Association of Seasonal Climate Variability and Age-Specific Mortality in Northern Sweden before the Onset of Industrialization
Abstract
:1. Introduction
2. Methods
2.1. Demographic Data

2.2. Meteorological Data
2.3. Statistical Methods
3. Results and Discussion
3.1. Demographic Changes over Time

3.2. Climate

3.3. Association of Annual Climate Variability and Mortality

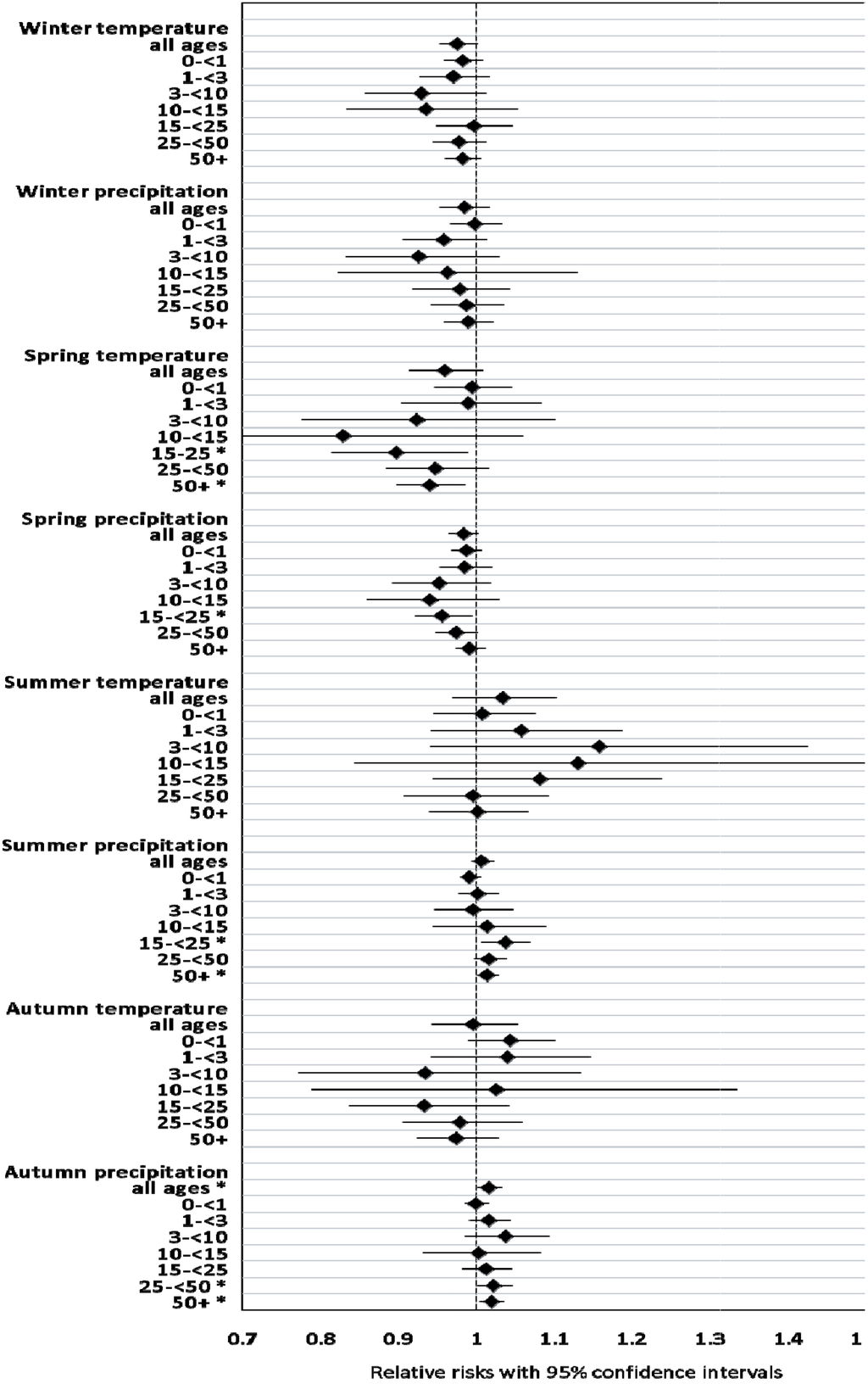
3.4. Association of Seasonal Climate Variability and Mortality
3.4.1. Season-Wise Models
| Simple Season-Wise Model* RR (CI) | p-Value | Fully Adjusted Model** RR (CI) | p-Value | |
|---|---|---|---|---|
| Winter temperature | 0.97 (0.95–0.99) | 0.007 | 0.98 (0.95–1.00) | 0.057 |
| Winter precipitation | 1.00 (0.97–1.03) | 0.783 | 0.99 (0.95–1.02) | 0.343 |
| Spring temperature | 0.95 (0.91–0.98) | 0.005 | 0.96 (0.91–1.01) | 0.103 |
| Spring precipitation | 0.99 (0.97–1.01) | 0.200 | 0.98 (0.97–1.00) | 0.085 |
| Summer temperature | 1.01 (0.95–1.08) | 0.692 | 1.04 (0.97–1.10) | 0.300 |
| Summer precipitation | 1.01 (1.00–1.03) | 0.050 | 1.01 (0.99–1.02) | 0.294 |
| Autumn temperature | 0.99 (0.94–1.04) | 0.674 | 1.00 (0.94–1.05) | 0.898 |
| Autumn precipitation | 1.01 (1.00–1.02) | 0.120 | 1.02 (1.00–1.03) | 0.036 |
3.4.2. Full Model Including All Seasons

