Fine-Scale Spatial Variability of Pedestrian-Level Particulate Matters in Compact Urban Commercial Districts in Hong Kong
Abstract
:1. Introduction
2. Materials and Methods
2.1. Study Areas
2.2. Field Measurement
2.3. Geospatial Interpolation Methods
2.4. The Validation and Comparison of Interpolation Methods
3. Results
3.1. The Optimal Kernel Functions
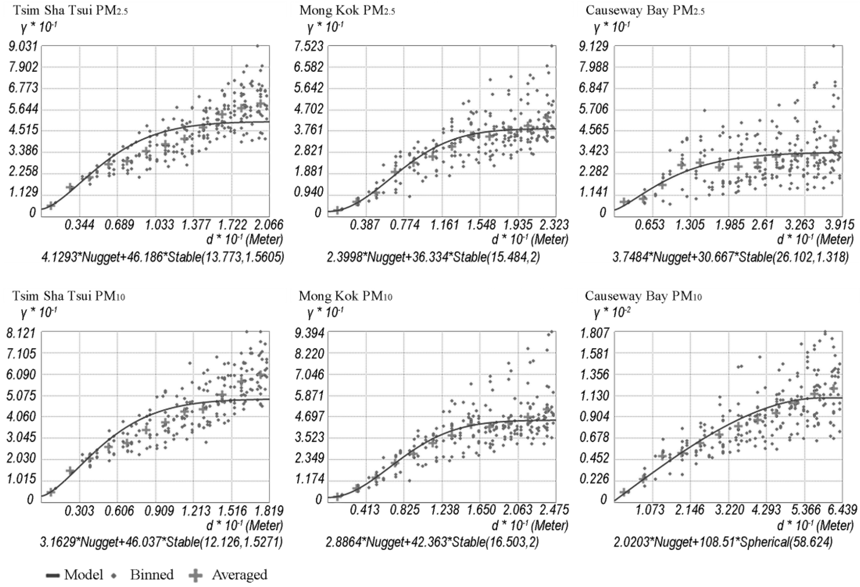
3.2. The Semivariogram Modelling
3.3. The Comparison of Prediction Performance of the Interpolation Methods
3.4. The Geospatial Mapping and the Validation
4. Discussion
4.1. Spatial Variability within Districts—The Necessity of a Multiscale Understanding
4.2. The Difference in Determinants of the Urban Air Pollution Spatial Variability
4.3. Outlook for a Feasible Way of Mapping the Fine-Scale Spatial Variability in Air Pollution Exposure Using Big Data
4.4. Limitations and Future Works
5. Conclusions
Acknowledgments
Author Contributions
Conflicts of Interest
References
- Schwela, D.; Haq, G.; Huizenga, C.; Han, W.J.; Fabian, H. Urban Air Pollution in Asian Cities: Status, Challenges and Management; Taylor & Francis: Abingdon, UK, 2012. [Google Scholar]
- Fenger, J.; Hertel, O.; Palmgren, F. Urban Air Pollution-European Aspects; Springer: Berlin, Germany, 1998; Volume 1. [Google Scholar]
- Mayer, H.; Haustein, C.; Matzarakis, A. Urban air pollution caused by motor-traffic. Adv. Air Pollut. 1999, 6, 251–260. [Google Scholar]
- Dockery, D.W. Health effects of particulate air pollution. Ann. Epidemiol. 2009, 19, 257–263. [Google Scholar] [CrossRef] [PubMed]
- Pope, C.A.; Dockery, D.W.; Schwartz, J. Review of epidemiological evidence of health effects of particulate air pollution. Inhal. Toxicol. 1995, 7, 1–18. [Google Scholar] [CrossRef]
- Eliasson, I.; Offerle, B.; Grimmond, C.S.B.; Lindqvist, S. Wind fields and turbulence statistics in an urban street canyon. Atmos. Environ. 2006, 40, 1–16. [Google Scholar] [CrossRef]
- Ahmad, K.; Khare, M.; Chaudhry, K. Wind tunnel simulation studies on dispersion at urban street canyons and intersections—A review. J. Wind Eng. Ind. Aerodyn. 2005, 93, 697–717. [Google Scholar] [CrossRef]
- Hoshiko, T.; Nakajima, F.; Prueksasit, T.; Yamamoto, K. Health risk of exposure to vehicular emissions in wind-stagnant street canyons. In Ventilating Cities; Springer: Berlin, Germany, 2012; pp. 59–95. [Google Scholar]
- Hills, P.; Barron, W. Hong Kong: The challenge of sustainability. Land Use Policy 1997, 14, 41–53. [Google Scholar] [CrossRef]
- Fan, X.; Lam, K.-C.; Yu, Q. Differential exposure of the urban population to vehicular air pollution in Hong Kong. Sci. Total Environ. 2012, 426, 211–219. [Google Scholar] [CrossRef] [PubMed]
- Lee, S.C.; Cheng, Y.; Ho, K.F.; Cao, J.J.; Louie, P.K.K.; Chow, J.C.; Watson, J.G. PM1.0 and PM2.5 characteristics in the roadside environment of Hong Kong. Aerosol Sci. Technol. 2006, 40, 157–165. [Google Scholar] [CrossRef]
