Abstract
Granulatimide and isogranulatimide are alkaloids obtained from marine sources which have been shown to inhibit cell-cycle G2-checkpoint, targeting more particularly checkpoint 1 kinase (Chk1). At a structural level, they possess a characteristic pyrrolocarbazole framework also shared by the well-known rebeccamycin and staurosporine microbial metabolites which have been described to inhibit topoisomerase I and diverse kinases, respectively. This review reports precisely on the synthesis and kinase inhibitory activities of pyrrolocarbazole-based analogues of granulatimide.
1. Introduction
Due to their key function in the phosphorylation of proteins, kinases act pivotally in signal transduction as well as in other cellular processes including metabolism, transcription, proliferation, apoptosis, differentiation and cell cycle progression [1]. With approximately 518 members encoded so far in the human genome, one thinks that at least one kinase is involved in every signal transduction pathway. As a result, kinases appear today as one of the most investigated classes of proteins for drug discovery.
Small molecule kinase inhibitors have thus emerged both as promising molecules for use in cancer therapy and as experimental tools for understanding the physiological role of these enzymes [2–9]. In this way, granulatimide and isogranulatimide, two naturally occurring alkaloids isolated from the marine ascidian Didemnum granulatum, were shown to be potent and selective inhibitors of Chk1 (IC50 values are 0.25 and 0.1 μM, respectively), Chk1 being a key kinase of cell-cycle G2 checkpoint (Figure 1) [10,11].
Figure 1.
Marine pyrrolocarbazoles and related natural compounds.
It is worth recalling here that the combination of a DNA damaging agent with a G2 checkpoint inhibitor constitutes a recent and attractive chemotherapeutic approach for cancer treatment. Indeed, cells respond to DNA damage by activating feedback mechanisms called checkpoints that temporarily delays the cell cycle progression and allows for DNA repair [12]. DNA damage triggers ATM and ATR protein kinases which activate Chk1 and Chk2. These checkpoint kinases, in turn, inactivate CDC25 and prevent Cdc2 activation resulting in cell cycle arrest [13]. A majority of human cancers completely lack a G1 checkpoint because of mutation of the p53 tumor suppressor gene and many cancer cells have a partially defective G2 checkpoint. Accordingly, combination of a DNA damaging agent with a G2 checkpoint inhibitor might promote cell death, by selective killing of p53-mutated tumor cells.
From a structural point of view, granulatimide and isogranulatimide possess a pyrrolocarbazole framework (i.e., heterocyclic system composed of units A, B, C and D) bearing a fused imidazole heterocycle (unit E, Figure 1). Other structurally related pyrrolocarbazoles, such as staurosporine or UCN-01, were also shown to be potent but non selective inhibitors of Chk1. In terms of kinase specificity, it is noteworthy that granulatimide and isogranulatimide also inhibit Cdk1 and GSK-3β, but show less potent inhibitory activity on several other protein kinases [14]. During the last decade, large structure-activity relationship studies were carried out on these compounds, which led to more potent and more selective molecules. Whereas a previous account by Hénon et al. was devoted to pyrrolocarbazoles as Chk1 inhibitors [15], the present review will update and enlarge this topic, focusing on synthesis and kinase inhibition profile of analogues of the marine metabolites.
2. Marine-Related Metabolites and Positional Analogues
Granulatimide and isogranulatimide were first described together with didemnimide E from the ascidian Didemnum granulatum [10,16] (Figure 1). Isogranulatimide was also found in the Caribbean ascidian Didemnum conchyliatum [17] from which didemnimides A-D were isolated before [18]. Later on, reinvestigation of the extracts allowed the isolation of a new related alkaloid, i.e., 6-bromogranulatimide [19]. More recently, Seleghim et al. have addressed the question of the biosynthetic source of the two metabolites granulatimide and isogranulatimide by localizing them within the ascidian. They demonstrated that granulatimide is stored in Didemnum granulatum tunic bladder cells [20].
Since granulatimide and isogranulatimide have been shown to be abrogators of the cell-cycle G2-M phase checkpoint, two efficient synthetic routes have been developed for these compounds (Scheme 1). The first one by Piers et al. proceeded via their putative biosynthetic precursor didemnimide A and was based on the condensation of the substituted imidazole 1 with indole-3-acetamide (route A) [21]. The other one proposed by Yoshida et al. relied on a key Stille coupling reaction between stannylindole 2 and 4-iodoimidazole in the presence of PdCl2(PPh)3 [22] (route B).
Scheme 1.
The synthesis of positional analogues of granulatimide and isogranulatimide were also reported, mainly modified at the level of the imidazole ring. The first derivatives were synthesized by Piers et al. who prepared isogranulatimide A-C and 17-methyl granulatimide 3 by using the synthetic route they defined for the natural product [21] (Figure 2). Among them, the most interesting compounds isogranulatimide B and isogranulatimide C inhibited the G2 checkpoint with IC50 values of 1 and 6 μM, respectively and Chk1 with IC50 of 2.3 and 0.65 μM respectively.
Figure 2.
Marine-related metabolites and positional analogues of granulatimide.
Compound 3 was also published by Yoshida et al. together with 10-methylgranulatimide 4 and the disubstituted 10,17-dimethylgranulatimide 5 [22]. One year later, the same group proposed the positional isomers of the two last ones (6 and 7 respectively) [23]. 10-methyl isogranulatimide (8) which was proven about 15-fold less potent than granulatimide on the G2 checkpoint assay and the 9-hydroxylated analog 9, which did not exhibit a significant activity were also prepared [13].
3. Modification of the Indole Subunit (Units A and B)
The main modifications of the indole moiety consisted of: (i) introduction of substituents, (ii) replacement of this cycle by an azaindole unit, (iii) introduction of a glycosyl moiety attached to the indole nitrogen [15]. All of these compounds were proved to be poor Chk1 inhibitors, the presence of a methyl group on the imide nitrogen may be contributing to this negative result [24].
4. Replacement of the Imidazole Ring (Unit E)
4.1. By a pyrrole or by a second maleimide moiety
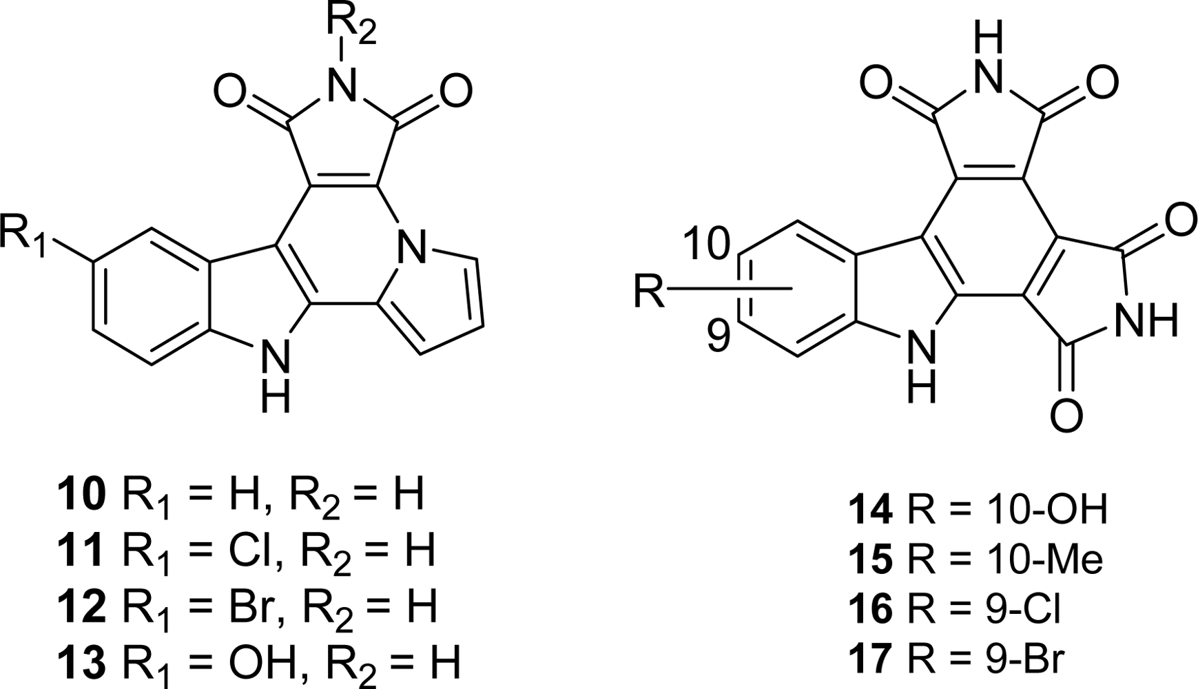
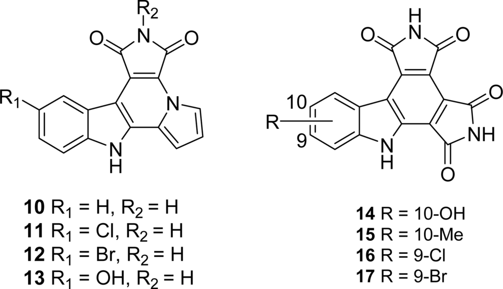
Most of the analogues of granulatimide and isogranulatimide reported so far result from replacement of the imidazole heterocycle by other heterocycles. Among them, both pyrrole derivatives and compounds in which the imidazole ring was replaced by a second maleimide moiety were investigated. As these compounds were intensively recapitulated in Hénon’s review [15], we just report here those which gave the most interesting results regarding their inhibitory activity toward Chk1 and their in vitro cytotoxicities toward four tumor cell lines including L1210, DU145, A549 and HT29 (Figure 3).
