Associations between Active Commuting to School and Health-Related Physical Fitness in Spanish School-Aged Children: A Cross-Sectional Study
Abstract
:1. Background
2. Methods
2.1. Participants and Study Design
2.2. Mode of Commuting to School
2.3. Health-Related Physical Fitness
2.4. Covariates
2.5. Statistical Analyses
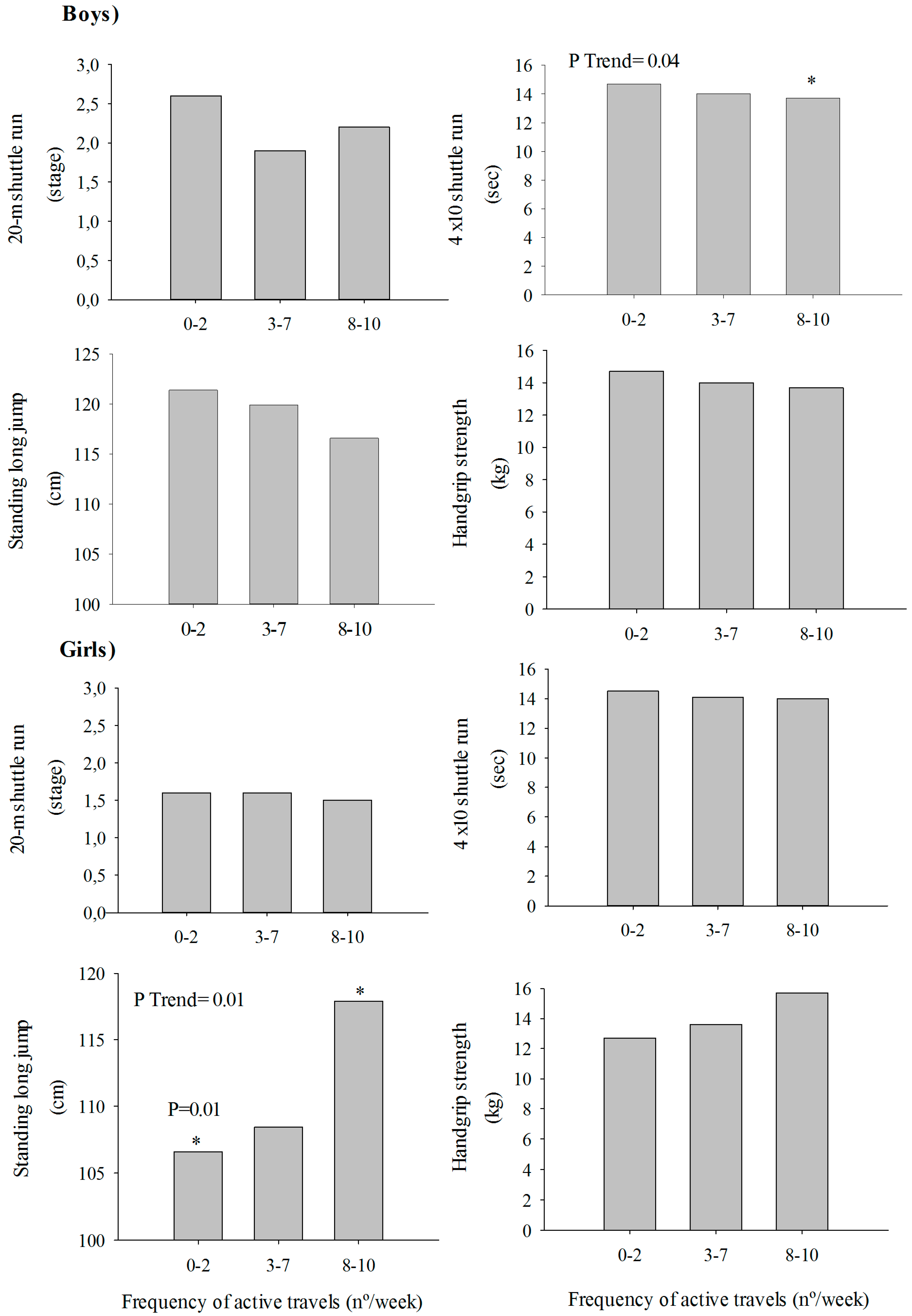
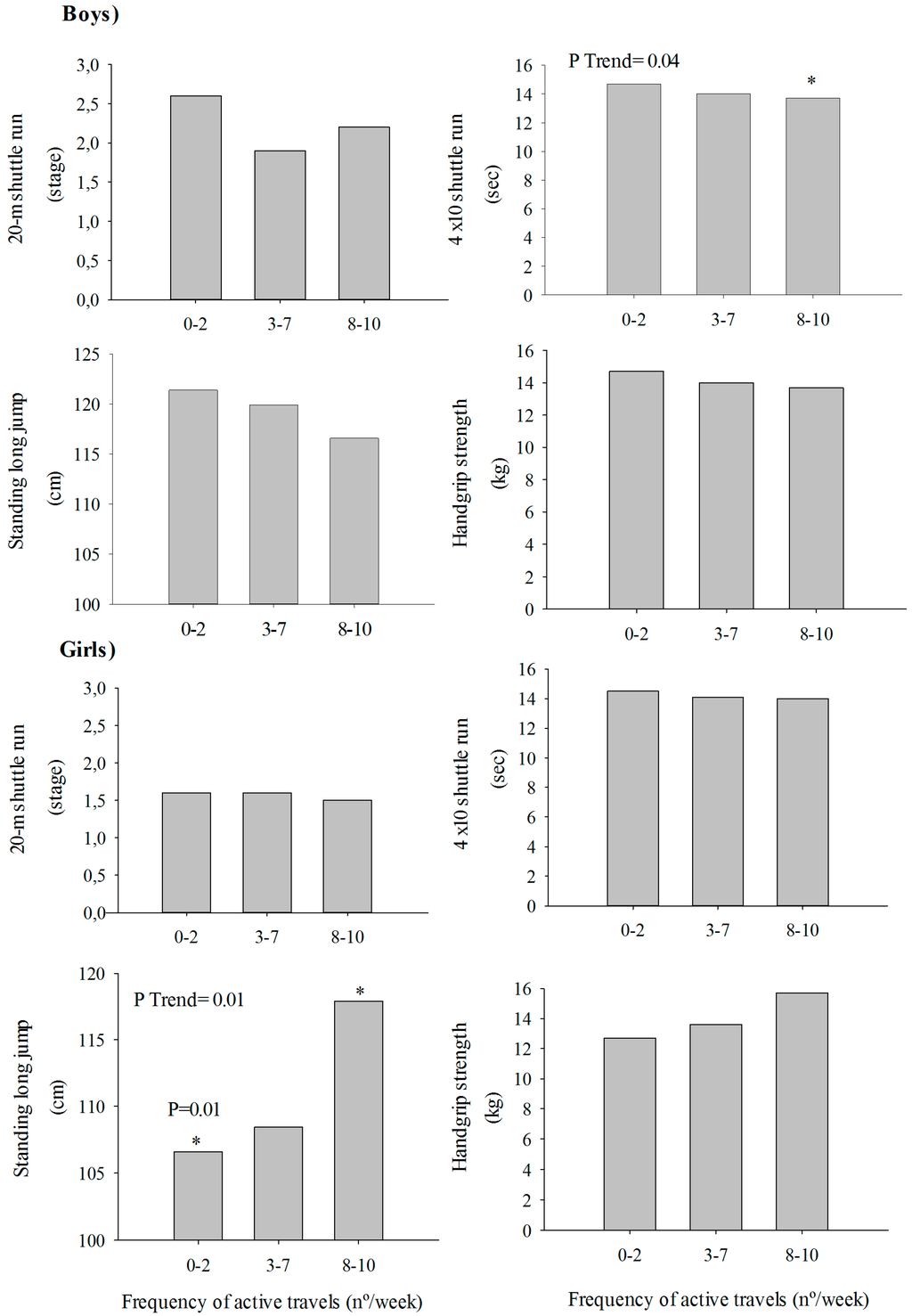
3. Results
| Variables | N | All Mean (SD) | N | Boys Mean (SD) | N | Girls Mean (SD) | |||
|---|---|---|---|---|---|---|---|---|---|
| Age (years) | 469 | 9.2 | (0.6) | 251 | 9.3 | (0.6) | 218 | 9.2 | (0.6) |
| Weight (kg) | 424 | 37.3 | (10.1) | 235 | 37.7 | (10.3) | 187 | 37.0 | (9.8) |
| Height (cm)
BMI (kg/m2) | 410
410 | 140.5
18.6 | (8.8)
(3.7) | 226
226 | 140.9
18.6 | (8.7)
(3.7) | 182
184 | 140.2
18.5 | (8.8)
(3.7) |
| WC (cm) | 423 | 67.2 | (10.0) | 235 | 67.7 | (10.5) | 188 | 66.7 | (9.2) |
| Sexual maturation status (%)
Stage 1 Stage 2 Stage 3 Stage 4 | 420 | 26.7 60.5 12.1 0.7 | 233 | 4.3 84.5 10.3 0.9 | 187 | 54.5 30.5 14.4 0.5 | |||
| Cardiorespiratory fitness VO2max (mL/kg per min) | 413 | 41.5 | (4.3) | 229 | 42.6 | (4.6) | 184 | 40.2 | (3.6) |
| 20-m shuttle run (stage) | 413 | 1.9 | (1.3) | 229 | 2.3 | (1.5) | 184 | 1.5 | (1.0) |
| Muscular fitness
Standing long jump (cm) Handgrip strength (kg) | 420 423 | 114.1 14.4 | (22.4) (6.7) | 233 234 | 119.0 14.4 | (20.3) (3.0) | 187 189 | 109.8 14.3 | (19.1) (9.5) |
| Speed-agility4x10 shuttle run (s) | 419 | 14.8 | (2.3) | 232 | 13.7 | (1.4) | 187 | 14.2 | (1.3) |
| Frequency of active travel (nº/week) * | 469 | 4 | (0,9) | 251 | 4 | (0,9) | 218 | 4 (0,9) | |
| Mode of commuting º/week)
* Walk Bike Car Motorcycle Bus Others | 469 | 4 (0,9) 0 (0,0) 4 (0,9) 0 (0,0) 0 (0,0) 0 (0,0) | 251 | 3(0,9) 0(0,0) 4(0,8) 0(0,0) 0(0,0) 0(0,0) | 218 | 4 (0,9) 0 (0,0) 5 (0,9) 0 (0,0) 0 (0,0) 0 (0,0) | |||
| Distance to school (m) * | 324 | 600 (412,1000) | 163 | 650 (450,1000) | 161 | 600 (400,1000) | |||
| Fitness tests * | Active Commuting | ||||||
|---|---|---|---|---|---|---|---|
| Boys | Girls | ||||||
| ß | SE | p | ß | SE | p | ||
| Cardiorespiratory fitness 20-m shuttle run (stage) | −0.024 | 0.036 | 0.488 | −0.005 | 0.018 | 0.786 | |
| Muscular fitness Standing long jump (cm) | −0.495 | 0.297 | 0.435 | 1.009 | 0.433 | 0.016 | |
