Design of Research on Performance of a New Iridium Coordination Compound for the Detection of Hg2+
Abstract
:1. Introduction
2. Implementation Plan
2.1. Experimental Instruments
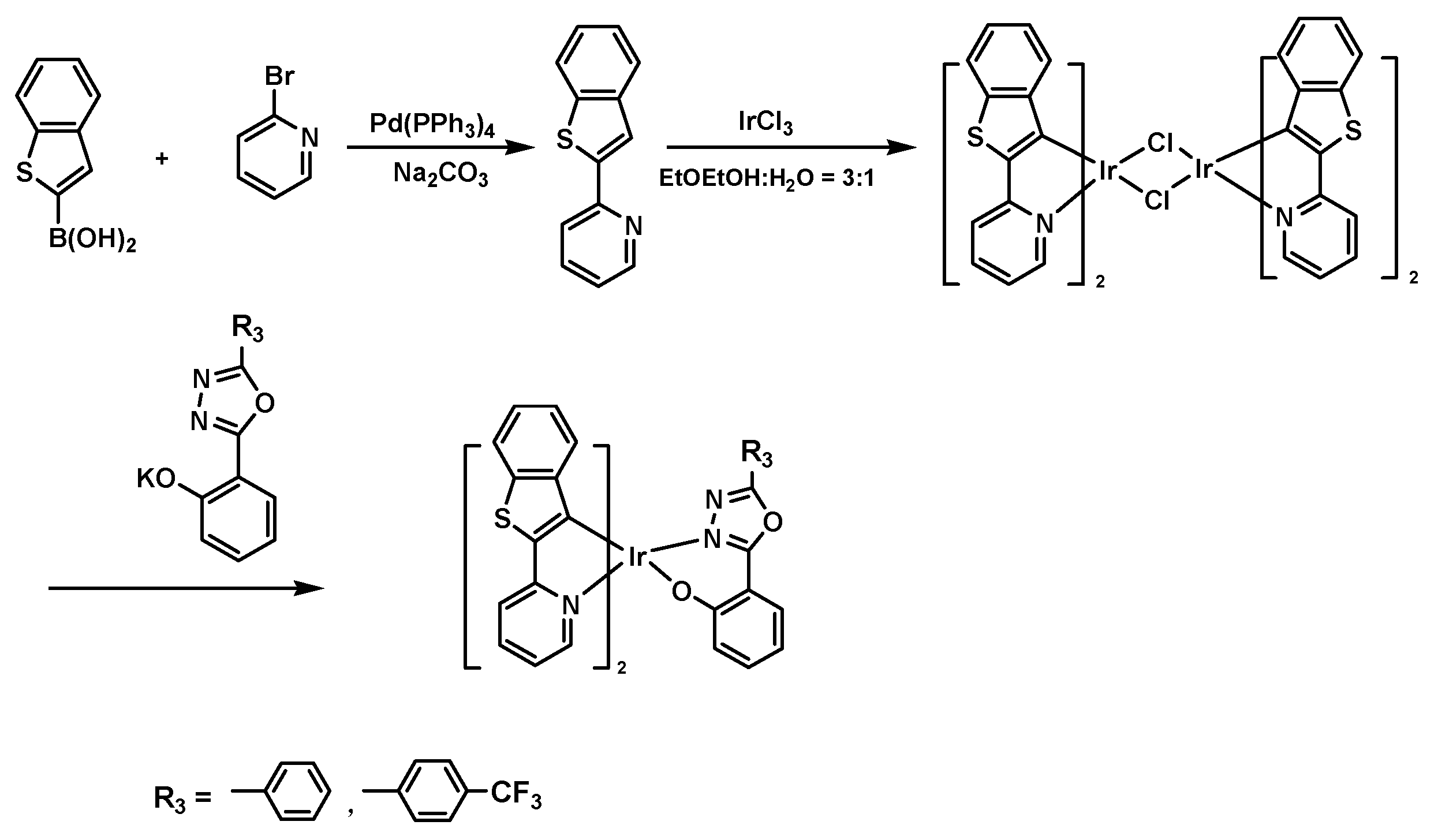
2.2. Synthesis and Characterization of the Main Ligand Benzothiophene-2-pyridine (BTP)
2.3. Synthesis of a New Type of Auxiliary Ligand
2.4. Synthesis and Characterization of the Coordination Compound
2.5. Characterization of Coordination Compound
2.6. Study on the Performance of 2.5 Iridium Coordination Compound in Detection of Hg2+
3. Experimental Results and Discussion
3.1. Crystal Structure
3.2. UV Vis Absorption Spectrum
3.3. Phosphorescent Emission Spectrum
3.4. Detection Performance of Ir Coordination Compoundes on Mercury Ions
3.5. Ion Selective and Competitive Experiment
4. Innovation
5. Conclusions
Acknowledgments
Author Contributions
Conflicts of Interests
References
- Minodora, M.; Raluca, I.B.; Virgil, I.; Florian, B.; Marilena, O. Impact assessment of heavy metal pollution on soil mite communities (Acari: Mesostigmata) from zlatna depression-transylvania. Process Saf. Environ. Prot. 2016, 108, 121–134. [Google Scholar]
- Liao, J.B.; Chen, J.; Ru, X.; Chen, J.D.; Wu, H.Z.; Wei, C.H. Heavy metals in river surface sediments affected with multiple pollution sources, South China: Distribution, enrichment and source apportionment. J. Geochem. Explor. 2016, 176, 9–19. [Google Scholar] [CrossRef]
- Wong, W.Y.; Ho, C.L.; Gao, Z.Q.; Mi, B.X.; Chen, C.H.; Cheah, K.W.; Lin, Z.Y. Multifunctional Iridium Complexes Based on Carbazole Modules as Highly Efficient Electrophosphors. Angew. Chem. Int. Ed. 2006, 45, 7800–7803. [Google Scholar] [CrossRef] [PubMed]
- Javier, F.B.; Inigo, C.; Javier, G.A.; María, L.P.; Andrés, G. A method to assess the evolution and recovery of heavy metal pollution in estuarine sediments: Past history, present situation and future perspectives. Mar. Pollut. Bull. 2017. [Google Scholar] [CrossRef]
- Harikrishnan, N.; Ravisankar, R.; Chandrasekaran, A.; Suresh Gandhi, M.; Kanagasabapathy, K.V.; Prasad, M.V.R.; Satapathyd, K.K. Assessment of heavy metal contamination in marine sediments of east coast of tamil nadu affected by different pollution sources. Mar. Pollut. Bull. 2017, 121, 418–424. [Google Scholar] [CrossRef] [PubMed]
- Tetsuro, K.; Shuzo, T. Biological Removal and Recovery of Toxic Heavy Metals in Water Environment. Crit. Rev. Environ. Sci. Technol. 2012, 42, 1007–1057. [Google Scholar]
- Jin, X.L.; Yu, C.; Li, Y.F.; Qi, Y.X.; Yang, L.Q.; Zhao, G.H.; Hu, H.Y. Preparation of novel nano-adsorbent based on organic-inorganic hybrid and their adsorption for heavy metals and organic pollutants presented in water environment. J. Hazard. Mater. 2011, 186, 1672–1680. [Google Scholar] [CrossRef] [PubMed]
- Schröder, P.; Lyubenova, L.; Huber, C. Do heavy metals and metalloids influence the detoxification of organic xenobiotics in plants? Environ. Sci. Pollut. Res. 2009, 16, 795–804. [Google Scholar] [CrossRef] [PubMed]