- Chan, L.Y.; Wu, H.W.Y. A study of bus commuter and pedestrian exposure to traffic air pollution in Hong Kong. Environ. Int. 1993, 19, 121–132. [Google Scholar] [CrossRef]
- Wong, T.W.; Tam, W.S.; Yu, T.S.; Wong, A.H.S. Associations between daily mortalities from respiratory and cardiovascular diseases and air pollution in Hong Kong, China. Occup. Environ. Med. 2002, 59, 30–35. [Google Scholar] [CrossRef] [PubMed]
- Tam, W.W.S.; Wong, T.W.; Wong, A.H.S. Association between air pollution and daily mortality and hospital admission due to ischaemic heart diseases in Hong Kong. Atmos. Environ. 2015, 120, 360–368. [Google Scholar] [CrossRef]
- Park, Y.M.; Kwan, M.-P. Individual exposure estimates may be erroneous when spatiotemporal variability of air pollution and human mobility are ignored. Health Place 2017, 43, 85–94. [Google Scholar] [CrossRef] [PubMed]
- Shi, Y.; Lau, K.K.-L.; Ng, E. Developing street-level PM2.5 and PM10 land use regression models in high-density Hong Kong with urban morphological factors. Environ. Sci. Technol. 2016, 50, 8178–8187. [Google Scholar] [CrossRef] [PubMed]
- HKEPD. Air Quality Monitoring Network of Hong Kong. Available online: http://www.aqhi.gov.hk/en/monitoring-network/air-quality-monitoring-network.html (accessed on 6 June 2016).
- Tsang, H.; Kwok, R.; Miguel, A.H. Pedestrian exposure to ultrafine particles in Hong Kong under heavy traffic conditions. Aerosol Air Qual. Res. 2008, 8, 19–27. [Google Scholar] [CrossRef]
- Chan, L.Y.; Kwok, W.S. Roadside suspended particulates at heavily trafficked urban sites of Hong Kong—Seasonal variation and dependence on meteorological conditions. Atmos. Environ. 2001, 35, 3177–3182. [Google Scholar] [CrossRef]
- So, K.L.; Guo, H.; Li, Y.S. Long-term variation of PM2.5 levels and composition at rural, urban, and roadside sites in Hong Kong: Increasing impact of regional air pollution. Atmos. Environ. 2007, 41, 9427–9434. [Google Scholar] [CrossRef]
- Lam, G.; Leung, D.; Niewiadomski, M.; Pang, S.; Lee, A.; Louie, P. Street-level concentrations of nitrogen dioxide and suspended particulate matter in Hong Kong. Atmos. Environ. 1998, 33, 1–11. [Google Scholar] [CrossRef]
- Juhos, I.; Makra, L.; Tóth, B. Forecasting of traffic origin no and no2 concentrations by support vector machines and neural networks using principal component analysis. Simul. Model. Practice Theory 2008, 16, 1488–1502. [Google Scholar] [CrossRef]
- Lu, W.Z.; Wang, W.J.; Wang, X.K.; Xu, Z.B.; Leung, A.Y.T. Using improved neural network model to analyze rsp, nox and no2 levels in urban air in mong kok, Hong Kong. Environ. Monit. Assess. 2003, 87, 235–254. [Google Scholar] [CrossRef] [PubMed]
- Kwan, M.-P. The uncertain geographic context problem. Ann. Assoc. Am. Geogr. 2012, 102, 958–968. [Google Scholar] [CrossRef]
- Yoo, E.; Rudra, C.; Glasgow, M.; Mu, L. Geospatial estimation of individual exposure to air pollutants: Moving from static monitoring to activity-based dynamic exposure assessment. Ann. Assoc. Am. Geogr. 2015, 105, 915–926. [Google Scholar] [CrossRef]
