Abstract
Acute myeloid leukemia (AML) is a hematologic malignancy characterized by infiltration of the blood and bone marrow, exhibiting a low remission rate and high recurrence rate. Current research has demonstrated that class I HDAC inhibitors can downregulate anti-apoptotic proteins, leading to apoptosis of AML cells. In the present investigation, we conducted structural modifications of marine cytotoxin Santacruzamate A (SCA), a compound known for its inhibitory activity towards HDACs, resulting in the development of a novel series of potent class I HDACs hydrazide inhibitors. Representative hydrazide-based compound 25c exhibited concentration-dependent induction of apoptosis in AML cells as a single agent. Moreover, 25c exhibited a synergistic anti-AML effect when combined with Venetoclax, a clinical Bcl-2 inhibitor employed in AML therapy. This combination resulted in a more pronounced downregulation of anti-apoptotic proteins Mcl-1 and Bcl-xL, along with a significant upregulation of the pro-apoptotic protein cleaved-caspase3 and the DNA double-strand break biomarker γ-H2AX compared to monotherapy. These results highlighted the potential of 25c as a promising lead compound for AML treatment, particularly when used in combination with Venetoclax.
1. Introduction
Acute myeloid leukemia (AML) is a heterogeneous blood disease caused by genetic mutations that give myeloid blast cells a selective growth advantage and cause them to fail to differentiate into normal blood cells. This disease is one of the most common types in the adult leukemia family, and it predominantly affects the elderly. Among the therapeutic drugs of AML, the most common standard chemotherapy combination regimen is Cytarabine/Daunorubicin (3 + 7), which involves three days of oral administration of medications such as Mitoxantrone or Idarubicin, followed by seven days of intravenous infusion of maintenance chemotherapy, and it is often used in patients < 60 years who are in good health [1]. Molecularly targeted drugs such as Bcl-2 inhibitors, FLT3 inhibitors and IDH inhibitors also show promising clinical efficacy [2,3]. Pre-clinical and clinical studies indicate that Bcl-2 inhibitors (e.g., Venetoclax) can successfully restart the unregulated apoptosis process of malignant cells with high safety, and with good synergy when combined with drugs targeting multiple molecular pathways [4], thus showing great research potential.
Tumorigenesis factors of hematological tumor diseases are often characterized by genetic aberrations that disrupt normal cellular functions, and the pathogenesis of AML is closely related to epigenetic perturbations [4,5,6]. Histone deacetylases (HDACs), a group of epigenetic anti-cancer targets, have garnered significant attention in recent years [7]. So far, a total of 18 isoforms have been found in humans, and they can be divided into two categories according to different catalytic sites: Zn2+-dependent proteins and NAD+-dependent proteins. The former consists of 11 subtypes, which are divided into three classes: class I (HDAC1, 2, 3, 8), class II (HDAC4, 5, 6, 7, 9, 10) and class IV (HDAC11). The latter consists of seven subtypes, such as class III (sirtuin 1-7) [8]. Among those, class I isoforms HDAC1-3 play a key role in regulating the acetylation levels of histones, thus modifying the chromatin structure and its accessibility for gene transcription, which is more significant in solid tumors and hematological malignancies [5].
Recent studies reveal that class I HDACs are generally overexpressed in AML cells. Depletion of HDAC1/2 promotes AML cell apoptosis, and the loss of HDAC3 can inhibit cell proliferation and promote cell differentiation of AML cells [9]. Previous studies have shown that class I HDAC inhibitor (HDACI) monotherapy downregulates anti-apoptotic proteins, leading to the activation of pro-caspase3 and triggering apoptosis in AML cells [10]. Our previous study indicated that class I HDACIs could induce G1/S cell cycle arrest leading to cell death by a p53-dependent pathway [11]. These findings demonstrate the potential of class I HDACI monotherapy in the treatment of AML. A number of class I HDACIs are currently in development, such as Entinostat [12] and Chidamide [13]. It has been found that class I HDACIs can also promote the efficacy of other drugs and have a strong effect in reversing drug resistance. Chen et al. found that the downregulation of Mcl-1 and Bcl-xL by Chidamide fully activated the pro-apoptotic gene Bim to induce apoptosis. And when combined with Venetoclax, Chidamide might have a synergistic effect and overcome the effect of drug resistance for Venetoclax in AML cells [14]. Moreover, Chidamide was used in the treatment of three R/R AML patients who failed to respond to the combination regimen of Venetoclax and Azacitidine, successfully achieving complete remission after relapse and greatly extending the life cycle of the patients [15]. Therefore, it is very necessary to develop novel class I HDACIs and explore the combination of multiple drugs.
The ocean is regarded as an important treasure house of natural medicine. Santacruzamate A (SCA), a cytotoxin isolated from Panamanian Pacific tuft cyanobacteria, was found in previous studies to have potential inhibitory activity against HDAC2 [16]. According to the virtual docking model of SCA and HDAC2 constructed by Gromek et al., the chemical structure of SCA corresponded with the pharmacophore model of traditional HDAC inhibitors, which is composed of the Cap, Linker and zinc binding group (ZBG) [17]. The group interacting with the protein surface is named “Cap”, the one binding Zn2+ at the bottom of the catalytic site is called “ZBG” and the group connecting these two parts in the middle hydrophobic region is termed “Linker” [11]. To a certain extent, the selectivity and potency of HDAC inhibitors are significantly dependent on the structural characteristics of their ZBGs [18]. At present, the ZBGs used in class I HDACIs mainly include hydroxamic acids, phenylamides and hydrazides. The docking results indicated that SCA formed monodentate chelation with zinc ions of HDAC2 [17]. In a previous study, we found that hydrazides as ZBG exhibited a higher titer, higher class I HDAC (1 and 3) selectivity and better pharmacokinetics than hydroxamic acids and phenylamides [11,19,20]. It is hypothesized that modifying the ZBG to form bidentate chelates may increase the HDAC inhibitory activity of SCA. Consequently, this study aimed to use the marine-derived compound SCA as a hit compound, fix ZBG as a hydrazide structure and modify Cap and Linker to obtain a new series of class I HDACIs.
2. Results
2.1. Chemistry
Isobenzofuran-1,3-dione (1) was reacted as a hydrazide acylation agent to obtain product 2. Alkylation with bromopropane of 2 gave 3, which was followed by dephthaloylation with methylhydrazine to give the desired compound 4 (Scheme 1).
Scheme 1.
Preparation of hydrazide substituent compound 4. Reagents and conditions: (a) tert-butyl hydrazinecarboxylate, toluene, 83% yield; (b) 1-bromopropane, TBAB and K2CO3, acetonitrile, 90% yield; (c) monomethylhydrazine, ethanol, 85% yield.
Phenethylamine was condensed with the corresponding dicarboxylic acid monomethyl esters (5a–5m) to give 6a–6m, which hydrolyzed under alkaline conditions to give 7a–7m. The compounds 7a–7m were coupled with 4 by HATU-mediated amide formation to afford 8a–8m, which were finally treated with trifluoroacetic acid to yield the end products 9a–9m (Scheme 2).
Scheme 2.
Synthesis of compounds 9a–9m. Reagents and conditions: (d) 2-phenylethan-1-amine, HATU, DIPEA, DMF, 55% yield; (e) 1.5 N NaOH aqueous, MeOH; 1 N HCl aqueous, pH = 5, 85% yield; (f) 4, HATU and DIPEA, DMF, 67% yield. (g) TFA, DCM; saturated 1 N NaOH aqueous, pH = 9, 76% yield.
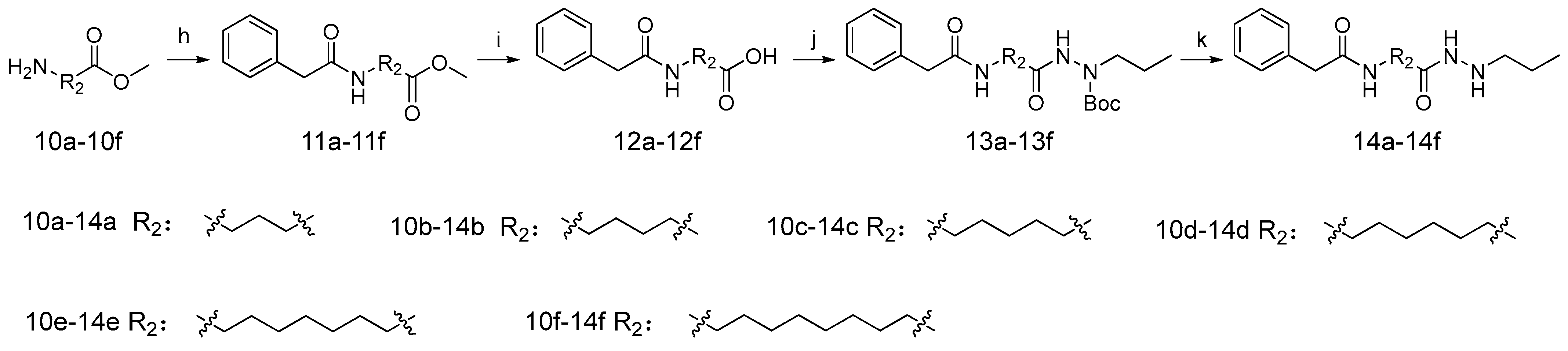
Compounds 10a–10f reacted with 2-phenylacetyl chloride and afforded the amides 11a–11f, which were hydrolyzed under alkaline conditions to give 12a–12f. The compounds 12a–12f were coupled with 4 by HATU-mediated amide formation that afforded 13a–13f, which were finally treated with trifluoroacetic acid to yield the end products 14a–14f (Scheme 3).
Scheme 3.
Synthesis of the compounds 14a–14f. Reagents and conditions: (h) 2-phenylacetyl chloride, DIPEA, THF, 75% yield; (i) 1.5 N NaOH aqueous, MeOH; 1 N HCl aqueous, pH = 5, 85% yield; (j) 4, HATU and DIPEA, DMF, 67% yield; (k) TFA, DCM; saturated 1 N NaOH aqueous, pH = 9, 76% yield.
2-(4-(3-methoxy-3-oxoprop-1-en-1-yl)phenyl)acetic acid was condensed with the corresponding monomethyl arylamines (15a–15d) to give 16a–16d, which were hydrolyzed under alkaline conditions to give 17a–17d. The compounds 17a–17d were coupled with 4 by HATU-mediated amide formation that afforded 18a–18d, which were finally treated with trifluoroacetic acid to yield the end products 19a–19d (Scheme 4).
Scheme 4.
Synthesis of compounds 19a–19d. Reagents and conditions: (l) 2-(4-(3-methoxy-3-oxoprop-1-en-1-yl)phenyl)acetic acid, HATU, DIPEA, DMF, 65% yield; (m) 1.5 N NaOH aqueous, MeOH; 1 N HCl aqueous, pH = 5, 85% yield; (n) 4, HATU and DIPEA, DMF, 67% yield; (o) TFA, DCM; saturated 1 N NaOH aqueous, pH = 9, 76% yield.
Reactions of methyl 3-(4-(bromomethyl)phenyl)acrylate and the corresponding monomethyl arylamines (20a–20g) were performed to obtain the products 21a–21g. Boc-protection of 21a–21g gave 22a–22g, which were hydrolyzed under alkaline conditions to give 23a–23g. The compounds 23a–23g were coupled with 4 by HATU-mediated amide formation that afforded 24a–24g, which were finally treated with trifluoroacetic acid to yield the end products 25a–25g (Scheme 5).
Scheme 5.
Synthesis of compounds 25a–25g. Reagents and conditions: (p) methyl 3-(4-(bromomethyl)phenyl)acrylate, K2CO3, DMF, 45% yield; (q) (Boc)2O, TEA, DCM, 70% yield; (r) 1.5 N NaOH aqueous, MeOH; 1 N HCl aqueous, pH = 5, 85% yield; (s) 4, HATU and DIPEA, DMF, 67% yield; (t) TFA, DCM; saturated 1 N NaOH aqueous, pH = 9, 76% yield.
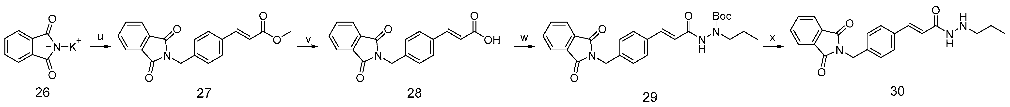
Reaction of methyl 3-(4-(bromomethyl)phenyl)acrylate and potassium phthalimide (26) was performed to obtain the product 27, which hydrolyzed under alkaline conditions to give 28. Compound 28 was coupled with 4 by HATU-mediated amide formation that afforded 29, which was finally treated with trifluoroacetic acid to yield the end product 30 (Scheme 6).
Scheme 6.
Synthesis of compound 30. Reagents and conditions: (u) methyl 3-(4-(bromomethyl)phenyl)acrylate, K2CO3, DMF, 70% yield; (v) 1.5 N NaOH aqueous, MeOH; 1 N HCl aqueous, pH = 5, 85% yield; (w) 4, HATU and DIPEA, DMF, 55% yield; (x) TFA, DCM; saturated 1 N NaOH aqueous, pH = 9, 80% yield.
2.2. Compound Design
As reported in the original document, SCA has good inhibitory activity against class I HDACs, especially HDAC2, with an IC50 value of 0.112 nM [16]. However, currently designed and synthesized SCA derivatives did not significantly enhance the inhibitory activity and selectivity of HDACs, and they regrettably showed proliferation inhibition ability at the micromolar level in a variety of cancer cell lines [17,21]. Gromek et al. developed a docking model of HDAC2 and SCA and discovered that the modification of the carbamate structure of SCA might potentially enhance its HDAC inhibitory activity [16]. Specifically, the presence of a terminal oxygen in SCA limited its ability to form optimal chelation interactions, hindering activity promotion. Additionally, the planar structure of the terminal urethane extension might impact the binding conformation. Furthermore, SCA might not form hydrogen bonds with key residues like Asp104, His146 and His145 in the model [17]. Therefore, the substitution of the end ZBG of SCA is crucial for the initial optimization of the compounds. As mentioned earlier, considering the hydrazide group has shown higher activity and selectivity against HDAC1/3, we conducted a docking of SCA and HDAC3 to further verify the above conclusions (Figure 1). The results were consistent, so we decided to replace the ZBG of the SCA with a hydrazide group. Our group previously explored the structure–activity relationships (SARs) of N-substituted hydrazide-based HDACIs and found that three-carbon linker chain monosubstitution hydrazide showed the best selectivity and inhibitory effect [11]. In this study, we designed compounds with N-propyl acetyl hydrazine. Since the modification of Cap and Linker groups could potentially improve the inhibitory activity and selectivity, our initial approach tried to compare the effect of the amide order in Cap and Linker on activity and then optimize the Cap groups and Linker groups (Figure 1). These newly designed compounds were expected to have the following improvements: (1) increased selectivity for class I HDACs and (2) enhanced activity against class I HDACs and anti-leukemia activity compared to the parent molecule SCA.
Figure 1.
Basis of compound design. (a) Docking pose of SCA (green) in the binding site of HDAC3 (PDB: 4A69); (b) chemical structures of the designed analogs of SCA.
The initial step involves an examination of the impact of the sequence of amide bonds connecting the Cap to the Linker and the optimal Linker length, which is analyzed through two distinct scenarios. Compound 9b is achieved by directly modifying the ethyl carbamate of SCA with N-propyl acetyl hydrazine. Subsequent variations in the length of the Linker alkyl chain, while keeping the Cap and ZBG constant, result in the synthesis of compounds 9a and 9c–9f (Table 1). Furthermore, altering the sequence of amide bonds within the Cap region, while maintaining the alkyl chain length, leads to compound 14b, while adjusting the length of the Linker alkyl chain results in compounds 14a and 14c–14f (Table 1). Due to the pronounced enhancement effect of the hydrazide group on the activity of HDAC1-3, especially HDAC1 and HDAC3, recombinant HDAC1/3 enzymes were utilized in the screening of the newly designed compounds for initial enzymatic inhibitory activity. The initial screening concentrations were 100 nM and 10 nM, respectively. In terms of the hydrazide sequence, phenethylamine-capped compounds 9a–9f generally exhibited superior enzymatic activity compared to phenacetyl-capped compounds (14a–14f). The overall enzymatic inhibition activity of both series of compounds increased initially with the lengthening of the Linker, followed by a decrease. Notably, compounds 9e and 14e displayed the highest activity when the Linker was an alkyl chain with eight carbons. In addition, in our enzyme inhibitory activity determination, SCA showed no activity in the corresponding system, which was inconsistent with the original literature reports [16]. However, some literature reports later confirmed that the inhibitory activity of synthetic SCA was relatively weak [17,22].
Table 1.
Structure of compounds (9a–9f, 14a–14f) and their inhibition rate against HDAC1/3.
Subsequently, given the high flexibility of the Linker of the octyldiacyl group, we endeavored to create compounds 9g–9m through a rigid modification of 9e, incorporating benzene rings and double bonds as structural constraints. In this series, the inhibitory activity of 9j–9l, modified by an isoelectronic body, ware nearly double that of 9e, with an inhibition rate toward HDAC3 exceeding 50% at 10 nM. However, the impact of double bonds and sequence on enzyme activity was deemed insignificant, as demonstrated by 9j and 9k. Based on the retention of the benzene ring and double bond in compound 9k, the original amide bond was substituted with an amino group to obtain compound 25c. Remarkably, the activity of compound 25c surpassed that of the previously described compounds, with an inhibition rate exceeding 95% toward HDAC3 at a concentration of 10 nM. This finding underscored the essential role of the amino group in enzyme inhibition. Consequently, the structural framework of compound 25c was retained while the Cap group was modified (Table 2).
Table 2.
Structure of compounds (9g–9m, 25c) and their inhibition rate against HDAC1/3.
Initially, compound 25a, featuring an aniline group as the Cap group, exhibited inferior enzyme inhibition activity compared to compounds 25b and 25c, which respectively featured benzylamine and phenylethylamine groups as Cap groups. Additionally, it was observed that excessively elongating the Cap group led to undesired flexible transformations, underscoring the importance of maintaining an optimal Cap group length. In order to investigate the impact of a larger Cap group volume, the phenyl groups in compounds 25a and 25b were substituted with naphthalene groups to yield compounds 25f and 25g, respectively. However, the inhibitory activity of the latter was approximately half as potent as that of the former, indicating that a smaller Cap group volume was more favorable for the inhibitory activity against HDAC1/3. Furthermore, the substitution of the benzene ring in compound 25b with a pyridine ring to obtain 25d that yielded a less favorable outcome, suggesting that the presence of a nitrogen-containing heterocyclic ring might not enhance the compound’s activity. The synthesis of compounds 25e and 30 through cyclization of the phenylethylamine group of 25c resulted in lesser variance in activity for the former compound, while the latter activity had significantly reduced. Furthermore, a comparison of compounds 19a–19d, obtained by altering the Cap group of 9k, reiterated that a bulky Cap group was not ideal for enzyme binding. These findings hold significant implications for the strategic development of hydrazine HDACIs (Table 3).
Table 3.
Structure of compounds (25a–25g) and their inhibition rate against HDAC1/3.
Based on the preliminary screening results mentioned above, we comprehensively selected 10 compounds (9j, 9k, 9l, 25a, 25b, 25c, 25d, 25e, 25g and 30) to determine their IC50s toward HDAC1-3 (Table 4). The results were largely as anticipated and consistent with the findings from the initial screening. Intuitively, 9j, 25b, 25c and 25e showed relatively higher HDAC1-3 activity. Finally, compounds 25b, 25c, 25e and 25g were chosen for subsequent cell-based activity screening.