Figure 3.
Granulatimide analogues with a pyrrole or a second maleimide moiety replacing the imidazole ring.
In the pyrrole series, compounds 10 to 13 exhibit stronger Chk1 inhibitory activities than granulatimide and isogranulatimide. Moreover, compounds 11 and 12 showed a significant selectivity for Chk1 when evaluated toward a large panel of kinases. There was no correlation between Chk1 inhibitory activities and cytotoxicities, the compounds exhibiting cytotoxicities in the same range than isogranulatimide. It was also proven in this study that in contrast with UCN-01, the new compounds did not bind to DNA [25].
In the second series, compound 14 and 15 exhibited IC50 values of 2 and 8 nM, respectively which makes them more potent Chk1 inhibitors than the natural products. The cytotoxicities toward the tumor cell lines tested including L1210, DU145, A549, HCT116 and HT29 were moderate in the case of all studied compounds except for compounds 15, 16 and 17 [26].
4.2. By a non aromatic five or six-membered-ring moiety
A series of pyrrolocarbazoles 18–26 in which the imidazole heterocycle has been replaced by a five- or a six-membered ring carbocycle bearing one or two carbonyl functions have been published by Conchon et al. [27,28]. The compounds of the series were obtained either on the basis of a Suzuki coupling between 2-N-Boc-indoleboronic acid and 3-bromocyclopent-2-enone or 4-bromo-2,2-dimethylcyclopent-4-ene-1,3-dione followed by a Diels-Alder reaction of the adducts with maleimide (Scheme 2) or via a Diels-Alder reaction between 3-indolylmaleimide or 5-substituted-3-indolylmaleimide and different dienophiles such as cyclopent-2-enone, cyclohex-2-enone, hydroquinone, 2,2-dimethylcyclopentenedione and ethyl cis-β-cyanoacrylate (Scheme 3).
Scheme 2.
(a) Pd(PPh3)4, benzene, EtOH, Na2CO3.(c) maleimide, toluene, sealed tube, 3 days. (c) DDQ, dioxane, rt, 48 h.
Scheme 3.
(a) toluene, sealed tube, 140 °C, 12 h. (b) (1) toluene, reflux 5 days, (2) DDQ, dioxane, reflux, 20 h. (c) (1) NaH, THF TBDMSCl, (2) H2, DMF, Raney nickel, 7 days. (d) toluene, 140 °C, sealed tube, 7 days.
Among the most potent Chk1 inhibitors in this group, quinone 24 and compound 26 with a lactam D ring, exhibited IC50 values of 27 and 24 nM, respectively. This study showed that the d-heterocycle can be replaced by a carbocycle without loss of Chk1 activity. In addition, no parallel was observed between the cytotoxicities and the Chk1 inhibitory activities.
Another pyrrolocarbazole series including compounds 29–53 related to granulatimide was identified as potent poly(ADP-ribose) polymerase-1 (PARP-1) inhibitors. This enzyme is a nuclear enzyme that catalyzes the synthesis of poly(ADP-ribose) chains from NAD+ in response to single-strand DNA breaks as part of the DNA repair process [29,30]. The synthesis of compounds is shown in Scheme 4.
Scheme 4.
(a) n-BuLi, THF, −78 °C to 20 °C, then CO2(g). (b) t-BuLi, THF, −78 °C to 20 °C, then cyclopentanone. (c) 2M HCl, acetone, rt. (d) cis-EtO2CCH=CHCN, PhCl, 125 °C. (e) DDQ, toluene, 60 °C. (f) H2, Ra-Ni, DMF, rt. (g) NCS or NBS, DMF, rt. (h) maleimide, tetrachloroquinone, neat, 190 °C. (i) dimethyl acetylenedicarboxylate, 150 °C, 64 h. (j) (1) 10N NaOH in EtOH, reflux, 3 h, (2) Ac2O, 73 h, (3)(TMS)2NH/MeOH, DMF, 73 °C, 4 h.
The key diene 27 was prepared by sequential deprotonation of indole with n-BuLi, followed by treatment with carbon dioxide. Removal of excess CO2 and treatment with t-BuLi and cyclopentanone gave the tertiary alcohol which was dehydrated with hydrochloric acid to give 27. Diels-Alder reaction of 27 with maleimide followed by DDQ oxidation gave the pyrrolocarbazole 29 whereas the interaction of 27 with cis-ethyl-3 cyanoacrylate in chlorobenzene led to a mixture of two nitrile-ester regioisomers which were separated. Subsequent DDQ oxidation of the so-obtained cycloadducts gave the corresponding derivatives 30 and 31. Reduction of the nitrile function and spontaneous cyclization gave lactams 32 and 33, respectively. Compound 33 was then submitted to diverse reaction conditions to give various analogues 34–52. It is worth noting that the analog 53, which did not feature the pyrrolocarbazole skeleton, was obtained by using a similar sequence of reactions. All the compounds prepared in this study were evaluated as inhibitors of recombinant human PARP-1. The results for compounds 29–53 reported in Table 1 are not exhaustive.
Table 1.
PARP in vitro activity of pyrrolocarbazole.
| Compound | A | B | R | PARP-1 IC50 (nM) |
|---|---|---|---|---|
| 29 | - | - | 36 | |
| 33 | H | H | H | 56 |
| 34 | H | H | Cl | 120 |
| 35 | H | H | Br | 30 |
| 36 | H | H | CN | 18 |
| 37 | H | H | CH2NH2 | 27 |
| 38 | H | H | Me | 200 |
| 39 | H | H | CO2H | 80 |
| 40 | H | H | CO2Me | 59 |
| 41 | H | H | CONH-(CH2)2-NMe2 | 165 |
| 42 | H | H | CONH-(CH2)2-morpholin-4-yl | 162 |
| 43 | H | H | CO-morpholin-4-yl | 83 |
| 44 | H | H | CON(Me)-CH2-pyrid-4-yl | 65 |
| 45 | H | H | CON(Me)-CH2-pyrid-2-yl | 237 |
| 46 | H | H | CON(Me)-(CH2)2-imidazol-4-yl | 161 |
| 47 | H | H | CONH-(CH2)2-triazol-1-yl | 105 |
| 48 | H | H | CH2NHCOCH-(NHBoc)[(CH2)4NHBoc] | 670 |
| 49 | H | H | CH2NHCOCH-(NH2)[(CH2)4NH2] | 80 |
| 50 | H | Me | H | 800 |
| 51 | Me | Me | H | 10,000 |
| 52 | CHO | H | H | 3,000 |
| 53 | - | - | 40 |
Table 2.
Structure-in vitro activity relationships for some indolocarbazole analogues against human topoisomerase I and murine P388 leukemia cells.
| Compound | X | R | Topoa | P388b | R/Sc | |
|---|---|---|---|---|---|---|
| rebeccamycin | NH | H | >500 | 0.54 | 1.26 | |
| 128 | 2,10-diF | NH | H | 2.0 | 0.26 | 8.7 |
| 129 | 3,9-diF | NH | H | 0.22 | 0.018 | 182.7 |
| 130 | 2,3,9,10-tetraF | NH | H | 0.69 | 0.007 | 67.1 |
| 131 | 2,3,9,10-tetraF | NMe2 | H | >600 | >8.72 | >1.1 |
| 132 | 3-F | NH | H | 6.6 | 1.036 | >905 |
| 133 | 2-F | NH | H | 3.1 | 0.392 | 4.6 |
| 134 | 10-F | NH | H | >200 | 0.098 | 11.4 |
| 135d | 9-F | NH | H | 1.7 | 0.101 | 31.7 |
| 136 | 3-F | S | H | 2.2 | 0.155 | >51.3 |
| 137 | 3,9-diF | S | H | 0.09 | 0.010 | 232.5 |
| 138 | 3-F | O | H | 1.5 | 0.529 | 13.6 |
| 139 | 3,9-diF | O | H | 0.27 | 0.114 | 63.7 |
| 140 | 3,9-diF | NH | NH2 | 0.22 | 0.020 | 196.9 |
| 141 | 3,9-diF | NH | OH | 0.08 | 0.035 | 19.6 |
| 142 | 3,9-diF | NH | Me | 1.0 | 0.862 | >10.8 |
| 143 | 3,9-diF | S | Me | 0.48 | 0.236 | 14.1 |
| 144e | 3,9-diF | NH | H | 0.28 | 0.326 | 28 |
| 145e | 3,9-diF | S | H | 0.46 | 0.068 | >115 |
| 146 | 3,9-diF | NH | H | 0.11 | 0.002 | 380 |
aRatio of the median effective concentration (EC50, μM) of compounds for inducing single-strand breaks in the DNA substrate divided by that obtained for CPT in the same experiment. CPT mean topo I EC50 = 160 nM.
bMean cytotoxic concentration (IC50, μM) following 3 days of continuous exposure of compound to P388 murine leukaemia cells. CPT mean P388 IC50 = 36 nM.
cRatio resulting from the cytotoxicity IC50 value obtained for CPT-resistant P388/CPT45 cells divided by that obtained for parental P388 cells.
dInseparable mixture with 132.
eBoth 144 and 145 are 6’-NH2 analogues.