- Chan, L.Y.; Kwok, W.S.; Lee, S.C.; Chan, C.Y. Spatial variation of mass concentration of roadside suspended particulate matter in metropolitan Hong Kong. Atmos. Environ. 2001, 35, 3167–3176. [Google Scholar] [CrossRef]
- Chan, L.Y.; Chan, C.Y.; Qin, Y. The effect of commuting microenvironment on commuter exposures to vehicular emission in Hong Kong. Atmos. Environ. 1999, 33, 1777–1787. [Google Scholar] [CrossRef]
- Lee, S.C.; Li, W.-M.; Yin Chan, L. Indoor air quality at restaurants with different styles of cooking in metropolitan Hong Kong. Sci. Total Environ. 2001, 279, 181–193. [Google Scholar] [CrossRef]
- Marshall, S. Streets and Patterns; Taylor & Francis: Abingdon, UK, 2004. [Google Scholar]
- Grimmond, C.S.B. Aerodynamic roughness of urban areas derived from wind observations. Bound.-Layer Meteorol. 1998, 89, 1–24. [Google Scholar] [CrossRef]
- Kastner-Klein, P.; Rotach, M. Mean flow and turbulence characteristics in an urban roughness sublayer. Bound.-Layer Meteorol. 2004, 111, 55–84. [Google Scholar] [CrossRef]
- Bottema, M. Urban roughness modelling in relation to pollutant dispersion. Atmos. Environ. 1997, 31, 3059–3075. [Google Scholar] [CrossRef]
- HKEPD. Air Quality Monitoring Stations info. Available online: http://www.aqhi.gov.hk/en/monitoring-network/air-quality-monitoring-stations9c57.html?stationid=81 (accessed on 6 June 2016).
- Ramachandran, G.; Adgate, J.L.; Pratt, G.C.; Sexton, K. Characterizing indoor and outdoor 15 minute average PM2.5 concentrations in urban neighborhoods. Aerosol Sci. Technol. 2003, 37, 33–45. [Google Scholar] [CrossRef]
- Ng, E. Policies and technical guidelines for urban planning of high-density cities—Air ventilation assessment (ava) of Hong Kong. Build Environ. 2009, 44, 1478–1488. [Google Scholar] [CrossRef]
- Yuan, Z.; Lau, A.K.H.; Zhang, H.; Yu, J.Z.; Louie, P.K.K.; Fung, J.C.H. Identification and spatiotemporal variations of dominant PM10 sources over Hong Kong. Atmos. Environ. 2006, 40, 1803–1815. [Google Scholar] [CrossRef]
- Lau, A.; Lo, A.; Gray, J.; Yuan, Z.; Loh, C. Relative Significance of Local vs. Regional Sources: Hong Kong’s Air Pollution; Civic Exchange: Hong Kong, China, 2007. [Google Scholar]
- Cheng, Y.; Ho, K.F.; Lee, S.C.; Law, S.W. Seasonal and diurnal variations of pm1.0, PM2.5 and PM10 in the roadside environment of Hong Kong. China Part. 2006, 4, 312–315. [Google Scholar] [CrossRef]
- Ng, E.; Cheng, V.; Gadi, A.; Mu, J.; Lee, M.; Gadi, A. Defining standard skies for Hong Kong. Build Environ. 2007, 42, 866–876. [Google Scholar] [CrossRef]
- Kukkonen, J.; Pohjola, M.; Sokhi, R.S.; Luhana, L.; Kitwiroon, N.; Fragkou, L.; Rantamäki, M.; Berge, E.; Ødegaard, V.; Håvard Slørdal, L.; et al. Analysis and evaluation of selected local-scale PM10 air pollution episodes in four european cities: Helsinki, London, Milan and Oslo. Atmos. Environ. 2005, 39, 2759–2773. [Google Scholar] [CrossRef]
- Hong Kong Observatory (HKO). Monthly Meteorological Normals for Hong Kong, 1981–2010; Hong Kong Observatory: Hong Kong, China, 2015.