Table 4.
Structure of compounds (9j–9l, 25a–25g and 30) and their IC50 values against HDAC1/3.
2.3. Cell Proliferation Inhibition
We first examined the anti-proliferative activity of 25b, 25c, 25e and 25g against four AML-associated cell lines (MV4-11, THP-1, HL60 and Kasumi-1 cells). The cell viability after compound treatment was evaluated by resorufin intensity. The class I HDACs selective inhibitor Entinostat was chosen as a positive control. Table 5 summarized the IC50 of the selected compounds in four cell lines. The selected compounds could inhibit the growth of the above four kinds of cells. Among the tested compounds, 25c displayed the best anti-proliferative activity, with IC50 values of 337.6–480.3 nM. However, no inhibitory activity was detected in the synthesized SCA (Table 5).
Table 5.
In vitro anti-proliferative activity of representative compounds (25b, 25c, 25e, 25g).
2.4. HDAC Isoform Selectivity of 25c
Enzymatic and cell-based assays indicate that 25c was the most potent HDACI among all of the compounds we designed. Thus, we chose 25c for further biological study. To assess the HDAC isoforms selectivity of 25c, we determined its IC50 value for other HDAC subtypes (HDAC4, 5, 6, 7, 8, 9 and 11) (Table 6). As there were no appropriate substrates for HDAC10, the inhibitory activity toward this isotype was not determined. The inhibitory activity of compound 25c for HDAC4, 5, 6, 7, 9 and 11 exceeded 10,000 nM, and its inhibitory activity for HDAC8 was 4109 nM, so 25c was a class I HDAC selective inhibitor. We also conducted Western blot analysis to validate the selectivity of 25c. The results indicated that compound 25c significantly elevated the level of acetylated histone H3 (AcHH3) and acetylated histone H4 (AcHH4), aligning with the inhibitory effects on HDAC1, 2 and 3. Surprisingly, the level of acetyl-tubulin increased even though 25c did not inhibit HDAC6, a protein responsible for the deacetylation of tubulin. Our hypothesis conjectured that the upregulation of Ac-tubulin, a substrate of HDAC6, could be attributed to the transcriptional inhibition of HDAC6 (Figure 2).
Table 6.
The HDAC inhibitory activity of 25c in vitro.
Figure 2.
Western blot analysis of the enzyme substrates that interact with 25c in MV4-11 cells. (a) Western blot analysis of AcHH3(Lys27), AcHH4, Ac-tubulin, HDAC6 and α-tubulin in MV4-11 cells after treatment of compound 25c and SCA at the concentrations of 0.2, 0.4 and 200 μM for 24 h; (b) The expression levels of AcHH3(Lys27), AcHH4, Ac-tubulin and α-tubulin were quantified. Data are shown as mean ± SEM from three independent experiments.
2.5. 25c and Venetoclax Synergistically Inhibit Cell Proliferation
Venetoclax is a drug used to treat specific types of leukemia and lymphoma, known as a Bcl-2 inhibitor. Bcl-2 is a protein that plays a key role in regulating apoptosis. In some types of leukemia and lymphoma, cancer cells evade the natural mechanism of apoptosis by overexpressing Bcl-2, leading to the oversurvival of cancer cells [23]. During Venetoclax treatment, acquired drug resistance is a common phenomenon, and the compensatory high expression of Mcl-1 may be one of the causes of drug resistance in AML cells [24]. According to previous reports, both class I HDAC inhibitors and Venetoclax could induce apoptosis and perform a synergistic effect [24]. As the IC50 of 25c measured in the above experiments was 340.1 ± 82.5 nM in the MV4-11 cell line, showing the more obvious effect among the four cell lines, we selected the MV4-11 cell line for the combination cell assay and analyzed the data according to the Chou–Talalay method [25]. The results indicated that the inhibitory effect of the combination of 25c with Venetoclax was higher than the inhibitory effect of the single agents. When the concentration of 25c was higher than 0.13 μM, the CI values of Venetoclax were all less than 1, indicating that the two drugs had a strong synergistic effect (Figure 3).
Figure 3.
Combination index (CI) values for 25c and Venetoclax after treatment for 72 h. (a) Inhibition rate and CI for the combination of 25c and Venetoclax after treatment for 72 h. (b) Fraction affected and CI for 25c and Venetoclax after treatment for 72 h. Data were analyzed using CompuSyn Software. CIs of <1, =1 and >1 indicate synergism, additive effect and antagonism, respectively.
2.6. Venetoclax and 25c Synergistically Promote Apoptosis in AML Cell
According to previous studies and our experiments, both 25c and Venetoclax could induce apoptosis. In order to further explore the synergistic effect of combination drugs, we performed flow cytometry to detect apoptosis of single and combination drugs by analyzing Annexin V levels and propidium iodide permeability. MV4-11 cells were exposed to 25c and Venetoclax individually and in combination for a duration of 24 h. The results indicated a notable decrease in the apoptosis of MV4-11 cells when treated with the combined treatment compared to either drug alone. The observed rise in apoptosis rate was attributed to the synergistic effect of the drug combination, rather than the sum effect of the individual drugs (Figure 4).
Figure 4.
Apoptosis analysis of 25c and Venetoclax in MV4-11 for 24 h.
Next, we exposed the MV4-11 cell line to the same drug concentrations and time as the apoptosis experiment and then measured the cell cycle distribution using flow cytometry. Numerous studies have confirmed that HDACIs induce cell cycle arrest in the G0/G1 phase in vitro [26]. As can be seen from Figure 5, the proportion of the S phase and G2/M phase decreased in cells treated with 25c, while the proportion of the G0/G1 phase increased. The results showed that 25c could block MV4-11 cells in the G0/G1 phase and exert the effect of cell cycle arrest and cell proliferation inhibition. However, the combination of the two drugs could induce sub-G1 cell death and apoptosis significantly (Figure 5).
Figure 5.
Cell cycle analysis of 25c and Venetoclax in MV4-11 cells for 24 h.
2.7. Effects of 25c and Venetoclax on Transcriptomes in Multiple Genes and Signaling Pathways in MV4-11 Cells
No substantial alterations were noted in the level of cleaved-caspase3 at concentrations of 30 nM and 90 nM in the 25c monotherapy group, but the level in the Venetoclax monotherapy group was slightly higher; however, a heightened level of cleaved-caspase3 was observed in the combined treatment group which was higher than any single drug effect, suggesting that the combination led to an increased apoptotic effect. γ-H2AX protein is recognized as a specific biomarker following DNA double-strand breaks, thereby suggesting an escalation in DNA damage subsequent to drug combination. The levels of γ-H2AX protein in the two monotherapy groups surpassed those of the control group, leading to enhanced efficacy in the combined treatment group. Furthermore, the expression of anti-apoptotic proteins Mcl-1 and Bcl-xL in the Bcl-2 protein family was significantly reduced in the combination treatment cohort, which may be involved in apoptosis induction and cell resistance mechanisms (Figure 6).
Figure 6.
Changes in Bcl-2 family apoptotic regulatory proteins and apoptotic pathway proteins detected by Western blot.
2.8. Study on Metabolic Stability of 25c In Vitro
After verifying the in vitro antitumor activity of 25c and its synergistic effect in combination with Venetoclax, we conducted in vitro stability studies. 25c remained relatively stable in artificial gastric juice, and degradation occurred in artificial intestinal juice and rat plasma, beginning after about 8 h, with degradation of 12.52% and 35.60%, respectively (Figure 7).
Figure 7.
Stability of compound 25c in rat plasma, artificial gastroenteric fluid and artificial intestinal fluid within 24 h.
3. Discussion
In this study, we modified the structure of SCA through the substitution of the original ZBG with hydrazide group and modifications to the Cap and Linker components. The designed and synthesized compounds exhibited significantly improved HDAC inhibitory activity, with compound 25c demonstrating the highest potency in both HDAC enzyme inhibition and cell-based antitumor assays. Compound 25c was identified as a class I HDAC selective inhibitor, displaying IC50 values of 28.1 nM, 134.9 nM and 2.4 nM against HDAC1, 2 and 3, respectively. Furthermore, the IC50 value of 25c against four AML cell lines ranged from 337.6 to 480.3 nM, indicating its potential anti-AML activity in vitro. Flow cytometry and Western blot analysis revealed that 25c facilitated the cleavage of caspase 3, resulting in apoptosis and inhibition of cell proliferation in MV4-11 cells.
Additionally, the co-administration of Venetoclax demonstrated a synergistic enhancement of anti-proliferative activity in AML cell lines, as evidenced by the calculated CI value at specific concentrations. When used in combination with Venetoclax, 25c demonstrated potentially and synergistically enhanced cytotoxicity. Additionally, Figure 4 and Figure 5 clearly show an increase in the sub-G1 cell population, indicating that the combined treatment of the two drugs synergistically induced apoptosis, particularly promoting late apoptosis in the MV4-11 cell line. Furthermore, the expression levels of γH2AX, Mcl-1 and Bcl-xL decreased following the combination of 25c and Venetoclax. The former was associated with DNA damage, while the latter was linked to the inhibition of apoptosis; however, the specific underlying mechanism remained unclear.
Furthermore, prior research has indicated that elevated levels of Mcl-1/Bcl-xL may serve as a contributing factor to drug resistance to Venetoclax. It has been observed that 25c has the potential to counteract this resistance, thus implying that 25c could potentially mitigate the issue of drug resistance to Venetoclax.
4. Materials and Methods
4.1. General Chemistry
All chemical solvents and reagents were purchased from chemical vendors, such as Bidepharm, Aladdin, Macklin, Energy and Leyan, and used as received without further purification unless otherwise noted. 1H NMR and 13C NMR data were collected in DMSO-d6/CDCl3 using a JMTC-400 MHz (Japan Superconductor Technology, Inc, Takatsukdai, Japan) instrument or an Agilent One Probe-500 MHz spectrometer (Agilent Technologies UK Ltd, Oxford, England) with TMS as an internal standard. Chemical shifts (δ) and coupling constants (J) were reported in parts per million (ppm) and hertz (Hz), respectively. Mass spectral data were collected on a Waters Acquity QDa mass detector (Waters, Singapore and Ireland). All target compounds were >95% pure by HPLC analysis, performed on an Agilent 1260 Infinity II HPLC instrument (Agilent Technologies, Waldbronn, Germany) using an Agilent 5 TC-C18 (2) C18 column (5 μm, 4.6 mm × 250 mm) using an equivalent method of potassium phosphate buffer/acetonitrile.
Procedure for Preparation of Target Compounds
Tert-butyl (1,3-dioxoisoindolin-2-yl)carbamate (2). Isobenzofuran-1,3-dione (1, 60 g, 462 mmol) and tert-butyl hydrazinecarboxylate (65 g, 440 mmol) were dissolved in toluene (50 mL) at 115 °C for 36 h. After the reaction was finished, the toluene was removed under vacuum. The solid was dispersed in petroleum ether/AcOEt (10:1) solution, stirred for 1 h, and then filtered to obtain a white solid (112 g, 83% yield). 1H NMR (400 MHz, CDCl3) δ 7.91–7.87 (m, 2H), 7.79–7.75 (m, 2H), 6.73 (s, 1H), 1.49 (s, 9H).
Tert-butyl (1,3-dioxoisoindolin-2-yl)(propyl)carbamate (3). Compound 2 (10.0 g, 38.15 mmol) was dissolved in acetonitrile (30 mL) at 80 °C, and to this solution was added K2CO3 (15.8 g, 114.46 mmol) and tetrabutylammonium bromide (3.7 g, 11.45 mmol) for 0.5 h. Then, 1-bromopropane (5.6 g, 45.79 mmol) was added. The reaction mixture was allowed to stir at 80 °C overnight and was monitored by TLC. After the reaction finished, the residue was washed with brine and dried over anhydrous Na2SO4. The volatiles were removed under vacuum to yield a pale yellow oil (8.8 g, 90% yield). 1H NMR (400 MHz, CDCl3) δ 7.87–7.81 (m, 2H), 7.78–7.70 (m, 2H), 3.59–3.54 (m, 2H), 1.59–1.50 (m, 2H), 1.47 (s, 4H), 1.27 (s, 5H), 0.91 (t, J = 7.4 Hz, 3H).
Tert-butyl 1-propylhydrazine-1-carboxylate (4). Compound 3 (7.4 g, 24 mmol) was dissolved in ethanol (30 mL), and the reaction mixture was cooled to −10 °C, and to this solution was added monomethylhydrazine (5.6 g, 48 mmol) to reflux 8 h. After the reaction was finished, the ethanol was removed under vacuum to obtain a crude product which was purified via flash column chromatography to give compound 4, a white oil (3.8 g, 85% yield). 1H NMR (400 MHz, CDCl3) δ 3.95 (s, 2H), 3.32 (t, J = 7.2 Hz, 2H), 1.62–1.53 (m, 2H), 1.46 (s, 9H), 0.87 (t, J = 7.4 Hz, 3H).
Methyl 4-oxo-4-(phenethylamino)butanoate (6a). 4-Methoxy-4-oxobutanoic acid (5a, 250 mg, 1.89 mmol) and HATU (1077 mg, 2.84 mmol) were dissolved in anhydrous DMF (2 mL) under an ice bath followed by the addition of DIPEA (738 mg, 5.67 mmol). The mixture was stirred at 0 °C for 30 min. 2-Phenylethan-1-amine (275 mg, 2.27 mmol) was added dropwise. After that, the reaction mixture was stirred at room temperature (r.t.) for 6 h, and the reaction was monitored by TLC (CH2Cl2/MeOH 25:1). Then, the reaction solution was diluted with AcOEt, and the mixture was washed with 1 N HCl, saturated NaHCO3, and brine three times. The organic layer was dried over anhydrous Na2SO4 and evaporated under vacuum. The crude product was purified by chromatographic using petroleum ether/AcOEt (1:1) as mobile phase to obtain 6a as a pale yellow solid (238 mg, 48% yield). 1H NMR (400 MHz, CDCl3) δ 7.37 (t, J = 7.0 Hz, 2H), 7.33–7.28 (m, 1H), 7.25 (d, J = 7.7 Hz, 2H), 5.69 (s, 1H), 3.73 (s, 3H), 3.60–3.55 (m, 2H), 2.87 (t, J = 6.1 Hz, 2H), 2.71 (t, J = 5.9 Hz, 2H), 2.48 (t, J = 5.9 Hz, 2H).
Methyl 5-oxo-5-(phenethylamino)pentanoate (6b). Using the synthetic method of compound 6a, 5-methoxy-5-oxopentanoic acid (5b) and 2-phenylethan-1-amine gave 6b as a pale yellow solid (48% yield). 1H NMR (400 MHz, CDCl3) δ 7.37 (t, J = 6.9 Hz, 2H), 7.31 (t, J = 6.3 Hz, 1H), 7.25 (d, J = 7.7 Hz, 2H), 5.60 (s, 1H), 3.72 (s, 3H), 3.61–3.56 (m, 2H), 2.88 (t, J = 6.0 Hz, 2H), 2.40 (t, J = 7.1 Hz, 2H), 2.24 (t, J = 7.4 Hz, 2H), 2.02–1.95 (m, 2H).
Methyl 6-oxo-6-(phenethylamino)hexanoate (6c). Using the synthetic method of compound 6a, 6-methoxy-6-oxohexanoic acid (5c) and 2-phenylethan-1-amine gave 6c as a pale yellow solid (50% yield). 1H NMR (400 MHz, CDCl3) δ 7.29 (t, J = 7.5 Hz, 2H), 7.22 (d, J = 6.7 Hz, 1H), 7.18 (d, J = 8.0 Hz, 2H), 5.53 (s, 1H), 3.65 (s, 3H), 3.53–3.48 (m, 2H), 2.80 (t, J = 7.0 Hz, 2H), 2.34–2.25 (m, 2H), 2.18–2.07 (m, 2H), 1.61 (t, J = 3.9 Hz, 4H).
Methyl 7-oxo-7-(phenethylamino)heptanoate (6d). Using the synthetic method of compound 6a, 7-methoxy-7-oxoheptanoic acid (5d) and 2-phenylethan-1-amine gave 6d as a pale yellow solid (52% yield). The resulting crude product was directly used in the next step of the reaction.
Methyl 8-oxo-8-(phenethylamino)octanoate (6e). Using the synthetic method of compound 6a, 8-methoxy-8-oxooctanoic acid (5e) and 2-phenylethan-1-amine gave 6e as a pale yellow solid (45% yield). 1H NMR (400 MHz, CDCl3) δ 7.26 (t, J = 7.5 Hz, 2H), 7.22–7.17 (m, 1H), 7.14 (d, J = 7.5 Hz, 2H), 5.42 (s, 1H), 3.61 (s, 3H), 3.49–3.44 (m, 2H), 2.76 (t, J = 6.9 Hz, 2H), 2.24 (t, J = 7.4 Hz, 2H), 2.06 (t, J = 7.5 Hz, 2H), 1.57–1.52 (m, 4H), 1.31–1.22 (m, 4H).
Methyl 9-oxo-9-(phenethylamino)nonanoate (6f). Using the synthetic method of compound 6a, 9-methoxy-9-oxononanoic acid (5f) and 2-phenylethan-1-amine gave 6f as a pale yellow solid (20% yield). 1H NMR (400 MHz, CDCl3) δ 7.32–7.27 (m, 2H), 7.24–7.15 (m, 3H), 3.65 (s, 3H), 3.54–3.47 (m, 2H), 2.81 (d, J = 6.9 Hz, 2H), 2.28 (t, J = 7.5 Hz, 2H), 2.13–2.07 (m, 2H), 1.62–1.53 (m, 4H), 1.32–1.25 (m, 6H).
Methyl 4-(phenethylcarbamoyl)benzoate (6g). Using the synthetic method of compound 6a, 4-(methoxycarbonyl)benzoic acid (5g) and 2-phenylethan-1-amine gave 6g as a pale yellow solid (41% yield). 1H NMR (400 MHz, DMSO-d6) δ 8.76 (t, J = 5.9 Hz, 1H), 8.03 (d, J = 8.0 Hz, 2H), 7.93 (d, J = 8.0 Hz, 2H), 7.30 (t, J = 7.4 Hz, 2H), 7.27–7.16 (m, 3H), 3.88 (s, 3H), 3.53–3.47 (m, 2H), 2.86 (t, J = 7.5 Hz, 2H).
Methyl 4-(2-oxo-2-(phenethylamino)ethyl)benzoate (6h). Using the synthetic method of compound 6a, 2-(4-(methoxycarbonyl)phenyl)acetic acid (5h) and 2-phenylethan-1-amine gave 6h as a pale yellow solid (60% yield). ESI-MS m/z: 319.87 [M + Na]+.
Methyl 2-(4-(phenethylcarbamoyl)phenyl)acetate (6i). Using the synthetic method of compound 6a, 4-(2-methoxy-2-oxoethyl)benzoic acid (5i) and 2-phenylethan-1-amine gave 6i as a pale yellow solid (55% yield). The resulting crude product was directly used in the next step of the reaction.
Methyl-3-(4-(phenethylcarbamoyl)phenyl)acrylate (6j). Using the synthetic method of compound 6a, 4-(3-methoxy-3-oxoprop-1-en-1-yl)benzoic acid (5j) and 2-phenylethan-1-amine gave 6j as a pale yellow solid (60% yield). 1H NMR (400 MHz, DMSO-d6) δ 8.64 (t, J = 5.6 Hz, 1H), 7.86–7.80 (m, 4H), 7.69 (d, J = 16.1 Hz, 1H), 7.30 (t, J = 7.2 Hz, 2H), 7.26–7.17 (m, 3H), 6.74 (d, J = 16.1 Hz, 1H), 3.74 (s, 3H), 3.52–3.46 (m, 2H), 2.85 (t, J = 7.4 Hz, 2H). ESI-MS m/z: 311.74 [M + H]+.
