Extraction, Isolation and Biological Activity of Two Glycolipids from Bangia fusco-purpurea
Abstract
1. Introduction
2. Results
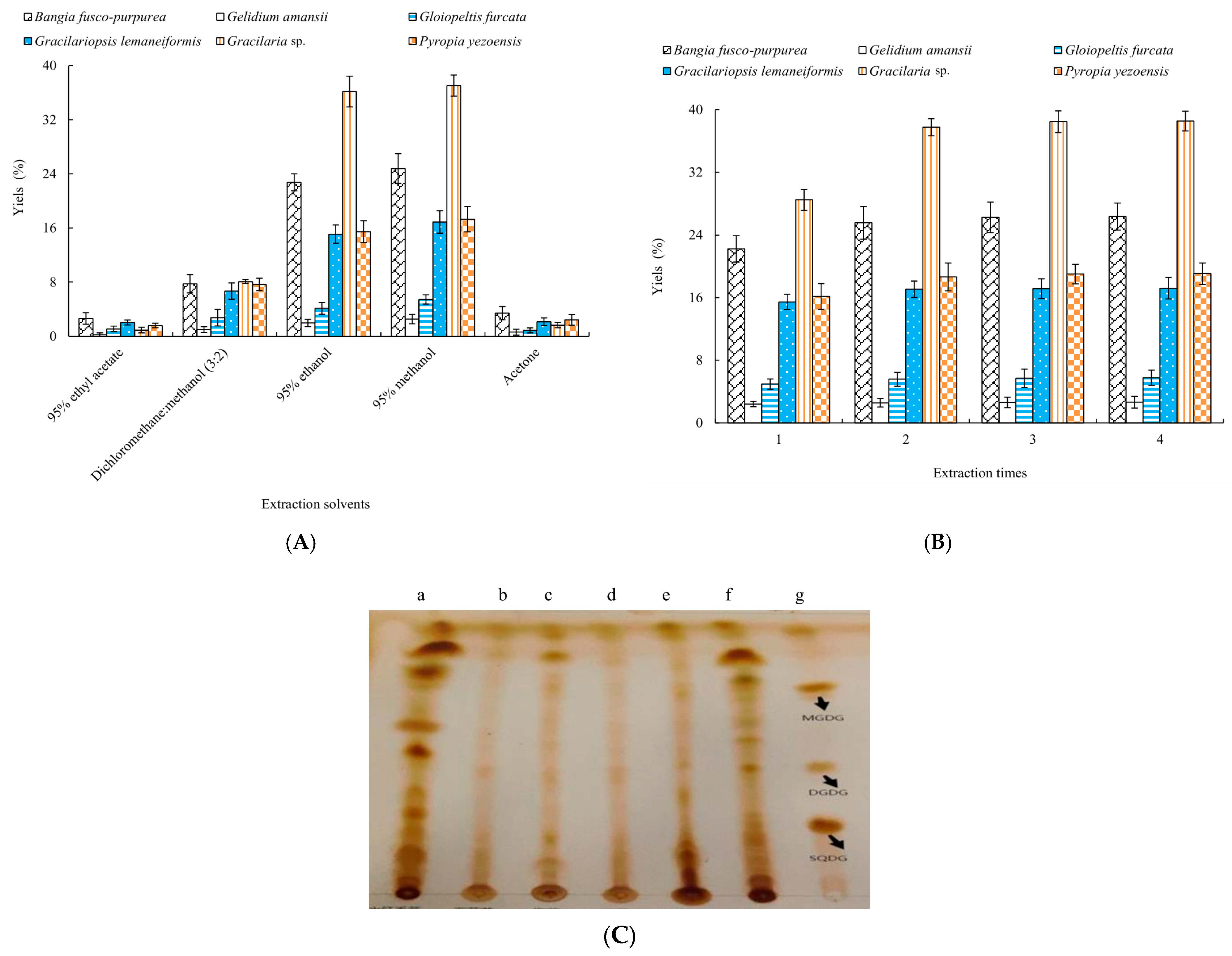
2.1. Effects of Different Solvents and Extraction Times on the Yields of Six Macroalgae Extracts
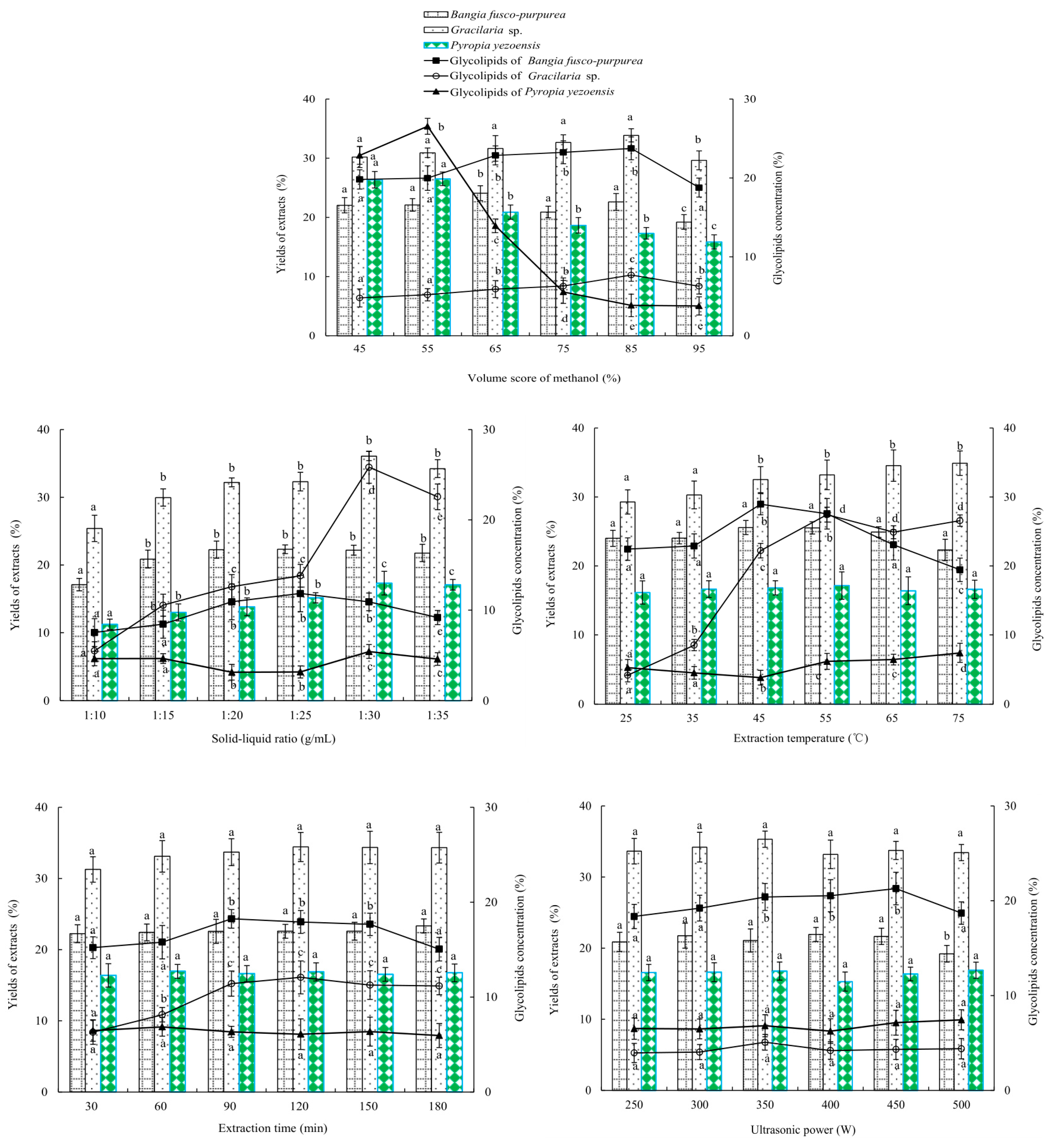
2.2. Single-Factor Experiments
2.3. Properties of Antioxidant, Moisture-Absorption and Moisture-Retaining
2.3.1. Antioxidant Activity
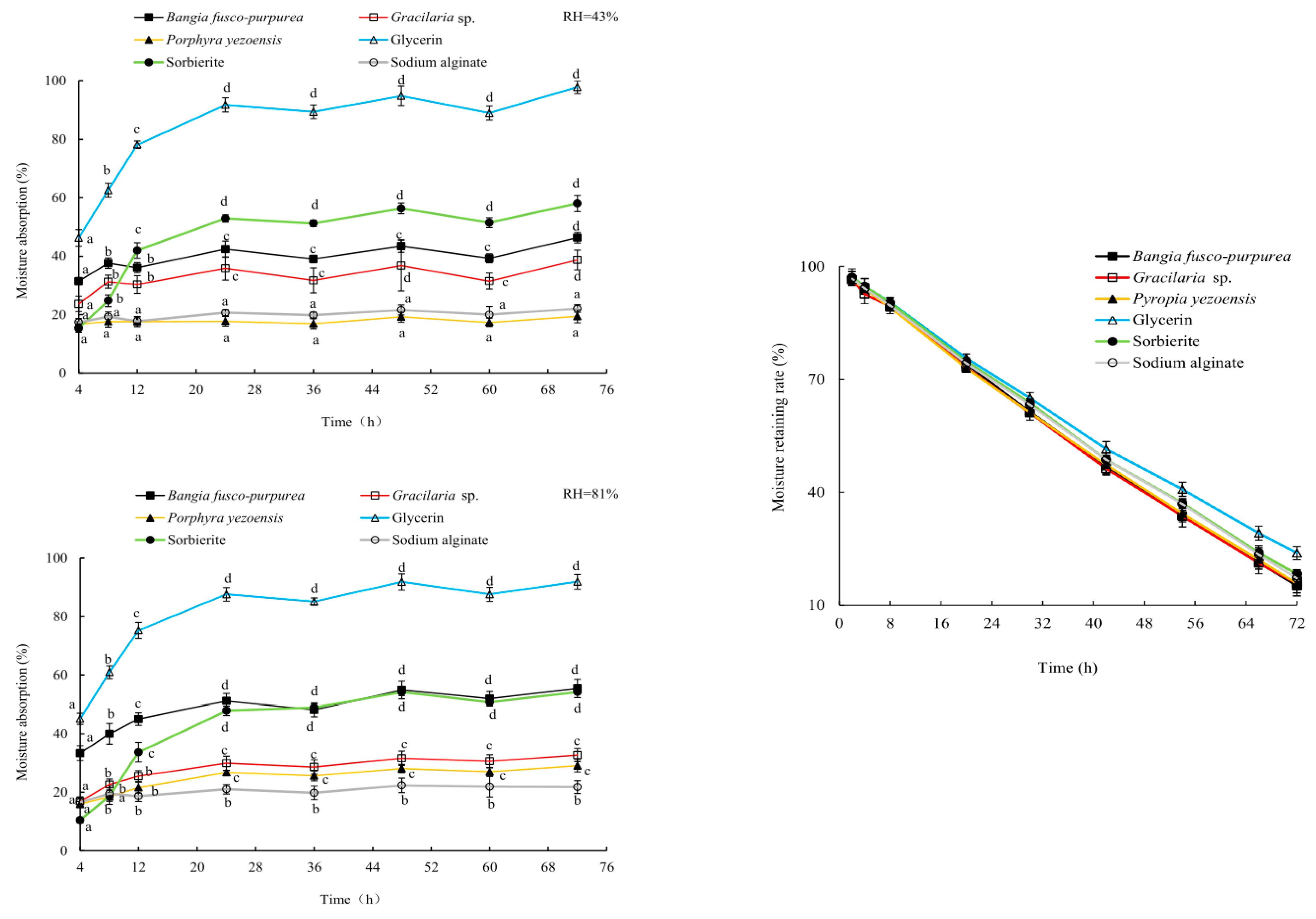
2.3.2. Moisture-Absorption and Moisture-Retaining Activity
2.3.3. Antibacterial Activity
2.4. Response Surface Experiments
0.3425BD − 0.2925CD − 0.7737A2 − 0.7212B2 − 0.6150C2 − 0.575D2
2.5. Isolation and Purification
2.6. Activity Analysis
3. Discussion
4. Materials and Methods
4.1. Marine Macroalgae
4.2. Chemical Reagents
4.3. Extraction
4.3.1. Determination of Different Extraction Solvents and Extraction Time
4.3.2. Single-Factor Experiments
4.3.3. Response Surface Methodology
4.4. Qualitative and Quantitative Detection of Glycolipids
4.4.1. Qualitative Detection
4.4.2. Quantitative Detection
4.4.3. Silica Gel Thin-Layer Chromatography Detection
4.5. Isolation and Purification
4.6. Antioxidant, Moisture-Absorption and Moisture-Retention, and Antibacterial Activity Assay
4.6.1. The Scavenging Activity on DPPH Free Radicals
4.6.2. The Total Antioxidant Capacity
4.6.3. Moisture-Absorption Measurement
4.6.4. Moisture-Retention Measurement
4.6.5. Antibacterial Activity Measurement
4.7. Data Processing and Statistical Analysis
5. Conclusions
Supplementary Materials
Author Contributions
Funding
Institutional Review Board Statement
Data Availability Statement
Acknowledgments
Conflicts of Interest
References
- Yang, H.Q. Studies on glycolipids of marine algae. Mar. Sci. 1998, 2, 23–26. (In Chinese) [Google Scholar]
- Plouguerné, E.; da Gama, B.A.P.; Pereira, R.C.; Barreto-Bergter, E. Glycolipids from seaweeds and their potential biotechnological applications. Front. Cell Infect. Microbiol. 2014, 17, 174–179. [Google Scholar] [CrossRef]
- Plouguerné, E.; de Souza, L.M.; Sassaki, G.L.; Hellio, C.; Trepos, R.; da Gama, B.A.P.; Pereira, R.C.; Barreto-Bergter, E. Glycoglycerolipids from Sargassum vulgare as potential antifouling agents. Front. Mar. Sci. 2020, 7, 116–125. [Google Scholar] [CrossRef]
- Slattery, M.; Lesser, M.P. Allelopathy in the tropical alga Lobophora variegata (Phaeophyceae): Mechanistic basis for a phase shift on mesophotic coral reefs? J. Phycol. 2014, 50, 493–505. [Google Scholar] [CrossRef]