3.5. Discussion
3.5.1. Strengths and Limitations
3.5.2. Future Studies
4. Conclusions
Supplementary Files
Acknowledgments
Author Contributions
Conflicts of Interest
References
- McMichael, A.J. Insights from past millennia into climatic impacts on human health and survival. Proc. Natl. Acad. Sci. USA 2012, 109, 4730–4737. [Google Scholar] [CrossRef]
- Ljungkvist, F.C. Global Nedkylning—Klimatet Och Människan under 10000 År; Norstedts Förlag: Stockholm, Sweden, 2009. [Google Scholar]
- Helle, S.; Helama, S. Climatic variability and the population dynamics of historical hunter-gatherers: The case of Sami of Northern Finland. Am. J. Hum. Biol. 2007, 853, 844–853. [Google Scholar]
- Guy, W.A. On temperature and its relation to mortality: An illustration of the application of the numerical method to the discovery of truth. J. Stat. Soc. Lond. 1881, 44, 235–268. [Google Scholar] [CrossRef]
- Catalano, R.; Bruckner, T.; Smith, K.R. Ambient temperature predicts sex ratios and male longevity. Proc. Natl. Acad. Sci. USA 2008, 105, 2244–2247. [Google Scholar] [CrossRef]
- Appleby, A.B. Epidemics and famine in the little ice age 1550–1700. J. Interdiscip. Hist. 1980, 10, 643–663. [Google Scholar] [CrossRef]
- Omran, A.R. The epidemiologic transition. A theory of the epidemiology of population change. Milbank Mem. Fund Q. 1971, 49, 509–538. [Google Scholar] [CrossRef]
- Sundin, J.; Willner, S. Social Change and Health in Sweden: 250 Years of Politics and Practice; Swedish National Institute of Public Health: Östersund, Sweden, 2007. [Google Scholar]
- Stenflo, G.A. Demographic Description of the Skellefteå and Sundsvall Regions during the 19th Century; Demographic Data Base, Umeå University: Umeå, Sweden, 1994. [Google Scholar]
- Edvinsson, S.; Lindkvist, M. Wealth and health in 19th century Sweden: A study of social differences in adult mortality in the Sundsvall Region. Explor. Econ. Hist. 2011, 48, 376–388. [Google Scholar] [CrossRef]
- Lundevaller, E.H.; Edvinsson, S. The effect of Rh-negative disease on perinatal mortality: Some evidence from the Skellefteå region, Sweden, 1860–1900. Biodemography Soc. Biol. 2012, 58, 116–132. [Google Scholar] [CrossRef]
- Bygren, L.O.; Edvinsson, S.; Broström, G. Change in food availability during pregnancy: Is it related to adult sudden death from cerebro- and cardiovascular disease in offspring? Am. J. Hum. Biol. 2000, 12, 447–453. [Google Scholar] [CrossRef]
- Schumann, B.; Edvinsson, S.; Evengård, B.; Rocklöv, J. The influence of seasonal climate variability on mortality in pre-industrial Sweden. Glob. Health Action 2013, 6. [Google Scholar] [CrossRef]
- Umeå University Demographic Data Base. What Is Tabellverket? Available online: http://www.ddb.umu.se/digitalAssets/39/39441_tbvhistory100330.pdf (accessed on 20 November 2013).
- Demographic Database. Tabellverket 1749–1859. Description of Tabellverket Registration at the DDB and the Contents of Population and Mortality Form. Available online: http://www.ddb.umu.se/digitalAssets/118/118452_tabellverket-beskrivning-och-innehll--2013-03-25.pdf (accessed on 20 November 2013).
- Klingbjer, P.; Moberg, A. A composite monthly temperature record from Tornedalen in northern Sweden, 1802–2002. Int. J. Clim. 2003, 23, 1465–1494. [Google Scholar] [CrossRef]
- Moberg, A.; Bergström, H.; Alexandersson, H. Homogenization of Swedish temperature data. Part III: The long temperature records from Uppsala and Stockholm. Int. J. Clim. 1997, 17, 667–699. [Google Scholar] [CrossRef]
