Using Gamma and Quantile Regressions to Explore the Association between Job Strain and Adiposity in the ELSA-Brasil Study: Does Gender Matter?
Abstract
1. Introduction
2. Methods
2.1. Study Population
2.2. Job Strain
2.3. BMI and WC
2.4. Co-Variables
2.5. Statistical Analysis
2.6. Ethical Considerations
3. Results
3.1. Descriptive Characteristics
3.2. Unadjusted Association of Variables Examined with BMI and WC
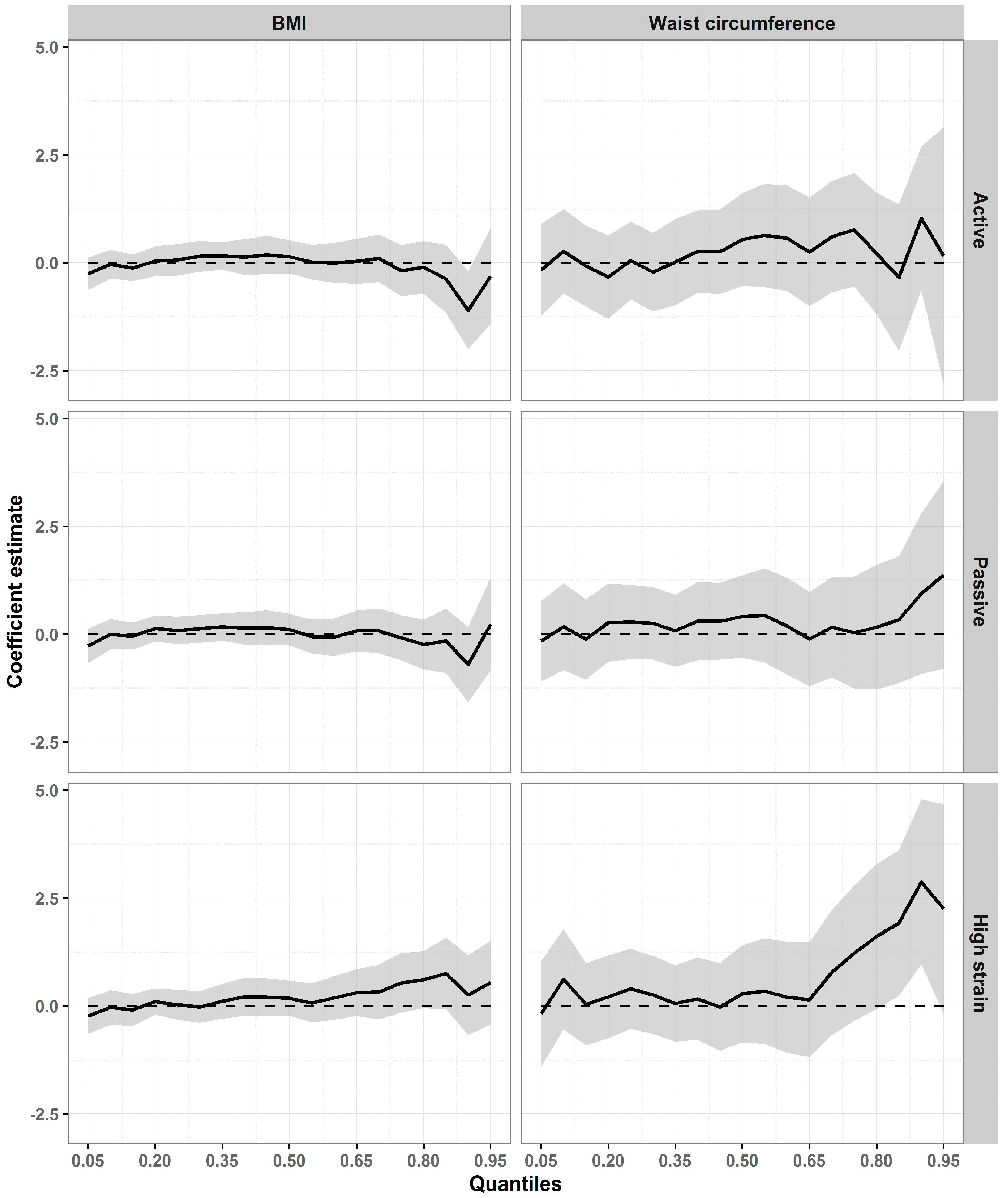
3.3. Adjusted Association of Job Strain with BMI and WC—Results for Women
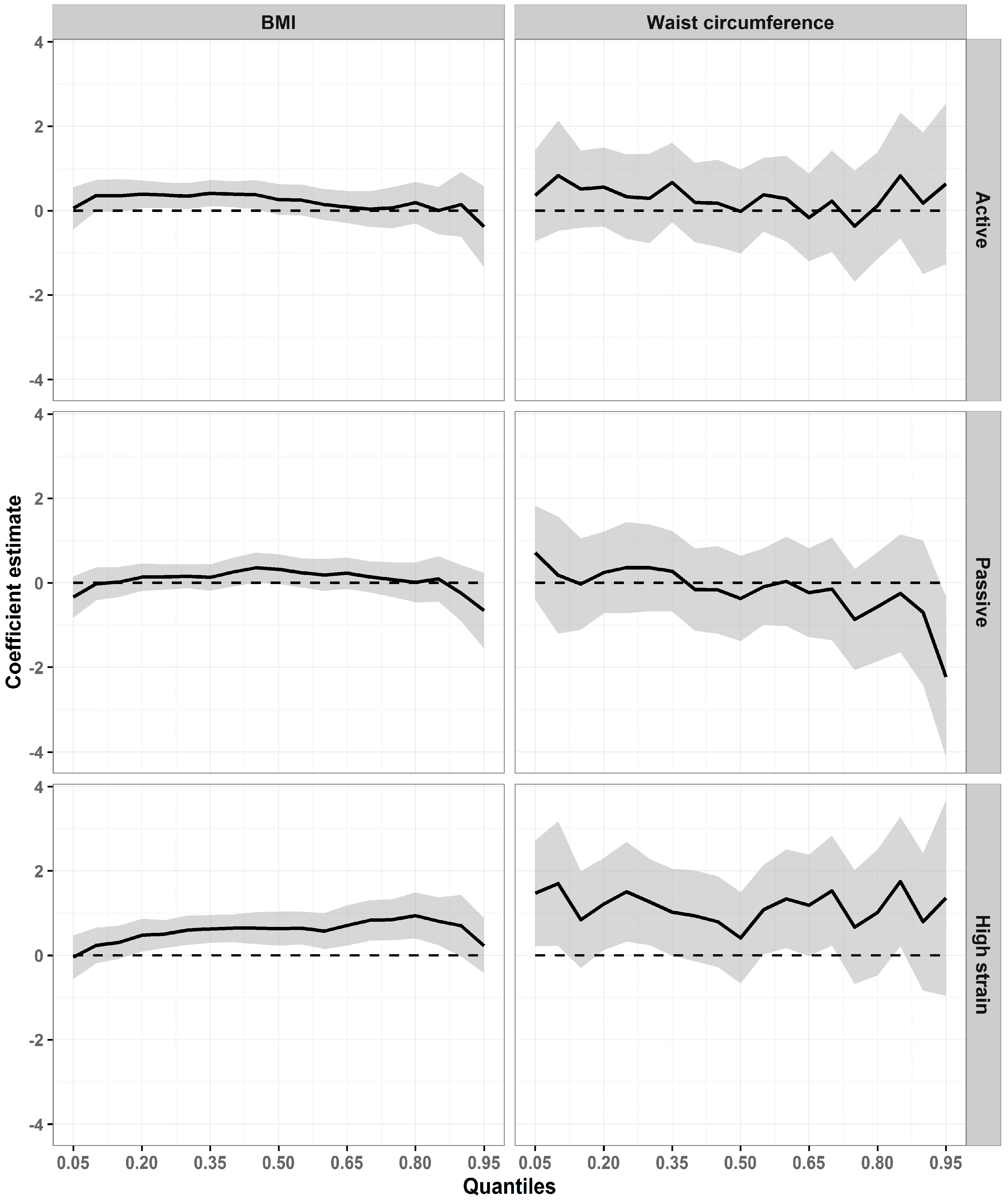
3.4. Adjusted Association of Job Strain with BMI and WC—Results for Men
4. Discussion
5. Conclusions
Author Contributions
Conflicts of Interest
References
- Fujishiro, K.; Lawson, C.C.; Hibert, E.L.; Chavarro, J.E.; Rich-Edwards, J.W. Job strain and changes in the body mass index among working women: A prospective study. Int. J. Obes. 2015, 39, 1395–1400. [Google Scholar] [CrossRef] [PubMed]
- Karasek, R.A. Job Demands, Job Decision Latitude, and Mental Strain: Implications for Job Redesign. Adm. Sci. Q. 1979, 24, 285–308. [Google Scholar] [CrossRef]
- Landsbergis, P.A.; Schnall, P.L.; Deitz, D.K.; Warren, K.; Pickering, T.G.; Schwartz, J.E. Job strain and health behaviors: Results of a prospective study. Am. J. Health Promot. 1998, 12, 237–245. [Google Scholar] [CrossRef] [PubMed]
- Ishizaki, M.; Nakagawa, H.; Morikawa, Y.; Honda, R.; Yamada, Y.; Kawakami, N.; Japan Work Stress and Health Cohort Study Group. Influence of job strain on changes in body mass index and waist circumference—6-year longitudinal study. Scand. J. Work Environ. Health 2008, 34, 288–296. [Google Scholar] [CrossRef] [PubMed][Green Version]