- Al-Fadhli, A.; Wahidulla, S.; D’Souza, L. Glycolipids from the red alga Chondria armata (Kutz.) Okamura. Glycobiology 2006, 16, 902–915. [Google Scholar] [CrossRef] [PubMed]
- Kim, Y.H.; Kim, E.H.; Lee, C.; Kim, M.H.; Rho, J.R. Two new monogalactosyl diacylglycerols from brown alga Sargassum thunbergii. Lipids 2007, 42, 395. [Google Scholar] [CrossRef]
- Ohta, K.; Mizushina, Y.; Hirata, N.; Takemura, M.; Sugawara, F.; Matsukage, A.; Yoshida, S.; Sakaguchi, K. Sufoquinovosyldiacylglycerol, KM043, a new potent inhibitor of eukaryotic DNA polymerases and HIV-reverse transcriptase type 1 from a marine red alga, Gigartina tenella. Chem. Pharm. Bull. 1998, 46, 684–686. [Google Scholar] [CrossRef]
- Mattos, B.B.; Romanos MT, V.; de Souza, L.M.; Sassaki, G.; Barreto-Bergter, E. Glycolipids from macroalgae: Potential biomolecules for marine biotechnology? Rev. Bras. Farm. 2011, 21, 244–247. [Google Scholar] [CrossRef]
- Lopes, G.; Daletos, G.; Proksch, P.; Andrade, P.B.; Valentão, P. Anti-inflammatory potential of monogalactosyl diacylglycerols and a monoacylglycerol from the edible brown seaweed Fucus spiralis Linnaeus. Mar. Drugs 2014, 12, 1406–1418. [Google Scholar] [CrossRef] [PubMed]
- Terme, N.; Boulho, R.; Kucma, J.-P.; Bourgougnon, N.; Bedoux, G. Radical scavenging activity of lipids from seaweeds isolated by solid-liquid extraction and supercritical fluids. OCL 2018, 25, D505. [Google Scholar] [CrossRef]
- Akbari, V.; Abedi, M.; Yegdaneh, A. Bioassay-guided isolation of glycolipids from the seaweed Gracilaria corticata. Res. Pharm. Sci. 2020, 15, 473–480. [Google Scholar] [PubMed]
- Sun, Y.Y.; Dong, S.S.; Zhang, N.S.; Zhou, J.; Long, Z.K. Screening and isolation of glyceroglycolipids with antialgal activity from several marine macroalgae. J. Appl. Phycol. 2021, 33, 2609–2616. [Google Scholar] [CrossRef]
- Banskota, A.H.; Stefanova, R.; Sperker, S.; Lall, S.P.; Craigie, J.S.; Hafting, J.T.; Critchley, A.T. Polar lipids from the marine macroalga Palmaria palmata inhibit lipopolysaccharide-induced nitric oxide production in RAW264.7 macrophage cells. Phytochemistry 2014, 101, 101–108. [Google Scholar] [CrossRef] [PubMed]
- Islam, M.N.; Choi, S.H.; Moon, H.E.; Park, J.J.; Jung, H.A.; Woo, M.H.; Woo, H.C.; Choi, J.S. The inhibitory activities of the edible green alga Capsosiphon fulvescens on rat lens aldose reductase and advanced glycation end products formation. Eur. J. Nutr. 2014, 53, 233–242. [Google Scholar] [CrossRef] [PubMed]
