Secondary Metabolites with Agricultural Antagonistic Potential from Aspergillus sp. ITBBc1, a Coral-Associated Marine Fungus
Abstract
1. Introduction
2. Results
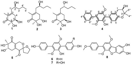
2.1. Structural Elucidation
2.2. Antagonistic Evaluation
3. Materials and Methods
3.1. General Experimental Procedures
3.2. Fungal Material and Fermentation
3.3. Extraction and Isolation
3.3.1. Megastigmanone A (1)
3.3.2. Megastigmanone B (2)
3.3.3. Megastigmanone C (3)
3.3.4. Prenylterphenyllin H (4)
3.4. Modified Mosher’s Reaction
3.5. Antagonistic Bioassay
4. Conclusions
Supplementary Materials
Author Contributions
Funding
Institutional Review Board Statement
Data Availability Statement
Acknowledgments
Conflicts of Interest
References
- Zain, M.E. Impact of mycotoxins on humans and animals. J. Saudi Chem. Soc. 2011, 15, 129–144. [Google Scholar] [CrossRef]
- Juraschek, L.M.; Kappenberg, A.; Amelung, W. Mycotoxins in soil and environment. Sci. Total Environ. 2022, 814, 152425. [Google Scholar] [CrossRef]
- Alshannaq, A.; Yu, J.H. Occurrence, toxicity, and analysis of major mycotoxins in food. Int. J. Environ. Res. Public Health 2017, 14, 632. [Google Scholar] [CrossRef]
- Vianello, A.; Macri, F. Inhibition of plant cell membrane transport phenomena induced by zearalenone (F-2). Planta 1978, 143, 51–57. [Google Scholar] [CrossRef]
- Pekkarinen, A.; Mannonen, L.; Jones, B.L.; Niku-Paavola, M.L. Production of proteases by Fusarium species grown on barley grains and in media containing cereal proteins. J. Cereal Sci. 2000, 31, 253–261. [Google Scholar] [CrossRef]
- Abbas, H.K.; Duke, S.O.; Tanaka, T. Phytotoxicity of fumonisins and related compounds. J. Toxicol. Toxin Rev. 1993, 12, 225–251. [Google Scholar] [CrossRef]
- Merrill, A.H., Jr.; Sullards, M.C.; Wang, E.; Voss, K.A.; Riley, R.T. Sphingolipid metabolism: Roles in signal transduction and disruption by fumonisins. Environ. Health. Perspect 2001, 109, 283–289. [Google Scholar]
- Brodal, G.; Hofgaard, I.S.; Eriksen, G.S.; Bernhoft, A.; Sundheim, L. Mycotoxins in organically versus conventionally produced cereal grains and some other crops in temperate regions. World Mycotoxin J. 2016, 9, 755–770. [Google Scholar] [CrossRef]
- Marin, S.; Ramos, A.J.; Cano-Sancho, G.; Sanchis, V. Mycotoxins: Occurrence, toxicology, and exposure assessment. Food Chem. Toxicol. 2013, 60, 218–237. [Google Scholar] [CrossRef]
- Schaarschmidt, S.; Fauhl-Hassek, C. The fate of mycotoxins during the processing of wheat for human consumption. Compr. Rev. Food Sci. Food Saf. 2018, 17, 556–593. [Google Scholar] [CrossRef]
- Myers, J.P.; Antoniou, M.N.; Blumberg, B.; Carroll, L.; Colborn, T.; Everett, L.G.; Hansen, M.; Landrigan, P.J.; Lanphear, B.P.; Mesnage, R.; et al. Concerns over use of glyphosate-based herbicides and risks associated with exposures: A consensus statement. Environ. Health 2016, 15, 19. [Google Scholar] [CrossRef] [PubMed]