© 2009 by the authors; licensee Molecular Diversity Preservation International, Basel, Switzerland This article is an open-access article distributed under the terms and conditions of the Creative Commons Attribution license (http://creativecommons.org/licenses/by/3.0/).
For example, different structures comprising different moieties instead of the cyclopentyl cycle E were also studied but they did not exhibit any inhibitory activity against the enzyme suggesting that this cycle is required for potency and fits into a catalytically active steric pocket of the enzyme. Data in Table 1 show an essential H-bonding interaction of both indole and lactam NH-groups within the active site of the enzyme. An open pocket near the active site corresponding to the 3 and 4 positions of the carbazole template allowed development of a SAR around this region, nevertheless this B ring is not required for activity.
4.3. By another aryl or heteroaryl ring moiety
Different analogues of granulatimide modified at the imidazole unit by an other aryl or heteroaryl ring have been proposed. In order to define new Cyclin D1-CDK4 inhibitors, Lilly Research Laboratories investigated a first series of analogues 54–64 [31] (Scheme 5).
Scheme 5.
(a) t-BuOK, THF, 0°C to rt. (b) benzene, hν, reflux or dioxane, DDQ, hν, reflux or acetone, hν, 35 °C or Pd(OAc)2, AcOH.
Cyclin-CDK complexes regulate the progression of cells through the cell cycle, a G1-phase role being suggested for d-type cyclins through association with CDK4 and CDK6. Since abberations in CDKs and their regulators have been found in a large percentage of human tumors, inhibitors of these cyclin-CDK complexes might have a broad range of therapeutic applications in cancer. The preparation of the compounds was accomplished following Faul’s general synthetic route to access the 3-heteroaryl-4-indolyl maleimides which were cyclized either by using APTS as catalyst or by oxidative photochemistry [32,33]. Their inhibitory activity against cyclin D1-CDK4 was evaluated. From all the compounds, the naphtyl[2,1-a] derivative 54 was proven to be a potent and selective inhibitor (IC50 = 45 nM).
From a second series 65–79, in which the [3,4-c]carbazole core was fused with a quinolyl or isoquinolyl moiety, compound 68 was found to be the highest potent D1-CDK4 inhibitor with an IC50 of 69 nM (Figure 4). This last compound inhibited tumor cell growth, arrested tumor cells in G1-phase and inhibited pRb phosphorylation [34]. In 2005, Routier et al. were interested in pyrrolocarbazole-fused naphthalenes and reported an efficient route to these family of compounds 81 involving palladium-catalyzed reactions to prepare them (Scheme 6) [35].
Figure 4.
Granulatimide analogues with different aromatic moieties instead of the imidazole ring.
Scheme 6.
(a) Pd(OAc)2, K2CO3, dioxane/H2O, 100 °C. (b) Tf2O, Et3N, CH2Cl2. (c) Pd(OAc)2, PPh3, Bu4NCl, NaOAc, dioxane, 100 °C. (d) Bu4NF, THF, reflux.
The introduction of a 2-hydroxynaphthyl group on 2-bromo-3-indolomaleimide was performed using a Suzuki or Stille coupling reaction with adequate palladium catalysts. The activation of the naphthyl as a naphthyl triflate was realized before the central six-membered ring was obtained through an elegant intramolecular Heck reaction. Different related compounds were prepared either by functionalizing the free indolic nitrogen of 80, or by performing substitutions on the maleimide group. Some of these molecules showed marked cytotoxicity toward cancer cells including L1210, DU145 and HT29 with IC50 values in the sub-micromolar range. DNA binding likely contributes to the antiproliferative activity of the most cytotoxic compounds. However, no kinase inhibition was detected in this group of compounds. A second series 82–89 in which the imidazole ring was replaced by a phenyl group and including indolic substitution and maleimide variations was proposed by the same group [36] (Figure 5).
Figure 5.
Phenylpyrrolocarbazoles proposed by Routier et al.
The compounds were prepared according to the previously described synthetic scheme, the final intramolecular key Heck-type reaction being carried out with either a triflate or a brominated derivative. Several compounds showed a marked cytotoxicity against CEM human leukemia cells with IC50 values in the 10–100 nM range. Although cell cycle analysis, topoisomerase I inhibition, interaction with DNA and inhibition of CDK activity were evaluated, the exact molecular targets of these molecules remain undiscovered. In their work to define new checkpoint kinase inhibitors, Conchon et al. were also interested in dihydroxy-phenylcarbazoles 90–92 which were prepared by reduction of the corresponding quinonic compounds 22–24 [27] (Figure 6).
Figure 6.
Dihydroxyphenylcarbazoles.
These derivatives were shown to be potent inhibitors of the enzyme (IC50 0.311, 0.161 and 0.023 μM, respectively) exhibiting Chk1 inhibitory properties very close to their analogues 22–24. In 2004, during the course of their studies for developing ruthenium complexes that target the ATP-binding site of protein kinases, Meggers and his co-workers were interested in a granulatimide analogue 93 in which the imidazole ring has been replaced by a pyridinic ring (Figure 7). This cyclopentadienyl half sandwich ruthenium complex was tested as a racemic mixture against a panel of protein kinases and was thus identified as an extremely potent inhibitor for GSK-3 (IC50 of 3 nM for GSK-3α and 10 nM for GSK-3β), being 15,000 times more active than the ligand itself [37]. It is worth precising here that GSK-3 (glycogen synthase kinase-3) has been shown to be a key component of a diverse range of cellular processes including the regulation of glycogen metabolism or signal transduction in the insulin and wnt signal pathways [38].
Figure 7.
Pyridopyrrolocarbazole half-sandwich ruthenium complex.
They also reported another ruthenium complex 94 which is a highly potent inhibitor for the enzyme and demonstrated that this compound can switch on the wnt signal transduction pathway inside living cells and in Xenopus embryos (wnt is a secreted glycoprotein which initiates the phosphorylation of β-catenin) [39]. Later on, they performed two synthetically routes to pyrrolocarbazole-fused pyridines including either an oxidative or nonoxidative photocyclisation step, the second one being specially useful for the preparation of such analogs [40] (Scheme 7).
Scheme 7.
(a) 4-methoxyphenylhydrazine.HCl, t-BuOH, reflux, 4 h. (b) trimethylsilylpolyphosphate, 120°C, 18h. (c) BBr3, CH2Cl2, – 60 °C, then r.t., overnight. (d) (1) Hünig's base, DMF,0 °C, 40 min, (2) TBSOTf, 0 °C, 1 h. (e) (1) LiHMDS, THF, – 15 °C, 45 min, (2) maleimide derivative in THF, – 15 °C for 15 min, (3) r. t. for 45 min. (f) hν, pyrex filter, MeCN, 3 h.
In an attempt to improve the selectivity profile for GSK-3, this group achieved a simple structure-activity relationship study, starting by modifying the indole moiety and the cyclopentadienyl ligand of the half sandwich scaffold 93. The synthesis of one compound is shown in Scheme 8.
Scheme 8.
(a) [(C6H6)RuCl2]2. (b) (1) hν, MeCN, (2) CO.(c) PhMe3NBr3, rt. (d) (1) K2CO3 (2) TBAF.
Synthon 99, obtained by regioselective bromination of the pyridocarbazole ligand 98 was reacted in presence of K2CO3 with cyclopentadienyl derivative 97, itself prepared in two steps from (methylcarbonyl)cyclopentadienyl sodium 95. Removal of the TBS group of the adduct yielded ruthenium complex 100. After resolution of the racemic mixture, compound (R)-100 was identified as the most selective derivative of GSK-3 (IC50 of 0.35 nM for GSK-3α and 0.55 nM for GSK-3β) against a panel of 57 protein kinases [41].
An efficient method involving an organoruthenium compound bearing a N-succinimidyl ester at the cyclopentadienyl moiety was then developed for the rapid modification of the cyclopentadienyl moiety of ruthenium half sandwich protein kinase inhibitors. The quenching of this activated ester with different amines led to the identification of Pim-1 and GSK-3 inhibitors with improved potencies and selectivities, respectively, compounds 101 and 102 [42] (Scheme 9).