- Lopes, D.; Melo, T.; Meneses, J.; Abreu, M.H.; Pereira, A.; Domingues, P.; Lillebø, A.I.; Calado, R.; Domingues, M.R. A new look for the red macroalga Palmaria palmata: A seafood with polar lipids rich in EPA and with antioxidant properties. Mar. Drugs 2019, 17, 533. [Google Scholar] [CrossRef] [PubMed]
- Wu, W.H.; Hasumi, K.; Peng, H.; Hu, X.W.; Wang, X.C.; Bao, B. Fibrinolytic compounds isolated from a brown alga, Sargassum fulvellum. Mar. Drugs 2009, 7, 85–94. [Google Scholar] [CrossRef] [PubMed]
- Jamieson, G.R.; Reid, E.H. The component fatty acids of some marine algal lipids. Phytochemistry 1972, 11, 1423–1432. [Google Scholar] [CrossRef]
- Da Costa, E.; Melo, T.; Reis, M.; Domingues, P.; Calado, R.; Abreu, M.H.; Domingues, M.R. Polar lipids composition, antioxidant and anti-inflammatory activities of the atlantic red seaweed Grateloupia turuturu. Mar. Drugs 2021, 19, 414. [Google Scholar] [CrossRef]
- Jing, Y.S.; Jin, S.; Zhang, D.S.; Zhang, R.J.; Chen, X.; Wu, L.F. Study on the physical and chemical properties and skin care effects of three seaweeds polysaccharides. China Surfactant Deterg. Cosmet. 2021, 51, 121–126. (In Chinese) [Google Scholar]
- Qu, Y.; Zhou, S.Y.; Feng, T.; Zhong, S.Y.; Chen, S.H.; Su, W.M.; Wu, X.H. Extraction of glycosaminoglycans from swim bladder and evaluation of the capacities of its hygroscopicity and moisture retention. Sci. Technol. Food Ind. 2017, 16, 118–125. (In Chinese) [Google Scholar]
- Azevedo, S.; Cunha, L.M.; Mahajan, P.V.; Fonseca, S.C. Application of simplex lattice design for development of moisture absorber for oyster mushrooms. Procedia Food Sci. 2011, 1, 184–189. [Google Scholar] [CrossRef][Green Version]
- Bezerra, M.A.; Santelli, R.E.; Oliveira, E.P.; Villar, L.S.; Escaleira, L.A. Response surface methodology (RSM) as a tool for optimization in analytical chemistry. Talanta 2008, 76, 965–977. [Google Scholar] [CrossRef]
- Kocer, S.; Copur, O.U.; Tamer, C.E.; Suna, S.; Kayahan, S.; Uysal, E.; Cavus, S.; Akman, O. Optimization and characterization of chestnut shell pigment extract obtained microwave assisted extraction by response surface methodology. Food Chem. 2024, 443, 138424. [Google Scholar] [CrossRef] [PubMed]
- Liu, X.; Luo, G.H.; Wang, L.J.; Yuan, W.Q. Optimization of antioxidant extraction from edible brown algae Ascophyllum nodosum using response surface methodology. Food Bioprod. Process. 2019, 114, 205–215. [Google Scholar] [CrossRef]
- Zhao, D.; Wang, Q.K.; Zhang, H.Y.; Liu, Y.P.; Zhang, L.L. Moisture absorption, moisture retention and anti-oxidantive activity of crude extract of Kelp (Laminaria japonica) and sodium alginate. Fish. Sci. 2012, 6, 358–362. (In Chinese) [Google Scholar]