- Guo, Y.; Cheng, J.; Lu, Y.; Wang, H.; Gao, Y.; Shi, J.; Yin, C.; Wang, X.; Chen, S.; Strasser, R.J.; et al. Novel action targets of natural product gliotoxin in photosynthetic apparatus. Front. Plant Sci. 2020, 10, 1688. [Google Scholar] [CrossRef]
- Cimmino, A.; Masi, M.; Evidente, M.; Superchi, S.; Evidente, A. Fungal phytotoxins with potential herbicidal activity: Chemical and biological characterization. Nat. Prod. Rep. 2015, 32, 1629–1653. [Google Scholar] [CrossRef]
- Evidente, A. Specialized metabolites produced by phytotopatogen fungi to control weeds and parasite plants. Microorganisms 2023, 11, 843. [Google Scholar] [CrossRef] [PubMed]
- Hasan, M.; Ahmad-Hamdani, M.S.; Rosli, A.M.; Hamdan, H. Bioherbicides: An eco-friendly tool for sustainable weed management. Plants 2021, 10, 1212. [Google Scholar] [CrossRef] [PubMed]
- Pusztahelyi, T.; Holb, I.J.; Pócsi, I. Secondary metabolites in fungus-plant interactions. Front. Plant Sci. 2015, 6, 573. [Google Scholar] [CrossRef] [PubMed]
- Huang, R.H.; Gou, J.Y.; Zhao, D.L.; Wang, D.; Liu, J.; Ma, G.Y.; Li, Y.Q.; Zhang, C.S. Phytotoxicity and anti-phytopathogenic activities of marine-derived fungi and their secondary metabolites. RSC Adv. 2018, 8, 37573–37580. [Google Scholar] [CrossRef] [PubMed]
- Du, F.Y.; Li, X.M.; Sun, Z.C.; Meng, L.H.; Wang, B.G. Secondary metabolites with agricultural antagonistic potentials from Beauveria felina, a marine-derived entomopathogenic fungus. J. Agric. Food Chem. 2020, 68, 14824–14831. [Google Scholar] [CrossRef] [PubMed]
- Irvine, N.M.; Yerkes, C.N.; Graupner, P.R.; Roberts, R.E.; Hahn, D.R.; Pearce, C.; Gerwick, B.C. Synthesis and characterization of synthetic analogs of cinnacidin, a novel phytotoxin from Nectria sp. Pest Manag. Sci. 2008, 64, 891–899. [Google Scholar] [CrossRef]
- Guo, Z.K.; Abulaizi, A.; Huang, L.; Xiong, Z.J.; Zhang, S.Q.; Liu, T.; Wang, R. Discovery of p-terphenyl metabolites as potential phosphodiesterase PDE4D inhibitors from the coral-associated fungus Aspergillus sp. ITBBc1. Mar. Drugs 2022, 20, 679. [Google Scholar] [CrossRef]
- Xiong, Z.J.; Wang, R.; Xia, T.F.; Zhang, S.Q.; Ma, S.; Guo, Z.K. Natural products and biological activity from actinomycetes associated with marine algae. Molecules 2023, 28, 5138. [Google Scholar] [CrossRef]
- Guo, Z.K.; Ma, S.; Khan, S.; Zhu, H.J.; Zhang, B.; Zhang, S.; Jiao, R.H. Zhaoshumycins A and B, two unprecedented antimycin-type depsipeptides produced by the marine-derived Streptomyces sp. ITBB-ZKa6. Mar. Drugs 2021, 19, 624. [Google Scholar] [CrossRef] [PubMed]
- Zhang, D.; Zhao, J.; Wang, X.; Zhao, L.; Liu, H.; Wei, Y.; You, X.; Cen, S.; Yu, L. Peniazaphilin A, a new azaphilone derivative produced by Penicillium sp. CPCC 400786. J. Antibiot. 2018, 71, 905–907. [Google Scholar] [CrossRef] [PubMed]
- Marchelli, R.; Vining, L.C. Terphenyllin, a novel p-terphenyl metabolite from Aspergillus candidus. J. Antibiot. 1975, 28, 328–331. [Google Scholar] [CrossRef] [PubMed]