| Handgrip strength (kg) | −0.117 | 0.068 | 0.121 | 0.331 | 0.208 | 0.168 | |
| Speed-agility 4 × 10 shuttle run (s) | 0.062 | 0.031 | 0.048 | −0.046 | 0.031 | 0.127 | |
4. Discussion
4.1. Cardiovascular Fitness

4.2. Muscular Fitness
4.3. Speed-Agility
5. Conclusions
Acknowledgements
Author Contributions
Conflicts of Interest
References
- Ortega, F.B.; Ruiz, J.R.; Castillo, M.J.; Sjostrom, M. Physical fitness in childhood and adolescence: A powerful marker of health. Int. J. Obes. 2008, 32, 1–11. [Google Scholar] [CrossRef] [PubMed]
- Andersen, L.B.; Wedderkopp, N.; Hansen, H.S.; Cooper, A.R.; Froberg, K. Biological cardiovascular risk factors cluster in danish children and adolescents: The european youth heart study. Prev. Med. 2003, 37, 363–367. [Google Scholar] [CrossRef]
- Ekelund, U.; Anderssen, S.A.; Froberg, K.; Sardinha, L.B.; Andersen, L.B.; Brage, S.; European Youth Heart Study Group. Independent associations of physical activity and cardiorespiratory fitness with metabolic risk factors in children: The European youth heart study. Diabetologia 2007, 50, 1832–1840. [Google Scholar] [CrossRef] [PubMed]
- Bao, W.H.; Srinivasan, S.R.; Wattigney, W.A.; Berenson, G.S. Persistence of multiple cardiovascular risk clustering related to syndrome-x from chilhood to young adulthooh- the bogalusa-heart-study. Arch. Intern. Med. 1994, 154, 1842–1847. [Google Scholar] [CrossRef] [PubMed]
- Janz, K.F.; Burns, T.L.; Levy, S.M. Tracking of activity and sedentary behaviors in childhood—The iowa bone development study. Amer. J. Prev Med. 2005, 29, 171–178. [Google Scholar] [CrossRef] [PubMed]
- Cooper, A.R.; Page, A.S.; Foster, L.J.; Qahwaji, D. Commuting to school—Are children who walk more physically active? Amer. J. Prev Med. 2003, 25, 273–276. [Google Scholar] [CrossRef]
- Cooper, A.R.; Wedderkopp, N.; Wang, H.; Andersen, L.B.; Froberg, K.; Page, A.S. Active travel to school and cardiovascular fitness in danish children and adolescents. Med. Sci. Sport. Exer. 2006, 38, 1724–1731. [Google Scholar] [CrossRef] [PubMed]
- Faulkner, G.E.J.; Buliung, R.N.; Flora, P.K.; Fusco, C. Active school transport, physical activity levels and body weight of children and youth: A systematic review. Prev. Med. 2009, 48, 3–8. [Google Scholar] [CrossRef] [PubMed]