- Nyberg, S.T.; Heikkilä, K.; Fransson, E.I.; Alfredsson, L.; De Bacquer, D.; Bjorner, J.B.; Bonenfant, S.; Borritz, M.; Burr, H.; Casini, A.; et al. Job strain in relation to body mass index: Pooled analysis of 160,000 adults from 13 cohort studies. J. Intern. Med. 2012, 272, 65–73. [Google Scholar] [CrossRef] [PubMed]
- Kouvonen, A.; Kivimäki, M.; Väänänen, A.; Heponiemi, T.; Elovainio, M.; Ala-Mursula, L.; Virtanen, M.; Pentti, J.; Linna, A.; Vahtera, J. Job strain and adverse health behaviors: The Finnish Public Sector Study. J. Occup. Environ. Med. 2007, 49, 68–74. [Google Scholar] [CrossRef] [PubMed]
- Ostry, A.S.; Radi, S.; Louie, A.M.; LaMontagne, A.D. Psychosocial and other working conditions in relation to body mass index in a representative sample of Australian workers. BMC Public Health 2006, 6, 53. [Google Scholar] [CrossRef] [PubMed]
- Kivimäki, M.; Head, J.; Ferrie, J.E.; Shipley, M.J.; Brunner, E.; Vahtera, J.; Marmot, M.G. Work stress, weight gain and weight loss: Evidence for bidirectional effects of job strain on body mass index in the Whitehall II study. Int. J. Obes. 2006, 30, 982–987. [Google Scholar] [CrossRef]
- Eek, F.; Ostergren, P.-O. Factors associated with BMI change over five years in a Swedish adult population. Results from the Scania Public Health Cohort Study. Scand. J. Public Health 2009, 37, 532–544. [Google Scholar] [CrossRef] [PubMed]
- Kivimäki, M.; Kawachi, I. Work Stress as a Risk Factor for Cardiovascular Disease. Curr. Cardiol. Rep. 2015, 17, 630. [Google Scholar] [CrossRef] [PubMed]
- Bennette, C.; Vickers, A. Against quantiles: Categorization of continuous variables in epidemiologic research, and its discontents. BMC Med. Res. Methodol. 2012, 12, 21. [Google Scholar] [CrossRef] [PubMed]
- McCullagh, P.; Nelder, J.A. Generalized Linear Models, 2nd ed.; CRC Press: Boca Raton, FL, USA, 1989. [Google Scholar]
- Buchinsky, M. Recent Advances in Quantile Regression Models: A Practical Guideline for Empirical Research. J. Hum. Resour. 1998, 33, 88–126. [Google Scholar] [CrossRef]
