Hentenryck, P.; Fowler, J.; Cebrian, M. Rapid assessment of disaster damage using social media activity. Sci. Adv. 2016, 2, e1500779. [Google Scholar] [CrossRef] [PubMed]
- Takayasu, M.; Sato, K.; Sano, Y.; Yamada, K.; Miura, W.; Takayasu, H. Rumor diffusion and convergence during the 3.11 Earthquake: A twitter case study. PLoS ONE 2015, 10, e0121443. [Google Scholar] [CrossRef] [PubMed]
- Statista Number of Monthly Active Twitter Users in the United States from 1st Quarter 2010 to 2nd Quarter 2018 (In Millions). Available online: https://www.statista.com/statistics/274564/monthly-active-twitter-users-in-the-united-states/ (accessed on 12 October 2018).
- Pew Research Center Social Media Fact Sheet. Available online: http://www.pewinternet.org/fact-sheet/social-media/ (accessed on 16 October 2018).
- Pew Research Center Demographics of Key Social Networking Platforms. Available online: http://www.pewinternet.org/2015/01/09/demographics-of-key-social-networking-platforms-2/ (accessed on 16 October 2018).
- Sloan, L.; Morgan, J. Who tweets with their location? Understanding the relationship between demographic characteristics and the use of geoservices and geotagging on twitter. PLoS ONE 2015, 10, e0142209. [Google Scholar] [CrossRef] [PubMed]
- Harvard Center for Geographic Analysis Geo-tweet Archive. Available online: http://www.gis.harvard.edu (accessed on 16 October 2018).
- Harvard Center for Geographic Analysis Twitter Rehydration Script. Available online: https://github.com/cga-harvard/hhypermap-bop/tree/master/BOP-utilities/Twitter_Rehydration (accessed on Oct 16, 2018).
- Sykora, M.D.; Jackson, T.W.; OBrien, A.; Elayan, S. National security and social media monitoring: A presentation of the EMOTIVE and related systems. In Proceedings of the 2013 European Intelligence and Security Informatics Conference, Uppsala, Sweden, 12–14 August 2013; pp. 172–175. [Google Scholar]
- Ekman, P. Are there basic emotions? Psychol. Rev. 1992, 99, 550–553. [Google Scholar] [CrossRef] [PubMed]
- Anselin, L.; Syabri, I.; Kho, Y. GeoDa: An introduction to spatial data analysis. Geogr. Anal. 2006, 38, 5–22. [Google Scholar] [CrossRef]
- R Development Core Team. R: A Language and Environment for Statistical Computing; R Foundation for Statistical Computing: Vienna, Austria, 2013; ISBN 3-900051-07-0. [Google Scholar]
- Anselin, L.; Rey, S.J. Modern Spatial Econometrics in Practice: A Guide to GeoDa, GeoDaSpace and PySAL; GeoDa Press LLC: Chicago, IL, USA, 2014. [Google Scholar]
- Chow, G.C. Tests of equality between sets of coefficients in two linear regressions. Econometrica 1960, 28, 591. [Google Scholar] [CrossRef]
- GeoDa Center for Geospatial Analysis and Computation GeoDaSpace 2013. Available online: https://geodacenter.asu.edu/software (accessed on 16 October 2018).
- Gammon, C. Why Hurricane Sandy Hit Staten Island So Hard/New York City Hurricanes. Available online: http://www.livescience.com/24616-hurricane-sandy-staten-island-effects.html (accessed on 12 October 2018).
- Federal Emergency and Management Agency FEMA MOTF Hurricane Sandy Impact Analysis. Available online: http://fema.maps.arcgis.com/home/item.html?id=307dd522499d4a44a33d7296a5da5ea0 (accessed on 10 October 2015).
- Bloch, M.; Fessenden, F.; McLean, A.; Tse, A. Derek Watkins Surveying the destruction Caused by Hurricane Sandy. Available online: http://www.nytimes.com/newsgraphics/2012/1120-sandy/survey-of-the-flooding-in-new-york-after-the-hurricane.html (accessed on 28 July 2018).