- Bergström, H.; Moberg, A. Daily air temperature and pressure series for Uppsala (1722–1998). Clim. Change 2002, 53, 213–252. [Google Scholar]
- Parker, G. Global Crisis—War, Climate Change and Catastrophe in the Seventeenth Century; Yale University Press: New Haven, CT, USA, 2013. [Google Scholar]
- Scott, S.; Duncan, S.R.; Duncan, C.J. The interacting effects of prices and weather on population cycles in a preindustrial community. J. Biosoc. Sci. 1998, 30, 15–32. [Google Scholar] [CrossRef]
- Näyhä, S. Environmental temperature and mortality. Int. J. Circumpolar Heal. 2005, 64, 451–458. [Google Scholar]
- Barnett, A.G.; Hajat, S.; Gasparrini, A.; Rocklöv, J. Cold and heat waves in the United States. Env. Res. 2012, 112, 218–224. [Google Scholar] [CrossRef]
- Gyllerup, S.; Lanke, J.; Lindholm, L.H.; Schersten, B. High coronary mortality in cold regions of Sweden. J. Intern. Med. 1991, 230, 479–485. [Google Scholar] [CrossRef]
- Lee, R. Short-Term Variation: Vital Rates, Prices, and Weather. In The Population History of England 1541–1871: A Reconstruction; Wrigley, E.A., Schofield, R.S., Eds.; Cambridge University Press: Cambridge, England, 1981; pp. 356–401. [Google Scholar]
- Edvinsson, S.; Brändström, A.; Rogers, J.; Broström, G. High-risk families: The unequal distribution of infant mortality in nineteenth-century Sweden. Popul. Stud. 2005, 59, 321–337. [Google Scholar] [CrossRef]
- Bengtsson, T.; Broström, G. Mortality Crises in Rural Southern Sweden 1766–1860. In Demographic Responses to Economic and Environmental Crises; Kurosu, S., Bengtsson, T., Campbell, C., Eds.; Reitaku University: Kashiwa, Japan, 2010; pp. 1–16. [Google Scholar]
- Morand, S.; Owers, K.; Waret-Szkuta, A.; McIntyre, K.M.; Baylis, M. Climate variability and outbreaks of infectious diseases in Europe. Sci. Rep. 2013, 3. [Google Scholar] [CrossRef]
Appendix
Reconstruction of Umeå Temperatures
© 2014 by the authors; licensee MDPI, Basel, Switzerland. This article is an open access article distributed under the terms and conditions of the Creative Commons Attribution license (http://creativecommons.org/licenses/by/3.0/).
Share and Cite
Rocklöv, J.; Edvinsson, S.; Arnqvist, P.; De Luna, S.S.; Schumann, B. Association of Seasonal Climate Variability and Age-Specific Mortality in Northern Sweden before the Onset of Industrialization. Int. J. Environ. Res. Public Health 2014, 11, 6940-6954. https://doi.org/10.3390/ijerph110706940
Rocklöv J, Edvinsson S, Arnqvist P, De Luna SS, Schumann B. Association of Seasonal Climate Variability and Age-Specific Mortality in Northern Sweden before the Onset of Industrialization. International Journal of Environmental Research and Public Health. 2014; 11(7):6940-6954. https://doi.org/10.3390/ijerph110706940
Chicago/Turabian StyleRocklöv, Joacim, Sören Edvinsson, Per Arnqvist, Sara Sjöstedt De Luna, and Barbara Schumann. 2014. "Association of Seasonal Climate Variability and Age-Specific Mortality in Northern Sweden before the Onset of Industrialization" International Journal of Environmental Research and Public Health 11, no. 7: 6940-6954. https://doi.org/10.3390/ijerph110706940
APA StyleRocklöv, J., Edvinsson, S., Arnqvist, P., De Luna, S. S., & Schumann, B. (2014). Association of Seasonal Climate Variability and Age-Specific Mortality in Northern Sweden before the Onset of Industrialization. International Journal of Environmental Research and Public Health, 11(7), 6940-6954. https://doi.org/10.3390/ijerph110706940