- Beyerlein, A. Quantile regression-opportunities and challenges from a user’s perspective. Am. J. Epidemiol. 2014, 180, 330–331. [Google Scholar] [CrossRef] [PubMed]
- Kim, T.H.; Lee, E.-K.; Han, E. Food away from home and body mass outcomes: Taking heterogeneity into account enhances quality of results. Nutrition 2014, 30, 1015–1021. [Google Scholar] [CrossRef] [PubMed]
- Peeters, A.; Gearon, E.; Backholer, K.; Carstensen, B. Trends in the skewness of the body mass index distribution among urban Australian adults, 1980 to 2007. Ann. Epidemiol. 2015, 25, 26–33. [Google Scholar] [CrossRef] [PubMed]
- McDonald, S.M.; Ortaglia, A.; Bottai, M.; Supino, C. Differential association of cardiorespiratory fitness and central adiposity among US adolescents and adults: A quantile regression approach. Prev. Med. 2016, 88, 1–7. [Google Scholar] [CrossRef] [PubMed]
- Juvanhol, L.L.; Lana, R.M.; Cabrelli, R.; Bastos, L.S.; Nobre, A.A.; Rotenberg, L.; Griep, R.H. Factors associated with overweight: Are the conclusions influenced by choice of the regression method? BMC Public Health 2016, 16, 642. [Google Scholar] [CrossRef] [PubMed]
- Da Fonseca, M.J.M.; Andreozzi, V.L.; Faerstein, E.; Chor, D.; Carvalho, M.S. Alternatives in modeling of body mass index as a continuous response variable and relevance of residual analysis. Cadernos Saúde Pública 2008, 24, 473–478. [Google Scholar] [CrossRef]
- Griep, R.H.; Bastos, L.S.; da Fonseca, M.J.M.; Silva-Costa, A.; Portela, L.F.; Toivanen, S.; Rotenberg, L. Years worked at night and body mass index among registered nurses from eighteen public hospitals in Rio de Janeiro, Brazil. BMC Health Serv. Res. 2014, 14, 603. [Google Scholar] [CrossRef] [PubMed]