- Sykora, M.D.; Robertson, C.; Shankardass, K.; Feick, R. Stresscapes: Validating Linkages Between Place and Stress Expression on Social Media. In Proceedings of the 2nd International Workshop on Mining Urban Data, Lille, France, 11 July 2015. [Google Scholar]
- Chen, X.; Sykora, M.D.; Jackson, T.W.; Elayan, S. Tweeting Your Mental Health: Exploration of Different Classifiers and Features with Emotional Signals in Identifying Mental Health Conditions. In Proceedings of the 51st Hawaii International Conference on System Sciences, Waikoloa Village, HI, USA, 3–6 January 2018. [Google Scholar]



| Variable | Range | 1st/3rd Quintile | Median | Mean | Sum |
|---|---|---|---|---|---|
| Tweet population | 1–6507 | 24/149 | 59 | 158.8 | 1,018,140 |
| Discomfort | 0–158 | 0/5 | 2 | 5.03 | 32,254 |
| Anger | 0–119 | 0/1 | 0 | 0.77 | 4918 |
| Confusion | 0–8 | 0/0 | 0 | 0.25 | 1620 |
| Disgust | 0–45 | 0/1 | 0 | 1.11 | 7126 |
| Fear | 0–34 | 0/1 | 0 | 0.59 | 3841 |
| Sadness | 0–77 | 0/3 | 1 | 2.24 | 14,333 |
| Shame | 0–23 | 0/0 | 0 | 0.17 | 1079 |
| Variable | Peri-Disaster Discomfort | Post-Disaster Discomfort | ||
|---|---|---|---|---|
| Coef. | S.E. | Coef. | S.E. | |
| Model 1: New York City | ||||
| NYC Intercept | 0.00 | 0.01 | 0.01 ** | 0.00 |
| Pre-disaster discomfort | 0.03 | 0.04 | 0.11 *** | 0.02 |
| Peri-disaster discomfort | / | 0.10 *** | 0.01 | |
| Spatial lag of peri-disaster discomfort | 0.68 *** | 0.18 | / | |
| Spatial lag of post-disaster discomfort | / | 0.61 *** | 0.07 | |
| Model diagnostic | ||||
| Pseudo R-squared | 0.33 | 0.47 | ||
| Spatial Pseudo R-squared | 0.03 | 0.13 | ||
| Anselin-Kelejian Test | 1.99 | 2.67 | ||
| Variable | Peri-Disaster Discomfort | Post-Disaster Discomfort | ||
|---|---|---|---|---|
| Coef. | S.E. | Coef. | S.E. | |
| Model 2: New York City boroughs | ||||
| Manhattan Intercept | 0.00 | 0.01 | 0.00 | 0.00 |
| Pre-disaster discomfort | 0.09 | 0.12 | 0.18 ** | 0.06 |
| Peri-disaster discomfort | / | 0.13 ** | 0.04 | |
| Bronx Intercept | 0.00 | 0.01 | 0.00 | 0.00 |
| Pre-disaster discomfort | 0.07 | 0.07 | 0.22 *** | 0.07 |
| Peri-disaster discomfort | / | 0.05 | 0.04 | |
| Brooklyn Intercept | 0.00 | 0.01 | 0.01 | 0.00 |
| Pre-disaster discomfort | 0.01 | 0.06 | 0.07. | 0.04 |
| Peri-disaster discomfort | / | 0.10 | 0.06 | |
| Queens Intercept | 0.00 | 0.01 | 0.01 | 0.00 |
| Pre-disaster discomfort | 0.03 | 0.08 | 0.09 ** | 0.04 |
| Peri-disaster discomfort | / | 0.10 * | 0.05 | |
| Staten Island Intercept | 0.01 | 0.01 | 0.01 * | 0.01 |
| Pre-disaster discomfort | −0.03 | 0.09 | 0.07 | 0.09 |
| Peri-disaster discomfort | / | 0.04 | 0.04 | |
| Global spatial lag of peri-disaster discomfort | 0.91 *** | 0.25 | / | |
| Global spatial lag of post-disaster discomfort | / | 0.64 *** | 0.14 | |
| Model diagnostic | ||||
| Pseudo R-squared | 0.33 | 0.47 | ||
| Spatial Pseudo R-squared | 0.03 | 0.14 | ||
| Chow test for intercept | 1.84 | 9.09 | ||
| Chow test for pre-disaster discomfort | 1.97 | 6.99 | ||
| Chow test for peri-disaster discomfort | / | 4.01 | ||
| Global Chow test | 2.36 | 18.06 | ||
| Anselin-Kelejian Test | 1.93 | 1.04 | ||
© 2018 by the authors. Licensee MDPI, Basel, Switzerland. This article is an open access article distributed under the terms and conditions of the Creative Commons Attribution (CC BY) license (http://creativecommons.org/licenses/by/4.0/).
Share and Cite
Gruebner, O.; Lowe, S.R.; Sykora, M.; Shankardass, K.; Subramanian, S.; Galea, S. Spatio-Temporal Distribution of Negative Emotions in New York City After a Natural Disaster as Seen in Social Media. Int. J. Environ. Res. Public Health 2018, 15, 2275. https://doi.org/10.3390/ijerph15102275
Gruebner O, Lowe SR, Sykora M, Shankardass K, Subramanian S, Galea S. Spatio-Temporal Distribution of Negative Emotions in New York City After a Natural Disaster as Seen in Social Media. International Journal of Environmental Research and Public Health. 2018; 15(10):2275. https://doi.org/10.3390/ijerph15102275
Chicago/Turabian StyleGruebner, Oliver, Sarah R. Lowe, Martin Sykora, Ketan Shankardass, SV Subramanian, and Sandro Galea. 2018. "Spatio-Temporal Distribution of Negative Emotions in New York City After a Natural Disaster as Seen in Social Media" International Journal of Environmental Research and Public Health 15, no. 10: 2275. https://doi.org/10.3390/ijerph15102275
APA StyleGruebner, O., Lowe, S. R., Sykora, M., Shankardass, K., Subramanian, S., & Galea, S. (2018). Spatio-Temporal Distribution of Negative Emotions in New York City After a Natural Disaster as Seen in Social Media. International Journal of Environmental Research and Public Health, 15(10), 2275. https://doi.org/10.3390/ijerph15102275