Methyl 3-(4-(phenethylcarbamoyl)phenyl)propanoate (6k). Using the synthetic method of compound 6a, 4-(3-methoxy-3-oxopropyl)benzoic acid (5k) and 2-phenylethan-1-amine gave 6k as a pale yellow solid (60% yield). 1H NMR (400 MHz, CDCl3) δ 7.38–7.34 (m, 2H), 7.34 (d, J = 1.5 Hz, 2H), 7.32–7.28 (m, 2H), 7.26 (s, 1H), 7.23 (d, J = 6.7 Hz, 2H), 3.56 (s, 3H), 3.45–3.41 (m, 2H), 3.18 (d, J = 5.6 Hz, 2H), 2.80 (s, 2H). ESI-MS m/z: 333.86 [M + Na]+.
Methyl-4-(3-oxo-3-(phenethylamino)prop-1-en-1-yl)benzoate (6l). Using the synthetic method of compound 6a, 3-(4-(methoxycarbonyl)phenyl)acrylic acid (5l) and 2-phenylethan-1-amine gave 6l as a pale yellow solid (63% yield). ESI-MS m/z: 331.87 [M + Na]+.
Methyl 4-(3-oxo-3-(phenethylamino)propyl)benzoate (6m). Using the synthetic method of compound 6a, 3-(4-(methoxycarbonyl)phenyl)propanoic acid (5m) and 2-phenylethan-1-amine gave 6m as a pale yellow solid (42% yield). The resulting crude product was directly used in the next step of the reaction.
4-Oxo-4-(phenethylamino)butanoic acid (7a). Compound 6a (225 mg, 1 mmol) was dissolved in 4 mL of methanol, and to this solution was added 1.5 mL of a 1 mol/L NaOH aqueous solution. The mixture was stirred for 8 h, and the reaction was monitored by TLC (DCM/methanol 25:1). The methanol was evaporated under vacuum and acidified by 1 N HCl, and then the solid was extracted, filtered, and washed many times with water; the product 7a was obtained after drying, a white solid (195 mg, 90% yield). 1H NMR (400 MHz, DMSO-d6) δ 12.06 (s, 1H), 7.93 (t, J = 5.4 Hz, 1H), 7.31–7.26 (m, 2H), 7.23–7.16 (m, 3H), 3.27–3.22 (m, 2H), 2.72–2.66 (m, 2H), 2.44–2.37 (m, 2H), 2.29 (t, J = 7.3 Hz, 2H).
5-Oxo-5-(phenethylamino)pentanoic acid (7b). Using the synthetic method of compound 7a, compound 6b gave 7b as a white solid (80% yield). 1H NMR (400 MHz, DMSO-d6) δ 11.98 (s, 1H), 7.84 (t, J = 5.7 Hz, 1H), 7.29–7.18 (m, 2H), 7.18–7.09 (m, 3H), 3.27–3.17 (m, 2H), 2.66 (t, J = 7.4 Hz, 2H), 2.14 (t, J = 7.4 Hz, 2H), 2.03 (t, J = 7.4 Hz, 2H), 1.69–1.61 (m, 2H).
6-Oxo-6-(phenethylamino)hexanoic acid (7c). Using the synthetic method of compound 7a, compound 6c gave 7c as a white solid (82% yield). ESI-MS m/z: 249.78 [M + H]+.
7-Oxo-7-(phenethylamino)heptanoic acid (7d). Using the synthetic method of compound 7a, compound 6d gave 7d as a white solid (81% yield). The resulting crude product was directly used for the next reaction.
8-Oxo-8-(phenethylamino)octanoic acid (7e). Using the synthetic method of compound 7a, compound 6e gave 7e as a white solid (87% yield). 1H NMR (400 MHz, DMSO-d6) δ 11.92 (s, 1H), 7.79 (t, J = 5.7 Hz, 1H), 7.26–7.23 (m, 2H), 7.19–7.11 (m, 3H), 3.24–3.19 (m, 2H), 2.66 (t, J = 7.4 Hz, 2H), 2.14 (t, J = 7.4 Hz, 2H), 1.98 (t, J = 7.4 Hz, 2H), 1.47–1.37 (m, 4H), 1.23–1.12 (m, 4H). ESI-MS m/z: 299.83 [M + H]+.
9-Oxo-9-(phenethylamino)nonanoic acid (7f). Using the synthetic method of compound 7a, compound 6f gave 7f as a white solid (87% yield). 1H NMR (400 MHz, DMSO-d6) δ 7.79 (t, J = 5.6 Hz, 1H), 7.29–7.21 (m, 2H), 7.17–7.13 (m, 3H), 3.26–3.17 (m, 2H), 2.65 (t, J = 7.4 Hz, 2H), 2.14 (t, J = 7.4 Hz, 2H), 1.98 (t, J = 7.4 Hz, 2H), 1.49–1.35 (m, 4H), 1.22–1.13 (m, 6H).
4-(Phenethylcarbamoyl)benzoic acid (7g). Using the synthetic method of compound 7a, compound 6g gave 7g as a white solid (85% yield). 1H NMR (400 MHz, DMSO-d6) 13.12 (s, 1H), δ 8.69 (t, J = 5.6 Hz, 1H), 8.02–7.93 (m, 2H), 7.90–7.83 (m, 2H), 7.32–7.12 (m, 5H), 3.51–3.42 (m, 2H), 2.86–2.78 (m, 2H).
4-(2-Oxo-2-(phenethylamino)ethyl)benzoic acid (7h). Using the synthetic method of compound 7a, compound 6h gave 7h as a white solid (85% yield). 1H NMR (400 MHz, DMSO-d6) δ 8.12 (t, J = 5.6 Hz, 1H), 7.82 (d, J = 8.3 Hz, 2H), 7.31–7.26 (m, 2H), 7.26–7.20 (m, 2H), 7.17–7.11 (m, 3H), 3.27–3.22 (m, 2H), 2.67 (t, J = 7.3 Hz, 2H).
2-(4-(Phenethylcarbamoyl)phenyl)acetic acid (7i). Using the synthetic method of compound 7a, compound 6i gave 7i as a white solid (75% yield). The resulting crude product was directly used for the next reaction.
3-(4-(Phenethylcarbamoyl)phenyl)acrylic acid (7j). Using the synthetic method of compound 7a, compound 6j gave 7j as a white solid (91% yield). 1H NMR (400 MHz, DMSO-d6) δ 8.60 (t, J = 5.7 Hz, 1H), 7.81 (d, J = 8.4 Hz, 2H), 7.73 (d, J = 8.3 Hz, 2H), 7.58 (d, J = 16.0 Hz, 1H), 7.30–7.12 (m, 5H), 6.59 (d, J = 16.1 Hz, 1H), 3.50–3.40 (m, 2H), 2.81 (t, J = 7.4 Hz, 2H). ESI-MS m/z: 317.85 [M + Na]+.
3-(4-(Phenethylcarbamoyl)phenyl)propanoic acid (7k). Using the synthetic method of compound 7a, compound 6k gave 7k as a white solid (81% yield). 1H NMR (400 MHz, DMSO-d6) δ 8.45 (t, J = 5.6 Hz, 1H), 7.70 (d, J = 8.0 Hz, 2H), 7.27–7.24 (m, 4H), 7.21–7.14 (m, 3H), 3.50–3.39 (m, 2H), 2.84–2.78 (m, 4H), 2.52 (t, J = 7.6 Hz, 2H).
4-(3-Oxo-3-(phenethylamino)prop-1-en-1-yl)benzoic acid (7l). Using the synthetic method of compound 7a, compound 6l gave 7l as a white solid (80% yield). 1H NMR (400 MHz, DMSO-d6) δ 8.24 (t, J = 5.7 Hz, 1H), 7.92 (d, J = 8.3 Hz, 2H), 7.62 (d, J = 8.3 Hz, 2H), 7.42 (d, J = 15.8 Hz, 1H), 7.31–7.23 (m, 2H), 7.23–7.12 (m, 3H), 6.69 (d, J = 15.8 Hz, 1H), 3.41–3.39 (m, 2H), 2.75 (t, J = 7.3 Hz, 2H).
4-(3-Oxo-3-(phenethylamino)propyl)benzoic acid (7m). Using the synthetic method of compound 7a, compound 6m gave 7m as a white solid (80% yield). 1H NMR (400 MHz, DMSO-d6) δ 7.91 (t, J = 5.7 Hz, 1H), 7.84 (d, J = 8.2 Hz, 2H), 7.32–7.28 (m, 2H), 7.28–7.24 (m, 2H), 7.21–7.16 (m, 1H), 7.15–7.10 (m, 2H), 3.26–3.21 (m, 2H), 2.86 (t, J = 7.6 Hz, 2H), 2.65 (t, J = 7.3 Hz, 2H), 2.38 (t, J = 7.6 Hz, 2H).
Tert-butyl-2-(4-oxo-4-(phenethylamino)butanoyl)-1-propylhydrazine-1-carboxylate (8a). Compound 7a (190 mg, 0.86 mmol) and HATU (490 mg, 1.29 mmol) were dissolved in anhydrous DMF (2 mL) under an ice bath followed by the addition of DIPEA (334 mg, 2.58 mmol). The mixture was stirred at 0 °C for 30 min. Compound 4 (180 mg, 1.03 mmol), was added dropwise; after that, the reaction mixture was stirred at r.t. for 6 h, and the reaction was monitored by TLC (CH2Cl2/MeOH 25:1). Then, the reaction solution was diluted with AcOEt, and the mixture was washed with 1 N HCl, saturated NaHCO3, and brine three times. The organic layer was dried over anhydrous Na2SO4 and evaporated under vacuum. The crude product was purified by chromatographic using DCM/methanol (1:1) as mobile phase to obtain 8a as a white solid (185 mg. 56% yield). 1H NMR (400 MHz, DMSO-d6) δ 9.89 (s, 1H), 7.95 (t, J = 5.5 Hz, 1H), 7.31–7.25 (m, 2H), 7.19 (d, J = 5.3 Hz, 3H), 4.34 (t, J = 5.1 Hz, 2H), 3.47–3.42 (m, 2H), 3.24 (d, J = 4.7 Hz, 2H), 2.71–2.66 (m, 2H), 1.35 (s, 9H), 1.07–1.03 (m, 4H), 0.82 (t, J = 7.2 Hz, 3H).
Tert-butyl-2-(6-oxo-6-(phenethylamino)hexanoyl)-1-propylhydrazine-1-carboxylate (8b). Using the synthetic method of 8a, compound 7b and compound 4 gave 8b as a white solid (69% yield). 1H NMR (400 MHz, CDCl3) δ 7.34–7.26 (m, 2H), 7.25–7.15 (m, 3H), 3.61 (s, 2H), 3.28 (s, 2H), 2.87 (s, 2H), 2.21–2.15 (m, 2H), 1.96–1.91 (m, 2H), 1.77 (s, 4H), 1.46 (s, 9H), 0.87 (t, J = 7.4 Hz, 3H).
Tert-butyl-2-(6-oxo-6-(phenethylamino)hexanoyl)-1-propylhydrazine-1-carboxylate (8c). Using the synthetic method of 8a, compound 7c and compound 4 gave 8c as a white solid (75% yield). 1H NMR (400 MHz, DMSO-d6) δ 9.81 (s, 1H), 7.81 (t, J = 5.9 Hz, 1H), 7.25 (t, J = 7.5 Hz, 2H), 7.16 (d, J = 7.1 Hz, 3H), 3.24–3.19 (m, 4H), 2.65 (t, J = 7.5 Hz, 2H), 2.01 (d, J = 6.5 Hz, 4H), 1.44 (s, 6H), 1.33 (m, 9H), 0.79 (t, J = 7.5 Hz, 3H).
Tert-butyl-2-(7-oxo-7-(phenethylamino)heptanoyl)-1-propylhydrazine-1-carboxylate (8d). Using the synthetic method of 8a, compound 7d and compound 4 gave 8d as a white solid (60% yield). 1H NMR (400 MHz, CDCl3) δ 7.27 (d, J = 7.9 Hz, 2H), 7.21 (d, J = 7.0 Hz, 1H), 7.16 (d, J = 7.5 Hz, 2H), 3.51–3.46 (m, 2H), 3.39 (t, J = 7.3 Hz, 2H), 2.78 (t, J = 6.9 Hz, 2H), 2.16–2.12 (m, 4H), 1.65–1.57 (m, 4H), 1.55–1.48 (m, 2H), 1.42 (d, J = 7.4 Hz, 8H), 1.33 (t, J = 7.8 Hz, 2H), 0.87 (t, J = 7.4Hz, 3H).
Tert-butyl-2-(8-oxo-8-(phenethylamino)octanoyl)-1-propylhydrazine-1-carboxylate (8e). Using the synthetic method of 8a, compound 7e and compound 4 gave 8e as a white solid (47% yield). 1H NMR (400 MHz, CDCl3) δ 7.40–7.35 (m, 2H), 7.32–7.28 (m, 1H), 7.25 (d, J = 7.6 Hz, 2H), 3.60–3.55 (m, 2H), 3.49 (t, J = 7.3 Hz, 2H), 2.88 (t, J = 7.1 Hz, 2H), 2.24–2.15 (m, 4H), 1.75–1.58 (m, 6H), 1.54 (s, 9H), 1.41–1.35 (m, 4H), 0.96 (t, J = 7.2 Hz, 3H).
Tert-butyl-2-(9-oxo-9-(phenethylamino)nonanoyl)-1-propylhydrazine-1-carboxylate (8f). Using the synthetic method of 8a, compound 7f and compound 4 gave 8f as a white solid (53% yield). 1H NMR (400 MHz, CDCl3) δ 7.71 (s, 1H), 7.29–7.25 (m, 2H), 7.22–7.12 (m, 3H), 5.72 (s, 1H), 3.52–3.44 (m, 2H), 3.43–3.37 (m, 2H), 2.77 (d, J = 7.1 Hz, 2H), 2.14 (t, J = 7.6 Hz, 2H), 2.08 (t, J = 7.6 Hz, 2H), 1.66–1.49 (m, 6H), 1.41 (s, 9H), 1.26 (d, J = 5.5 Hz, 6H), 0.86 (t, J = 7.4 Hz, 3H).
Tert-butyl-2-(4-(phenethylcarbamoyl)benzoyl)-1-propylhydrazine-1-carboxylate (8g). Using the synthetic method of 8a, compound 7g and compound 4 gave 8g as a white solid (49% yield). 1H NMR (400 MHz, DMSO-d6) δ 10.61 (s, 1H), 8.70 (s, 1H), 7.90–7.86 (m, 4H), 7.30 (t, J = 7.6 Hz, 2H), 7.25–7.18 (m, 3H), 3.52–3.47 (m, 2H), 3.39 (s, 2H), 2.86 (t, J = 7.5 Hz, 2H), 1.53 (s, 2H), 1.39 (s, 9H), 0.89 (t, J = 7.3 Hz, 3H).
Tert-butyl-2-(4-(2-oxo-2-(phenethylamino)ethyl)benzoyl)-1-propylhydrazine-1-carboxylate (8h). Using the synthetic method of 8a, compound 7h and compound 4 gave 8h as a white solid (53% yield). The resulting crude product was directly used for the next reaction.
Tert-butyl-2-(2-(4-(phenethylcarbamoyl)phenyl)acetyl)-1-propylhydrazine-1-carboxylate (8i). Using the synthetic method of 8a, compound 7i and compound 4 gave 8i as a white solid (76% yield). 1H NMR (400 MHz, DMSO-d6) δ 7.75 (d, J = 7.9 Hz, 1H), 7.65 (d, J = 8.3 Hz, 1H), 7.37–7.19 (m, 8H), 3.47–3.42 (m, 4H), 2.85–2.83 (m, 2H),2.69 (d, J = 1.1 Hz, 2H), 1.53–1.43 (m, 2H), 1.41–1.34 (s, 9H), 1.05 (t, J = 7.0 Hz, 3H).
Tert-butyl-2-(3-(4-(phenethylcarbamoyl)phenyl)acryloyl)-1-propylhydrazine-1-carboxylate (8j). Using the synthetic method of 8a, compound 7j and compound 4 gave 8j as a white solid (75% yield). The resulting crude product was directly used in the next step of the reaction.
Tert-butyl-2-(3-(4-(phenethylcarbamoyl)phenyl)propanoyl)-1-propylhydrazine-1-carboxylate (8k). Using the synthetic method of 8a, compound 7k and compound 4 gave 8k as a white solid (70% yield). 1H NMR (400 MHz, DMSO-d6) δ 9.90 (s, 1H), 8.47 (t, J = 5.1 Hz, 1H), 7.74 (d, J = 8.3 Hz, 2H), 7.30–7.28 (m, 2H), 7.27 (s, 2H), 7.24 (d, J = 1.7 Hz, 1H), 7.22–7.17 (m, 2H), 3.50–3.44 (m, 2H), 3.19 (s, 2H), 2.90–2.82 (m, 4H), 2.40 (t, J = 7.6 Hz, 2H), 1.39 (s, 2H), 1.32 (s, 9H), 0.78 (t, J = 7.4 Hz, 3H).
Tert-butyl-2-(4-(3-oxo-3-(phenethylamino)prop-1-en-1-yl)benzoyl)-1-propylhydrazine-1-carboxylate (8l). Using the synthetic method of 8a, compound 7l and compound 4 gave 8l as a white solid (49% yield). 1H NMR (400 MHz, DMSO-d6) δ 10.56 (s, 1H), 8.25 (t, J = 5.5 Hz, 1H), 7.84 (d, J = 8.3 Hz, 1H), 7.66 (d, J = 8.4 Hz, 2H), 7.45 (d, J = 15.8 Hz, 1H), 7.29 (d, J = 7.5 Hz, 2H), 7.26–7.20 (m, 3H), 6.71 (d, J = 15.8 Hz, 1H), 4.34 (t, J = 5.1 Hz, 4H), 2.80 (d, J = 7.4 Hz, 2H), 1.51 (d, J = 7.4 Hz, 2H), 1.33 (s, 9H), 0.89 (t, J = 8.0 Hz, 3H).
Tert-butyl-2-(4-(3-oxo-3-(phenethylamino)propyl)benzoyl)-1-propylhydrazine-1-carboxylate (8m). Using the synthetic method of 8a, compound 7m and compound 4 gave 8m as a white solid (43% yield). 1H NMR (400 MHz, DMSO-d6) δ 10.40 (s, 1H), 7.89–7.84 (m, 1H), 7.70 (d, J = 9.5 Hz, 1H), 7.27–7.21 (m, 4H), 7.15 (d, J = 7.4 Hz, 1H), 7.10 (d, J = 7.4 Hz, 2H), 4.31 (t, J = 5.1 Hz, 2H), 3.23–3.18 (m, 2H), 2.82 (t, J = 7.4 Hz, 3H), 2.62 (t, J = 7.3 Hz, 2H), 2.34 (t, J = 7.6 Hz, 2H), 1.50–1.43 (m, 2H), 1.34 (s, 9H), 0.84 (t, J = 7.9 Hz, 3H).