- Schmidt, M.I.; Duncan, B.B.; Mill, J.G.; Lotufo, P.A.; Chor, D.; Barreto, S.M.; Aquino, E.M.; Passos, V.M.; Matos, S.M.; Molina, M.C.B.; et al. Cohort Profile: Longitudinal Study of Adult Health (ELSA-Brasil). Int. J. Epidemiol. 2015, 44, 68–75. [Google Scholar] [CrossRef] [PubMed]
- De Mello Alves, M.G.; Chor, D.; Faerstein, E.; de S Lopes, C.; Werneck, G.L. Short version of the “job stress scale”: A Portuguese-language adaptation. Revista Saúde Pública 2004, 38, 164–171. [Google Scholar]
- Karasek, R.; Choi, B.; Ostergren, P.-O.; Ferrario, M.; De Smet, P. Testing two methods to create comparable scale scores between the Job Content Questionnaire (JCQ) and JCQ-like questionnaires in the European JACE Study. Int. J. Behav. Med. 2007, 14, 189–201. [Google Scholar] [CrossRef] [PubMed]
- Griep, R.H.; Rotenberg, L.; Vasconcellos, A.G.G.; Landsbergis, P.; Comaru, C.M.; Alves, M.G.M. The psychometric properties of demand-control and effort-reward imbalance scales among Brazilian nurses. Int. Arch. Occup. Environ. Health 2009, 82, 1163–1172. [Google Scholar] [CrossRef] [PubMed]
- Hökerberg, Y.H.M.; Aguiar, O.B.; Reichenheim, M.; Faerstein, E.; Valente, J.G.; da Fonseca, M.J.M.; Passos, S.R. Dimensional structure of the demand control support questionnaire: A Brazilian context. Int. Arch. Occup. Environ. Health 2010, 83, 407–416. [Google Scholar] [CrossRef]
- Lohman, T.G.; Slaughter, M.H.; Boileau, R.A.; Bunt, J.; Lussier, L. Bone mineral measurements and their relation to body density in children, youth and adults. Hum. Biol. 1984, 56, 667–679. [Google Scholar] [PubMed]
- Akaike, H. A new look at the statistical model identification. IEEE Trans. Autom. Control 1974, 19, 716–723. [Google Scholar] [CrossRef]
- R Core Team. R: A Language and Environment for Statistical Computing; R Foundation for Statistical Computing: Vienna, Austria, 2016; Available online: https://www.r-project.org/ (accessed on 22 September 2017).