- Wang, D.X. Study on the High Heat Resistance and High Flame Retardant of the Resin. Doctor’s Thesis, Shandong University, Jinan, China, 2012. [Google Scholar]
- Ma, X.G.; Pei, Z.; Sun, J.P.; Fu, J.X.; Tang, Y.L.; Zhang, R.X. Research on Heavy Metal Pollution Sudden Emergency Processing Method in Water Environment. Adv. Mater. Res. 2013, 2115, 168–1685. [Google Scholar] [CrossRef]
- Zheng, H.H.; Liu, H.L.; Huang, Q.B.; LI, Q.H. The Release Mechanism of Heavy Metals from Sulfide Tailings. Adv. Mater. Res. 2015, 3702, 833–837. [Google Scholar] [CrossRef]
- Ghosh, U.; Bag, S.S.; Mukherjee, C. Bis-pyridobenzene as a fluorescence light-up sensor for Hg2+ Ion in water. Sens. Actuators B Chem. 2017, 238, 903–907. [Google Scholar] [CrossRef]
- Pourabadehei, M.; Mulligan, C.N. Selection of an appropriate management strategy for contaminated sediment: A case study at a shallow contaminated harbour in Quebec, Canada. Environ. Pollut. 2016, 219, 846–857. [Google Scholar] [CrossRef] [PubMed]
- Odame Duodu, G.; Goonetilleke, A.; Ayoko, G.A. Comparison of pollution indices for the assessment of heavy metal in Brisbane River sediment. Environ. Pollut. 2016, 219, 1077–1091. [Google Scholar] [CrossRef] [PubMed]
- Zhang, C.; Shan, B.Q.; Tang, W.Z.; Dong, L.X.; Zhang, W.Q.; Pei, Y.S. Heavy metal concentrations and speciation in riverine sediments and the risks posed in three urban belts in the Haihe Basin. Ecotoxicol. Environ. Saf. 2017, 139, 263–271. [Google Scholar] [CrossRef] [PubMed]
- Satofuka, H.; Amano, S.; Atomi, H.; Takagi, M.; Hirata, K.; Miyamoto, K.; Imanaka, T. Rapid method for detection and detoxification of heavy metal ions in water environments using phytochelation. J. Biosci. Bioeng. 2005, 88, 287–292. [Google Scholar] [CrossRef]
- Méndez-Rodríguez, L.C.; Alvarez-Castañeda, S.T. Assessment of Trace Metals in Soil, Vegetation and Rodents in Relation to Metal Mining Activities in an Arid Environment. Bull. Environ. Contam. Toxicol. 2016, 97, 44–49. [Google Scholar] [CrossRef] [PubMed]
- Fernando, V.A.; Weerasena, J.; Lakraj, G.P.; Perera, I.C.; Dangalle, C.D.; Handunnetti, S.; Premawansa, S.; Wijesinghe, M.R. Lethal and sub-lethal effects on the Asian common toad Duttaphrynus melanostictus from exposure to hexavalent chromium. Aquat. Toxicol. 2016, 177, 98–105. [Google Scholar] [CrossRef] [PubMed]
- Nawab, J.; Khan, S.; Shah, M.T.; Gul, N.; Ali, A.; Khan, K.; Huang, Q. Heavy Metal Bioaccumulation in Native Plants in Chromite Impacted Sites: A Search for Effective Remediating Plant Species. Clean Soil Air Water 2016, 44, 37–46. [Google Scholar] [CrossRef]
- Cansaran-Duman, D.; Atakol, O.; Atasoy, I.; Kahya, D.; Aras, S.; Beyaztaş, T. Heavy Metal Accumulation in Pseudevernia furfuracea (L.) Zopf from the Karabük Iron-Steel Factory in Karabük, Turkey. Zeitschrift für Naturforschung C 2014, 64, 717–723. [Google Scholar] [CrossRef]