- Kurobane, I.; Vining, L.C.; Mcinnes, A.G.; Smith, D.G. 3-Hydroxyterphenyllin, a new metabolite of Aspergillus candidus. Structure elucidation by H and C nuclear magnetic resonance spectroscopy. J. Antibiot. 1979, 32, 559–564. [Google Scholar] [CrossRef] [PubMed]
- Rahbaek, L.; Frisvad, J.C.; Christophersen, C. An amendment of Aspergillus section Candidi based on chemotaxonomical evidence. Phytochemistry 2000, 53, 581–586. [Google Scholar] [CrossRef] [PubMed]
- Liu, Y.P.; Li, Y.J.; Zhao, Y.Y.; Guo, J.M.; Liu, Y.Y.; Wang, X.P.; Shen, Z.Y.; Qiang, L.; Fu, Y.H. Carbazole alkaloids from the fruits of Clausena anisum-olens with potential PTP1B and α-glucosidase inhibitory activities. Bioorg. Chem. 2021, 110, 104775. [Google Scholar] [CrossRef] [PubMed]
- Ma, X.L.; Zhu, S.S.; Liu, Y.; Chen, H.W.; Shi, Y.T.; Zeng, K.W.; Tu, P.F.; Jiang, Y. Carbazole alkaloids with potential cytotoxic activities targeted on PCK2 protein from Murraya microphylla. Bioorg. Chem. 2021, 114, 105113. [Google Scholar] [CrossRef]
- Guo, Z.K.; Wang, T.; Guo, Y.; Song, Y.C.; Tan, R.X.; Ge, H.M. Cytotoxic angucyclines from Amycolatopsis sp. HCa1, a rare actinobacteria derived from Oxya chinensis. Planta Med. 2011, 77, 2057–2060. [Google Scholar] [CrossRef]
- González Coloma, A.; Yeves, M.F.; Diaz Hernandez, C.E.; Reina Artiles, M.; Lacret Pimienta, R.; Cabrera Perez, R.; Gimenez Mariño, C.; Kaushik, N. Natural Borad-Spectrum Biocides. WO2017068223A1, 27 April 2017. [Google Scholar]
- Zhou, G.; Chen, X.; Zhang, X.; Che, Q.; Zhang, G.; Zhu, T.; Gu, Q.; Li, D. Prenylated p-Terphenyls from a mangrove endophytic fungus, Aspergillus candidus LDJ-5. J. Nat. Prod. 2020, 83, 8–13. [Google Scholar] [CrossRef]
- Cutler, H.G.; Lefiles, J.H.; Crumley, F.G.; Cox, R.H. Hydroxyterphenyllin: A novel fungal metabolite with plant growth inhibiting properties. J. Agric. Food Chem. 1978, 26, 632–635. [Google Scholar] [CrossRef]
- Wang, Y.; Compton, C.; Rankin, G.O.; Cutler, S.J.; Rojanasakul, Y.; Tu, Y.; Chen, Y.C. 3-Hydroxyterphenyllin, a natural fungal metabolite, induces apoptosis and S phase arrest in human ovarian carcinoma cells. Int. J. Oncol. 2017, 50, 1392–1402. [Google Scholar] [CrossRef] [PubMed]





| Position | 1 | 2 | 3 | |||
|---|---|---|---|---|---|---|
| δC | δH (J in Hz) | δC | δH (J in Hz) | δC | δH (J in Hz) | |
| 1 | 202.2, C | 202.9, C | 202.2, C | |||
| 2 | 128.8, C | 129.4, C | 128.6, C | |||
| 2-CH3 | 11.6, CH3 | 1.79 (s) | 11.7, CH3 | 1.78 (s) | 11.5, CH3 | 1.79 (s) |
| 3 | 152.7, C | 155.8, C | 153.1, C | |||
| 4 | 37.1, CH2 | 2.86 (m); 2.63 (m) | 38.6, CH2 | 2.75 (ddd, 18.4, 5.7, 1.1); 2.45 (m) | 38.2, CH2 | 2.90 (d, 19.0); 2.58 (d, 19.0) |
| 5 | 74.2, CH | 3.97 (dd, 3.7, 2.9) | 72.9, CH | 3.85 (dd, 10.2, 5.7) | 74.2, CH | 3.96 (dd, 3.7, 2.9) |
| 5-OH | 3.70 (br s) | 3.89 (br s) | 3.74(br s) | |||
| 6 | 76.4, C | 77.8, C | 76.4, C | |||
| 6-CH3 | 23.3, CH3 | 1.23 (s) | 18.2, CH3 | 1.15 (s) | 23.4, CH3 | 1.22 (s) |
| 6-OH | 4.17 (br s) | 4.19 (br s) | 4.13 (br s) | |||
| 1′ | 43.7, CH2 | 2.51 (dd, 13.3, 8.7) 2.35 (dd, 13.3, 4.2) | 43.6, CH2 | 2.45 (m) | 43.9, CH2 | 2.47 (dd, 13.1, 4.7) 2.34 (dd, 13.1, 8.4) |