- Azagba, S.; Sharaf, M.F. The relationship between job stress and body mass index using longitudinal data from Canada. Int. J. Public Health 2012, 57, 807–815. [Google Scholar] [CrossRef] [PubMed]
- Hellerstedt, W.L.; Jeffery, R.W. The association of job strain and health behaviours in men and women. Int. J. Epidemiol. 1997, 26, 575–583. [Google Scholar] [CrossRef] [PubMed]
- Kouvonen, A.; Kivimäki, M.; Cox, S.J.; Cox, T.; Vahtera, J. Relationship between work stress and body mass index among 45,810 female and male employees. Psychosom. Med. 2005, 67, 577–583. [Google Scholar] [CrossRef] [PubMed]
- Rosmond, R.; Björntorp, P. Occupational status, cortisol secretory pattern, and visceral obesity in middle-aged men. Obes. Res. 2000, 8, 445–450. [Google Scholar] [CrossRef] [PubMed]
- Adam, T.C.; Epel, E.S. Stress, eating and the reward system. Physiol. Behav. 2007, 91, 449–458. [Google Scholar] [CrossRef] [PubMed]
- Donoho, C.J.; Weigensberg, M.J.; Emken, B.A.; Hsu, J.-W.; Spruijt-Metz, D. Stress and abdominal fat: Preliminary evidence of moderation by the cortisol awakening response in Hispanic peripubertal girls. Obesity 2011, 19, 946–952. [Google Scholar] [CrossRef] [PubMed]
- Heikkilä, K.; Fransson, E.I.; Nyberg, S.T.; Zins, M.; Westerlund, H.; Westerholm, P.; Virtanen, M.; Vahtera, J.; Suominen, S.; Steptoe, A.; et al. Job strain and health-related lifestyle: Findings from an individual-participant meta-analysis of 118,000 working adults. Am. J. Public Health 2013, 103, 2090–2097. [Google Scholar] [CrossRef] [PubMed]
- Fransson, E.I.; Heikkilä, K.; Nyberg, S.T.; Zins, M.; Westerlund, H.; Westerholm, P.; Väänänen, A.; Virtanen, M.; Vahtera, J.; Theorell, T.; et al. Job strain as a risk factor for leisure-time physical inactivity: An individual-participant meta-analysis of up to 170,000 men and women: The IPD-Work Consortium. Am. J. Epidemiol. 2012, 176, 1078–1089. [Google Scholar] [CrossRef] [PubMed]
- Kirk, M.A.; Rhodes, R.E. Occupation correlates of adults’ participation in leisure-time physical activity: A systematic review. Am. J. Prev. Med. 2011, 40, 476–485. [Google Scholar] [CrossRef] [PubMed]
- Nishitani, N.; Sakakibara, H.; Akiyama, I. Eating behavior related to obesity and job stress in male Japanese workers. Nutrition 2009, 25, 45–50. [Google Scholar] [CrossRef] [PubMed]
- Torres, S.J.; Nowson, C.A. Relationship between stress, eating behavior, and obesity. Nutrition 2007, 23, 887–894. [Google Scholar] [CrossRef] [PubMed]
- Dallman, M.F.; Pecoraro, N.; Akana, S.F.; La Fleur, S.E.; Gomez, F.; Houshyar, H.; Bell, M.E.; Bhatnagar, S.; Laugero, K.D.; Manalo, S. Chronic stress and obesity: A new view of “comfort food”. Proc. Natl. Acad. Sci. USA 2003, 100, 11696–11701. [Google Scholar] [CrossRef] [PubMed]
- Brunner, E.J.; Chandola, T.; Marmot, M.G. Prospective effect of job strain on general and central obesity in the Whitehall II Study. Am. J. Epidemiol. 2007, 165, 828–837. [Google Scholar] [CrossRef] [PubMed]
- Magee, C.A.; Caputi, P.; Iverson, D.C. Short sleep mediates the association between long work hours and increased body mass index. J. Behav. Med. 2011, 34, 83–91. [Google Scholar] [CrossRef] [PubMed]