4-Oxo-N-phenethyl-4-(2-propylhydrazineyl)butanamide (9a). Compound 8a (170 mg, 0.97 mmol) was dissolved in 4 mL of a mixed solution of DCM and TFA (2:1); the solution was stirred at r.t. for 2 h. The reaction was monitored by TLC. After completion, the volatiles were removed under vacuum. The pH was adjusted to 9 with 1 N NaOH aqueous. The mixture was extracted with DCM, the combined DCM layer was dried over anhydrous Na2SO4. The solvent was removed in vacuum and the residue was purified via flash column chromatography to give compound 9a. The resulting residues were purified by chromatography using DCM/methanol (15:1) as mobile phase to obtain 9a as a white solid (139 mg, 82% yield). 1H NMR (400 MHz, DMSO-d6) δ 9.23 (s, 1H), 7.92 (t, J = 5.6 Hz, 1H), 7.28 (t, J = 7.5 Hz, 2H), 7.19 (d, J = 7.1 Hz, 3H), 4.74 (s, 1H), 3.26–3.21 (m, 2H), 2.68 (t, J = 7.5 Hz, 2H), 2.60 (t, J = 7.2 Hz, 2H), 2.28 (d, J = 6.5 Hz, 2H), 2.23 (d, J = 6.4 Hz, 2H), 1.42–1.32 (m, 2H), 0.85 (t, J = 7.4 Hz, 3H). 13C NMR (126 MHz, DMSO-d6) δ 171.36, 170.30, 137.08, 129.35, 128.60, 126.70, 53.47, 42.91, 39.01, 33.91, 29.50, 29.13, 29.07, 28.93, 26.77, 25.65, 21.21, 12.05. HRMS (AP-ESI) m/z: calcd for C15H23N3O2 [M + Na]+, 300.16825; found, 300.16800. HPLC analysis of compound 9a (purity: 100.0%).
5-Oxo-N-phenethyl-5-(2-propylhydrazineyl)pentanamide (9b). Using the synthetic method of 9a, compound 8b gave 9b as a white solid (36% yield). 1H NMR (400 MHz, DMSO-d6) δ 9.21 (s, 1H), 7.87 (s, 1H), 7.28 (t, J = 6.8 Hz, 2H), 7.19 (d, J = 7.1 Hz, 3H), 4.76 (s, 1H), 3.28–3.22 (m, 2H), 2.69 (t, J = 7.3 Hz, 2H), 2.61 (t, J = 7.1 Hz, 2H), 2.05–1.97 (m, 4H), 1.75–1.65 (m, 2H), 1.42–1.33 (m, 2H), 0.86 (t, J = 6.6 Hz, 3H). 13C NMR (126 MHz, DMSO-d6) δ 171.99, 139.99, 129.07, 128.74, 126.49, 53.50, 40.58, 35.67, 35.19, 33.41, 21.98, 21.22, 12.05. HRMS (AP-ESI) m/z: calcd for C16H25N3O2 [M + Na]+, 314.18390 found, 314.18372. HPLC analysis of compound 9b (purity: 99.80%).
6-Oxo-N-phenethyl-6-(2-propylhydrazineyl)hexanamide (9c). Using the synthetic method of 9a, compound 8c gave 9c as a white solid (42% yield). 1H NMR (400 MHz, CDCl3) δ 7.41 (s, 1H), 7.33–7.27 (m, 2H), 7.25–7.21 (m, 1H), 7.21–7.15 (m, 2H), 5.69 (s, 1H), 3.55–3.48 (m, 2H), 2.83–2.73 (m, 4H), 2.17–2.12 (m, 4H), 1.64–1.60 (m, 4H), 1.51–1.44 (m, 2H), 0.93 (t, J = 7.4 Hz, 3H). 13C NMR (126 MHz, DMSO-d6) δ 172.28, 171.21, 129.07, 128.74, 126.48, 53.48, 40.56, 35.66 (d, J = 5.0 Hz), 33.81, 25.40 (d, J = 2.6 Hz), 21.21, 12.05. HRMS (AP-ESI) m/z: calcd for C17H27N3O2 [M + H]+, 306.21760; found, 306.21771. HPLC analysis of compound 9c (purity: 100.0%).
7-Oxo-N-phenethyl-7-(2-propylhydrazineyl)heptanamide (9d). Using the synthetic method of 9a, compound 8d gave 9d as a white solid (55% yield). 1H NMR (400 MHz, CDCl3) δ 7.31 (t, J = 7.4 Hz, 2H), 7.25–7.18 (m, 3H), 5.54 (s, 1H), 3.53–3.48 (m, 2H), 2.83–2.75 (m, 4H), 2.12 (t, J = 7.6 Hz, 4H), 1.67–1.59 (m, 4H), 1.53–1.43 (m, 2H), 1.35–1.27 (m, 2H), 0.92 (t, J = 7.4 Hz, 3H). 13C NMR (126 MHz, DMSO-d6) δ 172.38, 171.31, 139.99, 129.06, 128.73, 126.47, 53.49, 40.55, 35.73, 35.69, 33.84, 28.65, 25.48, 21.21, 12.04. HRMS (AP-ESI) m/z: calcd for C18H29N3O2 [M + H]+, 320.23325; found, 320.23337. HPLC analysis of compound 9d (purity: 96.65%).
8-Oxo-N-phenethyl-8-(2-propylhydrazineyl)octanamide (9e). Using the synthetic method of 9a, compound 8e gave 9d as a white solid (65% yield). 1H NMR (400 MHz, CDCl3) δ 7.29 (d, J = 7.5 Hz, 1H), 7.21 (d, J = 7.2 Hz, 1H), 7.16 (d, J = 7.4 Hz, 3H), 5.52 (s, 1H), 3.51–3.46 (m, 2H), 2.80–2.73 (m, 4H), 2.08 (t, J = 7.5 Hz, 4H), 1.63–1.54 (m, 4H), 1.48–1.41 (m, 2H), 1.33–1.24 (m, 4H), 0.90 (t, J = 7.4 Hz, 3H). 13C NMR (126 MHz, DMSO-d6) δ 172.43, 171.36, 139.99, 129.08, 128.71, 126.47, 53.46, 40.52, 35.83, 35.66, 33.92, 28.82, 25.68, 25.59, 21.21, 12.06. HRMS (AP-ESI) m/z: calcd for C19H31N3O2 [M + H]+, 334.24890; found, 334.24878. HPLC analysis of compound 9e (purity: 98.71%).
9-Oxo-N-phenethyl-9-(2-propylhydrazineyl)nonanamide (9f). Using the synthetic method of 9a, compound 8f gave 9f as a white solid (53% yield). 1H NMR (400 MHz, DMSO-d6) δ 9.20 (s, 1H), 7.82 (t, J = 5.8 Hz, 1H), 7.31–7.24 (m, 2H), 7.22–7.15 (m, 3H), 4.77 (s, 1H), 3.28–3.21 (m, 2H), 2.69 (t, J = 7.3 Hz, 2H), 2.60 (t, J = 7.1 Hz, 2H), 2.05–1.94 (m, 4H), 1.50–1.42 (m, 4H), 1.38–1.32 (m, 2H), 1.21 (d, J = 5.9 Hz, 6H), 0.85 (t, J = 7.5 Hz, 3H). 13C NMR (126 MHz, DMSO-d6) δ 172.44, 171.36, 139.99, 129.06, 128.71, 126.47, 53.48, 40.50, 35.84, 35.67, 33.91, 28.98, 28.95, 28.89, 25.70, 25.64, 21.21, 12.04. HRMS (AP-ESI) m/z: calcd for C20H33N3O2 [M + H]+, 348.26455; found, 348.26443. HPLC analysis of compound 9f (purity: 99.64%).
N-Phenethyl-4-(2-propylhydrazine-1-carbonyl)benzamide (9g). Using the synthetic method of 9a, compound 8g gave 9g as a white solid (73% yield). 1H NMR (400 MHz, DMSO-d6) δ 10.13 (d, J = 5.3 Hz, 1H), 8.72 (t, J = 5.5 Hz, 1H), 7.88 (s, 4H), 7.29 (t, J = 7.4 Hz, 2H), 7.26–7.16 (m, 3H), 5.12 (d, J = 6.6 Hz, 1H), 3.49 (d, J = 7.5 Hz, 2H), 2.85 (t, J = 7.5 Hz, 2H), 2.75 (d, J = 6.4 Hz, 2H), 1.51–1.42 (m, 2H), 0.91 (t, J = 7.4 Hz, 3H). 13C NMR (126 MHz, DMSO-d6) δ 165.87, 164.98, 139.96, 137.21, 135.81, 129.11, 128.79, 127.61, 127.47, 126.54, 53.47, 41.38, 35.47, 21.29, 12.11. HRMS (AP-ESI) m/z: calcd for C19H23N3O2 [M + H]+, 326.18630; found, 326.18600. HPLC analysis of compound 9g (purity: 99.52%).
N-Phenethyl-2-(4-(2-propylhydrazine-1-carbonyl)phenyl)acetamide (9h). Using the synthetic method of 9a, compound 8h gave 9h as a white solid (71% yield). 1H NMR (400 MHz, DMSO-d6) δ 9.54 (s, 1H), 8.52 (t, J = 5.5 Hz, 1H), 7.74 (d, J = 8.3 Hz, 2H), 7.33–7.27 (m, 4H), 7.25–7.17 (m, 3H), 4.85 (s, 1H), 3.50–3.43 (m, 2H), 3.40 (s, 2H), 2.83 (t, J = 7.4 Hz, 2H), 2.61 (t, J = 7.1 Hz, 2H), 1.42–1.32 (m, 2H), 0.85 (t, J = 7.4 Hz, 3H). 13C NMR (126 MHz, DMSO-d6) δ 168.98, 166.51, 139.97, 139.85, 133.19, 129.21, 129.12, 128.80, 127.53, 126.55, 41.31, 35.53, 21.14. HRMS (AP-ESI) m/z: calcd for C20H25N3O2 [M + H]+, 340.20195; found, 340.20212. HPLC analysis of compound 9h (purity: 100.0%).
4-(2-Oxo-2-(2-propylhydrazineyl)ethyl)-N-phenethylbenzamide (9i). Using the synthetic method of 9a, compound 8i gave 9i as a white solid (60% yield). 1H NMR (400 MHz, DMSO-d6) δ 11.77 (s, 1H), 8.59 (t, J = 5.6 Hz, 1H), 7.79 (d, J = 7.9 Hz, 2H), 7.38 (d, J = 8.2 Hz, 2H), 7.29 (t, J = 7.4 Hz, 2H), 7.26–7.16 (m, 3H), 3.66 (s, 2H), 3.50–3.45 (m, 2H), 3.00 (d, J = 15.6 Hz, 2H), 2.84 (t, J = 7.4 Hz, 2H), 1.65–1.55 (m, 2H), 0.89 (t, J = 7.5 Hz, 3H). 13C NMR (126 MHz, DMSO-d6) δ 169.29, 166.28, 140.00, 138.18, 133.65, 129.50, 129.13, 128.80, 127.71, 126.55, 51.63, 41.32, 39.83, 35.56, 17.96, 11.27. HRMS (AP-ESI) m/z: calcd for C20H25N3O2 [M + H]+, 340.20195; found, 340.20184. HPLC analysis of compound 9i (purity: 100.0%).
4-(3-Oxo-3-(2-propylhydrazineyl)prop-1-en-1-yl)-N-phenethylbenzamide (9j). Using the synthetic method of 9a, compound 8j gave 9j as a white solid (61% yield). 1H NMR (400 MHz, DMSO-d6) δ 9.65 (s, 1H), 8.61 (t, J = 5.5 Hz, 1H), 7.84 (d, J = 8.2 Hz, 2H), 7.63 (d, J = 8.3 Hz, 2H), 7.48 (d, J = 15.9 Hz, 1H), 7.30 (t, J = 7.5 Hz, 2H), 7.26–7.19 (m, 3H), 6.62 (d, J = 15.9 Hz, 1H), 5.06 (s, 1H), 3.53–3.44 (m, 2H), 2.85 (t, J = 7.4 Hz, 2H), 2.72–2.67 (m, 2H), 1.48–1.39 (m, 2H), 0.89 (t, J = 7.4 Hz, 3H). 13C NMR (126 MHz, DMSO-d6) δ 166.00, 163.96, 139.95, 137.97, 137.87, 135.46, 129.12, 128.81, 128.18, 127.79, 126.56, 122.27, 53.48, 35.52, 21.23, 12.02. HRMS (AP-ESI) m/z: calcd for C21H25N3O2 [M + H]+, 352.20195; found, 352.20187. HPLC analysis of compound 9j (purity: 97.40%).
4-(3-Oxo-3-(2-propylhydrazineyl)propyl)-N-phenethylbenzamide (9k). Using the synthetic method of 9a, compound 8k gave 9k as a white solid (61% yield). 1H NMR (400 MHz, DMSO-d6) δ 9.23 (s, 1H), 8.47 (t, J = 5.6 Hz, 1H), 7.73 (d, J = 1.7 Hz, 1H), 7.72 (d, J = 1.9 Hz, 1H), 7.31–7.17 (m, 7H), 4.78 (s, 1H), 3.50–3.42 (m, 2H), 2.89–2.79 (m, 4H), 2.55 (t, J = 7.1 Hz, 2H), 2.33 (t, J = 7.6 Hz, 2H), 1.35–1.26 (m, 2H), 0.82 (t, J = 7.4 Hz, 3H). 13C NMR (126 MHz, DMSO-d6) δ 165.12, 139.89, 138.04, 137.94, 134.05, 129.10, 128.81, 128.09, 127.82, 126.57, 124.32, 53.50, 40.83, 35.54, 21.30, 12.13. HRMS (AP-ESI) m/z: calcd for C21H27N3O2 [M − H]+, 352.20195; found, 352.20206. HPLC analysis of compound 9k (purity: 100%).
N-Phenethyl-3-(4-(2-propylhydrazine-1-carbonyl)phenyl)acrylamide (9l). Using the synthetic method of 9a, compound 8l gave 9l as a white solid (47% yield). 1H NMR (400 MHz, DMSO-d6) δ 10.07 (s, 1H), 8.26 (t, J = 5.7 Hz, 1H), 7.84 (d, J = 8.1 Hz, 2H), 7.62 (d, J = 8.0 Hz, 2H), 7.44 (d, J = 15.8 Hz, 1H), 7.30 (t, J = 7.5 Hz, 2H), 7.24–7.18 (m, 3H), 6.70 (d, J = 15.8 Hz, 1H), 5.13 (s, 1H), 3.43 (t, J = 7.3 Hz, 2H), 2.80–2.73 (m, 4H), 1.51–1.42 (m, 2H), 0.91 (t, J = 7.4 Hz, 3H). 13C NMR (126 MHz, DMSO-d6) δ 165.10, 139.87, 138.03, 134.08, 129.10, 128.81, 128.07, 127.84, 126.59, 124.23, 53.50, 40.82, 35.55, 21.30, 12.13. HRMS (AP-ESI) m/z: calcd for C21H25N3O2 [M + H]+, 352.20195; found, 352.20200. HPLC analysis of compound 9l (purity: 98.12%).
N-Phenethyl-3-(4-(2-propylhydrazine-1-carbonyl)phenyl)propanamide (9m). Using the synthetic method of 9a, compound 8m gave 9m as a white solid (42% yield). 1H NMR (400 MHz, DMSO-d6) δ 9.96 (s, 1H), 7.93 (t, J = 5.7 Hz, 1H), 7.76–7.69 (m, 2H), 7.25 (d, J = 7.9 Hz, 4H), 7.21–7.15 (m, 1H), 7.13 (d, J = 7.0 Hz, 2H), 5.14 (s, 1H), 3.28–3.18 (m, 2H), 2.83 (t, J = 7.6 Hz, 2H), 2.73 (t, J = 7.1 Hz, 2H), 2.65 (t, J = 7.3 Hz, 2H), 2.36 (t, J = 7.6 Hz, 2H), 1.50–1.41 (m, 2H), 0.90 (t, J = 7.4 Hz, 3H). 13C NMR (126 MHz, DMSO-d6) δ 171.45, 165.60, 145.30, 139.95, 131.32, 129.07, 128.73, 128.63, 127.50, 126.48, 53.56, 40.63, 37.01, 35.62, 31.30, 21.30, 12.14. HRMS (AP-ESI) m/z: calcd for C21H25N3O2 [M + H]+, 354.21760; found, 354.21738. HPLC analysis of compound 9m (purity: 99.81%).
Methyl 4-(2-phenylacetamido)butanoate (11a). Methyl 4-aminobutanoate (10a, 250 mg, 1.62 mmol) was dissolved in DMF (2 mL) under an ice bath followed by the addition of TEA (654 mg, 6.47 mmol). The mixture was stirred at 0 °C for 30 min. 2-Phenylacetyl chloride (497 mg, 4.24 mmol) was added dropwise. After that, the reaction was stirred at r.t. for 6 h, and the reaction was monitored by TLC (CH2Cl2/MeOH 25:1). Then, DMF solution was washed with 1 N HCl, saturated NaHCO3, and brine three times, dried over anhydrous Na2SO4, and evaporated under vacuum. The crude product was purified by chromatography using petroleum ether/AcOEt (1:1) as mobile phase to obtain 11a as a white solid (200 mg, yield 45%). 1H NMR (400 MHz, DMSO-d6) δ 8.05 (t, J = 5.7 Hz, 1H), 7.35–7.26 (m, 2H), 7.26–7.18 (m, 3H), 3.58 (s, 3H), 3.38 (s, 2H), 3.10–3.00 (m, 2H), 2.30 (t, J = 7.5 Hz, 2H), 1.68–1.61 (m, 2H). ESI-MS m/z: 257.79 [M + Na]+.
Methyl 5-(2-phenylacetamido)pentanoate (11b). Using the synthetic method of 11a, methyl 5-aminopentanoate (10b) and 2-phenylacetyl chloride gave 11b as a pale yellow solid (70% yield). 1H NMR (400 MHz, CDCl3) δ 7.34 (t, J = 7.6 Hz, 2H), 7.28 (d, J = 7.9 Hz, 1H), 7.23 (s, 2H), 5.47 (s, 1H), 3.63 (s, 3H), 3.55 (s, 2H), 3.22–3.17 (m, 2H), 2.27 (t, J = 7.0 Hz, 2H), 1.59–1.52 (m, 2H), 1.48–1.42 (m, 2H).
Methyl 6-(2-phenylacetamido)hexanoate (11c). Using the synthetic method of 11a, methyl 6-aminohexanoate (10c) and 2-phenylacetyl chloride gave 11c as a pale yellow solid (65% yield). 1H NMR (400 MHz, DMSO-d6) δ 7.96 (t, J = 5.7 Hz, 1H), 7.26–7.15 (m, 5H), 3.54 (s, 3H), 3.34 (s, 2H), 3.00–2.96 (m, 2H), 2.23 (t, J = 7.5 Hz, 2H), 1.51–1.43 (m, 2H), 1.38–1.31 (m, 2H), 1.24–1.16 (m, 2H).
Methyl 7-(2-phenylacetamido)heptanoate (11d). Using the synthetic method of 11a, methyl 7-aminoheptanoate (10d) and 2-phenylacetyl chloride gave 11d as a pale yellow solid (58% yield). 1H NMR (400 MHz, CDCl3) δ 7.36–7.32 (m, 2H), 7.30–7.26 (m, 1H), 7.24 (s, 1H), 7.23 (d, J = 1.9 Hz, 1H), 5.36 (s, 1H), 3.64 (d, J = 0.6 Hz, 3H), 3.55 (s, 2H), 3.20–3.15 (m, 2H), 2.25 (t, J = 7.5 Hz, 2H), 1.60–1.52 (m, 2H), 1.43–1.36 (m, 2H), 1.30–1.19 (m, 4H).