Scheme 9.
A strategy that allows a rapid scanning of ligands around the ruthenium center in the search for ligand spheres that are complementary in shape and functional group presentation to ATP binding sites of individual protein kinases was presented [43]. Following this approach, octahedral ruthenium complexes 104–106, prepared from precursor 103 were identified as potent inhibitors for the protein kinases Pim-1, MSK-1 and GSK-3α (Scheme 10).
Scheme 10.
(a) CO-saturated DMF at 75 °C for 1.5 h then addition of 1 equiv of 2-aminomethylpyridine, 95 °C, 1 h. (b) (1) 1 equiv of 1,4,7-trithiacyclononane, DMF, 80 °C, 45 min (2) CO-saturated DMF, 95 °C, 2 h. (c) (1) 1 equiv of 1,4,7-trithiacyclononane, DMF, 80 °C, 1 h, (2) addition of 1 equiv of NaN3, 90 °C, 1 h.
In 2008, Meggers’s group reported compound (RRu) 107 containing a fluorine substituent on the pyridinic ring, to be an extremely high-affinity GSK-3 inhibitor (IC50 < 0.04 nM) (Figure 8) [44]. This compound was proven to perfectly complement the shape of the ATP-binding site making it one of the most potent protein kinase inhibitors reported to date.
Figure 8.
Fluoropyrido- and isoquinolino-pyrrolocarbazole half-sandwich ruthenium complex.
More recently, the organoruthenium complex 108 in which the pyridinic ring has been replaced by an isoquinolic ring was proposed by Anand et al. to be a potent and selective Mammalian Sterile 20 kinase (MST-20) inhibitor [45]. This enzyme is a proapoptotic cytosolic kinase that plays an important role in diverse biological processes including the cellular response to oxidative stress.
4.4. By a second indole ring
Granulatimide analogues in which the imidazole moiety is replaced by a second indole ring are compounds also structurally very close to rebeccamycin and staurosporine antibiotics. These two compounds, isolated, respectively, from cultures of Saccharotrix aerocologines [46] and Streptomyces [47,48] differ by the sugar linked to only one indole nitrogen in rebeccamycin which contains also an imide function instead of amide function in the upper heterocycle. From a biological point of view, these disparities seem crucial in the sense that the target of these microbial metabolites are quite different. Rebeccamycin has been demonstrated to inhibit topoisomerase I, by stabilizing the enzyme-DNA interaction via a “cleavable complex”, but appeared to be inactive against PKC and PKA [49]; on the contrary, staurosporine is a non selective kinase inhibitor without activity against topoisomerases [50–53]. Large structure-activity relationship studies were carried out on these pyrrolocarbazole-fused indoles which were previously reviewed [54,55]. In the following, only works realized since 2003, will be treated.
New rebeccamycin-related metabolites issued from natural source have been described including 6-hydroxystaurosporine 109 and 5,6-dihydroxyarcyriaflavin A 110 which were isolated from field-collected fruit bodies of a myxomycetes Lycogala epidendrum [56] (Figure 9).
Figure 9.
New natural indolocarbazole analogues.
These compounds showed interesting cytotoxicity against HeLa, Jurkat, and vincristine resistant KB/VJ300 cells, compound 109 also inhibiting protein tyrosine kinase activity. In continuation of their work devoted to the design of potent and selective cyclin D1/CDK4 inhibitors, workers at Lilly Research Laboratories investigated a series of [6,7-a]pyrrolo[3,4-c]carbazoles 111 substituted on the indolic nitrogens or on the indolic rings as well as other series 112–115 bearing different groups at N13 and C12 positions to improve aqueous solubility [57] (Figure 10). These compounds were prepared according to Faul’s synthetic scheme requiring new methods to access to 7-substituted indole acetamides and N-methyl(indol-7-yl)oxoacetates [58].
Figure 10.
Indolo[6,7-a] pyrrolo[3,4-c]carbazoles.
In addition to their potent CDK activity, the compounds displayed antiproliferative activity against two human cancer cell lines, i.e., HCT-116 and H460. These inhibitors also effected strong G1-arrest in these cell lines and inhibited Rb phosphorylation consistent with inhibition of cyclin D1-CDK4. In continuous effort to optimize pharmacokinetic properties of these inhibitors, the pharmaceutic group went on exploring four series 116–119 of novel analogues by introducing a 1,7-annulated ring in one of the indole moiety [59,60] (Figure 11).
Figure 11.
1,7-Annulated indolocarbazoles.
The compounds were obtained by submitting different 1,7-annulated indolyl-3-glyoxylates to Faul’s procedure. They all exhibited potent inhibitory activity against cyclin D1-CDK4 and good antiproliferative activity against HCT-116.
In the course of structure-activity relationship studies, Prudhomme and co-workers prepared by semi-synthesis from rebeccamycin, new indolocarbazole analogues 120–126 substituted in 3,9-positions on the indolecarbazole framework along with the 2’,3’-epoxyderivative 127 (Figure 12) [61].
Figure 12.
Indolocarbazole analogues substituted in 3,9-positions and 2’,3’-epoxyderivative 127.
The antiproliferative activities were assayed for these compounds against nine tumor cell lines and the effects on the cell cycle of murine leukaemia L1210 cells was examined. Their topoisomerase I inhibitory activity both with their activity toward three kinases including PKCζ, CDK1/cyclin B and CDK5/p25 were also evaluated. Among the different compounds of these series, the diphenol 125 was the most efficient toward CDK1/cyclin B and CDK5/p25 and appeared also to be a DNA-binder and a topoisomerase I poison. All these activities likely accounted for its cytotoxic potential.
Another series of rebeccamycin analogues 128–145 fluoro-substituted in the same 3,9 and/or 2,10-positions of the carbazole core was studied by Balasubramanian et al. with respect to their topoisomerase I activity, cytotoxicity, selectivity and in vivo antitumor activity [62] (Table 2).
The different fluorinated cores were obtained either via a stepwise addition of an appropriately substituted indole-based Grignard reagent (e.g., 128–135, 140–142) to a dihalomaleimide followed by oxidative cyclization or by using the Fischer indole process as an attractive alternative for the preparation of both benzofurane- and benzothiophene-fused pyrrolocarbazole analogs 136–139 and 143 (Scheme 11).
Scheme 11.
(a) 3M EtMgBr in THF, PhH, 80 °C. (b) DDQ, APTS, PhH, 80 °C. (c) hν, cat. I2, air, PhH, 80 °C. (d) NaOEt, EtOH, ClCH2CH(OEt)2, rt. (e) PPA, PhCl, 100 °C. (f) nBuLi, CH3CHO, THF/Et2O (1/1), −78 °C to 0 °C. (g) PCC, CH2Cl2, celite, rt. (h) EtOH, NaOAc, 75 °C. (i) 3M EtMgBr in THF, THF. (j) hν, EtOH, dioxane, 100 °C
The introduction of the sugar moiety was finally realized using well established glycosylation procedures. Two additional compounds 144 and 145 being 6’-NH2 analogues of 129 and 137 respectively, were also prepared in order to solve solubility problems. Emerging from this series as a potential clinical candidate was compound 145 which exhibited in vitro topoisomerase I mediated cleavage activity and topoisomerase I selective cytotoxic profile with improved solubility and pharmacokinetic behaviour. In continuation of this work and considering that the introduction of a 3,9-difluoro substitution pattern on the indolocarbazole core confers topo I selectivity, the same group proposed a new series of analogues similarly fluorosubstituted in the carbazole framework but also fluoroglycosylated [63]. The introduction of fluorine into the 2’, 4’ and 6’ positions of the sugar portion of the molecule was accomplished both pre- and post-glycosylation. From this series, compound 146 displayed a broad spectrum antitumor activity (superior to CPT-11!) against some preclinical xenograft models, including curative antitumor activity against Lewis lung carcinoma, and was consequently chosen as a lead clinical candidate (Table 2).
Since the sugar moiety is often the critical determinant of the key biological activity of indolo[2,3-a]carbazoles, inhibition of protein kinases for compounds containing two glycosidic bonds (e.g., staurosporine) or DNA-binding and antitumor properties for compounds with only one glycosidic linkage (e.g., rebeccamycin), this element of structure has been extensively investigated. In 2003, Anizon et al. reported a chlorinated (147–151, 160) and a dechlorinated (152–159, 161) series of rebeccamycin analogues bearing diverse substituents on the sugar moiety [64] (Figure 13).
Figure 13.
Rebeccamycin analogues bearing different substituents on the sugar moiety.
Their interaction with DNA and their effects on human DNA topoisomerases I and II were studied. The incorporation of a 6’-amino group reinforces the capacity of the drugs to interact with DNA but almost abolishes their poisoning effect on topoisomerase I suggesting that DNA and topoisomerase I represent two independent targets.