| 2′ | 70.0, CH | 3.89 (m) | 70.1, CH | 3.89 (m) | 70.4, CH | 3.85 (m) |
| 2′-OH | 3.70 (br s) | 3.04 (br s) | 3.67 (br s) | |||
| 3′ | 41.0, CH2 | 1.47 (m) | 41.3, CH2 | 1.48 (m) | 41.1, CH2 | 1.48 (m) |
| 4′ | 19.6, CH2 | 1.51 (m); 1.40 (m) | 19.6, CH2 | 1.50 (m); 1.40 (m) | 19.6, CH2 | 1.51 (m); 1.41 (m) |
| 5′ | 14.3, CH3 | 0.91 (t, 7.1) | 14.3, CH3 | 0.92 (t, 7.1) | 14.4, CH3 | 0.91 (t, 7.1) |
| Position | δC | δH (J in Hz) | Position | δC | δH (J in Hz) |
|---|---|---|---|---|---|
| 1 | 126.4, C | 1″ | 139.5, C | ||
| 2 | 133.0, CH | 7.11 (d,2.0) | 2″ | 129.7, CH | 7.67 (d, 7.4) |
| 3 | 120.2, C | 3″ | 129.2, CH | 7.46 (t, 7.4) | |
| 4 | 152.9, C | 4″ | 128.1, CH | 7.38 (t,7.4) | |
| 5 | 116.7, CH | 6.74 (d, 8.3) | 5″ | 129.2, CH | 7.46 (t, 7.4) |
| 6 | 131.0, CH | 7.14 (dd, 8.3, 2.0) | 6″ | 129.7, CH | 7.67 (d, 7.4) |
| 1′ | 118.4, C | 1‴ | 32.3, CH2 | 3.01 (dd, 16.4, 5.4); 2.76 (dd, 16.4, 8.2) | |
| 2′ | 149.2, C | 2‴ | 70.1, CH | 3.82 (dd, 7.5, 5.3) | |
| 3′ | 140.3, C | 3‴ | 77.8, C | ||
| 3′-OCH3 | 60.9, CH3 | 3.38 (s) | 4‴ | 20.7, CH3 | 1.28 (s) |
| 4′ | 133.6, C | 5‴ | 26.3, CH3 | 1.38 (s) | |
| 5′ | 104.3, CH | 6.53 (s) | |||
| 6′ | 154.6, C | ||||
| 6′-OCH3 | 56.1, CH3 | 3.74 (s) |
Disclaimer/Publisher’s Note: The statements, opinions and data contained in all publications are solely those of the individual author(s) and contributor(s) and not of MDPI and/or the editor(s). MDPI and/or the editor(s) disclaim responsibility for any injury to people or property resulting from any ideas, methods, instructions or products referred to in the content. |
© 2024 by the authors. Licensee MDPI, Basel, Switzerland. This article is an open access article distributed under the terms and conditions of the Creative Commons Attribution (CC BY) license (https://creativecommons.org/licenses/by/4.0/).
Share and Cite
Abulaizi, A.; Wang, R.; Xiong, Z.; Zhang, S.; Li, Y.; Ge, H.; Guo, Z. Secondary Metabolites with Agricultural Antagonistic Potential from Aspergillus sp. ITBBc1, a Coral-Associated Marine Fungus. Mar. Drugs 2024, 22, 270. https://doi.org/10.3390/md22060270
Abulaizi A, Wang R, Xiong Z, Zhang S, Li Y, Ge H, Guo Z. Secondary Metabolites with Agricultural Antagonistic Potential from Aspergillus sp. ITBBc1, a Coral-Associated Marine Fungus. Marine Drugs. 2024; 22(6):270. https://doi.org/10.3390/md22060270
Chicago/Turabian StyleAbulaizi, Ailiman, Rong Wang, Zijun Xiong, Shiqing Zhang, Yuanchao Li, Huiming Ge, and Zhikai Guo. 2024. "Secondary Metabolites with Agricultural Antagonistic Potential from Aspergillus sp. ITBBc1, a Coral-Associated Marine Fungus" Marine Drugs 22, no. 6: 270. https://doi.org/10.3390/md22060270
APA StyleAbulaizi, A., Wang, R., Xiong, Z., Zhang, S., Li, Y., Ge, H., & Guo, Z. (2024). Secondary Metabolites with Agricultural Antagonistic Potential from Aspergillus sp. ITBBc1, a Coral-Associated Marine Fungus. Marine Drugs, 22(6), 270. https://doi.org/10.3390/md22060270