Methyl 8-(2-phenylacetamido)octanoate (11e). Using the synthetic method of 11a, methyl 8-aminooctanoate (10e) and 2-phenylacetyl chloride gave 11e as a pale yellow solid (60% yield). 1H NMR (400 MHz, CDCl3) δ 7.36 (t, J = 6.9 Hz, 2H), 7.31 (s, 1H), 7.25 (d, J = 7.6 Hz, 2H), 5.33 (s, 1H), 3.66 (d, J = 2.0 Hz, 3H), 3.56 (d, J = 2.0 Hz, 2H), 3.21–3.16 (m, 2H), 2.28 (t, J = 6.5 Hz, 2H), 1.62–1.55 (m, 2H), 1.44–1.36 (m, 2H), 1.28–1.19 (m, 6H).
Methyl 9-(2-phenylacetamido)nonanoate (11f). Using the synthetic method of 11a, methyl 9-aminononanoate (10f) and 2-phenylacetyl chloride gave 11f as a pale yellow solid (43% yield). 1H NMR (400 MHz, CDCl3) δ 7.38–7.34 (m, 2H), 7.32–7.28 (m, 3H), 3.66 (s, 3H), 3.57 (s, 2H), 3.21–3.15 (m, 2H), 2.29 (t, J = 7.5 Hz, 2H), 1.63–1.56 (m, 2H), 1.43–1.36 (m, 2H), 1.30–1.23 (m, 8H). ESI–MS m/z: 328.87 [M + Na]+.
4-(2-Phenylacetamido)butanoic acid (12a). Using the synthetic method of compound 7a, compound 11a gave 12a as a white solid (75% yield). 1H NMR (400 MHz, DMSO-d6) δ 12.01 (s, 1H), 8.01 (t, J = 5.6 Hz, 1H), 7.31–7.23 (m, 2H), 7.23–7.14 (m, 3H), 3.35 (s, 2H), 3.08–2.97 (m, 2H), 2.17 (t, J = 7.4 Hz, 2H), 1.62–1.54 (m, 2H).
5-(2-Phenylacetamido)pentanoic acid (12b). Using the synthetic method of compound 7a, compound 11b gave 12b as a white solid (72% yield). 1H NMR (400 MHz, DMF-d7) δ 8.02 (t, J = 5.7 Hz, 1H), 7.31–7.18 (m, 5H), 3.38 (s, 2H), 3.05–3.00 (m, 2H), 2.19 (t, J = 7.2 Hz, 2H), 1.54–1.44 (m, 2H), 1.43–1.34 (m, 2H).
6-(2-Phenylacetamido)hexanoic acid (12c). Using the synthetic method of compound 7a, compound 11c gave 12c as a white solid (69% yield). The resulting crude product was directly used for the next reaction. ESI-MS m/z: 249.77 [M + H]+.
7-(2-Phenylacetamido)heptanoic acid (12d). Using the synthetic method of compound 7a, compound 11d gave 12d as a white solid (82% yield). 1H NMR (400 MHz, DMSO-d6) δ 7.95 (t, J = 5.8 Hz, 1H), 7.29–7.12 (m, 5H), 3.34 (s, 2H), 3.00–2.96 (m, 2H), 2.10–2.14 (m, 2H), 1.46–1.39 (m, 2H), 1.36–1.30 (m, 2H), 1.22–1.18 (m, 4H).
8-(2-Phenylacetamido)octanoic acid (12e). Using the synthetic method of compound 7a, compound 11e gave 12e as a white solid (67% yield). 1H NMR (400 MHz, DMSO-d6) δ 11.92 (s, 1H), 7.95 (t, J = 5.6 Hz, 1H), 7.27–7.15 (m, 5H), 3.34 (s, 2H), 3.00–2.96 (m, 2H), 2.14 (t, J = 7.3 Hz, 2H), 1.49–1.39 (m, 2H), 1.36–1.30 (m, 2H).
9-(2-Phenylacetamido)nonanoic acid (12f). Using the synthetic method of compound 7a, compound 11f gave 12f as a white solid (77% yield). The resulting crude product was directly used for the next reaction.
Tert-butyl-2-(4-(2-phenylacetamido)butanoyl)-1-propylhydrazine-1-carboxylate (13a). Using the synthetic method of 8a, compound 12a and compound 4 gave 13a as a yellow oil (77% yield). 1H NMR (400 MHz, DMSO-d6) δ 9.88 (s, 1H), 8.05 (s, 1H), 7.22–7.18 (m, 5H), 3.38 (s, 2H), 3.07–3.03 (m, 2H), 2.05 (d, J = 7.3 Hz, 2H), 1.67–1.60 (m, 2H), 1.33 (s, 9H), 1.23 (s, 2H), 0.83 (t, J = 7.4 Hz, 3H).
Tert-butyl-2-(5-(2-phenylacetamido)pentanoyl)-1-propylhydrazine-1-carboxylate (13b). Using the synthetic method of 8a, compound 12b and compound 4 gave 13b as a yellow oil (70% yield). 1H NMR (400 MHz, DMSO-d6) δ 9.84 (s, 1H), 8.01 (t, J = 5.6 Hz, 1H), 7.32–7.24 (m, 3H), 7.24–7.16 (m, 2H), 3.38 (s, 2H), 3.24 (d, J = 10.4 Hz, 2H), 3.05–3.00 (m, 2H), 2.06 (t, J = 7.2 Hz, 2H), 1.54–1.48 (m, 2H), 1.45 (d, J = 13.8 Hz, 2H), 1.34 (s, 9H), 1.32–1.22 (m, 2H), 0.83 (t, J = 7.4 Hz, 3H).
Tert-butyl-(6-(2-phenylacetamido)hexanoyl)-1-propylhydrazine-1-carboxylate (13c). Using the synthetic method of 8a, compound 12c and compound 4 gave 13c as a yellow oil (58% yield). The resulting crude product was directly used for the next reaction.
Tert-butyl-2-(7-(2-phenylacetamido)heptanoyl)-1-propylhydrazine-1-carboxylate (13d). Using the synthetic method of 8a, compound 12d and compound 4 gave 13d as a yellow oil (43% yield). The resulting crude product was directly used for the next reaction.
Tert-butyl-2-(8-(2-phenylacetamido)octanoyl)-1-propylhydrazine-1-carboxylate (13e). Using the synthetic method of 8a, compound 12e and compound 4 gave 13e as a yellow oil (40% yield). 1H NMR (400 MHz, CDCl3) δ 7.39–7.33 (m, 3H), 7.30 (d, J = 7.1 Hz, 1H), 5.40 (s, 1H), 3.56 (s, 2H), 3.43 (t, J = 7.3 Hz, 2H), 3.22–3.17 (m, 2H), 2.16 (t, J = 7.7 Hz, 2H), 1.66–1.61 (m, 2H), 1.57–1.51 (m, 2H), 1.41 (s, 9H), 1.33–1.18 (m, 8H), 0.89 (t, J = 7.2 Hz, 3H).
Tert-butyl-2-(9-(2-phenylacetamido)nonanoyl)-1-propylhydrazine-1-carboxylate (13f). Using the synthetic method of 8a, compound 12f and compound 4 gave 13f as a yellow oil (39% yield). The resulting crude product was directly used for the next reaction.
N-(4-Oxo-4-(2-propylhydrazineyl)butyl)-2-phenylacetamide (14a). Using the synthetic method of 9a, compound 13a gave 14a as a white solid (75% yield). 1H NMR (400 MHz, CDCl3) δ 7.37–7.29 (m, 3H), 7.24 (s, 2H), 5.81 (s, 1H), 3.56 (s, 2H), 3.27–3.22 (m, 2H), 2.76 (t, J = 7.1 Hz, 2H), 2.10 (t, J = 6.9 Hz, 2H), 1.78–1.72 (m, 2H), 1.44–1.42 (m, 2H), 0.93 (t, J = 7.3 Hz, 3H). 13C NMR (126 MHz, DMSO-d6) δ 170.46, 136.96, 129.39, 128.64, 126.74, 53.45, 42.86, 38.73, 31.50, 25.85, 21.21, 12.05. HRMS (AP-ESI) m/z: calcd for C15H23N3O2 [M + H]+, 278.18630; found, 278.18652. HPLC analysis of compound 14a (purity: 100.0%).
N-(5-Oxo-5-(2-propylhydrazineyl)pentyl)-2-phenylacetamide (14b). Using the synthetic method of 9a, compound 13b gave 14b as a white solid (60% yield). 1H NMR (400 MHz, DMSO-d6) δ 9.21 (s, 1H), 8.01 (t, J = 5.7 Hz, 1H), 7.33–7.16 (m, 5H), 4.77 (s, 1H), 3.38 (s, 2H), 3.04–3.00 (m, 2H), 2.60 (t, J = 7.2 Hz, 2H), 2.00 (t, J = 7.3 Hz, 2H), 1.52–1.44 (m, 2H), 1.40–1.33 (m, 4H), 0.86 (t, J = 6.7 Hz, 3H). 13C NMR (126 MHz, DMSO-d6) δ 129.37, 128.62, 126.71, 53.48, 42.86, 38.82, 33.58, 29.11, 23.19, 21.21, 12.06. HRMS (AP-ESI) m/z: calcd for C16H23N3O2 [M + H]+, 292.20195; found, 292.20203. HPLC analysis of compound 14b (purity: 100.0%).
N-(6-Oxo-6-(2-propylhydrazineyl)hexyl)-2-phenylacetamide (14c). Using the synthetic method of 9a, compound 13c gave 14c as a white solid (80% yield). 1H NMR (400 MHz, CDCl3) δ 7.37–7.28 (m, 3H), 7.20 (d, J = 31.6 Hz, 2H), 5.51 (d, J = 7.7 Hz, 1H), 3.55 (s, 2H), 3.21–3.16 (m, 2H), 2.76 (t, J = 7.3 Hz, 2H), 2.09 (t, J = 7.4 Hz, 2H), 1.64–1.57 (m, 2H), 1.51–1.40 (m, 4H), 1.30–1.22 (m, 2H), 0.93 (t, J = 7.4 Hz, 3H). 13C NMR (126 MHz, DMSO-d6) δ 171.35, 170.31, 137.04, 129.37, 128.62, 126.71, 53.22, 38.95, 33.77, 29.26, 26.41, 25.29, 20.74, 11.93. HRMS (AP-ESI) m/z: calcd for C18H29N3O2 [M + Na]+, 328.1995; found, 328.1999. HPLC analysis of compound 14c (purity: 100.0%).
N-(7-Oxo-7-(2-propylhydrazineyl)heptyl)-2-phenylacetamide (14d). Using the synthetic method of 9a, compound 13d gave 14d as a white solid (85% yield). 1H NMR (400 MHz, CDCl3) δ 7.38–7.32 (m, 2H), 7.31–7.28 (m, 1H), 7.26–7.22 (m, 2H), 7.19 (s, 1H), 5.45 (s, 1H), 3.55 (s, 2H), 3.21–3.15 (m, 2H), 2.77 (t, J = 7.3 Hz, 2H), 2.08 (t, J = 7.5 Hz, 2H), 1.62–1.55 (m, 2H), 1.51–1.44 (m, 2H), 1.43–1.37 (m, 2H), 1.34–1.16 (m, 4H), 0.92 (t, J = 7.4 Hz, 3H). 13C NMR (126 MHz, DMSO-d6) δ 171.34, 170.30, 137.08, 129.35, 128.60, 126.70, 53.47, 42.90, 38.99, 33.89, 29.42, 28.70, 26.54, 25.62, 21.21, 12.05. HRMS (AP-ESI) m/z: calcd for C18H29N3O2 [M + H]+, 320.23325; found, 320.23349. HPLC analysis of compound 14d (purity: 100.0%).
N-(8-Oxo-8-(2-propylhydrazineyl)octyl)-2-phenylacetamide (14e). Using the synthetic method of 9a, compound 13e gave 14e as a white solid (70% yield). 1H NMR (400 MHz, DMSO-d6) δ 9.20 (s, 1H), 7.98 (t, J = 5.7 Hz, 1H), 7.33–7.16 (m, 5H), 4.77 (s, 1H), 3.37 (s, 2H), 3.04–2.99 (m, 2H), 2.60 (t, J = 7.1 Hz, 2H), 1.99 (t, J = 7.3 Hz, 2H), 1.50–1.43 (m, 2H), 1.40–1.33 (m, 4H), 1.26–1.18 (m, 6H), 0.86 (t, J = 7.4 Hz, 3H). 13C NMR (126 MHz, DMSO-d6) δ 171.41, 170.31, 137.08, 129.34, 128.60, 126.70, 53.34, 42.91, 39.00, 33.84, 29.49, 28.92, 28.85, 26.71, 25.54, 20.96, 11.98. HRMS (AP-ESI) m/z: calcd for C19H31N3O2 [M + H]+, 334.24890; found, 334.24899. HPLC analysis of compound 14e (purity: 100.0%).
N-(9-Oxo-9-(2-propylhydrazineyl)nonyl)-2-phenylacetamide (14f). Using the synthetic method of 9a, compound 13f gave 14f as a white solid (70% yield). 1H NMR (400 MHz, DMSO-d6) δ 9.20 (s, 1H), 7.98 (t, J = 5.5 Hz, 1H), 7.32–7.17 (m, 5H), 4.77 (s, 1H), 3.37 (s, 2H), 3.04–2.99 (m, 2H), 2.60 (t, J = 7.1 Hz, 2H), 1.99 (t, J = 7.4 Hz, 2H), 1.50–1.43 (m, 2H), 1.42–1.33 (m, 4H), 1.21 (s, 8H), 0.85 (t, J = 7.4 Hz, 3H). 13C NMR (126 MHz, DMSO-d6) δ 171.36, 170.30, 137.08, 129.35, 128.60, 126.70, 53.47, 42.91, 39.01, 33.91, 29.50, 29.13, 29.07, 28.93, 26.77, 25.65, 21.21, 12.05. HRMS (AP-ESI) m/z: calcd for C20H33N3O2 [M + H]+, 348.26455; found, 348.26477. HPLC analysis of compound 14f (purity: 100.0%).
Methyl-3-(4-((2,3-dihydro-1H-inden-2-yl)carbamoyl)phenyl)acrylate (16a). Using the synthetic method of compound 6a, 2,3-dihydro-1H-inden-2-amine (15a) and 4-(3-methoxy-3-oxoprop-1-en-1-yl)benzoic acid gave 16a as a pale yellow oil (55% yield). 1H NMR (400 MHz, DMSO-d6) δ 8.75 (d, J = 7.1 Hz, 1H), 7.90 (d, J = 8.1 Hz, 2H), 7.81 (d, J = 8.1 Hz, 2H), 7.69 (d, J = 16.1 Hz, 1H), 7.24–7.22 (m, 2H), 7.17–7.14 (m, 2H), 6.75 (d, J = 16.0 Hz, 1H), 4.73–4.67 (m, 1H), 3.73 (s, 3H), 3.26 (d, J = 7.8 Hz, 1H), 3.22 (d, J = 7.9 Hz, 1H), 2.99–2.93 (m, 2H).
Methyl-3-(4-(1,2,3,4-tetrahydroisoquinoline-2-carbonyl)phenyl)acrylate (16b). Using the synthetic method of compound 6a, 1,2,3,4-tetrahydroisoquinoline (15b) and 4-(3-methoxy-3-oxoprop-1-en-1-yl)benzoic acid gave 16b as a pale yellow oil (48% yield). 1H NMR (400 MHz, CDCl3) δ 7.70 (d, J = 16.0 Hz, 1H), 7.58 (d, J = 8.1 Hz, 2H), 7.47 (d, J = 7.9 Hz, 2H), 7.21–7.16 (m, 4H), 6.48 (d, J = 16.0 Hz, 1H), 4.88 (s, 1H), 4.57 (s, 1H), 3.99 (s, 1H), 3.81 (s, 3H), 3.63 (s, 1H), 2.91 (d, J = 29.2 Hz, 2H).
Methyl-3-(4-(6-bromo-1,2,3,4-tetrahydroisoquinoline-2-carbonyl)phenyl)acrylate (16c). Using the synthetic method of compound 6a, 6-bromo-1,2,3,4-tetrahydroisoquinoline (15c) and 4-(3-methoxy-3-oxoprop-1-en-1-yl)benzoic acid gave 16c as a pale yellow oil (45% yield). 1H NMR (400 MHz, CDCl3) δ 7.60 (d, J = 16.0 Hz, 1H), 7.50 (d, J = 8.0 Hz, 2H), 7.37 (d, J = 7.8 Hz, 2H), 7.23 (s, 2H), 6.97 (s, 1H), 6.40 (d, J = 16.1 Hz, 1H), 4.58 (d, J = 116.4 Hz, 2H), 3.73 (s, 3H), 3.70 (d, J = 116.4 Hz, 2H), 2.87–2.74 (m, 2H).
Methyl-3-(4-(7-bromo-1,2,3,4-tetrahydroisoquinoline-2-carbonyl)phenyl)acrylate (16d). Using the synthetic method of compound 6a, 7-bromo-1,2,3,4-tetrahydroisoquinoline (15d) and 4-(3-methoxy-3-oxoprop-1-en-1-yl)benzoic acid gave 16d as a pale yellow oil (46% yield). 1H NMR (400 MHz, CDCl3) δ 7.69 (d, J = 16.1 Hz, 1H), 7.57 (d, J = 8.2 Hz, 2H), 7.45 (d, J = 7.8 Hz, 2H), 7.38–7.23 (m, 2H), 7.02 (d, J = 8.4 Hz, 1H), 6.48 (d, J = 16.0 Hz, 1H), 4.84 (s, 1H), 4.54 (s, 1H), 3.96 (s, 1H), 3.81 (s, 3H), 3.62 (s, 1H), 2.90 (d, J = 31.6 Hz, 2H).
3-(4-((2,3-dihydro-1H-inden-2-yl)carbamoyl)phenyl)acrylic acid (17a). Using the synthetic method of compound 7a, compound 16a gave 17a as a white solid (65% yield). 1H NMR (400 MHz, DMSO-d6) δ 12.63 (s, 1H), 8.71 (d, J = 6.9 Hz, 1H), 7.87 (d, J = 8.3 Hz, 2H), 7.73 (d, J = 8.2 Hz, 1H), 7.58 (d, J = 16.0 Hz, 1H), 7.21–7.10 (m, 4H), 6.59 (d, J = 16.0 Hz, 1H), 4.72–4.63 (m, 1H), 3.24–3.18 (m, 2H), 2.96–2.91 (m, 2H).
3-(4-(1,2,3,4-tetrahydroisoquinoline-2-carbonyl)phenyl)acrylic acid (17b). Using the synthetic method of compound 7a, compound 16b gave 17b as a white solid (50% yield). 1H NMR (400 MHz, DMSO-d6) δ 12.50 (s, 1H), 7.74 (d, J = 7.9 Hz, 3H), 7.60 (d, J = 16.0 Hz, 1H), 7.46 (s, 2H), 7.21 (s, 1H), 7.16 (d, J = 9.8 Hz, 3H), 6.57 (d, J = 16.0 Hz, 1H), 4.73 (s, 1H), 3.81 (s, 1H), 2.82 (s, 2H). ESI-MS m/z: 307.87 [M + H]+.
3-(4-(6-bromo-1,2,3,4-tetrahydroisoquinoline-2-carbonyl)phenyl)acrylic acid (17c). Using the synthetic method of compound 7a, compound 16c gave 17c as a white solid (43% yield). 1H NMR (400 MHz, DMSO-d6) δ 7.72 (d, J = 8.2 Hz, 2H), 7.58–7.53 (m, 1H), 7.43 (d, J = 7.7 Hz, 2H), 7.38 (s, 2H), 7.21 (s, 1H), 6.58 (d, J = 16.0 Hz, 1H), 4.68 (s, 1H), 4.49 (s, 1H), 3.78 (s, 1H), 3.50 (s, 1H), 2.82 (s, 2H).