- Gao, X.L.; Arthur Chen, C.-T. Heavy metal pollution status in surface sediments of the coastal Bohai Bay. Water Res. 2012, 46, 1901–1911. [Google Scholar] [CrossRef] [PubMed]
- Tsakovski, S.; Kudłak, B.; Simeonov, V.; Wolska, L.; Garcia, G.; Jacek, N. Relationship between heavy metal distribution in sediment samples and their ecotoxicity by the use of the Hasse diagram technique. Anal. Chim. Acta 2012, 719, 16–23. [Google Scholar] [CrossRef] [PubMed]
- Monachese, M.; Burton, J.P.; Reid, G. Bioremediation and human tolerance to heavy metals through microbial processes: A potential role for probiotics? Appl. Environ. Microbiol. 2012, 78, 6397–6404. [Google Scholar] [CrossRef] [PubMed]
- Thorslund, J.; Jarsjö, J.; Chalov, S.R.; Belozerova, E.V. Gold mining impact on riverine heavy metal transport in a sparsely monitored region: The upper Lake Baikal Basin case. J. Environ. Monit. 2012, 14, 2780–2792. [Google Scholar] [CrossRef] [PubMed]
- Fang, S.B.; Hu, H.; Sun, W.C.; Pan, J.J. Spatial Variations of Heavy Metals in the Soils of Vegetable-Growing Land along Urban-Rural Gradient of Nanjing, China. Int. J. Environ. Res. Public Health 2011, 8, 1805–1816. [Google Scholar] [CrossRef] [PubMed]
- Bai, F.; Ma, H.W.; Wang, Y.B. 13X zeolite molecular sieve on the water Hg~ (2+) adsorption performance of the experimental study to learn the leading edge. Earth Sci. Front. 2005, 1, 165–170. [Google Scholar]
- Zhou, W.N. Determination of Trace Hg~ (2+) of Metal Organic Framework Materials. Doctor’s Thesis, East China University of Technology, Shanghai, China, 2015. [Google Scholar]
- Gao, J. The Characteristics of Dissolved Organic matter (DOM) and Its Combination with in the Three Gorges Reservoir Area and Its Relationship with Hg~ (2+). Doctor’s Thesis, Southwestern University, Lanzhou, China, 2015. [Google Scholar]
- Chen, C. Research on Detection Technology of Lead and Mercury Based on Nucleic Acid Ligands. Doctor’s Thesis, Ningbo University, Ningbo, China, 2015. [Google Scholar]
- Fan, H.L.; Zhou, S.F.; Gao, J.; Liu, Y.Z. Continuous preparation of Fe3O4 nanoparticles through Impinging Stream-Rotating Packed Bed reactor and their electrochemistry detection toward heavy metal ions. J. Alloys Compd. 2016, 67, 354–359. [Google Scholar] [CrossRef]
- Wang, N.; Sun, J.C.; Fan, H.; Ai, S.Y. Anion-intercalated layered double hydroxides modified test strips for detection of heavy metal ions. Talanta 2016, 148, 301–307. [Google Scholar] [CrossRef] [PubMed]
- Sun, B.L.; Li, X.; Zhao, R.; Yin, M.Y.; Wang, Z.X.; Jiang, Z.Q.; Wang, C. Hierarchic alaminated PAN/γ–AlOOH electrospun composite nanofibers and their heavy metal ion adsorption performance. J. Taiwan Inst. Chem. Eng. 2016, 62, 219–227. [Google Scholar] [CrossRef]