- Penwarden, A.D.; Wise, A.F.E. Wind Environment around Buildings; HMSO: London, UK, 1975.
- Li, J.; Heap, A.D. A Review of Spatial Interpolation Methods for Environmental Scientists; Geoscience Australia Canberra: Symonston, Australia, 2008.
- Oke, T.R. Initial Guidance to Obtain Representative Meteorological Observations at Urban Sites; World Meteorological Organization Geneva: Geneva, Switzerland, 2004; Volume 81. [Google Scholar]
- Van Donkelaar, A.; Martin, R.V.; Park, R.J. Estimating ground-level PM2.5 using aerosol optical depth determined from satellite remote sensing. J. Geophys. Res. Atmos. 2006, 111. [Google Scholar] [CrossRef]
- Vardoulakis, S.; Fisher, B.E.A.; Pericleous, K.; Gonzalez-Flesca, N. Modelling air quality in street canyons: A review. Atmos. Environ. 2003, 37, 155–182. [Google Scholar] [CrossRef]
- Briggs, D.J.; Collins, S.; Elliott, P.; Fischer, P.; Kingham, S.; Lebret, E.; Pryl, K.; van Reeuwijk, H.; Smallbone, K.; Van Der Veen, A. Mapping urban air pollution using gis: A regression-based approach. Int. J. Geogr. Inf. Sci. 1997, 11, 699–718. [Google Scholar] [CrossRef]
- Man Sing, W.; Nichol, J.; Kwon-Ho, L.; Zhanqing, L. Retrieval of Aerosol Optical Thickness using Modis 500 × 500 m2, a Study in Hong Kong and Pearl River Delta Region. In Earth Observation and Remote Sensing Applications; IEEE: New York, NY, USA; pp. 1–6.
- Chengcai, L.; Lau, A.K.H.; Jietai, M.; Chu, D.A. Retrieval, validation, and application of the 1-km aerosol optical depth from modis measurements over Hong Kong. IEEE Trans. Geosci. Remote Sens. 2005, 43, 2650–2658. [Google Scholar] [CrossRef]
- Gousseau, P.; Blocken, B.; Stathopoulos, T.; van Heijst, G.J.F. Near-field pollutant dispersion in an actual urban area: Analysis of the mass transport mechanism by high-resolution large eddy simulations. Comput. Fluids 2015, 114, 151–162. [Google Scholar] [CrossRef]
- Shi, Y.; Ren, C.; Zheng, Y.; Ng, E. Mapping the urban microclimatic spatial distribution in a sub-tropical high-density urban environment. Archit. Sci. Rev. 2016, 59, 370–384. [Google Scholar] [CrossRef]
- Shi, Y.; Lau, K.K.-L.; Ng, E. Incorporating wind availability into land use regression modelling of air quality in mountainous high-density urban environment. Environ. Res. 2017, 157, 17–29. [Google Scholar] [CrossRef] [PubMed]
- Webster, R.; Oliver, M. Geostatistics for Environmental Scientists (Statistics in Practice); Wiley: Hoboken, NJ, USA, 2001. [Google Scholar]
- Hengl, T. A practical guide to geostatistical mapping of environmental variables. In JRC Scientific and Technical Reports; European Commission, Joint Research Centre: Luxemburg City, Luxemburg, 2007. [Google Scholar]
- Lam, N.S.N. Spatial interpolation methods: A review. Amer. Cartographer. 1983, 10, 129–150. [Google Scholar] [CrossRef]
- Johnston, K. Arcgis 9: Using Arcgis Geostatistical Analyst; Esri Press: Redlands, CA, USA, 2004. [Google Scholar]
- Refaeilzadeh, P.; Tang, L.; Liu, H. Cross-validation. In Encyclopedia of Database Systems; Liu, L., ÖZsu, M.T., Eds.; Springer: Boston, MA, USA, 2009; pp. 532–538. [Google Scholar]
- Olea, R.A. A six-step practical approach to semivariogram modeling. Stoch. Environ. Res. Risk Assess. 2006, 20, 307–318. [Google Scholar] [CrossRef]
- ESRI. Choosing a Lag Size. Available online: http://desktop.arcgis.com/en/desktop/latest/guide-books/extensions/geostatistical-analyst/choosing-a-lag-size.htm (accessed on 20 April 2016).