3-(4-(7-bromo-1,2,3,4-tetrahydroisoquinoline-2-carbonyl)phenyl)acrylic acid (17d). Using the synthetic method of compound 7a, compound 16d gave 17d as a white solid (38% yield). 1H NMR (400 MHz, DMSO-d6) δ 7.74 (d, J = 8.0 Hz, 2H), 7.60 (d, J = 16.0 Hz, 1H), 7.44 (d, J = 6.5 Hz, 2H), 7.38 (s, 2H), 7.21 (s, 1H), 6.57 (d, J = 16.0 Hz, 1H), 4.69 (s, 1H), 4.49 (s, 1H), 3.78 (s, 1H), 3.50 (s, 1H), 2.83 (s, 2H). ESI-MS m/z: 385.75 [M + H]+.
Tert-butyl-2-(3-(4-((2,3-dihydro-1H-inden-2-yl)carbamoyl)phenyl)acryloyl)-1-propylhydrazine-1-carboxylate (18a). Using the synthetic method of 8a, compound 17a and compound 4 gave 18a as a pale yellow solid (51% yield).
Tert-butyl-1-propyl-2-(3-(4-(1,2,3,4-tetrahydroisoquinoline-2-carbonyl)phenyl)acryloyl)hydrazine-1-carboxylate (18b). Using the synthetic method of 8a, compound 17b and compound 4 gave 18b as a pale yellow solid (44% yield). 1H NMR (400 MHz, DMSO-d6) δ 10.21 (s, 1H), 7.87–7.76 (m, 1H), 7.69 (d, J = 8.2 Hz, 2H), 7.59 (d, J = 15.9 Hz, 1H), 7.50 (d, J = 7.5 Hz, 2H), 7.18 (s, 3H), 6.66 (d, J = 15.9 Hz, 1H), 3.36 (d, J = 4.7 Hz, 2H), 2.86 (s, 2H), 2.69 (s, 2H), 1.50 (t, J = 7.3 Hz, 2H), 1.37 (s, 9H), 1.18 (d, J = 7.1 Hz, 2H), 0.87 (t, J = 7.4 Hz, 3H).
Tert-butyl-2-(3-(4-(6-bromo-1,2,3,4-tetrahydroisoquinoline-2-carbonyl)phenyl)acryloyl)-1-propylhydrazine-1-carboxylate (18c). Using the synthetic method of 8a, compound 17c and compound 4 gave 18c as a pale yellow solid (35% yield). 1H NMR (400 MHz, DMSO-d6) δ 10.18 (s, 1H), 7.65 (d, J = 8.1 Hz, 2H), 7.56 (d, J = 15.9 Hz, 1H), 7.46 (d, J = 7.7 Hz, 2H), 7.38 (s, 2H), 7.23 (s, 1H), 6.63 (d, J = 15.9 Hz, 1H), 4.69 (s, 1H), 4.50 (s, 1H), 3.79 (s, 1H), 3.51 (s, 1H), 3.32 (t, J = 7.7 Hz, 2H), 2.83 (s, 2H), 1.48–1.34 (m, 2H), 1.34 (s, 9H), 0.83 (t, J = 7.4 Hz, 3H).
Tert-butyl-2-(3-(4-(7-bromo-1,2,3,4-tetrahydroisoquinoline-2-carbonyl)phenyl)acryloyl)-1-propylhydrazine-1-carboxylate (18d). Using the synthetic method of 8a, compound 17d and compound 4 gave 18d as a pale yellow solid (34% yield). 1H NMR (400 MHz, CDCl3) δ 7.58 (d, J = 7.7 Hz, 1H), 7.44 (d, J = 24.9 Hz, 5H), 7.32 (s, 2H), 7.07 (s, 1H), 6.45 (d, J = 15.7 Hz, 1H), 4.81 (s, 1H), 4.52 (s, 1H), 3.95 (s, 1H), 3.62 (s, 1H), 3.52 (t, J = 7.2 Hz, 2H), 2.86 (s, 2H), 1.64–1.48 (m, 2H), 1.48 (s, 9H), 0.92 (t, J = 7.4 Hz, 3H).
N-(2,3-Dihydro-1H-inden-2-yl)-4-(3-oxo-3-(2-propylhydrazineyl)prop-1-en-1-yl)benzamide (19a). Using the synthetic method of 9a, compound 18a gave 19a as a white solid (43% yield). 1H NMR (400 MHz, DMSO-d6) δ 9.65 (s, 1H), 8.71 (d, J = 7.0 Hz, 1H), 7.89 (d, J = 8.2 Hz, 2H), 7.63 (d, J = 8.3 Hz, 2H), 7.47 (d, J = 15.8 Hz, 1H), 7.24–7.21 (m, 2H), 7.18–7.11 (m, 2H), 6.62 (d, J = 15.8 Hz, 1H), 5.08 (s, 1H), 4.75–4.66 (m, 1H), 3.27–3.21 (m, 2H), 2.99–2.93 (m, 2H), 2.69 (t, J = 7.2 Hz, 2H), 1.48–1.39 (m, 2H), 0.88 (t, J = 7.4 Hz, 3H). 13C NMR (126 MHz, DMSO-d6) δ 166.13, 163.94, 141.72, 137.97, 137.89, 135.38, 128.41, 127.70, 126.87, 124.91, 122.28, 53.48, 51.08, 39.30, 21.22, 12.03. HRMS (AP-ESI) m/z: calcd for C22H26O2N3 [M + H]+, 364.20195; found, 364.20175. HPLC analysis of compound 19a (purity: 95.70%).
N′-Propyl-3-(4-(1,2,3,4-tetrahydroisoquinoline-2-carbonyl)phenyl)acrylohydrazide (19b). Using the synthetic method of 9a, compound 18b gave 19b as a white solid (38% yield). 1H NMR (400 MHz, DMSO-d6) δ 9.72 (s, 1H), 7.64 (d, J = 8.3 Hz, 2H), 7.53–7.46 (m, 3H), 7.31–7.08 (m, 4H), 6.64 (d, J = 15.9 Hz, 1H), 4.76 (s, 1H), 4.57 (s, 1H), 3.84 (s, 1H), 3.56 (s, 1H), 2.85 (s, 2H), 2.70 (t, J = 7.1 Hz, 2H), 1.49–1.39 (m, 2H), 0.89 (t, J = 7.4 Hz, 3H). 13C NMR (126 MHz, DMSO-d6) δ 164.01, 138.03, 127.97, 121.98, 53.51, 21.25, 12.03. HRMS (AP-ESI) m/z: calcd for C22H25N3O2 [M + H]+, 364.20195; found, 364.20215. HPLC analysis of compound 19b (purity: 98.25%).
3-(4-(6-Bromo-1,2,3,4-tetrahydroisoquinoline-2-carbonyl)phenyl)-N′-propylacrylohydrazide (19c). Using the synthetic method of 9a, compound 18c gave 19c as a pale yellow solid (40% yield). 1H NMR (400 MHz, DMSO-d6) δ 9.68 (s, 1H), 7.64 (d, J = 8.0 Hz, 2H), 7.54–7.44 (m, 3H), 7.42 (d, J = 1.9 Hz, 2H), 7.25 (s, 1H), 6.61 (d, J = 15.9 Hz, 1H), 5.10 (s, 1H), 4.72 (s, 1H), 4.54 (s, 1H), 3.82 (s, 1H), 3.54 (s, 1H), 2.86 (s, 2H), 2.70 (t, J = 7.1 Hz, 2H), 1.48–1.39 (m, 2H), 0.89 (t, J = 7.4 Hz, 3H). 13C NMR (126 MHz, DMSO-d6) δ 164.00, 138.06, 132.97, 128.75, 127.98, 53.50, 12.03. HRMS (AP-ESI) m/z: calcd for C22H25O2N3Br [M + H]+, 442.11247; found, 442.11209. HPLC analysis of compound 19c (purity: 99.27%).
3-(4-(7-Bromo-1,2,3,4-tetrahydroisoquinoline-2-carbonyl)phenyl)-N′-propylacrylohydrazide (19d). Using the synthetic method of 9a, compound 18d gave 19d as a pale yellow solid (39% yield). 1H NMR (400 MHz, DMSO-d6) δ 10.86 (s, 1H), 7.72 (d, J = 7.9 Hz, 2H), 7.65 (d, J = 15.9 Hz, 1H), 7.51 (d, J = 7.8 Hz, 2H), 7.42 (d, J = 1.9 Hz, 2H), 7.25 (s, 1H), 6.68 (d, J = 15.9 Hz, 1H), 4.73 (s, 1H), 4.53 (s, 1H), 3.82 (s, 1H), 3.53 (s, 1H), 2.97 (t, J = 7.6 Hz, 2H), 2.87 (d, J = 9.6 Hz, 2H), 1.61–1.52 (m, 2H), 0.92 (t, J = 7.4 Hz, 3H). 13C NMR (126 MHz, DMSO-d6) δ 164.00, 138.06, 132.97, 128.75, 53.50. HRMS (AP-ESI) m/z: calcd for C22H25O2N3Br [M + H]+, 442.11247; found, 442.11215. HPLC analysis of compound 19d (purity: 99.12%).
Methyl-3-(4-((phenylamino)methyl)phenyl)acrylate (21a). Aniline (20a, 81 mg, 0.755 mmol) was dissolved in DMF (1.5 mL) followed by the addition of K2CO3 (104 mg, 0.755 mmol); the mixed solution was refluxed at 80 °C for 0.5 h. Methyl-3-(4-(bromomethyl)phenyl)acrylate (150 mg, 0.378 mmol) was added dropwise during the refluxing at 80 °C and stirred for 6 h, and the reaction was monitored by TLC (CH2Cl2/MeOH 15:1). Then, the reaction solution was diluted with AcOEt, and the mixture was washed with 1 N HCl, saturated NaHCO3, and brine three times. The organic layer was dried over anhydrous Na2SO4 and evaporated under vacuum. The crude product was purified by chromatography using DCM/methanol (50:1) as mobile phase to obtain 21a as a white solid (134mg, yield 65%). 1H NMR (400 MHz, CDCl3) δ 7.69 (d, J = 16.0 Hz, 1H), 7.53–7.47 (m, 2H), 7.43–7.36 (m, 2H), 7.22–7.14 (m, 2H), 6.75–6.71 (m, 1H), 6.64–6.60 (m, 2H), 6.43 (d, J = 16.0 Hz, 1H), 4.37 (s, 2H), 3.81 (s, 3H).
Methyl-3-(4-((benzylamino)methyl)phenyl)acrylate (21b). Using the synthetic method of 21a, phenylmethanamine (20b) and methyl-3-(4-(bromomethyl)phenyl)acrylate gave 21b as a pale yellow solid (42% yield). 1H NMR (400 MHz, DMSO-d6) δ 7.67 (d, J = 2.3 Hz, 1H), 7.64 (d, J = 10.3 Hz, 2H), 7.39 (d, J = 8.0 Hz, 2H), 7.36–7.32 (m, 3H), 7.31 (d, J = 1.0 Hz, 1H), 7.25–7.19 (m, 1H), 6.61 (d, J = 16.1 Hz, 1H), 3.72 (s, 3H), 3.69 (s, 2H), 3.66 (s, 2H).
Methyl-3-(4-((phenethylamino)methyl)phenyl)acrylate (21c). Using the synthetic method of 21a, 2-phenylethan-1-amine (20c) and methyl-3-(4-(bromomethyl)phenyl)acrylate gave 21c as a pale yellow solid (42% yield). 1H NMR (400 MHz, DMSO-d6) δ 7.67–7.61 (m, 3H), 7.35 (d, J = 8.2 Hz, 2H), 7.29–7.23 (m, 2H), 7.21–7.13 (m, 3H), 6.59 (d, J = 16.1 Hz, 1H), 3.74 (s, 2H), 3.72 (s, 3H), 2.71 (d, J = 2.2 Hz, 4H).
Methyl-3-(4-(((pyridin-2-ylmethyl)amino)methyl)phenyl)acrylate (21d). Using the synthetic method of 21a, pyridin-2-ylmethanamine (20d) and methyl-3-(4-(bromomethyl)phenyl)acrylate gave 21d as a pale yellow solid (42% yield). 1H NMR (400 MHz, DMSO-d6) δ 8.46 (s, 1H), 7.74–7.69 (m, 1H), 7.67–7.58 (m, 3H), 7.42 (d, J = 8.2 Hz, 1H), 7.36 (d, J = 8.1 Hz, 2H), 7.20 (s, 1H), 6.58 (d, J = 16.1 Hz, 1H), 3.73 (s, 2H), 3.71 (s, 2H), 3.68 (s, 3H). ESI-MS m/z: 282.91 [M + H]+.
Methyl 3-(4-(((2,3-dihydro-1H-inden-2-yl)amino)methyl)phenyl)acrylate (21e). Using the synthetic method of 21a, 2,3-dihydro-1H-inden-2-amine (20e) and methyl-3-(4-(bromomethyl)phenyl)acrylate gave 21e as a pale yellow solid (56% yield). 1H NMR (400 MHz, DMSO-d6) δ 7.71–7.58 (m, 3H), 7.40 (d, J = 8.0 Hz, 2H), 7.17–7.14 (m, 2H), 7.12–7.05 (m, 2H), 6.61 (d, J = 16.1 Hz, 1H), 3.77 (s, 2H), 3.72 (s, 3H), 3.51–3.44 (m, 1H), 3.06–3.00 (m, 2H), 2.73–2.67 (m, 2H).
Methyl-3-(4-((naphthalen-1-ylamino)methyl)phenyl)acrylate (21f). Using the synthetic method of 21a, naphthalen-1-amine (20f) and methyl-3-(4-(bromomethyl)phenyl)acrylate gave 21f as a pale yellow solid (45% yield). 1H NMR (400 MHz, DMSO-d6) δ 8.29–8.21 (m, 1H), 7.78–7.72 (m, 1H), 7.65 (d, J = 7.6 Hz, 2H), 7.48–7.39 (m, 4H), 7.15 (t, J = 7.8 Hz, 1H), 7.07 (d, J = 8.1 Hz, 1H), 7.00 (t, J = 6.0 Hz, 1H), 6.58 (d, J = 16.1 Hz, 1H), 6.33 (d, J = 7.6 Hz, 1H), 4.53 (d, J = 5.9 Hz, 2H), 3.71 (s, 3H). ESI-MS m/z: 317.90 [M + H]+.
Methyl-3-(4-(((naphthalen-1-ylmethyl)amino)methyl)phenyl)acrylate (21g). Using the synthetic method of 21a, naphthalen-1-ylmethanamine (20g) and methyl-3-(4-(bromomethyl)phenyl)acrylate gave 21g as a pale yellow solid (47% yield). 1H NMR (400 MHz, DMSO-d6) δ 8.18–8.10 (m, 1H), 7.93–7.89 (m, 1H), 7.81 (d, J = 8.1 Hz, 1H), 7.69–7.64 (m, 3H), 7.54–7.49 (m, 3H), 7.47–7.42 (m, 3H), 6.62 (d, J = 16.0 Hz, 1H), 4.12 (s, 2H), 3.82 (s, 2H), 3.72 (s, 3H). ESI-MS m/z: 331.81 [M + H]+.
Methyl-3-(4-(((tert-butoxycarbonyl)(phenyl)amino)methyl)phenyl)acrylate (22a). Compound 21a (120 mg, 0.18 mmol) was dissolved in 2.5 mL of DCM, which was added to 147 mg of (Boc)2O and 188 μL of TEA. The mixture was stirred overnight, and DCM was condensed under vacuum to obtain 22a as a yellow solid (90% yield). 1H NMR (400 MHz, DMSO-d6) δ 7.69–7.64 (m, 2H), 7.62 (d, J = 16.1 Hz, 1H), 7.32–7.26 (m, 2H), 7.24 (d, J = 8.0 Hz, 2H), 7.22–7.18 (m, 2H), 7.17–7.12 (m, 1H), 6.60 (d, J = 16.0 Hz, 1H), 4.86 (s, 2H), 3.71 (s, 3H), 1.37 (s, 9H). ESI-MS m/z: 369.18 [M + H]+.
Methyl-3-(4-((benzyl(tert-butoxycarbonyl)amino)methyl)phenyl)acrylate (22b). Using the synthetic method of 22a, compound 21b gave 22b as a white solid (92% yield). The resulting crude product was directly used for the next reaction.
Methyl-3-(4-(((tert-butoxycarbonyl)(phenethyl)amino)methyl)phenyl)acrylate (22c). Using the synthetic method of 22a, compound 21c gave 22c as a white solid (95% yield). ESI-MS m/z: 396.17 [M + H]+.
Methyl-3-(4-(((tert-butoxycarbonyl)(pyridin-2-ylmethyl)amino)methyl)phenyl)acrylate (22d). Using the synthetic method of 22a, compound 21d gave 22d as a white solid (95% yield). 1H NMR (400 MHz, CDCl3) δ 8.51 (d, J = 4.8 Hz, 1H), 7.69–7.61 (m, 2H), 7.46 (d, J = 8.1 Hz, 2H), 7.28 (d, J = 11.5 Hz, 2H), 7.23 (s, 1H), 7.17–7.14 (m, 2H), 6.41 (d, J = 16.0 Hz, 1H), 4.55 (s, 2H), 4.46 (s, 2H), 3.80 (s, 3H), 1.26 (s, 9H).
Methyl)-3-(4-(((tert-butoxycarbonyl)(2,3-dihydro-1H-inden-2-yl)amino)methyl)phenyl)acrylate (22e). Using the synthetic method of 22a, compound 21e gave 22e as a white solid (93% yield). 1H NMR (400 MHz, DMSO-d6) δ 7.70–7.63 (m, 3H), 7.25 (d, J = 8.0 Hz, 2H), 7.16–7.08 (m, 4H), 6.62 (d, J = 16.0 Hz, 1H), 4.47 (s, 2H), 3.72 (s, 3H), 2.97 (d, J = 8.4 Hz, 4H), 1.33 (s, 9H).
Methyl-3-(4-(((tert-butoxycarbonyl)(naphthalen-1-yl)amino)methyl)phenyl)acrylate (22f). Using the synthetic method of 22a, compound 21f gave 22f as a white solid (94% yield). The resulting crude product was directly used for the next reaction.
Methyl-3-(4-(((tert-butoxycarbonyl)(naphthalen-1-ylmethyl)amino)methyl)phenyl)acry late (22g). Using the synthetic method of 22a, compound 21g gave 22g as a white solid (95% yield). 1H NMR (400 MHz, DMSO-d6) δ 8.10 (s, 1H), 7.98–7.93 (m, 1H), 7.86 (d, J = 8.2 Hz, 1H), 7.69–7.60 (m, 3H), 7.56–7.53 (m, 2H), 7.51–7.44 (m, 1H), 7.30 (s, 1H), 7.22 (d, J = 6.8 Hz, 2H), 6.61 (d, J = 16.0 Hz, 1H), 4.88 (s, 2H), 4.34 (s, 2H), 3.72 (s, 3H), 1.42 (s, 9H).
3-(4-(((Tert-butoxycarbonyl)(phenyl)amino)methyl)phenyl)acrylic acid (23a). Using the synthetic method of compound 7a, compound 22a gave 23a as a white solid (65% yield). 1H NMR (400 MHz, DMSO-d6) δ 7.66–7.55 (m, 3H), 7.51 (d, J = 16.0 Hz, 1H), 7.28–7.23 (m, 2H), 7.22–7.15 (m, 4H), 7.14–7.09 (m, 1H), 6.44 (d, J = 16.0 Hz, 1H), 4.82 (s, 2H), 1.33 (s, 9H). ESI-MS m/z: 367.85 [M + H]+.