- Wardle, J.; Chida, Y.; Gibson, E.L.; Whitaker, K.L.; Steptoe, A. Stress and adiposity: A meta-analysis of longitudinal studies. Obesity 2011, 19, 771–778. [Google Scholar] [CrossRef] [PubMed]
- Jääskeläinen, A.; Kaila-Kangas, L.; Leino-Arjas, P.; Lindbohm, M.-L.; Nevanperä, N.; Remes, J.; Järvelin, M.R.; Laitinen, J. Psychosocial factors at work and obesity among young finnish adults: A cohort study. J. Occup. Environ. Med. 2015, 57, 485–492. [Google Scholar] [CrossRef] [PubMed]
- Solovieva, S.; Lallukka, T.; Virtanen, M.; Viikari-Juntura, E. Psychosocial factors at work, long work hours, and obesity: A systematic review. Scand. J. Work Environ. Health 2013, 39, 241–258. [Google Scholar] [CrossRef] [PubMed]
- Campos-Serna, J.; Ronda-Pérez, E.; Artazcoz, L.; Moen, B.E.; Benavides, F.G. Gender inequalities in occupational health related to the unequal distribution of working and employment conditions: A systematic review. Int. J. Equity Health 2013, 12, 57. [Google Scholar] [CrossRef] [PubMed]
- Berntsson, L.; Lundberg, U.; Krantz, G. Gender differences in work-home interplay and symptom perception among Swedish white-collar employees. J. Epidemiol. Community Health 2006, 60, 1070–1076. [Google Scholar] [CrossRef] [PubMed]
- Griep, R.H.; Toivanen, S.; van Diepen, C.; Guimarães, J.M.N.; Camelo, L.V.; Juvanhol, L.L.; Aquino, E.M.; Chor, D. Work-Family Conflict and Self-Rated Health: The Role of Gender and Educational Level. Baseline Data from the Brazilian Longitudinal Study of Adult Health (ELSA-Brasil). Int. J. Behav. Med. 2016, 23, 372–382. [Google Scholar] [CrossRef] [PubMed]
- Mitchell, J.A.; Bottai, M.; Park, Y.; Marshall, S.J.; Moore, S.C.; Matthews, C.E. A prospective study of sedentary behavior and changes in the body mass index distribution. Med. Sci. Sports Exerc. 2014, 46, 2244–2252. [Google Scholar] [CrossRef] [PubMed]
- Beyerlein, A.; von Kries, R.; Ness, A.R.; Ong, K.K. Genetic markers of obesity risk: Stronger associations with body composition in overweight compared to normal-weight children. PLoS ONE 2011, 6, e19057. [Google Scholar] [CrossRef] [PubMed]
- Williams, P.T. Evidence that obesity risk factor potencies are weight dependent, a phenomenon that may explain accelerated weight gain in western societies. PLoS ONE 2011, 6, e27657. [Google Scholar] [CrossRef] [PubMed]
- Courvoisier, D.S.; Perneger, T.V. Validation of alternative formulations of job strain. J. Occup. Health 2010, 52, 5–13. [Google Scholar] [CrossRef] [PubMed]
- De Mello Alves, M.G.; Hökerberg, Y.H.M.; Faerstein, E. Trends and diversity in the empirical use of Karasek’s demand-control model (job strain): A systematic review. Rev. Bras. Epidemiol. 2013, 16, 125–136. [Google Scholar]
- Aquino, E.M.L.; Barreto, S.M.; Bensenor, I.M.; Carvalho, M.S.; Chor, D.; Duncan, B.B.; Lotufo, P.A.; Mill, J.G.; Molina, M.C.B.; Mota, E.L.; et al. Brazilian Longitudinal Study of Adult Health (ELSA-Brasil): Objectives and design. Am. J. Epidemiol. 2012, 175, 315–324. [Google Scholar] [CrossRef] [PubMed]


| Variables | Women (n = 6316) | Men (n = 5780) | ||||
|---|---|---|---|---|---|---|