- Cao, L.; Fischer, A.; Bomscheuer, U.T.; Schmid, R.D. Lipase-catalyzed solid phase synthesis of sugar fatty acid esters. Biocatal. Biotransform. 1996, 14, 269–283. [Google Scholar] [CrossRef]
- Kennedy, J.F.; Kumar, H.; Panesar, P.S.; Marwaha, S.S.; Goyal, R.; Parmar, A.; Kaur, S. Enzyme-catalyzed regioselective synthesis of sugar esters and related compounds. J. Chem. Technol. Biot. 2006, 81, 866–876. [Google Scholar] [CrossRef]
- Feng, L.G.; Zhang, G.Z. Study on enzymatic synthesis of sugar esters in non-aqueous media. Food Sci. Technol. 2004, 2, 58–60. (In Chinese) [Google Scholar]
- Qi, D.P.; Diao, M.M.; Lu, Z.X.; Lv, F.X.; Bie, X.M.; Zhang, C.; Zhao, H.Z. Response surface optimization of lipase-catalyzed synthesis of palmitoyl-monogalactosylglycerol in organic solvent. Food Sci. 2015, 36, 1–6. (In Chinese) [Google Scholar]
- Zhang, X.; Wei, W.; Cao, X.; Feng, F.Q. Characterization of enzymatically prepared sugar medium-chain fatty acid monoesters. J. Sci. Food Agric. 2015, 95, 1631–1637. [Google Scholar] [CrossRef] [PubMed]
- Zhang, N.X.; Cao, S.G.; Dong, H.; Liu, Y.B.; Ren, J.Q.; Han, S.P.; Yang, H. Studies on synthesis of monosaccharide esters catalyzed by lipases in organic solvents. Chem. J. Chin. Univ. 1996, 17, 1404–1407. (In Chinese) [Google Scholar]
- Sanina, N.M.; Kostetsky, E.Y.; Shnyrov, V.L.; Tsybulsky, A.V.; Novikova, O.D.; Portniagina, O.Y.; Vorobieva, N.S.; Mazeika, A.N.; Bogdanov, M.V. The influence of monogalactosyldiacylglycerols from different marine macrophytes on immunogenicity and conformation of protein antigen of tubular immunostimulating complex. Biochimie 2012, 94, 1048–1056. [Google Scholar] [CrossRef]
- Da Costa, E.; Melo, T.; Moreira AS, P.; Alves, E.; Domingues, P.; Calado, R.; Abreu, M.H.; Domingues, M.R. Decoding bioactive polar lipid profile of the macroalgae Codium tomentosum from a sustainable IMTA system using a lipidomic approach. Algal Res. 2015, 12, 388–397. [Google Scholar] [CrossRef]
- Wang, W.; Li, H.Y.; Wang, Y.Y.; Xia, X.; Okada, Y.; Okuyama, T. Chemical constituents from brown alga Sargassum fusiforme. Chin. Tradit. Herb. Herbal. Drugs 2008, 39, 657–661. (In Chinese) [Google Scholar]
- Melo, T.; Alves, E.; Azevedo, V.; Martins, A.S.; Neves, B.; Domingues, P.; Calado, R.; Abreu, M.H.; Domingues, M.R. Lipidomics as a new approach for the bioprospecting of marine macroalgae-Unraveling the polar lipid and fatty acid composition of Chondrus crispus. Algal Res. 2015, 8, 181–191. [Google Scholar] [CrossRef]