- Lubans, D.R.; Boreham, C.A.; Kelly, P.; Foster, C.E. The relationship between active travel to school and health-related fitness in children and adolescents: A systematic review. Int. J. Behav. Nutr. Phy. 2011. [CrossRef] [PubMed]
- Chillón, P.; Ortega, F.B.; Ruiz, J.R.; Evenson, K.R.; Labayen, I.; Martinez-Vizcaino, V.; Hurtig-Wennlof, A.; Veidebaum, T.; Sjostrom, M. Bicycling to school is associated with improvements in physical fitness over a 6-year follow-up period in Swedish children. Prev. Med. 2012, 55, 108–112. [Google Scholar] [CrossRef] [PubMed]
- Madsen, K.A.; Gosliner, W.; Woodward-Lopez, G.; Crawford, P.B. Physical activity opportunities associated with fitness and weight status among adolescents in low-income communities. Arch. Pediat. Adol. Med. 2009, 163, 1014–1021. [Google Scholar] [CrossRef] [PubMed]
- Meron, D.; Rissel, C.; Reinten-Reynolds, T.; Hardy, L.L. Changes in active travel of school children from 2004 to 2010 in new south Wales, Australia. Prev. Med. 2011, 53, 408–410. [Google Scholar] [CrossRef] [PubMed]
- Andersen, L.B.; Lawlor, D.A.; Cooper, A.R.; Froberg, K.; Anderssen, S.A. Physical fitness in relation to transport to school in adolescents: The danish youth and sports study. Scand. J. Med. Sci. Sport. 2009, 19, 406–411. [Google Scholar] [CrossRef] [PubMed]
- Cooper, A.R.; Wedderkopp, N.; Jago, R.; Kristensen, P.L.; Moller, N.C.; Froberg, K.; Page, A.S.; Andersen, L.B. Longitudinal associations of cycling to school with adolescent fitness. Prev. Med. 2008, 47, 324–328. [Google Scholar] [CrossRef] [PubMed]
- Ostergaard, L.; Kolle, E.; Steene-Johannessen, J.; Anderssen, S.A.; Andersen, L.B. Cross sectional analysis of the association between mode of school transportation and physical fitness in children and adolescents. Int. J. Behav. Nutr. Phys. Act. 2013. [CrossRef] [PubMed]
- McGill, H.C.; McMahan, C.A.; Herderick, E.E.; Malcom, G.T.; Tracy, R.E.; Strong, J.P. Origin of atherosclerosis in childhood and adolescence. Amer. J. Clin. Nutr. 2000, 72, 1307S–1315S. [Google Scholar] [PubMed]