- Zhou, Y.Y.; Tang, L.; Zeng, G.M.; Zhang, C.; Zhang, Y.; Xie, X. Current progress in biosensors for heavy metal ions based on DNAzymes/DNA molecules functionalized nanostructures: A review. Sens. Actuators B Chem. 2016, 223, 280–294. [Google Scholar] [CrossRef]
- Li, H.M.; Wei, M.; Min, W.H.; Gao, Y.W.; Liu, X.Q.; Liu, J.S. Removal of heavy metal Ions in aqueous solution by Exopolysaccharides from Athelia rolfsii. Biocatal. Agric. Biotechnol. 2016, 6, 28–32. [Google Scholar] [CrossRef]
- Li, N.T.; Zhang, D.M.; Zhang, Q.; Lu, Y.L.; Jiang, J.; Liu, G.L.; Liu, Q.J. Combing localized surface plasmon resonance with anodic stripping voltammetry for heavy metal ion detection. Sens. Actuators B Chem. 2016, 231, 349–356. [Google Scholar] [CrossRef]
- Yang, H.Y.; Tang, Z.H.; Wang, L.K.; Zhou, W.J.; Li, L.G.; Zhang, Y.Q.; Chen, S.W. The Reactivity Study of PeptideA3-Capped Gold and Silver Nanoparticles with Heavy Metal Ions. Mater. Sci. Eng. B 2016, 210, 37–42. [Google Scholar] [CrossRef]
- Tan, L.L.; Chen, Z.B.; Zhao, Y.; Wei, X.C.; Li, Y.H.; Zhang, C.; Wei, X.L.; Hu, X.C. Dual channel sensor for detection and discrimination of heavy metal ions based on colorimetric and fluorescence response of the AuNPs-DNA conjugates. Biosen. Bioelectron. 2016, 85, 414–421. [Google Scholar] [CrossRef] [PubMed]
- Yang, H.H.; Ma, H.Y.; Shi, B.F.; Li, L.D.; Yan, W. Experimental study of the effects of heavy metal ions on the hydrogen production performance of Rhodobacter sphaeroides HY01. Int. J. Hydrogen Energy 2016, 41, 10631–10638. [Google Scholar] [CrossRef]
- Zhou, S.F.; Han, X.J.; Liu, Y.Q. SWASV performance toward heavy metal ions based on a high-activity and simple magnetic chitosan sensing nanomaterials. J. Alloys Compd. 2016, 84, 1–7. [Google Scholar] [CrossRef]
- Trchounian, K.; Poladyan, A.; Trchounian, A. Optimizing strategy for Escherichia coli growth and hydrogen production during glycerol fermentation in batch culture: Effects of some heavy metal ions and their mixtures. Appl. Energy 2016, 177, 335–340. [Google Scholar] [CrossRef]
- Ji, W.B.; HuiKitYap, S.; Panwar, N.; Zhang, L.L.; Lin, B.; Ken, T.Y.; SweeChuan, T.; Wun, J.N.; Maszenan, B.A.M. Detection of low-concentration heavy metal ions using optical microfiber sensor. Sens. Actuators B Chem. 2016, 237, 142–149. [Google Scholar] [CrossRef]
- Zhan, S.S.; Wu, Y.G.; Wang, L.M.; Zhan, X.J.; Zhou, P. A mini-review on functional nucleic acids-based heavy metal ion detection. Biosens. Bioelectron. 2016, 86, 353–368. [Google Scholar] [CrossRef] [PubMed]
- Bae, J.Y.; Lee, H.J.; Choi, W.S. Cube sugar-like sponge/polymer brush composites for portable and user-friendly heavy metal ion adsorbents. J. Hazard. Mater. 2016, 320, 133–142. [Google Scholar] [CrossRef] [PubMed]
- Karkra, R.; Kumar, P.K.S.; Bansod, B.; Krishna, R. Analysis of Heavy Metal Ions in Potable Water Using Soft Computing Technique. Procedia Comput. Sci. 2016, 93, 988–994. [Google Scholar] [CrossRef]