3-(4-((Benzyl(tert-butoxycarbonyl)amino)methyl)phenyl)acrylic acid (23b). Using the synthetic method of compound 7a, compound 22b gave 23b as a white solid (71% yield). 1H NMR (400 MHz, DMSO-d6) δ 12.31 (s, 1H), 7.62 (d, J = 8.2 Hz, 2H), 7.54 (d, J = 16.0 Hz, 1H), 7.33–7.29 (m, 2H), 7.25–7.17 (m, 5H), 6.47 (d, J = 16.0 Hz, 1H), 4.35 (s, 2H), 4.29 (s, 2H), 1.35 (s, 9H).
3-(4-((Phenethylamino)methyl)phenyl)acrylic acid (23c). Using the synthetic method of compound 7a, compound 22c gave 23c as a white solid (70% yield). 1H NMR (400 MHz, DMSO-d6) δ 7.53 (d, J = 8.1 Hz, 2H), 7.34 (d, J = 15.9 Hz, 1H), 7.25–7.11 (m, 7H), 6.45 (d, J = 16.0 Hz, 1H), 4.33 (s, 2H), 3.28 (s, 2H), 2.70 (t, J = 7.1 Hz, 2H), 1.32 (s, 9H).
3-(4-(((Tert-butoxycarbonyl)(pyridin-2-ylmethyl)amino)methyl)phenyl)acrylicacid (23d). Using the synthetic method of compound 7a, compound 22d gave 23d as a white solid (72% yield). 1H NMR (400 MHz, DMSO-d6) δ 8.55 (d, J = 4.1 Hz, 1H), 7.92 (t, J = 7.8 Hz, 1H), 7.62 (d, J = 8.2 Hz, 2H), 7.54 (d, J = 16.0 Hz, 1H), 7.44–7.23 (m, 4H), 6.48 (d, J = 16.0 Hz, 1H), 4.51 (s, 2H), 4.45 (s, 2H), 1.26 (s, 9H).
3-(4-(((Tert-butoxycarbonyl)(2,3-dihydro-1H-inden-2-yl)amino)methyl)phenyl)acrylicacid (23e). Using the synthetic method of compound 7a, compound 22e gave 23e as a white solid (63% yield). 1H NMR (400 MHz, DMSO-d6) δ 7.51 (d, J = 7.9 Hz, 2H), 7.30 (d, J = 15.9 Hz, 1H), 7.17 (d, J = 7.8 Hz, 2H), 7.11–7.09 (m, 2H), 7.08–7.04 (m, 2H), 6.45 (d, J = 15.9 Hz, 1H), 4.66 (s, 1H), 4.41 (s, 2H), 2.93 (d, J = 8.5 Hz, 4H), 1.29 (s, 9H).
3-(4-(((Tert-butoxycarbonyl)(naphthalen-1-yl)amino)methyl)phenyl)acrylic acid (23f). Using the synthetic method of compound 7a, compound 22f gave 23f as a white solid (59% yield). The resulting crude product was directly used for the next reaction.
3-(4-(((Tert-butoxycarbonyl)(naphthalen-1-ylmethyl)amino)methyl)phenyl)acrylic acid (23g). Using the synthetic method of compound 7a, compound 22g gave 23g as a white solid (65% yield). 1H NMR (400 MHz, DMSO-d6) δ 8.07 (s, 1H), 7.94–7.89 (m, 1H), 7.83 (d, J = 8.2 Hz, 1H), 7.65–7.53 (m, 3H), 7.52–7.48 (m, 2H), 7.47–7.42 (m, 1H), 7.26 (s, 1H), 7.18 (d, J = 6.6 Hz, 2H), 6.52 (dd, J = 44.7, 16.0 Hz, 1H), 4.85 (s, 2H), 4.28 (s, 2H), 1.37 (s, 9H). ESI-MS m/z: 439.90 [M + Na]+.
Tert-butyl-2-(3-(4-(((tert-butoxycarbonyl)(phenyl)amino)methyl)phenyl)acryloyl)-1-pr-opylhydrazine-1-carboxylate (24a). Using the synthetic method of 8a, compound 23a and compound 4 gave 24a as a pale yellow solid (41% yield). 1H NMR (400 MHz, DMSO-d6) δ 10.11 (s, 1H), 7.51 (d, J = 8.0 Hz, 2H), 7.46 (d, J = 15.6 Hz, 1H), 7.26 (t, J = 7.7 Hz, 2H), 7.22 (d, J = 7.9 Hz, 2H), 7.17 (d, J = 7.9 Hz, 2H), 7.14–7.09 (m, 1H), 6.51 (d, J = 15.9 Hz, 1H), 4.82 (s, 2H), 1.46–1.41 (m, 4H), 1.34 (s, 18H), 0.82 (t, J = 7.3 Hz, 3H).
Tert-butyl-2-(3-(4-((benzyl(tert-butoxycarbonyl)amino)methyl)phenyl)acryloyl)-1-propylhydrazine-1-carboxylate (24b). Using the synthetic method of 8a, compound 23b and compound 4 gave 24b as a pale yellow solid (42% yield). 1H NMR (400 MHz, DMSO-d6) δ 10.15 (s, 1H), 7.59–7.54 (m, 2H), 7.34 (t, J = 6.9 Hz, 2H), 7.29–7.19 (m, 6H), 6.61–6.55 (m, 1H), 2.89 (d, J = 6.0 Hz, 2H), 2.73 (d, J = 6.0 Hz, 2H), 1.52–1.46 (m, 6.8 Hz, 4H), 1.39–1.38 (m, 18H), 0.86 (t, J = 7.1 Hz, 3H).
Tert-butyl-2-(3-(4-((phenethylamino)methyl)phenyl)acryloyl)-1-propylhydrazine-1-car-boxylate (24c). Using the synthetic method of 8a, compound 23c and compound 4 gave 24c as a pale yellow solid (60% yield). 1H NMR (400 MHz, CDCl3) δ 7.66 (d, J = 15.5 Hz, 1H), 7.46 (d, J = 8.2 Hz, 2H), 7.29–7.26 (m, 2H), 7.25 (d, J = 1.4 Hz, 1H), 7.19 (t, J = 7.4 Hz, 4H), 6.39 (d, J = 15.6 Hz, 1H), 4.37 (s, 2H), 3.51 (t, J = 7.2 Hz, 2H), 3.35–3.29 (m, 2H), 1.63–1.56 (m, 4H), 1.47 (s, 18H), 0.91 (s, 3H).
Tert-butyl-2-(3-(4-(((tert-butoxycarbonyl)(pyridin-2-ylmethyl)amino)methyl)phenyl)ac-ryloyl)-1-propylhydrazine-1-carboxylate (24d). Using the synthetic method of 8a, compound 23d and compound 4 gave 24d as a pale yellow solid (61% yield). 1H NMR (400 MHz, DMSO-d6) δ 10.15 (s, 1H), 8.51 (d, J = 4.4 Hz, 1H), 8.02–7.87 (m, 2H), 7.79–7.74 (m, 1H), 7.53 (d, J = 23.1 Hz, 2H), 7.29–7.25 (m, 3H), 6.57 (d, J = 15.8 Hz, 1H), 4.50 (d, J = 18.3 Hz, 2H), 4.43 (d, J = 19.9 Hz, 2H), 3.20 (t, J = 7.0 Hz, 2H), 1.52–1.45 (m, 2H), 1.43 (s, 9H), 1.40 (s, 9H), 0.86 (t, J = 7.4 Hz, 3H).
Tert-butyl-2-(3-(4-(((tert-butoxycarbonyl)(2,3-dihydro-1H-inden-2-yl)amino)methyl)ph-enyl)acryloyl)-1-propylhydrazine-1-carboxylate (24e). Using the synthetic method of 8a, compound 23e and compound 4 gave 24e as a pale yellow solid (60% yield). The resulting crude product was directly used in the next step of the reaction.
Tert-butyl-2-(3-(4-(((tert-butoxycarbonyl)(naphthalen-1-yl)amino)methyl)phenyl)acryloyl)-1-propylhydrazine-1-carboxylate (24f). Using the synthetic method of 8a, compound 23f and compound 4 gave 24f as a pale yellow solid (58% yield). ESI-MS m/z: 459.87 [M + H − 100]+.
Tert-butyl-2-(3-(4-(((tert-butoxycarbonyl)(naphthalen-1-ylmethyl)amino)methyl)phen-yl)acryloyl)-1-propylhydrazine-1-carboxylate (24g). Using the synthetic method of 8a, compound 23g and compound 4 gave 24g as a pale yellow solid (60% yield). 1H NMR (400 MHz, DMSO-d6) δ 10.14 (s, 1H), 8.08 (s, 1H), 7.97–7.91 (m, 1H), 7.87 (d, J = 8.2 Hz, 1H), 7.56–7.52 (m, 4H), 7.52–7.45 (m, 2H), 7.32 (s, 1H), 7.23 (d, J = 7.2 Hz, 2H), 6.57 (d, J = 15.8 Hz, 1H), 4.89 (s, 2H), 4.32 (s, 2H), 1.41 (s, 18H), 0.86 (t, J = 7.4 Hz, 3H).
3-(4-((Phenylamino)methyl)phenyl)-N′-propylacrylohydrazide (25a). Using the synthetic method of 9a, compound 24a gave 25a as a white solid (58% yield). 1H NMR (400 MHz, DMSO-d6) δ 11.28 (s, 1H), 7.64 (s, 1H), 7.59 (s, 2H), 7.42 (d, J = 7.9 Hz, 2H), 7.07–7.01 (m, 2H), 6.65–6.42 (m, 4H), 4.31 (s, 2H), 3.06 (s, 2H), 1.61 (s, 2H), 0.93 (t, J = 6.3 Hz, 3H). 13C NMR (126 MHz, DMSO-d6) δ 148.46, 143.46, 132.91, 129.34, 128.63, 128.29, 116.75, 113.11, 11.24. HRMS (AP-ESI) m/z: calcd for C19H24ON3 [M + H]+, 310.19107; found, 310.19139. HPLC analysis of compound 25a (purity: 99.77%).
3-(4-((Benzylamino)methyl)phenyl)-N′-propylacrylohydrazide (25b). Using the synthetic method of 9a, compound 24b gave 25b as a white solid (58% yield). 1H NMR (400 MHz, DMSO-d6) δ 10.87 (s, 1H), 9.43 (s, 2H), 7.69 (d, J = 8.0 Hz, 2H), 7.60 (d, J = 15.9 Hz, 1H), 7.54 (d, J = 7.9 Hz, 2H), 7.51–7.48 (m, 2H), 7.46–7.42 (m, 3H), 6.70 (d, J = 15.9 Hz, 1H), 4.21 (s, 4H), 2.94 (t, J = 7.4 Hz, 2H), 1.60–1.51 (m, 2H), 0.91 (t, J = 7.4 Hz, 3H). 13C NMR (126 MHz, DMSO-d6) δ 140.93, 135.31, 134.12, 131.06, 130.45, 129.46, 129.15, 128.53, 119.50, 52.27, 50.52, 50.10, 18.90, 11.43. HRMS (AP-ESI) m/z: calcd for C20H26ON3 [M + H]+, 324.20679; found, 324.20704. HPLC analysis of compound 25b (purity: 100.0%).
3-(4-((Phenethylamino)methyl)phenyl)-N′-propylacrylohydrazide (25c). Using the synthetic method of 9a, compound 24c gave 25c as a white solid (65% yield). 1H NMR (400 MHz, DMSO-d6) δ 10.87 (s, 1H), 9.15 (s, 2H), 7.70 (d, J = 8.0 Hz, 2H), 7.64–7.52 (m, 3H), 7.34 (t, J = 7.2 Hz, 2H), 7.28–7.24 (m, 3H), 6.70 (d, J = 15.9 Hz, 1H), 4.23 (t, J = 5.4 Hz, 2H), 3.16 (s, 2H), 2.95 (t, J = 8.7 Hz, 4H), 1.60–1.51 (m, 2H), 0.91 (t, J = 7.4 Hz, 3H). 13C NMR (126 MHz, DMSO-d6) δ 164.07, 138.22, 137.77, 135.82, 130.79, 129.12, 129.08, 128.17, 127.23, 121.51, 53.50, 50.40, 48.32, 32.34, 21.23, 12.02. HRMS (AP-ESI) m/z: calcd for C21H28ON3 [M + H]+, 338.22269; found, 338.22235. HPLC analysis of compound 25c (purity: 100.0%).
N′-Propyl-3-(4-(((pyridin-2-ylmethyl)amino)methyl)phenyl)acrylohydrazide (25d). Using the synthetic method of 9a, compound 24d gave 25d as a white solid (80% yield). 1H NMR (400 MHz, DMSO-d6) δ 9.61 (s, 1H), 8.51 (d, J = 3.7 Hz, 1H), 7.81–7.76 (m, 1H), 7.52 (d, J = 8.2 Hz, 2H), 7.48 (s, 1H), 7.46 (d, J = 3.9 Hz, 1H), 7.44–7.38 (m, 3H), 7.30–7.26 (m, 1H), 6.53 (d, J = 15.9 Hz, 1H), 3.85 (s, 2H), 3.81 (s, 2H), 2.69 (t, J = 7.1 Hz, 2H), 1.47–1.38 (m, 2H), 0.88 (t, J = 7.4 Hz, 3H). 13C NMR (126 MHz, DMSO-d6) δ 164.13, 152.33, 149.49, 138.63, 137.80, 133.40, 131.16, 128.19, 124.10, 123.76, 121.29, 53.30, 50.23, 50.15, 20.83, 11.89. HRMS (AP-ESI) m/z: calcd for C19H25ON4 [M + H]+, 325.20229; found, 325.20184. HPLC analysis of compound 25d (purity: 95.11%).
3-(4-(((2,3-Dihydro-1H-inden-2-yl)amino)methyl)phenyl)-N′-propylacrylohydrazide (25e). Using the synthetic method of 9a, compound 24e gave 25e as a white solid (80% yield). 1H NMR (400 MHz, DMSO-d6) δ 10.82 (s, 1H), 9.46–9.26 (m, 2H), 7.70 (d, J = 8.2 Hz, 2H), 7.64–7.55 (m, 3H), 7.23–7.19 (m, 2H), 7.24–7.18 (m, 2H), 6.70 (d, J = 15.9 Hz, 1H), 4.11–4.02 (m, 1H), 3.37–3.31 (m, 2H), 3.18–2.92 (m, 2H), 2.94 (t, J = 7.5 Hz, 2H), 1.60–1.51 (m, 2H), 0.91 (t, J = 7.4 Hz, 3H). 13C NMR (126 MHz, DMSO-d6) δ 139.83, 135.57, 134.06, 131.02, 128.44, 127.50, 124.99, 120.28, 57.65, 52.72, 49.11, 36.17, 19.75, 11.65. HRMS (AP-ESI) m/z: calcd for C23H26ON3 [M + H]+, 350.22269; found, 350.22260. HPLC analysis of compound 25e (purity: 97.02%).
3-(4-((Naphthalen-1-ylamino)methyl)phenyl)-N′-propylacrylohydrazide (25f). Using the synthetic method of 9a, compound 24f gave 25f as a white solid (80% yield). 1H NMR (400 MHz, DMSO-d6) δ 9.58 (d, J = 6.1 Hz, 1H), 8.29–8.20 (m, 1H), 7.78–7.71 (m, 1H), 7.50 (d, J = 8.0 Hz, 2H), 7.47–7.38 (m, 5H), 7.16 (t, J = 7.8 Hz, 1H), 7.07 (d, J = 8.1 Hz, 1H), 7.01 (t, J = 6.0 Hz, 1H), 6.49 (d, J = 15.8 Hz, 1H), 6.33 (d, J = 7.6 Hz, 1H), 5.04 (s, 1H), 4.52 (d, J = 5.8 Hz, 2H), 2.70–2.65 (m, 2H), 1.46–1.37 (m, 2H), 0.88 (t, J = 7.4 Hz, 3H). 13C NMR (126 MHz, DMSO-d6) δ 164.33, 144.00, 142.34, 138.80, 134.50, 133.77, 128.46, 127.99, 127.85, 127.11, 126.09, 124.54, 123.49, 122.04, 115.96, 104.08, 53.53, 46.65, 21.23, 12.02. HRMS (AP-ESI) m/z: calcd for C23H26ON3 [M + H]+, 360.20704; found, 360.20673. HPLC analysis of compound 25f (purity: 100.0%).
3-(4-(((Naphthalen-1-ylmethyl)amino)methyl)phenyl)-N′-propylacrylohydrazide (25g). Using the synthetic method of 9a, compound 24g gave 25g as a white solid (85% yield). 1H NMR (400 MHz, DMSO-d6) δ 9.65 (s, 1H), 8.16–8.11 (m, 1H), 7.93–7.89 (m, 1H), 7.81 (d, J = 8.1 Hz, 1H), 7.53–7.48 (m, 5H), 7.47–7.41 (m, 4H), 6.55 (d, J = 15.8 Hz, 1H), 5.04 (s, 1H), 4.12 (s, 2H), 3.81 (s, 2H), 2.69 (t, J = 7.1 Hz, 2H), 1.48–1.38 (m, 2H), 0.88 (t, J = 7.4 Hz, 3H). 13C NMR (126 MHz, DMSO-d6) δ 164.35, 138.80, 133.98, 133.78, 131.90, 129.23, 128.84, 127.92, 127.85, 126.57, 126.37, 126.10, 125.83, 124.44, 120.22, 53.55, 52.65, 50.04, 21.25, 12.03. HRMS (AP-ESI) m/z: calcd for C24H28ON3 [M + H]+, 374.22269; found, 374.22229. HPLC analysis of compound 25g (purity: 100.0%).
Methyl-3-(4-((1,3-dioxoisoindolin-2-yl)methyl)phenyl)acrylate (27). Using the synthetic method of 21a, isoindoline-1,3-dione (26) and methyl-3-(4-(bromomethyl)phenyl)acrylate gave 27 as a white solid (77% yield). 1H NMR (400 MHz, DMSO-d6) δ 7.89–7.79 (m, 4H), 7.59 (d, J = 16.1 Hz, 1H), 7.55–7.48 (m, 2H), 7.31 (d, J = 8.0 Hz, 2H), 6.57 (d, J = 16.0 Hz, 1H), 4.76 (s, 2H), 3.67 (s, 3H). ESI-MS m/z: 321.88 [M + H]+.
3-(4-((1,3-Dioxoisoindolin-2-yl)methyl)phenyl)acrylic acid (28). Using the synthetic method of compound 7a, compound 27 gave 28 as a white solid (80% yield). 1H NMR (400 MHz, DMSO-d6) δ 8.85 (t, J = 6.0 Hz, 1H), 7.75–7.73 (m, 1H), 7.60 (d, J = 8.2 Hz, 2H), 7.58–7.52 (m, 2H), 7.50–7.46 (m, 1H), 7.44–7.42 (m, 1H), 7.39 (d, J = 8.1 Hz, 2H), 6.47 (d, J = 16.0 Hz, 1H), 4.42 (d, J = 6.0 Hz, 2H).
Tert-butyl-2-(3-(4-((1,3-dioxoisoindolin-2-yl)methyl)phenyl)acryloyl)-1-propylhydrazine-1-carboxylate (29). Using the synthetic method of 8a, compound 28 and compound 4 gave 29 as a pale yellow solid (58% yield). The resulting crude product was directly used for the next reaction.