| Sample Characteristics n (%) or Mean (SD) | Coefficient (95% Confidence Interval, CI) a | Sample Characteristics n (%) or Mean (SD) | Coefficient (95% CI) a | |||
| BMI | Waist Circumference | BMI | Waist Circumference | |||
| Age | 48.9 (7.1) | 0.07 (0.06, 0.09) | 0.31 (0.27, 0.35) | 49.6 (7.5) | 0.02 (0.00, 0.03) | 0.20 (0.16, 0.24) |
| Schooling | ||||||
| <Secondary complete | 462 (7.3) | Reference | Reference | 871 (15.1) | Reference | Reference |
| Secondary complete | 2345 (37.1) | −1.13 (–1.67, −0.61) | −3.61 (–4.90, −2.33) | 2043 (35.3) | −0.18 (–0.52, 0.16) | −0.36 (–1.28, 0.56) |
| Undergraduate complete | 1223 (19.4) | −2.31 (–2.87, −1.76) | −6.28 (–7.65, −4.93) | 714 (12.4) | −0.27 (–0.69, 0.16) | 0.06 (–1.09, 1.22) |
| Postgraduate | 2286 (36.2) | −2.97 (–3.50, −2.45) | −6.93 (–8.21, −5.66) | 2152 (37.2) | −0.34 (–0.68, 0.00) | 1.00 (0.08, 1.92) |
| Per capita family income | 837.8 (675.5) | −0.60 (–0.71, −0.49) b | −1.23 (–1.51, −0.94) b | 786.50 (639.9) | −0.11(–0.22, 0.01) b | 0.27 (–0.04, 0.59) b |
| Marital status | ||||||
| Single | 893 (14.1) | Reference | Reference | 323 (5.6) | Reference | Reference |
| Divorced/separated/widowers | 1945 (30.8) | 0.50 (0.10, 0.90) | 2.12 (1.14, 3.10) | 774 (13.4) | 0.59 (0.04, 1.14) | 2.08 (0.59, 3.55) |
| Married/living together | 3477 (55.1) | 0.06 (–0.31, 0.43) | 0.54 (–0.36, 1.44) | 4683 (81.0) | 0.86 (0.39, 1.33) | 3.07 (1.78, 4.34) |
| Hours worked weekly | 42.0 (10.1) | 0.00 (–0.02, 0.01) | −0.04 (–0.07, −0.01) | 44.6 (11.3) | 0.01 (0.00, 0.02) | 0.04 (0.02, 0.07) |
| Quadrants | ||||||
| Low strain | 1468 (23.3) | Reference | Reference | 1393 (24.2) | Reference | Reference |
| Active | 1213 (19.3) | −0.07 (–0.44, 0.31) | 0.02 (–0.91, 0.95) | 1424 (24.7) | 0.11 (–0.21, 0.42) | 0.20 (–0.67, 1.07) |
| Passive | 2280 (36.3) | 0.77 (0.45, 1.10) | 1.90 (1.09, 2.71) | 1714 (29.8) | −0.03 (–0.33, 0.28) | −1.04 (–1.86, −0.21) |
| High strain | 1328 (21.1) | 0.78 (0.41, 1.16) | 1.49 (0.58, 2.41) | 1227 (21.3) | 0.44 (0.11, 0.77) | 0.39 (–0.51, 1.30) |
| Social support at work | 19.5 (3.3) | 0.02 (–0.02, 0.06) | 0.08 (–0.02, 0.17) | 20.0 (3.3) | −0.02 (–0.05, 0.02) | −0.04 (–0.13, 0.05) |
| Adjusted Models | Coefficient (95% CI) | Difference in Deviance | ||
|---|---|---|---|---|
| Quadrants | ||||
| Active | Passive | High Strain | ||
| Women (n = 6252) | ||||
| BMI | ||||
| Model 1: age | −0.11 (−0.48, 0.27) | 0.74 (0.41, 1.07) | 0.88 (0.50, 1.25) | 2.585 |
| Model 2: model 1 + schooling | 0.01 (−0.36, 0.38) | 0.01 (−0.33, 0.35) | 0.26 (−0.12, 0.64) | 5.818 |
| Model 3: model 2 + per capita family income | 0.03 (−0.34, 0.40) | −0.06 (−0.40, 0.29) | 0.19 (−0.19, 0.57) | 0.679 |
| Model 4: model 3 + hours worked weekly | −0.09 (−0.47, 0.28) | −0.04 (−0.39, 0.30) | 0.15 (−0.24, 0.53) | 0.442 |
| Model 5: model 4 + study center | −0.07 (−0.45, 0.30) | 0.02 (−0.33, 0.36) | 0.23 (−0.15, 0.61) | 1.014 |
| Waist circumference | ||||
| Model 1: age | −0.10 (−1.02, 0.81) | 1.80 (1.00, 2.60) | 1.88 (0.97, 2.78) | 4.171 |
| Model 2: model 1 + schooling | 0.08 (−0.83, 0.99) | 0.47 (−0.36, 1.31) | 0.75 (−0.17, 1.68) | 1.943 |