- Ferrer, M.; Soliveri, J.; Plou, F.J. Synthesis of sugar esters in solvent mixtures by lipases from Thermomyces lanuginosus and Candida antarctica B, and their antimicrobial properties. Enzym. Microb. Technol. 2005, 36, 391–398. [Google Scholar] [CrossRef]
- Lu, W.; Wu, W.H.; Zhou, P.G.; Bao, B. Isolation and identification of two compounds of enhancing fibrinolysis from Sargassum fulvellum. Nat. Prod. Product. Res. Dev. 2009, 21, 787–791. (In Chinese) [Google Scholar]
- Liu, X.; Wang, G.H.; Zhso, F.J.; Zhou, X.; Kusaikin, M.; Liu, C.H. Structural characterization and antioxidant activities of fucoidan from Sargassum fusiforme. Sci. Technol. Food Ind. 2019, 40, 79–84. (In Chinese) [Google Scholar]
- Shi, X.L.; Zhang, J.J.; Song, H.F.; Wang, J.; Zhang, Z.S.; Zhang, Q.B. Polysaccharides from Enteromorpha linza: Purification and moisture-preserving activity. Mar. Sci. 2010, 34, 81–85. (In Chinese) [Google Scholar]
- Wang, J.; Jin, W.; Hou, Y.; Niu, X.; Zhang, H.; Zhang, Q. Chemical composition and moisture absorption/retention ability of polysaccharides extracted from five algae. Int. J. Biol. Macromol. 2013, 57, 26–29. [Google Scholar] [CrossRef]
- Teng, Y.L.; Stewart, S.G.; Hai, Y.W.; Li, X.; Banwell, M.G.; Lan, P. Sucrose fatty acid ester: Synthesis, emulsifying capacities, biological activities and structure-property profiles. Crit. Rev. Food Sci. Nutr. 2020, 61, 3297–3317. [Google Scholar] [CrossRef] [PubMed]
- Sanina, N.M.; Kostetsky, E.Y.; Goncharova, S.N. Thermotropic behaviour of membrane lipids from brown marine alga Laminaria japonica. Biochem. Soc. Trans. 2000, 28, 894–897. [Google Scholar] [CrossRef] [PubMed]
- Kostetsky, E.; Chopenko, N.; Barkina, M.; Velansky, P.; Sanina, N. Fatty acid composition and thermotropic behavior of glycolipids and other membrane lipids of Ulva lactuca (Chlorophyta) inhabiting different climatic zones. Mar. Drugs 2018, 16, 494. [Google Scholar] [CrossRef] [PubMed]
- de Souza, L.M.; Sassaki, G.L.; Villela Romanos, M.T.; Barreto-Bergter, E. Structural characterization and anti-HSV-1 and HSV-2 activity of glycolipids from the marine algae Osmundaria obtusiloba isolated from south-eastern Brazilian coast. Mar. Drugs 2012, 10, 918–931. [Google Scholar] [CrossRef] [PubMed]
- Hirao, S.; Tara, K.; Kuwano, K.; Tanaka, J.; Ishibashi, F. Algicidal activity of glycerolipids from brown alga Ishige sinicola toward red tide microalgae. Biosci. Biotech. Bioch 2012, 76, 372–374. [Google Scholar] [CrossRef] [PubMed]