- Shahinul Islam, M.; Choi, W.S.; Nam, B.; Yoon, C.; Lee, H.J. Needle-like iron oxide@CaCO3 adsorbents for ultrafast removal of anionic and cationic heavy metal ions. Chem. Eng. J. 2016, 307, 208–219. [Google Scholar] [CrossRef]
- Mende, M.; Schwarz, D.; Steinbach, C.; Boldt, R.; Schwarz, S. Simultaneous adsorption of heavy metal ions and anions from aqueous solutions on chitosan—Investigated by spectrophotometry and SEM-EDX analysis. Physicochem. Eng. Asp. 2016, 510, 275–282. [Google Scholar] [CrossRef]
- Sahraei, R.; Ghaemy, M. Synthesis of modified gum tragacanth/grapheme oxide composite hydrogel for heavy metal ions removal and preparation of silver nanocomposite for antibacterial activity. Carbohydr. Polym. 2017, 157, 823–833. [Google Scholar] [CrossRef] [PubMed]
- Wang, M.L.; Meng, G.W. Fluorophores-modified nanomaterials for trace detection of polychlorobiphenyls and heavy metal ions. Sens. Actuators B Chem. 2016, 243, 1137–1147. [Google Scholar] [CrossRef]
- Deshmukh, S.; Kandasamy, G.; Upadhyay, R.K.; Bhattacharya, G.; Banerjee, D.; Maity, D.A.; Deshusses, M.; Susanta, S.R. Terephthalic acid capped iron oxide nanoparticles for sensitive electrochemical detection of heavy metal ions in water. J. Electroanal. Chem. 2017, 788, 91–98. [Google Scholar] [CrossRef]
- Peng, W.J.; Li, H.Q.; Liu, Y.; Song, S.X. A review on heavy metal ions adsorption from water by grapheme oxide and its composites. J. Mol. Liq. 2017, 230, 496–504. [Google Scholar] [CrossRef]
- Kołodyska, D.; Krukowska-Bąk, J.; Kazmierczak-Razna, J.; Pietrzak, R. Uptake of heavy metal ions from aqueous solutions by sorbents obtained from the spent ion exchange resins. Microporous Mesoporous Mater. 2017, 244, 127–136. [Google Scholar] [CrossRef]
- Trchounian, K.; Poladyan, A.; Trchounian, A. Enhancement of Escherichia coli bacterial biomass and hydrogen production by some heavy metal ions and their mixtures during glycerol vs. glucose fermentation at a relatively wide range of pH. Int. J. Hydrogen Energy 2017, 42, 6590–6597. [Google Scholar] [CrossRef]
- Zhang, Z.H.; Ji, H.F.; Song, Y.P.; Zhang, S.; Wang, M.H.; Jia, C.C.; Tian, J.Y.; He, L.H.; Zhang, X.J.; Liu, C.S. Fe(III)-based Metal–Organic Framework-derived Core–shell Nanostructure: Sensitive Electrochemical Platform for High Trace Determination of Heavy Metal Ions. Biosens. Bioelectron. 2017, 94, 358–364. [Google Scholar] [CrossRef] [PubMed]
- Momidi, B.K.; Tekuri, V.; Trivedi, D.R. Multi-signaling thiocarbohydrazide based colorimetric sensors for the selective recognition of heavy metal ions in an aqueous medium. Spectrochim. Acta Part A Mol. Biomol. Spectrosc. 2017, 180, 175–182. [Google Scholar] [CrossRef] [PubMed]
- Tomczak, E.; Kamiski, W. Application of genetic algorithms to determine heavy metalions sorption dynamics on clinoptilolite bed. Chem. Process Eng. 2012, 33. [Google Scholar] [CrossRef]
- Liu, Z.R.; Zhou, L.M.; Huang, Q.W. The adsorption performance of Hg~ (2+) on by thiourea modified Fe_3O_4/chitosan microspheres. Polym. Mater. Sci. Eng. 2010, 4, 78–81. [Google Scholar]