Another series of pyrrolocarbazole-fused indole analogues that lack the aryl chlorine group and in which the 4-O-methylglucose moiety has been replaced by a naturally occurring sugar including d-glucose (165a), d-galactose (165b), l-fucose (165c), l-rhamnose (165d), d-xylose (165e) and d-maltose (165f) was described by Faul et al. [65]. These compounds were prepared according to an efficient two-step process via the indole-indoline intermediate 163 which was obtained by performing at 0 °C an intramolecular Mannich process starting from precursor 162. Compound 163 was glycosylated and the resulting products were oxidized in a one-pot procedure (Scheme 12).
Scheme 12.
Compounds 165a–f were evaluated for their D1-CDK4 inhibitory activity. In addition, other assays such as B-CDK1, E-CDK2, PKA and CAM II were also conducted to determine their selectivity profile. All the compounds demonstrated good inhibitory activity for D1-CDK4 and they also showed improved selectivity toward several other kinases, the l-rhamnose derivative 165d being found to be the most selective and potent analogue for D1-CDK4 (IC50 = 76 nM). More recently, Zhang and co-workers investigated rebeccamycin analogues containing uncommon sugars [66]. They proposed four groups of compounds 167–177 depending on the substituent on the imide nitrogen (Figure 14).
Figure 14.
Rebeccamycin analogues with uncommon sugar.
Their cytotoxicities against colon cancer and leukaemia cells together with their ability to target topoisomerase I were examined. Compared with the aglycon 166, the modified compounds showed more potent cytotoxicities and topoisomerase I targeting ability. The better activities of compounds 167, 173, 169 and 174 imply that the 2- and 6-OH groups may have a more significant role than other OH groups in the sugar unit. In addition, the cytotoxicities of these compounds clearly correlated with the inhibition of topo I suggesting that the sugar moiety, especially the 2- and 6-positions, is a key element for the activity.
During their work to identify novel potential inhibitors of Chk1 related to the indolocarbazoles 178 and 179 [67], Gribble et al. have synthesized and tested two new nitrile homologues 180 and 181 and an amide analogue 182 [68] (Figure 15). This series of compounds can be considered both as granulatimide analogues in which the imidazole ring has been replaced by a second indole ring or as rebeccamycin analogues in which the sugar part was replaced by a functional chain.
Figure 15.
Rebeccamycin analogues substituted on the indole nitrogens.
All the compounds were obtained by adapting the methodology previously described by Faul et al. [69,70] in which the construction of the bisindolyl maleimide was realized by condensation of indole-3-acetamide with methyl indole-3-glyoxylate (Scheme 13).
Scheme 13.
In the case of compound 182, the amide-chain was attached on the indole-3-acetic acid fragment in order to circumvent solubility problems. In an assay using flow cytometry analysis, compounds 180, 181 and 182 were found less potent (3 μM, 10 μM and 1–3 μM respectively) than compound 179 (100 nM) at abrogating DNA damage-induced cell cycle arrest. These values were compared to the efficiency of 178 of 30 nM in the same assay. From these results, it was found that a three-carbon nitrile chain provided maximum activity and that the cyano group was a more desirable functionality than the amide.
In the course of their structure-activity relationship studies, by using the same methodology, the same group then prepared the two hydrochloride compounds 183 and 184, as other amine-analogues [71]. Compound 184 was proved to abrogate S-phase arrest at 100 nM indicating that it inhibits Chk1 whereas compound 183 was found inactive in the same flow cytometry assay.
One of the modifications in rebeccamycin structure previously described by Routier and cols. [72,73], but since extensively studied by Prudhomme and her group, is the bioisosteric replacement of an indole moiety by a 7-azaindole unit [74]. They have first been interested in a series of compounds 185–191 containing one azaindole unit with or without a methyl group on the imide nitrogen and with the sugar moiety linked either to the indole nitrogen or to the azaindole nitrogen (Figure 16).
Figure 16.
7-Azarebeccamycin analogues bearing one or two azaindole moieties and dechlorinated rebeccamycin analogues B and C.
In a second series of analogues 192–193, the two indole moieties of rebeccamycin were replaced by two aza-indole units (Figure 16). The compounds were synthesized according to strategies already described. Depending on the expected product, the sugar part was introduced before or after the cyclization which formed the central benzenic ring (i.e., unit C). In the case of post-glycosylation approach, the substitution of the 9-indole hydrogen was realized in the last step. The DNA-binding and topoisomerase I inhibition properties of the new compounds were investigated together with the antiproliferative activities toward nine tumor cell lines and their effects on the cell cycle of L1210 leukemia cells. In contrast to their non-azaanalogues (rebeccamycin, dechlorinated rebeccamycin B and compound C), which were cytotoxic for all the cell lines tested, the azaanalogues showed a selective action toward certain cell lines in the nanomolar range. All compounds induced similar cell cycle effects, with a marked G2+M block observed with L1210 leukemia cells. In addition, the sugar unit linked to the indole moiety promoted higher affinity for DNA whereas compounds with the sugar linked to the azaindole moiety have lost their DNA-binding affinity. In these series, a good correlation between DNA binding and topoisomerase I inhibition was observed. These data suggest the possibility of targets other than DNA and topoisomerase I for the azaanalogues.
The next step in the investigation of 7-azarebeccamycin related compounds was the study of bridged azaanalogues, namely compounds with both indole and azaindole moieties linked to the carbohydrate residue (Scheme 14).
Scheme 14.
A previous report described the preparation of compound 194 which could be achieved by coupling a chloro sugar moiety previously tosylated in 2’-position to the corresponding azaindolocarbazole aglycone and subsequent reaction with sodium azide in DMF [75] (Figure 17). A series of compounds 195–197 bearing a free imide nitrogen and in which the oxygen of the pyranose heterocycle is oriented toward either the indole or the azaindole unit was then proposed [76]. The same methodology was applied to synthesize the derivative 196 using a 2’-tosylated instead of a 2’-chloro glycosyl donor. No data on cytotoxicity and inhibitory activities of these compounds towards various kinases are available so far.
Figure 17.
Bridged aza-rebeccamycin analogues.
In the next proposed series, the modifications have been carried out together on the upper heterocycle (introduction of substituents on the imide nitrogen or replacement of the imide by a lactam function), on the carbazole framework and the sugar part, this last unit being linked either to the azaindole moiety (198–202) or to the indole (203–208) [77] (Figure 18).
Figure 18.
7-Aza-rebeccamycin analogues with various substituents on the sugar moiety, on the imide nitrogen, on the carbazole framework or on the nitrogen of the pyridine ring.
The cytotoxicities of these compounds toward four tumor cell lines including L1210, A549, DU145 and HT29 showed that compared with the parent compounds, the modifications on the new analogues are not detrimental to the in vitro activities. As shown in the case of previous series, when the sugar part was linked to the indole moiety, the affinity for DNA and topoisomerase I inhibition were highly enhanced compared with non-aza parent compounds whereas, when the sugar was attached to the azaindole, the affinity for DNA and topoisomerase I inhibition were highly decreased. Nevertheless, strong cytotoxicities were observed toward certain cell lines, probably due to other targets.
In the last series of azaanalogues examined by Prudhomme’s group 209–211, the sugar moiety was linked to the nitrogen of the pyridine ring [78] (Figure 18). These products were obtained as byproducts in the course of the synthesis of 7-azaanalogues, precisely during the final Mitsunobu-type glycosylation step. The binding to DNA appeared enhanced in the case of these new compounds. However, as observed with other rebeccamycin analogues, the DNA-binding affinity was not correlated with topoisomerase I inhibitory properties. It seemed also, from a Chk1 inhibitory point of view which was also examined in this series, that the shifting of the sugar from the nitrogen of the indole to the nitrogen of the pyridine increased the effect.
5. Granulatimide Analogues in Which the D and E Rings Are Modified or Absent
In the course of structure-activity relationship studies on granulatimide as Chk1 inhibitors, substituted pyrrolocarbazoles 212–215 in which the upper imide-type unit D is missing and pyrrolocarbazoles 216 and 217, in which the imidazole unit E is missing were investigated [79] (Figure 19).
Figure 19.
Granulatimide analogues in which the D and E rings are modified or absent.
The compounds of the first series were synthesized via compound 212 itself obtained by reaction of ethyl-3-oxo-(1H-indol-3-yl)propionate and N-BOM-dibromomaleimide whereas the derivatives of the second series were prepared on the basis of a Diels-Alder reaction between indolylmaleimide and ethyl acrylate. Concerning biological activities, it appeared that compounds in which the upper unit D was missing, were poor Chk1 inhibitors suggesting that this ring is required for Chk1 inhibition. In contrast, the lower heterocyclic unit E is not absolutely required for Chk1 inhibition. Moreover, it seems that substitution of the imide nitrogen with a hydroxymethyl group was not detrimental to Chk1 inhibitory activity.