- Xu, L.; Li, Z.; Zhou, H.L.; Ding, Y.T.; Liu, L. Study of hygroscopic and moisturizing performance of oligosaccharides obtained from enzymolysis of algin. China Surfactant Deterg. Cosmet. 2011, 1, 42–45. (In Chinese) [Google Scholar]
- Ilekuttige PS, F.; Kil-Nam, K.; Daekyung, K.; Jeon, Y.J. Algal polysaccharides: Potential bioactive substances for cosmeceutical applications. Crit. Rev. Biotechnol. 2019, 39, 99–113. [Google Scholar]
- Yao, M.J.; Liu, D.Q.; Wang, Y.; Lu, Z.X.; Lv, F.X.; Zhao, H.Z. Antibacterial activity and structure-activity relationship of galactosylglyceride against Bacillus cereus. J. Nanjing Agric. Univ. 2021, 44, 966–972. (In Chinese) [Google Scholar]
- Sun, Y.Y.; Wang, H.; Guo, G.L.; Pu, Y.F.; Yan, B.L. The isolation and antioxidant activity of polysaccharides from the marine microalgae Isochrysis galbana. Carbohyd Polym. 2014, 113, 22–31. [Google Scholar] [CrossRef]
- Jiang, C.; Masuda, Y.; Kimura, M.; Wang, W.; Xi, Y.C. Inhibition and preservation effect of compound antibacterial agent on Listeria monocytogenes. Sci. Technol. Food Ind. 2017, 8, 92–102. (In Chinese) [Google Scholar]
- Zhang, J.; Li, C.; Yu, G.L.; Guan, H.S. Total synthesis and structure-activity relationship of glycoglycerolipids from marine organisms. Mar. Drugs 2014, 12, 3634–3659. [Google Scholar] [CrossRef] [PubMed]











| Bangia fusco-purpurea | Gracilaria sp. | Pyropia yezoensis | ||
|---|---|---|---|---|
| Maximum Glycolipids concentration (%) (the yield (%) at the certain conditions) | 28.959 ± 1.542 (25.573 ± 1.031 at volume score of methanol, solid–liquid ratio, extraction temperature, extraction time and ultrasonic power were 85%, 1:25 mg/L, 45 °C, 120 min and 500 W.) | 27.439 ± 1.071 (33.303 ± 1.893 at volume score of methanol, solid–liquid ratio, extraction temperature, extraction time and ultrasonic power were 85%, 1:30 mg/L, 55 °C, 120 min and 500 W.) | 26.549 ± 1.011 (26.529 ± 1.153 at volume score of methanol, solid-–iquid ratio, extraction temperature, extraction time and ultrasonic power were 55%, 1:30 mg/L, 45 °C, 120 min and 500 W.) | |
| Moisture absorption rate (%) after 48 h | RH81% | 51.968 ± 2.441~55.425 ± 3.122 | 30.620 ± 2.443~32.701 ± 2.261 | 26.997 ± 1.512~29.094 ± 2.154 |
| RH43% | 39.279 ± 1.563~46.328 ± 1.794 | 31.489 ± 2.781~38.734 ± 3.362 | 17.340 ± 1.533~19.436 ± 2.250 | |
| Moisture retaining rates (%) after 48 h | 74.046 ± 1.350 | 73.192 ± 1.383 | 72.954 ± 1.152 | |