- Lau, K.K.-L.; Ren, C.; Shi, Y.; Zheng, V.; Yim, S.; Lai, D. Determining the optimal size of local climate zones for spatial mapping in high-density cities. In Proceedings of the 9th International Conference on Urban Climate jointly with 12th Symposium on the Urban Environment, Toulouse, France, 20–24 July 2015. [Google Scholar]
- Lightowlers, C.; Nelson, T.; Setton, E.; Keller, C.P. Determining the spatial scale for analysing mobile measurements of air pollution. Atmos. Environ. 2008, 42, 5933–5937. [Google Scholar] [CrossRef]
- He, L.-Y.; Hu, M.; Huang, X.-F.; Yu, B.-D.; Zhang, Y.-H.; Liu, D.-Q. Measurement of emissions of fine particulate organic matter from chinese cooking. Atmos. Environ. 2004, 38, 6557–6564. [Google Scholar] [CrossRef]
- Oke, T.R. Urban Environments; McGill-Queen’s University Press: Kingston, ON, Canada, 1997. [Google Scholar]
- Zannetti, P. Air Pollution Modeling: Theories, Computational Methods, and Available Software; Computational Mechanics Publications: New York, NY, USA, 1990; Volume 20. [Google Scholar]
- Wong, T.W.; Tam, W.W.S.; Yu, I.T.S.; Lau, A.K.H.; Pang, S.W.; Wong, A.H.S. Developing a risk-based air quality health index. Atmos. Environ. 2013, 76, 52–58. [Google Scholar] [CrossRef]
- Li, X.-X.; Liu, C.-H.; Leung, D.Y.C.; Lam, K.M. Recent progress in cfd modelling of wind field and pollutant transport in street canyons. Atmos. Environ. 2006, 40, 5640–5658. [Google Scholar] [CrossRef]






| The 13 Types of Methods | Basic Interpolation Algorithm 1 | Weight Factors 2 | Covariates 2 |
|---|---|---|---|
| LPI | LPI | none | n/a |
| LPISVF | LPI | 1 | n/a |
| LPIFAI | LPI | 2 | n/a |
| LPIRDA | LPI | 3 | n/a |
| OK | OK | n/a | none |
| OCKSVF | OCK | n/a | 1 |
| OCKFAI | OCK | n/a | 2 |
| OCKRDA | OCK | n/a | 3 |
| OCKALL | OCK | n/a | 1, 2, 3 |
| KIB | KIB | none | n/a |
| KIBSVF | KIB | 1 | n/a |
| KIBFAI | KIB | 2 | n/a |
| KIBRDA | KIB | 3 | n/a |
| Study Areas | Tsim Sha Tsui | Mong Kok | Causeway Bay | ||||
|---|---|---|---|---|---|---|---|
| Kernel Functions | PM2.5 (μg/m3) | PM10 (μg/m3) | PM2.5 (μg/m3) | PM10 (μg/m3) | PM2.5 (μg/m3) | PM10 (μg/m3) | |
| Exponential | 5.831/0.866 | 6.124/0.863 | 4.577/0.743 | 4.846/0.793 | 2.983/0.729 | 5.372/0.854 | |
| Polynomial5 | 6.313/0.840 | 6.645/0.839 | 4.816/0.711 | 5.099/0.769 | 3.166/0.696 | 5.645/0.844 | |
| Gaussian | 6.073/0.854 | 6.387/0.853 | 4.767/0.719 | 5.045/0.775 | 3.169/0.691 | 5.668/0.837 | |
| Epanechnikov | 6.825/0.775 | 7.216/0.771 | 5.347/0.657 | 5.643/0.724 | 3.612/0.560 | 6.406/0.766 | |
| Quartic | 6.513/0.815 | 6.865/0.813 | 4.976/0.695 | 5.263/0.755 | 3.316/0.649 | 5.895/0.818 | |