6. Conclusions
Most of the granulatimide derivatives clearly represent a promising class of antitumor agents due to their potent inhibitory activity against different kinases. Recent reports on indolocarbazole analogues have shown that minimal structural modifications are able to modify both the biological targets and induce selectivity towards tumor cell lines. For instance, substitutions in 3,9-positions of the rebeccamycin framework may induce strong inhibitory properties toward various kinases and selectivity toward the tumor cell lines. The same observation is also valuable in the case of pyrrolocarbazole analogues which means that it could be of interest in these carbazole series to evaluate systematically the different compounds toward a large panel of kinases, such a profile of kinase selectivity being obtainable thanks to modern high-throughput technologies [80,81].
References
- Manning, G; Whyte, DB; Martinez, R; Hunter; Sudarsanam, TS. The protein kinase complement of the human genome. Science 2002, 298, 1912–1934. [Google Scholar]
- Garcia-Echeverria, C; Traxler, P; Evans, DB. ATP site-directed competitive and irreversible inhibitors of protein kinases. Med Res Rev 2000, 20, 28–57. [Google Scholar]
- Sielecki, TM; Boylan, JF; Benfield, PA; Trainor, GL. Cyclin-dependent kinase inhibitors: useful targets in cell cycle regulation. J Med Chem 2000, 43, 1–18. [Google Scholar]
- Traxler, P; Bold, G; Buchdunger, E; Caravatti, G; Furet, P; Manley, P; O’Reilly, T; Wood, J; Zimmermann, J. Tyrosine kinase inhibitors: from rational design to clinical trials. Med Res Rev 2001, 21, 499–512. [Google Scholar]
- Toogood, PL. Cyclin-dependent kinase inhibitors for treating cancer. Chem Rev 2001, 101, 2541–2572. [Google Scholar]
- Bridges, AJ. Chemical inhibitors of protein kinases. Chem Rev 2001, 101, 2541–2572. [Google Scholar]
- Scapin, G. Structural biology in drug design: selective protein kinase inhibitors. Drug Discov 2001, 7, 601–611. [Google Scholar]
- Sridhar, R; Hanson-Painton, O; Cooper, DR. Protein kinase as therapeutic targets. Pharm Res 2000, 17, 1345–135. [Google Scholar]
- Zhang, J; Yang, PL; Gray, NS. Targeting cancer with small molecule kinase inhibitors. Nat Rev Cancer 2009, 9, 28–39. [Google Scholar]
- Berlinck, RGS; Britton, R; Piers, E; Lim, L; Roberge, M; Moreira da Rocha, R; Andersen, RJ. Granulatimide and isogranulatimide, aromatic alkaloids with G2 checkpoint inhibition activity isolated from the brazilian ascidian Didemnun granulatum: structure elucidation and synthesis. J Org Chem 1998, 63, 9850–9856. [Google Scholar]
- Jiang, X; Zhao, B; Britton, R; Lim, LY; Leong, D; Sanghera, JS; Zhou, BBS; Piers, E; Andersen, RJ; Roberge, M. Inhibition of Chk1 by the G2 DNA damage checkpoint inhibitor isogranulatimide. Mol Cancer Ther 2004, 3, 1221–1227. [Google Scholar]
- Zhao, S; Weng, Y-C; Yuan, S-SF; Lin, Y-T; Hsu, H-C; Lin, S-CJ; Gerbino, E; Song, M-H; Zdzienicka, P. Functional link between ataxia-telangiectasia and nijmegen breakage syndrome gene products. Nature 2000, 405, 473–476. [Google Scholar]
- Curman, D; Cinel, B; Williams, DE; Rundle, N; Block, WD; Goodarzi, AA; Hutchins, JR; Clarke, PR; Zhou, B-B; Lees-Miller, SP; Andersen, RJ; Roberge, M. Inhibition of the G2 DNA damage checkpoint and of protein kinases Chk1 and Chk2 by the marine sponge alkaloid debromohymenialdisine. J Biol Chem 2001, 276, 17914–17919. [Google Scholar]
- Zhao, B; Bower, MJ; McDevitt, PJ; Zhao, H; Davies, ST; Johanson, KO; Green, SM; Concha, NO; Zhou, BBS. Structural basis for Chk1 inhibition by UCN-01. J Biol Chem 2002, 277, 46609–46615. [Google Scholar]
- Hénon, H; Conchon, E; Hugon, B; Messaoudi, S; Golsteyn, RM. Prudhomme. Pyrrolocarbazoles as checkpoint 1 kinase inhibitors. Anti-Cancer Agents Med Chem 2008, 8, 577–597. [Google Scholar]
- Roberge, M; Berlinck, RGS; Xu, L; Anderson, HJ; Lim, LY; Curman, D; Stringer, CM; Friend, SH; Davies, P; Vincent, I; Haggarty, SJ; Kelly, MT; Britton, R; Piers, E; Andersen, RJ. High-throughput assay for G2 checkpoint inhibitors and identification of the structurally novel compound isogranulatimide. J Cancer Res 1998, 58, 5701–5706. [Google Scholar]
- Vervoort, HC; Fenical, W; Keifer, PA. A cyclised didemnimide alkaloid from the Caribbean ascidian Didemnum conchyliatum. J Nat Prod 1999, 62, 389–391. [Google Scholar]
- Vervoort, HC; Richards-Gross, SE; Fenical, W; Didemnimides, A-D. Novel predator-deterrent alkaloids from the carribean mangrove ascidian Didemnum conchyliatum. J Org Chem 1997, 62, 1486–1490. [Google Scholar]
- Britton, R; de Oliveiras, JHHL; Andersen, RJ; Berlinck, RGS. Granulatimide and 6-bromogranulatimide, minor alkaloids of the brazilian ascidian. Didemnum granulatum J Nat Prod 2001, 64, 254–255. [Google Scholar]
- Seleghim, MHR; De Lira, SP; Campana, PT; Berlink, RGS; Custodio, MR. Localization of granulatimide alkaloids in the tissues of the ascidian. Didemnum granulatum Ma Biol 2007, 150, 967–975. [Google Scholar]
- Piers, E; Britton, R; Andersen, RJ. Improved synthesis of isogranulatimide, a G2 checkpoint inhibitor synthesis of didemnimide C, isodidemnimide A, neodidemnimide A, 17-methylgranulatimide, and isogranulatimide A-C. J Org Chem 2000, 65, 530–535. [Google Scholar]
- Yoshida, T; Nishiyachi, M; Nakashima, N; Murase, M; Kotani, E. New synthetic route to granulatimide and its structural analogues. Chem Pharm Bull 2002, 50, 872–876. [Google Scholar]
- Yoshida, T; Nishiyachi, M; Nakashima, N; Murase, M; Kotani, E. Synthesis of granulatimide positional analogues. Chem Pharm Bull 2003, 51, 209–214. [Google Scholar]
- Hugon, B; Pfeiffer, B; Renard, P; Prudhomme, M. Synthesis of isogranulatimides A and B analogues possessing a 7-azaindole unit instead of an indole moiety. Tetrahedron Lett 2003, 44, 4607–4611. [Google Scholar]
- Hugon, B; Anizon, F; Bailly, C; Golsteyn, RM; Pierré, A; Léonce, S; Hickman, J; Pfeiffer, B; Prudhomme, M. Synthesis and biological activities of isogranulatimide analogues. Bioorg Med Chem 2007, 15, 5965–5980. [Google Scholar]
- Hénon, H; Messaoudi, S; Anizon, F; Aboab, B; Kucharczyk, N; Léonce, S; Golsteyn, RM; Pfeiffer, B; Prudhomme, M. Bis-imide granulatimide analogues as potent checkpoint 1 kinase inhibitors. Eur J Pharm 2007, 554, 106–112. [Google Scholar]
- Conchon, E; Anizon, F; Aboab, B; Prudhomme, M. Synthesis and biological activities of new checkpoint kinase 1 inhibitors structurally related to granulatimide. J Med Chem 2007, 50, 4669–4680. [Google Scholar]
- Conchon, E; Anizon, F; Aboab, B; Golsteyn, RM; Léonce, S; Pfeiffer, B; Prudhomme, M. Synthesis, checkpoint kinase 1 inhibitory properties and in vitro antiproliferative activities of new pyrrolocarbazoles. Bioorg Med Chem 2008, 16, 4419–4430. [Google Scholar]
- Tao, M; Park, CH; Bihovsky, R; Wells, GJ; Husten, J; Ator, MA; Hudkins, RL. Synthesis and structure-activity relationships of novel poly(ADP-ribose) polymerase-1 inhibitors. Bioorg Med Chem Lett 2006, 16, 938–942. [Google Scholar]