- Zhang, Q.M.; Ren, J.; Cheng, H. Synthesis of thiol resin and adsorption characteristics of Hg~ (2+). Environ. Sci. Res. 2010, 7, 888–891. [Google Scholar]
- Su, W.; Chen, J.Y.; Wang, E.J. High selective Hg~ (2+) ratio fluorescence probe based on the fluorescence resonance energy transfer between 1,8- naphthalene and Luo Danming. J. High. Educ. 2016, 2, 232–238. [Google Scholar]
- Serrano, S.; Vlassopoulos, D.; O’Day, P.A. Mechanism of Hg(II) Immobilization in Sediments by Sulfate-Cement Amendment. Appl. Geochem. 2016, 67, 68–80. [Google Scholar] [CrossRef] [PubMed]
- Zheng, J. Electrochemical Detection of DNA and Proteins Thrombin and Nano-Gold Colloidal Magnetic Nanoparticles. Doctor’s Thesis, East China Normal University, Shanghai, China, 2007. [Google Scholar]
- Ma, L.; Wang, Y.Q.; Ning, N.; Chen, Q.Y. Hg~ (2+), Ni~ (2+) and Cu~ (2+) on the acute and joint toxicity effects of on the thermophilic four membrane worm. Environ. Sci. Res. 2008, 4, 174–178. [Google Scholar]
- Li, H.H. A New Method for Visual Detection of Trace Hg~ (2+). Doctor’s Thesis, Lanzhou University, Lanzhou, China, 2012. [Google Scholar]









| Parameter | S | T |
|---|---|---|
| Ir-C20 | 0.2009 | 0.2032 |
| Ir-N8 | 0.1988 | 0.1971 |
| Ir-O1 | 0.2167 | 0.2169 |
| Ir-N3 | 0.2036 | 0.2010 |
| Ir-N1 | 0.2072 | 0.2070 |
| Ir-C7 | 0.1996 | 0.2003 |
| Coordination Compound | UV Absorption [λ, nm (ε, 103 M−1 cm−1)] | Phosphorescence Emission (λmax, nm) |
|---|---|---|
| Ir1 | 218 (44.9), 274 (31.5), 318 (17.9), 394 (9.4), 461 (4.2) | 603/655 |
| Ir2 | 221 (56.9), 274 (39.5), 318 (23.0), 399 (11.3), 462 (5.4) | 603/655 |
© 2017 by the authors. Licensee MDPI, Basel, Switzerland. This article is an open access article distributed under the terms and conditions of the Creative Commons Attribution (CC BY) license (http://creativecommons.org/licenses/by/4.0/).
Share and Cite
Ma, H.; Tsai, S.-B. Design of Research on Performance of a New Iridium Coordination Compound for the Detection of Hg2+. Int. J. Environ. Res. Public Health 2017, 14, 1232. https://doi.org/10.3390/ijerph14101232
Ma H, Tsai S-B. Design of Research on Performance of a New Iridium Coordination Compound for the Detection of Hg2+. International Journal of Environmental Research and Public Health. 2017; 14(10):1232. https://doi.org/10.3390/ijerph14101232
Chicago/Turabian StyleMa, Hailing, and Sang-Bing Tsai. 2017. "Design of Research on Performance of a New Iridium Coordination Compound for the Detection of Hg2+" International Journal of Environmental Research and Public Health 14, no. 10: 1232. https://doi.org/10.3390/ijerph14101232
APA StyleMa, H., & Tsai, S.-B. (2017). Design of Research on Performance of a New Iridium Coordination Compound for the Detection of Hg2+. International Journal of Environmental Research and Public Health, 14(10), 1232. https://doi.org/10.3390/ijerph14101232