| Model 3: model 2 + per capita family income | 0.12 (−0.79, 1.03) | 0.29 (−0.55, 1.13) | 0.56 (−0.37, 1.49) | 0.485 |
| Model 4: model 3 + study center | 0.21 (−0.69, 1.12) | 0.29 (−0.55, 1.12) | 0.76 (−0.17, 1.69) | 1.333 |
| Men (n = 5708) | ||||
| BMI | ||||
| Model 1: age | 0.13 (−0.19, 0.45) | 0.01 (−0.30, 0.31) | 0.51 (0.18, 0.84) | 0.112 |
| Model 2: model 1 + marital status | 0.13 (−0.19, 0.45) | 0.02 (−0.28, 0.32) | 0.51 (0.17, 0.84) | 0.344 |
| Model 3: model 2 + study center | 0.15 (−0.17, 0.46) | 0.03 (−0.27, 0.33) | 0.54 (0.21, 0.87) | 1.541 |
| Waist circumference | ||||
| Model 1: age | 0.38 (−0.49, 1.24) | −0.86 (−1.68, −0.03) | 0.74 (−0.15, 1.64) | 1.351 |
| Model 2: model 1 + marital status | 0.38 (−0.49, 1.24) | −0.82 (−1.64, 0.00) | 0.75 (−0.15, 1.65) | 0.262 |
| Model 3: model 2 + schooling | 0.29 (−0.58, 1.16) | −0.29 (−1.17, 0.58) | 1.21 (0.27, 2.15) | 0.182 |
| Model 4: model 3 + hours worked weekly | 0.15 (−0.73, 1.03) | −0.27 (−1.15, 0.60) | 1.13 (0.19, 2.07) | 0.061 |
| Model 5: model 4 + study center | 0.19 (−0.68, 1.06) | −0.30 (−1.17, 0.57) | 1.12 (0.18, 2.06) | 1.095 |
© 2017 by the authors. Licensee MDPI, Basel, Switzerland. This article is an open access article distributed under the terms and conditions of the Creative Commons Attribution (CC BY) license (http://creativecommons.org/licenses/by/4.0/).
Share and Cite
Fonseca, M.D.J.M.d.; Juvanhol, L.L.; Rotenberg, L.; Nobre, A.A.; Griep, R.H.; Alves, M.G.d.M.; Cardoso, L.D.O.; Giatti, L.; Nunes, M.A.; Aquino, E.M.L.; et al. Using Gamma and Quantile Regressions to Explore the Association between Job Strain and Adiposity in the ELSA-Brasil Study: Does Gender Matter? Int. J. Environ. Res. Public Health 2017, 14, 1404. https://doi.org/10.3390/ijerph14111404
Fonseca MDJMd, Juvanhol LL, Rotenberg L, Nobre AA, Griep RH, Alves MGdM, Cardoso LDO, Giatti L, Nunes MA, Aquino EML, et al. Using Gamma and Quantile Regressions to Explore the Association between Job Strain and Adiposity in the ELSA-Brasil Study: Does Gender Matter? International Journal of Environmental Research and Public Health. 2017; 14(11):1404. https://doi.org/10.3390/ijerph14111404
Chicago/Turabian StyleFonseca, Maria De Jesus Mendes da, Leidjaira Lopes Juvanhol, Lúcia Rotenberg, Aline Araújo Nobre, Rosane Härter Griep, Márcia Guimarães de Mello Alves, Letícia De Oliveira Cardoso, Luana Giatti, Maria Angélica Nunes, Estela M. L. Aquino, and et al. 2017. "Using Gamma and Quantile Regressions to Explore the Association between Job Strain and Adiposity in the ELSA-Brasil Study: Does Gender Matter?" International Journal of Environmental Research and Public Health 14, no. 11: 1404. https://doi.org/10.3390/ijerph14111404
APA StyleFonseca, M. D. J. M. d., Juvanhol, L. L., Rotenberg, L., Nobre, A. A., Griep, R. H., Alves, M. G. d. M., Cardoso, L. D. O., Giatti, L., Nunes, M. A., Aquino, E. M. L., & Chor, D. (2017). Using Gamma and Quantile Regressions to Explore the Association between Job Strain and Adiposity in the ELSA-Brasil Study: Does Gender Matter? International Journal of Environmental Research and Public Health, 14(11), 1404. https://doi.org/10.3390/ijerph14111404