- Wells, GJ; Bihovsky, R; Hudkins, RL; Ator, MA; Husten, J. Synthesis and structure-activity relationships of novel pyrrolocarbazole lactam analogs as potent and cell-permeable inhibitors of poly(ADP-ribose)polymerase-1 (PARP-1). Bioorg Med Chem Lett 2006, 16, 1151–1155. [Google Scholar]
- Sanchez-Martinez, C; Shih, C; Faul, MM; Zhu, G; Paal, M; Somoza, C; Li, T; Kumrich, CA; Winneroski, LL; Xun, Z; Brooks, HB; Patel, BKR; Schultz, RM; DeHan, TB; Spencer, CD; Watkins, SA; Considine, E; Dempsey, JA; Ogg, CA; Campbell, RM; Anderson, BA; Wagner, J. Aryl[a]pyrrolo[3,4-c]carbazoles as selective Cyclyn D1-CDK4 inhibitors. Bioorg Med Chem Lett 2003, 13, 3835–3839. [Google Scholar]
- Faul, MM; Winneroski, LL; Kumrich, CA. A new efficient method for the synthesis of bisindolylmaleimides. J Org Chem 1998, 63, 6053–6058. [Google Scholar]
- Faul, MM; Winneroski, LL; Krumrich, CA. A new one step synthesis of maleimides by condensation of glyoxylate esters with acetamides. Tetrahedron Lett 1999, 40, 1109–1112. [Google Scholar]
- Zhu, G; Conner, S; Zhou, X; Shih, C; Brooks, HB; Considine, E; Dempsey, JA; Ogg, C; Patel, B; Schultz, RM; Spencer, CD; Teicher, B; Watkins, SA. Synthesis of quinolinyl/isoquinolinyl[a]pyrrolo[3,4-c]carbazoles as cyclin D1/CDK4 inhibitors. Bioorg Med Chem Lett 2003, 13, 1231–1235. [Google Scholar]
- Routier, S; Peixoto, P; Mérour, JY; Coudert, G; Dias, N; Bailly, C; Pierré, A; Léonce, S; Caignard, DH. Synthesis and biological evaluation of novel naphtocarbazoles as potential anticancer agents. J Med Chem 2005, 48, 1401–1413. [Google Scholar]
- Routier, S; Mérour, J-Y; Dias, N; Lansiaux, A; Bailly, C; Lozach, O; Meijer, L. Synthesis and biological evaluation of novel phenylcarbazoles as potential anticancer agents. J Med Chem 2006, 49, 789–799. [Google Scholar]
- Bregman, H; Williams, DS; Atila, GE; Carroll, PJ; Meggers, E. An organometallic inhibitor for glycogen synthase kinase 3. J Am Chem Soc 2004, 126, 13594–13595. [Google Scholar]
- Woodgett, JR. Molecular cloning and expression of glycogen synthase kinase-3/factor A. EMBO J 1990, 25, 923–929. [Google Scholar]
- Williams, DS; Atilla, GE; Bregman, H; Arzoumanian, A; Klein, PS; Meggers, E. Switching on a signalling pathway with an organoruthenium complex. Angew Chem Int Ed 2005, 44, 1984–1987. [Google Scholar]
- Bregman, H; Williams, DS; Meggers, W. Pyrido[2,3-a]pyrrolo[3,4-c]carbazole-5,7(6H)-diones: synthesis, cyclometalation and protein kinase inhibition. Synthesis 2005, 9, 1521–1527. [Google Scholar]
- Atilla-Gokcumen, GE; Williams, DS; Bregman, H; Pagano, N; Meggers, E. Organometallic compounds with biological activity: a very selective and highly potent cellular inhibitor for glycogen synthase kinase 3. ChemBioChem 2006, 7, 1443–1450. [Google Scholar]
- Bregman, H; Meggers, E. Ruthenium half-sandwich complexes as protein kinase inhibitors: an N-succinimidyl ester for rapid derivatizations of the cyclopentadienyl moiety. Org Lett 2006, 24, 5465–5468. [Google Scholar]
- Bregman, H; Carroll, PJ; Meggers, E. Rapid access to unexplored chemical space by ligand scanning around a ruthenium center: discovery of potent and selective protein kinase inhibitors. J Am Chem Soc 2006, 128, 877–884. [Google Scholar]
- Atilla-Gokcumen, GE; Pagano, N; Streu, C; Maksimoska, J; Filippakopoulos, P; Knapp, S; Meggers, E. Extremely tigh binding of a ruthenium complex to glycogen synthase kinase 3. ChemBioChem 2008, 9, 2933–2936. [Google Scholar]
- Anand, R; Maksimoska, J; Pagano, N; Wong, EY; Gimotty, PA; Diamond, SL; Meggers, E; Marmorstein, R. Toward the development of a potent and selective organoruthenium mammalian sterile 20 kinase inhibitor. J Med Chem 2009, 52, 1602–1611. [Google Scholar]
- Nettleton, DE; Doyle, TW; Kirshnan, B; Matsumoto, GK; Clardy, J. Isolation and structure of rebeccamycin a new antitumor antibiotic from nocardia aerocoligenes. Tetrahedron Lett 1985, 25, 4011–4014. [Google Scholar]
- Omura, S; Iwai, Y; Hirano, A; Nakagawa, A; Awaya, J; Tsuchiva, H; Takahashi, Y; Masuma, R. A new alkaloid AM-2282 of Streptomyces origin: Taxonomy, fermentation and preliminary characterization. J Antibiot 1977, 30, 275–282. [Google Scholar]
- Omura, S; Sasaki, Y; Iwai, Y; Takeshima, H. Staurosporine, a potentially important gift from a microorganism. J Antibiot 1995, 48, 535–548. [Google Scholar]
- Rodrigues Pereira, E; Belin, L; Sancelme, M; Prudhomme, M; Ollier, M; Rapp, D; Sevère, D; Riou, JF; Fabbro, D; Meyer, T. Structure-activity relationships in a series of substituted indolocarbazoles: topoisomerase I and protein kinase C inhibition and antitumoral and antimicrobial properties. J Med Chem 1996, 39, 4471–4477. [Google Scholar]
- Gray, N; Détivaud, L; Doerig, C; Meijer, L. ATP-Site directed inhibitors of cyclin-dependent kinases. Curr Med Chem 1999, 6, 859–875. [Google Scholar]
- Goeke, K; Hoehn, P; Ghisalba, O. Production of the staurosporine aglycon K-252C with a blocked mutant of the staurosporine producer strain Streptomyces longisporoflavus and by biotransformation of staurosporine with Streptomyces mediddicm ATCC 13279. J. Antibiot 1995, 48, 428–430. [Google Scholar]
- Rialet, V; Meijer, L. A new screening test for antimitotic compounds using the universal M phase-specific protein kinase, p34cdc2/cyclin Bcd13, affinity immobilized on p13suc1-coated microtitration plates. Anticancer Res 1991, 11, 1581. [Google Scholar]
- Al-Obeidi, FA; Lam, KS. Development of inhibitors for protein tyrosine kinases. Oncogene 2000, 19, 5690–5702. [Google Scholar]
- Prudhomme, M. Biological targets of antitumor indolocarbazoles bearing a sugar moiety. Curr Med Chem Anticancer Agents 2004, 4, 509–521. [Google Scholar]
- Prudhomme, M. Staurosporine and structurally related indolocarbazoles as antitumor agents. In Anticancer Agents from Natural Products; Cragg, GM, Gordon, M, Kingston, DGI, Newman, DJ, Eds.; CRC Press: Boca Raton, FL, USA, 2005; pp. 499–517. [Google Scholar]
- Hosoya, T; Yamamoto, Y; Uehara, Y; Hayashi, M; Komiyama, K; Ishibashi, M. New cytotoxic bisindole alkaloids with protein tyrosine kinase inhibitory activity from a myxomycete Lycogala epidendrum. Bioorg Med Chem Lett 2005, 15, 2776–2780. [Google Scholar]
- Engler, TA; Furnee, K; Malhotra, S; Sanchez-Martinez, C; Shih, C; Xie, W; Zhu, G; Zhou, X; Conner, S; Faul, MM; Sullivan, KA; Kolis, SP; Brooks, HB; Patel, B; Schultz, RM; DeHan, TB; Kirmani, K; Spencer, CD; Watkins, SA; Considine, EL; Dempsey, JA; Ogg, CA; Stamm, NB; Anderson, BD; Campbell, RM; Vasudevan, V; Lytle, ML. Novel, potent and selective cyclin D1/CDK4 inhibitors: indolo[6,7-a]pyrrolo[3,4-c]carbazoles. Bioorg Med Chem Lett 2003, 13, 2261–2267. [Google Scholar]