3-(4-((1,3-Dioxoisoindolin-2-yl)methyl)phenyl)-N′-propylacrylohydrazide (30). Using the synthetic method of 9a, compound 29 gave 30 as a white solid (85% yield). 1H NMR (400 MHz, DMSO-d6) δ 11.38 (s, 1H), 7.96–7.84 (m, 4H), 7.63 (t, J = 8.1 Hz, 3H), 7.38 (d, J = 7.9 Hz, 2H), 6.63 (d, J = 15.8 Hz, 1H), 4.80 (s, 2H), 3.07 (t, J = 7.8 Hz, 2H), 1.66–1.58 (m, 2H), 0.91 (t, J = 7.4 Hz, 3H). 13C NMR (126 MHz, DMSO-d6) δ 164.49, 142.06, 139.42, 135.09, 133.68, 132.02, 128.77, 128.40, 123.74, 117.89, 52.04, 41.07, 38.69, 18.38, 11.28. HRMS (AP-ESI) m/z: calcd for C21H22O3N3 [M + H]+, 364.16557; found, 364.16516. HPLC analysis of compound 30 (purity: 99.08%).
4.2. Cell Culture
The AML cell lines MV4-11, THP-1, KASUMI-1 and HL-60 were purchased from Procell Life Science & Technology Co., Ltd. (Wuhan, China). THP-1 and KASUMI-1 were cultured in RPMI-1640 complete medium containing 10% fetal bovine serum and 1% penicillin and streptomycin. MV4-11 was cultured in IMDM complete medium containing 10% fetal bovine serum and 1% penicillin and streptomycin. HL-60 was cultured in IMDM complete medium containing 20% fetal bovine serum and 1% penicillin and streptomycin. All cell lines were cultured in an incubator with humidity set at 95%, temperature at 37 °C and 5% CO2.
4.2.1. In Vitro HDAC Inhibition Fluorescence Assay
All of the HDAC enzymes were purchased from BPS Bioscience. In vitro HDAC inhibition assays were conducted as previously described. In brief, 20 μL of recombinant HDAC enzyme solution (HDAC1-9, 11) was mixed with various concentrations of the tested compound (20 μL). The mixture was incubated at 37 °C for 1 h, and then, 10 μL of fluorogenic substrate (Boc-Lys (acetyl)-AMC for HDAC1, 2, 3 and 6; Boc-Lys (trifluoroacetyl)AMC for HDAC4, 5, 7, 8, 9 and 11) was added to achieve a final concentration of 50 μM. After incubation at 37 °C for 2 h, the catalysis was stopped by the addition of 10 μL of developer containing 30 mg/mL trypsin and 6 μM trichostatin A (TSA). Then, 30 min later, the fluorescence intensity was measured using a microplate reader at excitation and emission wavelengths of 360 and 460 nm, respectively. The inhibition ratios were calculated from the fluorescence intensity readings of tested wells relative to those of control wells, and the IC50 curves and values were determined by GraphPad Prism 6.0, using the “log(inhibitor) vs. normalized response-variable slope” function.
4.2.2. Cell Viability Assay
MV4-11, THP-1, KASUMI-1 and HL-60 cells were plated in 96-well transparent plates (10,000 to 15,000 cells/100 μL) and after incubation overnight, cells were treated with gradient-diluted inhibitors with several concentrations. After the cells were incubated with inhibitors for 72 h, 1 mg/mL of Resazurin (Sigma-Aldrich, Saint Louis, MO, USA) was added (working concentration was 0.1 mg/mL). After incubation at 37 °C for about 3 h, the fluorescence intensity of resorcinol was measured at 560 nm/590 nm (excitation/emission) with a Spectra Max i3 Microplate Reader, and the cell viability was determined. The IC50 curve was drawn using GraphPad Prism 9.5 software.
4.2.3. Microdilution Checkerboard Assay
The inhibition effect of 25c combined with Venetoclax on the proliferation of MV4-11 cells was determined by microdilution checkerboard assay. CompuSyn software was used to calculate the combined action index of the two compounds, and the cell inhibition rates of the two compounds acting alone and the combined action were input to calculate the combination index (CI) to evaluate the synergistic effect of the drugs. A CI value less than 1 indicates a synergistic effect, a CI value equal to 1 indicates an additive effect and a CI value greater than 1 indicates an antagonistic effect.
4.2.4. Cell Cycle and Apoptosis Study
MV4-11 cells were plated into six-well plates at a density of 2.5 × 106 per well. After incubation overnight, cells were treated with different concentrations of 25c and Venetoclax alone or in combination for 24 h. Then, cells were harvested, washed once with 1 mL PBS and fixed with 75% pre-cooled ethanol at 4 °C overnight. The next day, fixed cells were washed twice with PBS, and incubated with DNase-free Rnase A and propidium iodide using a Cell Cycle Detection Kit (Absin, Shanghai, China). The cell cycle distribution was analyzed by flow cytometry (BD Accuri C6, Becton Dickinson, NJ, USA). Data were analyzed by FlowJo for Windows V10.8.1 software.
MV4-11 cells were inoculated in a 12-well plate at a density of 1 × 106 cells per well. After incubation overnight, cells were treated with different concentrations of 25c and Venetoclax alone or in combination. After 24 h, cells were collected, washed once with 1 mL PBS, re-suspended with 300 μL 1× binding buffer, and filtered through a cell filter to prepare a single-cell suspension. The cells were stained with AnnexinV-FITC 5 μL and propidium iodide (Absin, China) 5 μL and incubated at room temperature for 15 min, and apoptosis was analyzed by BD Accuri C6 Plus flow cytometry (BD Accuri C6, Becton Dickinson, USA). Data were analyzed by FlowJo for Windows V10.8.1 software.
4.2.5. Western Blot Analysis
MV4-11 cells were inoculated into 12-well plates at a density of 800,000 cells/mL. After incubation overnight, each well was treated with different concentrations of 25c and Venetoclax alone or in combination. After treatment for 24 h, the cells were collected and washed with pre-cooled PBS. A protease inhibitor (cocktail) and RIPA buffer were added for cell lysis. The decomposed solution was centrifuged at 12,000 rpm for 15 min at 4 °C, and the extracted protein was located in the supernatant. The proteins in each sample were denatured by heating at 100 °C in loading buffer (5×) for 10 min. The same amount of proteins in each sample was separated by SDS-PAGE and then electrotransferred to a PVDF membrane (Merck Millipore, Billerica, MA, USA) and enclosed in 5% skim milk powder for 1 h. The primary antibody diluted with an immune response booster solution was incubated in a shaking bed at 4 °C overnight, and the horseradish (HRP)-conjugated second antibody diluted with 5% skim milk powder was incubated at room temperature for 1 h on the second day. After the PVDF membrane was washed with TBST, the target protein bands could be detected with chemiluminescent reagents (Millipore, Billerica, MA, USA) and visualized in the Tanon 5200 + fluorescence imager.
The primary antibodies Caspase 3 (including Cleaved Caspase-3) (sc-56053), Mcl-1 (94296S), Bcl-xL (ab98143), γ-H2AX (9718S), AcHH3 (Lys27) (8173S), AcHH4 (sc-377520), HH3 (ab1791), Ac-tubulin (sc-23950), HDAC6 (sc-28386), α-tubulin (sc-23948), GAPDH (sc-59540) and β-actin (8H10D10) were purchased from Abcam, Cell Signaling Technology and Santa Cruz Biotechnology.
4.3. Molecular Docking against HDAC3
Docking sites were defined using Schrodinger, and the simulations used a rigid receptor and triangle matcher methodology for ligand site placement with Schrodinger scoring. One hundred fifteen poses were calculated per binding site. Structural files included PDB 4A69 for HDAC3.
4.4. In Vitro Stability of 25c
To evaluate the stability of compound 25c in vitro, 15 μL 6 μg/mL reserve solution of compound 25c was incubated with 135 μL rat plasma, rat liver homogenate, artificial intestinal oil and artificial gastric fluid at 37 °C for different time points: 0 h, 0.5 h, 1 h, 2 h, 4 h, 8 h, 12 h and 24 h. Equal samples were collected, and 600 μL acetonitrile was added to quench enzyme reactions. The reaction mixture was swirled for 30 s and then centrifuged at 15,000 rpm at 4 °C for 15 min. The supernatant of each sample was analyzed directly by HPLC (1260 Infinity II, Agilent Technologies, Waldbronn, Germany).
Supplementary Materials
The following supporting information can be downloaded at https://www.mdpi.com/article/10.3390/md22060250/s1: Figures S1–S3: IC50 curves representing compounds’ in vitro inhibitory activity or anti-proliferative activity. Figures S4–S7: Results of repeated tests on the biological aspects of 25c, including the Western blot of 25c single-drug selectivity, combination index (CI) for 25c and Venetoclax after treatment 72h, and induction of apoptosis and cell cycle by 25c and Venetoclax in MV4-11 cells. 1H NMR and 13C NMR spectrum and HRMS (AP-ESI) of target compounds. HPLC traces and purity of the target compounds.
Author Contributions
Conceptualization, X.L.; methodology, W.H. and L.W.; software, W.H.; formal analysis, W.H. and L.W.; writing—original draft preparation, W.H., T.X. and G.J.; writing—review and editing, X.L. and Y.J.; supervision, X.L. and C.Q.; project administration, X.L.; funding acquisition, X.L. All authors have read and agreed to the published version of the manuscript.
Funding
This research was funded by the National Key Research and Development Program of China, grant number 2022YFC2804400; National Natural Science Foundation of China, grant number 82103983; the Taishan Scholars Program, grant number tsqn202211296, Fundamental Research Funds for the Central Universities-Ocean University of China; the Science Foundation for Excellent Young Scholars of Shandong Province, grant number ZR2023YQ062; Science and Technology Support Plan for Youth Innovation in Universities of Shandong Province, grant number 2023KJ032.
Institutional Review Board Statement
Not applicable.
Data Availability Statement
Data are contained within the article or Supplementary Materials.
Acknowledgments
The graphical abstract was created with the Home for Researchers (home-for-researchers.com).
Conflicts of Interest
The authors declare no conflicts of interest.
References
- Tang, K.; Schuh, A.C.; Yee, K.W. 3+7 Combined Chemotherapy for Acute Myeloid Leukemia: Is It Time to Say Goodbye? Curr. Oncol. Rep. 2021, 23, 120. [Google Scholar] [CrossRef]
- Assouline, S.; Cocolakis, E.; Borden, K.L. The Development of Novel Therapies for the Treatment of Acute Myeloid Leukemia (AML). Cancers 2012, 4, 1161–1179. [Google Scholar] [CrossRef]
- Tiong, I.S.; Wei, A.H. New drugs creating new challenges in acute myeloid leukemia. Gene Chromosomes Cancer 2019, 58, 903–914. [Google Scholar] [CrossRef]
- Teh, T.C.; Nguyen, N.Y.; Moujalled, D.M.; Segal, D.; Pomilio, G.; Rijal, S.; Jabbour, A.; Cummins, K.; Lackovic, K.; Blombery, P.; et al. Enhancing venetoclax activity in acute myeloid leukemia by co-targeting MCL1. Leukemia 2018, 32, 303–312. [Google Scholar] [CrossRef]
- Ressing, N.; Schliehe-Diecks, J.; Watson, P.R.; Sonnichsen, M.; Cragin, A.D.; Scholer, A.; Yang, J.; Schaker-Hubner, L.; Borkhardt, A.; Christianson, D.W.; et al. Development of Fluorinated Peptoid-Based Histone Deacetylase (HDAC) Inhibitors for Therapy-Resistant Acute Leukemia. J. Med. Chem. 2022, 65, 15457–15472. [Google Scholar] [CrossRef]
- Rice, K.L.; Hormaeche, I.; Licht, J.D. Epigenetic regulation of normal and malignant hematopoiesis. Oncogene 2007, 26, 6697–6714. [Google Scholar] [CrossRef]
- Sarkar, R.; Banerjee, S.; Amin, S.A.; Adhikari, N.; Jha, T. Histone deacetylase 3 (HDAC3) inhibitors as anticancer agents: A review. Eur. J. Med. Chem. 2020, 192, 112171. [Google Scholar] [CrossRef]
- Adhikari, N.; Amin, S.A.; Trivedi, P.; Jha, T.; Ghosh, B. HDAC3 is a potential validated target for cancer: An overview on the benzamide-based selective HDAC3 inhibitors through comparative SAR/QSAR/QAAR approaches. Eur. J. Med. Chem. 2018, 157, 1127–1142. [Google Scholar] [CrossRef]
- Matthews, G.M.; Mehdipour, P.; Cluse, L.A.; Falkenberg, K.J.; Wang, E.; Roth, M.; Santoro, F.; Vidacs, E.; Stanley, K.; House, C.M.; et al. Functional-genetic dissection of HDAC dependencies in mouse lymphoid and myeloid malignancies. Blood 2015, 126, 2392–2403. [Google Scholar] [CrossRef]
- Jiang, Y.; Xu, J.; Yue, K.; Huang, C.; Qin, M.; Chi, D.; Yu, Q.; Zhu, Y.; Hou, X.; Xu, T.; et al. Potent Hydrazide-Based HDAC Inhibitors with a Superior Pharmacokinetic Profile for Efficient Treatment of Acute Myeloid Leukemia In Vivo. J. Med. Chem. 2022, 65, 285–302. [Google Scholar] [CrossRef]
- Li, X.; Peterson, Y.K.; Inks, E.S.; Himes, R.A.; Li, J.; Zhang, Y.; Kong, X.; Chou, C.J. Class I HDAC Inhibitors Display Different Antitumor Mechanism in Leukemia and Prostatic Cancer Cells Depending on Their p53 Status. J. Med. Chem. 2018, 61, 2589–2603. [Google Scholar] [CrossRef]
- Mill, C.P.; Fiskus, W.; Das, K.; Davis, J.A.; Birdwell, C.E.; Kadia, T.M.; DiNardo, C.D.; Daver, N.; Takahashi, K.; Sasaki, K.; et al. Causal linkage of presence of mutant NPM1 to efficacy of novel therapeutic agents against AML cells with mutant NPM1. Leukemia 2023, 37, 1336–1348. [Google Scholar] [CrossRef]
- Ning, Z.Q.; Li, Z.B.; Newman, M.J.; Shan, S.; Wang, X.H.; Pan, D.S.; Zhang, J.; Dong, M.; Du, X.; Lu, X.P. Chidamide (CS055/HBI-8000): A new histone deacetylase inhibitor of the benzamide class with antitumor activity and the ability to enhance immune cell-mediated tumor cell cytotoxicity. Cancer Chemother. Pharmacol. 2012, 69, 901–909. [Google Scholar] [CrossRef]
- Chen, K.; Yang, Q.; Zha, J.; Deng, M.; Zhou, Y.; Fu, G.; Bi, S.; Feng, L.; Xu-Monette, Z.Y.; Chen, X.L.; et al. Preclinical evaluation of a regimen combining chidamide and ABT-199 in acute myeloid leukemia. Cell Death Dis. 2020, 11, 778. [Google Scholar] [CrossRef]
- Wang, B.R.; Wan, C.L.; Liu, S.B.; Qiu, Q.C.; Wu, T.M.; Wang, J.; Li, Y.Y.; Ge, S.S.; Qiu, Y.; Shen, X.D.; et al. A Combined Histone Deacetylases Targeting Strategy to Overcome Venetoclax Plus Azacitidine Regimen Resistance in Acute Myeloid Leukaemia: Three Case Reports. Front. Oncol. 2021, 11, 797941. [Google Scholar] [CrossRef]
- Pavlik, C.M.; Wong, C.Y.; Ononye, S.; Lopez, D.D.; Engene, N.; McPhail, K.L.; Gerwick, W.H.; Balunas, M.J. Santacruzamate A, a potent and selective histone deacetylase inhibitor from the Panamanian marine cyanobacterium cf. Symploca sp. J. Nat. Prod. 2013, 76, 2026–2033. [Google Scholar]
- Gromek, S.M.; DeMayo, J.A.; Maxwell, A.T.; West, A.M.; Pavlik, C.M.; Zhao, Z.; Li, J.; Wiemer, A.J.; Zweifach, A.; Balunas, M.J. Synthesis and biological evaluation of santacruzamate A analogues for anti-proliferative and immunomodulatory activity. Bioorg. Med. Chem. 2016, 24, 5183–5196. [Google Scholar] [CrossRef]
- Yue, K.; Qin, M.; Huang, C.; James, C.C.; Jiang, Y.; Li, X. Comparison of three zinc binding groups for HDAC inhibitors—A potency, selectivity and enzymatic kinetics study. Bioorg. Med. Chem. Lett. 2022, 70, 128797. [Google Scholar] [CrossRef]
- Li, X.; Jiang, Y.; Peterson, Y.K.; Xu, T.; Himes, R.A.; Luo, X.; Yin, G.; Inks, E.S.; Dolloff, N.; Halene, S.; et al. Design of Hydrazide-Bearing HDACIs Based on Panobinostat and Their p53 and FLT3-ITD Dependency in Antileukemia Activity. J. Med. Chem. 2020, 63, 5501–5525. [Google Scholar] [CrossRef]
- McClure, J.J.; Zhang, C.; Inks, E.S.; Peterson, Y.K.; Li, J.; Chou, C.J. Development of Allosteric Hydrazide-Containing Class I Histone Deacetylase Inhibitors for Use in Acute Myeloid Leukemia. J. Med. Chem. 2016, 59, 9942–9959. [Google Scholar] [CrossRef]
- Zhang, L.; Zhang, L. Santacruzamate A Compositions, Analogs and Methods of Use: A Patent Evaluation of WO 2014/018913 (A2). Recent Pat. Anticancer Drug Discov. 2021, 16, 469–478. [Google Scholar] [CrossRef]
- Randino, R.; Gazzerro, P.; Mazitschek, R.; Rodriquez, M. Synthesis and biological evaluation of Santacruzamate-A based analogues. Bioorg. Med. Chem. 2017, 25, 6486–6491. [Google Scholar] [CrossRef]
- Willis, S.; Day, C.L.; Hinds, M.G.; Huang, D.C. The Bcl-2-regulated apoptotic pathway. J. Cell Sci. 2003, 116 Pt 20, 4053–4056. [Google Scholar] [CrossRef]
- Li, G.; Li, D.; Yuan, F.; Cheng, C.; Chen, L.; Wei, X. Synergistic effect of chidamide and venetoclax on apoptosis in acute myeloid leukemia cells and its mechanism. Ann. Transl. Med. 2021, 9, 1575. [Google Scholar] [CrossRef]
- Chou, T.C. Drug combination studies and their synergy quantification using the Chou-Talalay method. Cancer Res. 2010, 70, 440–446. [Google Scholar] [CrossRef]
- Gong, K.; Xie, J.; Yi, H.; Li, W. CS055 (Chidamide/HBI-8000), a novel histone deacetylase inhibitor, induces G1 arrest, ROS-dependent apoptosis and differentiation in human leukaemia cells. Biochem. J. 2012, 443, 735–746. [Google Scholar] [CrossRef]
Disclaimer/Publisher’s Note: The statements, opinions and data contained in all publications are solely those of the individual author(s) and contributor(s) and not of MDPI and/or the editor(s). MDPI and/or the editor(s) disclaim responsibility for any injury to people or property resulting from any ideas, methods, instructions or products referred to in the content. |
© 2024 by the authors. Licensee MDPI, Basel, Switzerland. This article is an open access article distributed under the terms and conditions of the Creative Commons Attribution (CC BY) license (https://creativecommons.org/licenses/by/4.0/).

















