- Ruiz, J.R.; Castro-Piñero, J.; España-Romero, V.; Artero, E.G.; Ortega, F.B.; Cuenca, M.M.; Jimenez-Pavón, D.; Chillón, P.; Girela-Rejón, M.J.; Mora, J.; et al. Field-based fitness assessment in young people: The alpha health-related fitness test battery for children and adolescents. Brit. J. Sport. Med. 2011, 45, 518–524. [Google Scholar] [CrossRef] [PubMed]
- Herrador-Colmenero, M.; Perez-Garcia, M.; Ruiz, J.R.; Chillon, P. Assessing modes and frequency of commuting to school in youngsters: A systematic review. Pediatr. Exerc. Sci. 2014, 26, 291–341. [Google Scholar] [CrossRef] [PubMed]
- Leger, L.A.; Mercier, D.; Gadoury, C.; Lambert, J. The multistage 20 metre shuttle run test for aerobic fitness. J. Sport. Sci. 1988, 6, 93–101. [Google Scholar] [CrossRef] [PubMed]
- Espana-Romero, V.; Artero, E.G.; Santaliestra-Pasias, A.M.; Gutierrez, A.; Castillo, M.J.; Ruiz, J.R. Hand span influences optimal grip span in boys and girls aged 6 to 12 years. J. Hand Surg Amer. 2008, 33, 378–384. [Google Scholar] [CrossRef] [PubMed]
- Mendoza, J.A.; Watson, K.; Baranowski, T.; Nicklas, T.A.; Uscanga, D.K.; Nguyen, N.; Hanfling, M.J. Ethnic minority children’s active commuting to school and association with physical activity and pedestrian safety behaviors. J. Appl. Res. Child. 2010, 1, 1–23. [Google Scholar] [PubMed]
- Tanner, J.M.; Whitehouse, R.H. Clinical longitudinal standards for height, weight, height velocity, weight velocity, and stages of puberty. Arch. Dis. Child. 1976, 51, 170–179. [Google Scholar] [CrossRef] [PubMed]
- Chillón, P.; Ortega, F.B.; Ruiz, J.R.; Veidebaum, T.; Oja, L.; Maestu, J.; Sjostrom, M. Active commuting to school in children and adolescents: An opportunity to increase physical activity and fitness. Scand. J. Public Health 2010, 38, 873–879. [Google Scholar] [CrossRef] [PubMed]
- Sandercock, G.R.H.; Ogunleye, A.A. Screen time and passive school travel as independent predictors of cardiorespiratory fitness in youth. Prev. Med. 2012, 54, 319–322. [Google Scholar] [CrossRef] [PubMed]
- Van Mechelen, W.; Hlobil, H.; Kemper, H.C.G. Validation of 2 running tests as estimates of maximal aerobic power in children. Eur. J. Appl. Physiol. 1986, 55. [Google Scholar] [CrossRef]
- Liu, N.Y.S.; Plowman, S.A.; Looney, M.A. The reliability and validity of the 20-meter shuttle test in american students 12 to 15 years old. Res. Quart. Exercise Sport 1992, 63, 360–365. [Google Scholar] [CrossRef] [PubMed]