| No. | Solid–Liquid Ratio (g/mL): A | Extraction Temperature (°C): B | Extraction Time (h): C | Ultrasonic Power (W): D | Yield (%) |
|---|---|---|---|---|---|
| 1 | 30 | 45 | 60 | 450 | 26.32 |
| 2 | 30 | 35 | 90 | 450 | 26.20 |
| 3 | 20 | 45 | 90 | 500 | 27.12 |
| 4 | 25 | 35 | 90 | 500 | 26.31 |
| 5 | 25 | 55 | 60 | 450 | 26.85 |
| 6 | 25 | 45 | 120 | 500 | 27.06 |
| 7 | 25 | 45 | 90 | 450 | 28.05 |
| 8 | 25 | 55 | 90 | 500 | 28.05 |
| 9 | 20 | 55 | 90 | 450 | 26.45 |
| 10 | 25 | 45 | 60 | 500 | 27.58 |
| 11 | 30 | 55 | 90 | 450 | 27.36 |
| 12 | 20 | 35 | 90 | 450 | 25.75 |
| 13 | 25 | 45 | 90 | 450 | 27.75 |
| 14 | 25 | 35 | 90 | 400 | 26.75 |
| 15 | 25 | 35 | 120 | 450 | 26.28 |
| 16 | 20 | 45 | 120 | 450 | 26.17 |
| 17 | 25 | 35 | 60 | 450 | 25.78 |
| 18 | 25 | 55 | 120 | 450 | 27.35 |
| 19 | 25 | 45 | 120 | 400 | 27.49 |
| 20 | 25 | 45 | 60 | 400 | 26.48 |
| 21 | 25 | 55 | 90 | 400 | 27.13 |
| 22 | 30 | 45 | 120 | 450 | 27.38 |
| 23 | 20 | 45 | 60 | 450 | 26.28 |
| 24 | 25 | 45 | 90 | 450 | 27.82 |
| 25 | 30 | 45 | 90 | 500 | 27.36 |
| 26 | 30 | 45 | 90 | 400 | 27.46 |
| 27 | 25 | 45 | 90 | 450 | 27.79 |
| 28 | 25 | 45 | 90 | 450 | 27.84 |
| 29 | 20 | 45 | 90 | 400 | 26.26 |
| Source | Sum of Squares | df | Mean Squares | F-Value | p-Value | Significant |
|---|---|---|---|---|---|---|
| Model | 13.54 | 14 | 0.9675 | 110.35 | <0.0001 | Significant |
| A | 1.36 | 1 | 1.36 | 155.68 | <0.0001 | ** |
| B | 3.11 | 1 | 3.11 | 355.21 | <0.0001 | ** |
| C | 0.4998 | 1 | 0.4998 | 57.01 | <0.0001 | ** |
| D | 0.3082 | 1 | 0.3082 | 35.15 | <0.0001 | ** |
| AB | 0.0515 | 1 | 0.0515 | 5.88 | 0.0295 | * |
| AC | 0.3405 | 1 | 0.3405 | 38.84 | <0.0001 | ** |
| AD | 0.2304 | 1 | 0.2304 | 26.28 | 0.0002 | * |
| BC | 0.0000 | 1 | 0.0000 | 0.0010 | 0.9749 | |
| BD | 0.4713 | 1 | 0.4713 | 53.76 | <0.0001 | ** |
| CD | 0.5852 | 1 | 0.5852 | 66.75 | <0.0001 | ** |
| A2 | 3.28 | 1 | 3.28 | 374.54 | <0.0001 | ** |
| B2 | 3.12 | 1 | 3.12 | 355.58 | <0.0001 | ** |
| C2 | 2.32 | 1 | 2.32 | 264.36 | <0.0001 | ** |
| D2 | 0.0579 | 1 | 0.0579 | 6.61 | 0.0222 | * |
| Residual error | 0.1227 | 14 | 0.0088 | |||
| Lack of fit | 0.0660 | 10 | 0.0066 | 0.4646 | 0.8516 | Not significant |
| Pure error | 0.0568 | 4 | 0.0142 | |||
| Total dispersion square sum | 13.67 | 28 | ||||
| R2 = 0.9910 | RAdj2 = 0.9820 |
| Portion | Extracts Were Dissolved in Distilled Water | Extracts Were Dissolved in Buffer Solution with pH 2 | ||
|---|---|---|---|---|
| Yield (%) | Quatity (g) | Yield (%) | Quatity (g) | |
| Hexane portion (HP) | 0.805 ± 0.275 | 0.0322 ± 0.011 | 2.407 ± 0.725 | 0.0963 ± 0.029 |