| Constant | 7.071/0.725 | 7.479/0.723 | 6.087/0.574 | 6.383/0.657 | 4.051/0.436 | 7.166/0.686 | |
| StudyAreas | Tsim Sha Tsui | Mong Kok | Causeway Bay | ||||
|---|---|---|---|---|---|---|---|
| Algorithms | PM2.5 (μg/m3) | PM10 (μg/m3) | PM2.5 (μg/m3) | PM10 (μg/m3) | PM2.5 (μg/m3) | PM10 (μg/m3) | |
| LPI | 5.820/0.869 | 6.202/0.861 | 4.581/0.736 | 4.850/0.794 | 3.051/0.732 | 5.508/0.848 | |
| OK | 4.568/0.917 | 4.764/0.909 | 3.566/0.842 | 3.753/0.867 | 2.070/0.883 | 3.789/0.924 | |
| OCK | 4.647/0.913 | 4.858/0.905 | 3.578/0.841 | 3.771/0.866 | 2.155/0.875 | 3.794/0.923 | |
| KIB | 4.733/0.908 | 4.943/0.903 | 3.631/0.835 | 3.818/0.863 | 2.064/0.885 | 3.853/0.922 | |
| Study Areas | Tsim Sha Tsui | Mong Kok | Causeway Bay | ||||
|---|---|---|---|---|---|---|---|
| Covariates/Weight Factors | PM2.5 (μg/m3) | PM10 (μg/m3) | PM2.5 (μg/m3) | PM10 (μg/m3) | PM2.5 (μg/m3) | PM10 (μg/m3) | |
| None | 5.043/0.898 | 5.361/0.890 | 3.987/0.803 | 4.205/0.840 | 2.434/0.828 | 4.436/0.895 | |
| SVF50m (1) | 5.040/0.898 | 5.295/0.893 | 3.922/0.807 | 4.134/0.843 | 2.374/0.838 | 4.350/0.899 | |
| FAI50m (2) | 5.061/0.897 | 5.287/0.894 | 3.907/0.810 | 4.122/0.844 | 2.447/0.826 | 4.394/0.897 | |
| RDA50m (3) | 5.079/0.895 | 5.334/0.891 | 3.895/0.812 | 4.111/0.844 | 2.378/0.837 | 4.355/0.899 | |
© 2017 by the authors. Licensee MDPI, Basel, Switzerland. This article is an open access article distributed under the terms and conditions of the Creative Commons Attribution (CC BY) license (http://creativecommons.org/licenses/by/4.0/).
Share and Cite
Shi, Y.; Ng, E. Fine-Scale Spatial Variability of Pedestrian-Level Particulate Matters in Compact Urban Commercial Districts in Hong Kong. Int. J. Environ. Res. Public Health 2017, 14, 1008. https://doi.org/10.3390/ijerph14091008
Shi Y, Ng E. Fine-Scale Spatial Variability of Pedestrian-Level Particulate Matters in Compact Urban Commercial Districts in Hong Kong. International Journal of Environmental Research and Public Health. 2017; 14(9):1008. https://doi.org/10.3390/ijerph14091008
Chicago/Turabian StyleShi, Yuan, and Edward Ng. 2017. "Fine-Scale Spatial Variability of Pedestrian-Level Particulate Matters in Compact Urban Commercial Districts in Hong Kong" International Journal of Environmental Research and Public Health 14, no. 9: 1008. https://doi.org/10.3390/ijerph14091008
APA StyleShi, Y., & Ng, E. (2017). Fine-Scale Spatial Variability of Pedestrian-Level Particulate Matters in Compact Urban Commercial Districts in Hong Kong. International Journal of Environmental Research and Public Health, 14(9), 1008. https://doi.org/10.3390/ijerph14091008