- Faul, MM; Engler, TA; Sullivan, KA; Grutsch, JL; Clayton, MT; Martinelli, MJ; Pawlak, JM; LeTourneau, M; Coffey, DS; Pedersen, SW; Kolis, SP; Furness, K; Malhotra, S; Al-awar, RS; Ray, JE. Synthetic approaches to indolo[6,7-α]pyrrolo[3,4-c]carbazoles: potent cyclin D1/CDK4 inhibitors. J Org Chem 2004, 69, 2967–2975. [Google Scholar]
- Zhu, G; Conner, SE; Zhou, X; Chan, HK; Shih, C; Engler, TA; Al-awar, RS; Brooks, HB; Watkins, SA; Spencer, CD; Schultz, RM; Dempsey, JA; Considine, EL; Patel, BR; Ogg, CA; Vasudevan, V; Lytle, ML. Synthesis of 1,7-annulated indoles and their applications in the studies of cyclin dependant kinase inhibitors. Bioorg Med Chem Lett 2004, 14, 3057–3061. [Google Scholar]
- Al-awar, RS; Ray, JE; Hecker, KA; Huang, J; Waid, PP; Shih, C; Brooks, HB; Spencer, CD; Watkins, SA; Patel, BR; Stamm, NB; Ogg, CA; Shultz, RM; Considine, EL; Faul, MM; Sullivan, KA; Kolis, SP; Grutsch, JL; Joseph, S. 1,7-Annulated indolocarbazoles as cyclin-dependent kinase inhibitors. Bioorg Med Chem Lett 2004, 14, 3217–3220. [Google Scholar]
- Moreau, P; Gaillard, N; Marminon, C; Anizon, F; Dias, N; Baldeyrou, B; Bailly, C; Pierré, A; Hickman, J; Pfeiffer, B; Renard, P; Prudhomme, M. Semi-synthesis, topoisomerase I and kinases inhibitory properties and antiproliferative activities of new rebeccamycin derivatives. Bioorg Med Chem 2003, 11, 4871–4879. [Google Scholar]
- Balasubramanian, BN; St Laurent, DR; Saulnier, MG; Long, BH; Bachand, C; Beaulieu, F; Clarke, W; Deshpande, M; Eummer, J; Fairchild, CR; Frennesson, DB; Kramer, R; Lee, FY; Mahler, M; Martel, A; Naidu, BN; Rose, WC; Russell, J; Ruediger, E; Solomon, C; Stoffan, KM; Wong, H; Zimmermann, K; Vyas, DM. Design and synthesis of a fluoroindolocarbazole series as selective topoisomerase I active agents. Discovery of water-soluble 3,9-difluoro-12,13H-benzo[b]-thienyl[2,3-a]pyrrolo[3,4-c]carbazole-5,7(6H)-dione (BMS-251873) with curative antitumor activity against xenograft tumor model. J Med Chem 2004, 47, 1609–1612. [Google Scholar]
- Saulnier, MG; Balasubramanian, BN; Long, BH; Frennesson, DB; Ruediger, E; Zimmermann, K; Eummer, JT; St Laurent, DR; Stoffan, KM; Naidu, BN; Mahler, M; Beaulieu, F; Bachand, C; Lee, FY; Fairchild, CR; Stadnick, LK; Rose, WC; Solomon, C; Wong, H; Martel, A; Wright, JJ; Kramer, R; Langley, DR; Vyas, DM. Discovery of a fluoroindolo[2,3-α]carbazole clinical candidate with broad spectrum antitumor activity in preclinical tumor models superior to the marketed oncology drug, CPT-11. J Med Chem 2005, 48, 2258–2261. [Google Scholar]
- Anizon, F; Moreau, P; Sancelme, M; Laine, W; Bailly, C; Prudhomme, M. Rebeccamycin analogues bearing amine substituents or other groups on the sugar moiety. Bioorg Med Chem 2003, 11, 3709–3722. [Google Scholar]
- Faul, MM; Sullivan, KA; Grutsch, JL; Winneroski, LL; Shih, C; Sanchez-Martinez, C; Cooper, JT. Synthesis of indolo[2,3-a]carbazole glycoside analogs of rebeccamycin: inhibitors of cyclin D1-CDK4. Tetrahedron Lett 2004, 45, 1095–1098. [Google Scholar]
- Zhang, G; Shen, J; Cheng, H; Fang, L; Luo, S; Muller, MT; Lee, GE; Wei, L; Du, Y; Sun, D; Wang, PG. Synthesis and biological activities of rebeccamycin analogues with uncommon sugars. J Med Chem 2005, 48, 2600–2611. [Google Scholar]
- Roy, S; Eastman, A; Gribble, GW. Synthesis of 7-keto-Gö6976 (ICP-103). Synth Commun 2005, 35, 595–601. [Google Scholar]
- Roy, S; Eastman, A; Gribble, GW. Synthesis of N-alkyl substituted bioactive indolocarbazoles related to Gö6979. Tetrahedron 2006, 62, 7838–7845. [Google Scholar]
- Faul, MM; Winneroski, LL; Kumrich, CA. A new efficient method for the synthesis of bisindolylmaleimides. J Org Chem 1998, 63, 6053–6058. [Google Scholar]
- Faul, MM; Winneroski, LL; Krumrich, CA. A new one step synthesis of maleimides by condensation of glyoxylate esters with acetamides. Tetrahedron Lett 1999, 40, 1109–1112. [Google Scholar]
- Roy, S; Eastman, A; Gribble, GW. Synthesis of bisindolylmaleimides related to GF109203x and their efficient conversion to the bioactive indolocarbazoles. Org Biomol Chem 2006, 4, 3228–3234. [Google Scholar]
- Routier, S; Ayerbe, N; Mérour, JY; Coudert, G; Bailly, C; Pierré, A; Pfeiffer, B; Caignard, DH; Renard, P. Synthesis and biological evaluation of 7-azaindolocarbazoles. Tetrahedron 2002, 58, 6621–6630. [Google Scholar]
- Popowycz, F; Routier, S; Joseph, B; Merour, J-Y. Synthesis and reactivity of 7-azaindole (1H-pyrrolo[2,3-b]pyridine). Tetrahedron 2007, 63, 1031–1064. [Google Scholar]
- Marminon, C; Pierré, A; Pfeiffer, B; Pérez, V; Léonce, S; Joubert, A; Bailly, C; Renard, P; Hickman, J; Prudhomme, M. Synthesis and antiproliferative activities of 7-azarebeccamycin analogues bearing one 7-azaindole moiety. J Med Chem 2003, 46, 609–622. [Google Scholar]
- Messaoudi, S; Anizon, F; Pfeiffer, B; Golsteyn, R; Prudhomme, M. Synthesis of a staurosporine analogue possessing a 7-azaindole unit instead of an indole moiety. Tetrahedron Lett 2004, 45, 4643–4647. [Google Scholar]
- Messaoudi, S; Anizon, F; Pfeiffer, B; Prudhomme, M. Synthesis of bridged aza-rebeccamycin analogues. Tetrahedron 2005, 61, 7304–7316. [Google Scholar]
- Messaoudi, S; Anizon, F; Léonce, S; Pierré, A; Pfeiffer, B; Prudhomme, M. Synthesis and cytotoxicities of 7-aza rebeccamycin analogues bearing various substituents on the sugar moiety, on the imide nitrogen and on the carbazole framework. Eur J Med Chem 2005, 40, 961–971. [Google Scholar]
- Messaoudi, S; Anizon, F; Peixoto, P; David-Cordonnier, MH; Golsteyn, RM; Léonce, S; Pfeiffer, B; Prudhomme, M. Synthesis and biological activities of 7-azarebeccamycin analogues bearing the sugar moiety on the nitrogen of the pyridine ring. Bioorg Med Chem 2006, 14, 7551–7562. [Google Scholar]
- Conchon, E; Anizon, F; Aboab, B; Golsteyn, RM; Léonce, S; Pfeiffer, B; Prudhomme, M. Synthesis, in vitro antiproliferative activities, and Chk1 inhibitory properties of pyrrolo[3,4-a]carbazole-1,3-diones, pyrrolo[3,4-c]carbazole-1,3-diones, and 2-aminopyridazino[3,4-a]pyrrolo[3,4-c]carbazole-1,3,4,7-tetraone. Eur J Med Chem 2008, 43, 282–292. [Google Scholar]
- Fabian, MA; Biggs, WH, III; Treiber, DK; Atteridge, CE; Azimioara, MD; Bendetti, MG; Carter, TA; Ciceri, P; Edeen, PT; Floyd, M; Ford, JM; Galvin, M; Gerlach, JL; Grotzfeld, RM; Herrgard, S; Insko, DE; Insko, MA; Lai, AG; Lelias, RM; Mehta, SA; Milanov, ZV; Velasco, AM; Wodicka, LM; Patel, HK; Zarrinkar, PP; Lockhardt, DJ. A small molecule-kinase interaction map for clinical kinase inhibitors. Nat Biotechnol 2005, 23, 329–336. [Google Scholar]
- Karaman, MW; Herrgard, S; Treiber, DK; Gallant, P; Atteridge, CE; Campbell, BT; Chan, KW; Ciceri, P; Davis, MI; Edeen, PT; Faraoni, R; Floyd, M; Hunt, JP; Lockhardt, DJ; Milanov, ZV; Morrison, MJ; Pallares, G; Patel, HK; Pritchard, S; Wodicka, LM; Zarrinkar, PP. A quantitative analysis of kinase inhibitor selectivity. Nat Biotechnol 2008, 26, 127–132. [Google Scholar]
