| Dichloromethane portion (DP) | 3.050 ± 0.400 | 0.122 ± 0.016 | 3.775 ± 0.950 | 0.151 ± 0.038 |
| Ethyl acetate portion (EP) | 1.770 ± 0.425 | 0.0708 ± 0.017 | 1.880 ± 0.525 | 0.0752 ± 0.021 |
| N-butanol portion (BP) | 8.725 ± 1.925 | 0.349 ± 0.077 | 7.425 ± 2.125 | 0.297 ± 0.085 |
| Factor | Volume Score of Methanol: (%) | Solid-to-Liquid Ratio (g/mL) | Temperature (°C) | Time (min) | Ultrasonic Power (W) | |
|---|---|---|---|---|---|---|
| Level | ||||||
| 1 | 45 | 1:10 | 25 | 30 | 250 | |
| 2 | 55 | 1:15 | 35 | 60 | 300 | |
| 3 | 65 | 1:20 | 45 | 90 | 350 | |
| 4 | 75 | 1:25 | 55 | 120 | 400 | |
| 5 | 85 | 1:30 | 65 | 150 | 450 | |
| 6 | 95 | 1:35 | 75 | 180 | 500 | |
| Factor | Solid-to-Liquid Ratio (g/mL): A | Temperature (°C): B | Time (min): C | Ultrasonic Power (W): D | |
|---|---|---|---|---|---|
Level | |||||
| 1 | 1:20 | 35 | 60 | 400 | |
| 2 | 1:25 | 45 | 90 | 450 | |
| 3 | 1:30 | 55 | 120 | 500 | |
Disclaimer/Publisher’s Note: The statements, opinions and data contained in all publications are solely those of the individual author(s) and contributor(s) and not of MDPI and/or the editor(s). MDPI and/or the editor(s) disclaim responsibility for any injury to people or property resulting from any ideas, methods, instructions or products referred to in the content. |
© 2024 by the authors. Licensee MDPI, Basel, Switzerland. This article is an open access article distributed under the terms and conditions of the Creative Commons Attribution (CC BY) license (https://creativecommons.org/licenses/by/4.0/).
Share and Cite
Sun, Y.; Mu, Y.; Li, T.; Wang, S.; Li, Y.; Liu, J.; Xing, P. Extraction, Isolation and Biological Activity of Two Glycolipids from Bangia fusco-purpurea. Mar. Drugs 2024, 22, 144. https://doi.org/10.3390/md22040144
Sun Y, Mu Y, Li T, Wang S, Li Y, Liu J, Xing P. Extraction, Isolation and Biological Activity of Two Glycolipids from Bangia fusco-purpurea. Marine Drugs. 2024; 22(4):144. https://doi.org/10.3390/md22040144
Chicago/Turabian StyleSun, Yingying, Yang Mu, Tianhuan Li, Siyu Wang, Yuxiang Li, Jie Liu, and Piaopiao Xing. 2024. "Extraction, Isolation and Biological Activity of Two Glycolipids from Bangia fusco-purpurea" Marine Drugs 22, no. 4: 144. https://doi.org/10.3390/md22040144
APA StyleSun, Y., Mu, Y., Li, T., Wang, S., Li, Y., Liu, J., & Xing, P. (2024). Extraction, Isolation and Biological Activity of Two Glycolipids from Bangia fusco-purpurea. Marine Drugs, 22(4), 144. https://doi.org/10.3390/md22040144