- Voss, C.; Sandercock, G. Does the twenty meter shuttle-run test elicit maximal effort in 11-to 16-year-olds? Pediatr. Exerc. Sci. 2009, 21, 55–62. [Google Scholar] [PubMed]
- Olds, T.; Tomkinson, G.; Leger, L.; Cazorla, G. Worldwide variation in the performance of children and adolescents: An analysis of 109 studies of the 20-m shuttle run test in 37 countries. J. Sport Sci. 2006, 24, 1025–1038. [Google Scholar] [CrossRef] [PubMed]
- Castro-Pinero, J.; Ortega, F.B.; Artero, E.G.; Girela-Rejón, M.J.; Mora, J.; Sjostrom, M.; Ruiz, J.R. Assessing muscular strength in youth: Usefulness of standing long jump as a general index of muscular fitness. J. Strength Cond Res. 2010, 24, 1810–1817. [Google Scholar] [CrossRef] [PubMed]
© 2015 by the authors; licensee MDPI, Basel, Switzerland. This article is an open access article distributed under the terms and conditions of the Creative Commons Attribution license (http://creativecommons.org/licenses/by/4.0/).
Share and Cite
Villa-González, E.; Ruiz, J.R.; Chillón, P. Associations between Active Commuting to School and Health-Related Physical Fitness in Spanish School-Aged Children: A Cross-Sectional Study. Int. J. Environ. Res. Public Health 2015, 12, 10362-10373. https://doi.org/10.3390/ijerph120910362
Villa-González E, Ruiz JR, Chillón P. Associations between Active Commuting to School and Health-Related Physical Fitness in Spanish School-Aged Children: A Cross-Sectional Study. International Journal of Environmental Research and Public Health. 2015; 12(9):10362-10373. https://doi.org/10.3390/ijerph120910362
Chicago/Turabian StyleVilla-González, Emilio, Jonatan R. Ruiz, and Palma Chillón. 2015. "Associations between Active Commuting to School and Health-Related Physical Fitness in Spanish School-Aged Children: A Cross-Sectional Study" International Journal of Environmental Research and Public Health 12, no. 9: 10362-10373. https://doi.org/10.3390/ijerph120910362
APA StyleVilla-González, E., Ruiz, J. R., & Chillón, P. (2015). Associations between Active Commuting to School and Health-Related Physical Fitness in Spanish School-Aged Children: A Cross-Sectional Study. International Journal of Environmental Research and Public Health, 12(9), 10362-10373. https://doi.org/10.3390/ijerph120910362