New Sesterterpenes from the Antarctic Sponge Suberites sp.
Abstract
1. Introduction
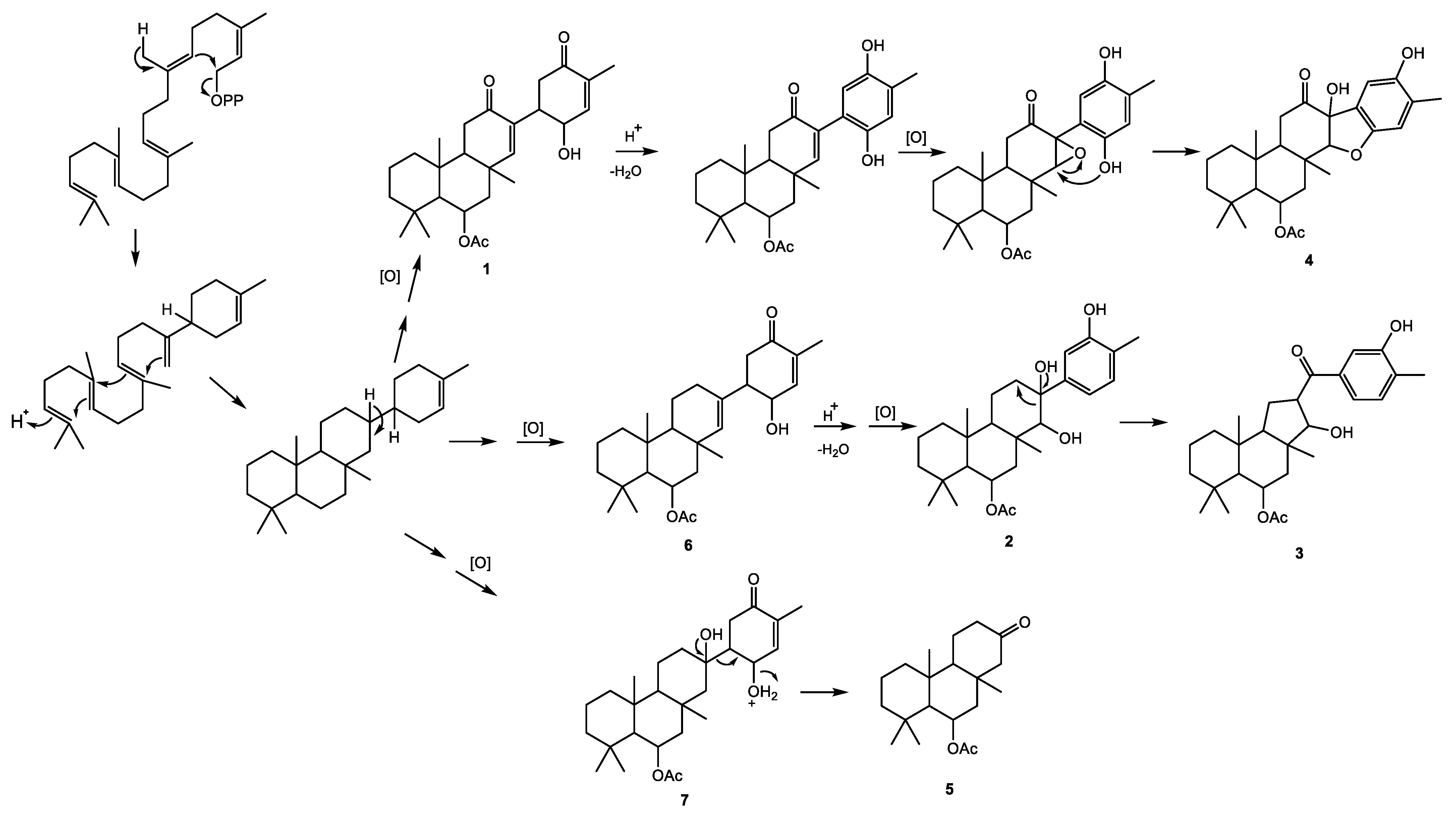
2. Results and Discussion
3. Materials and Methods
3.1. General Experimental Procedures
3.2. Biological Materials, Extraction, and Isolation
3.3. Spectroscopic Data for Suberites (1–5)
3.4. RSV Antiviral Assay
3.5. X-Ray Diffraction
4. Conclusions
Supplementary Materials
Author Contributions
Funding
Institutional Review Board Statement
Data Availability Statement
Acknowledgments
Conflicts of Interest
References
- Amsler, C.D.; Moeller, C.B.; McClintock, J.B.; Iken, K.B.; Baker, B.J. Chemical defenses against diatom fouling in Antarctic marine sponges. Biofouling 2000, 16, 29–45. [Google Scholar] [CrossRef]
- McClintock, J.B.; Amsler, C.D.; Baker, B.J.; Van Soest, R.W. Ecology of Antarctic marine sponges: An overview. Integr. Comp. Biol. 2005, 45, 359–368. [Google Scholar] [CrossRef]
- Jiménez, C. Marine natural products in medicinal chemistry. Med. Chem. Lett. 2018, 9, 959–961. [Google Scholar] [CrossRef]
- Blunt, J.W.; Carroll, A.R.; Copp, B.R.; Davis, R.A.; Keyzers, R.A.; Prinsep, M.R. Marine natural products. Nat. Prod. Rep. 2018, 35, 8–53. [Google Scholar] [CrossRef] [PubMed]
- Wilson, K.; de Rond, T.; Burkhardt, I.; Steele, T.S.; Schäfer, R.J.; Podell, S.; Allen, E.E.; Moore, B.S. Terpene biosynthesis in marine sponge animals. Proc. Natl. Acad. Sci. USA 2023, 120, e2220934120. [Google Scholar] [CrossRef] [PubMed]
- Núñez-Pons, L.; Shilling, A.; Verde, C.; Baker, B.J.; Giordano, D. Marine terpenoids from polar latitudes and their potential applications in biotechnology. Mar. Drugs 2020, 18, 401. [Google Scholar] [CrossRef] [PubMed]
- Bracegirdle, J.; Olsen, S.S.; Teng, M.N.; Tran, K.C.; Amsler, C.D.; McClintock, J.B.; Baker, B.J. Neosuberitenone, a New Sesterterpenoid Carbon Skeleton; New Suberitenones; and Bioactivity against Respiratory Syncytial Virus, from the Antarctic Sponge Suberites sp. Mar. Drugs 2023, 21, 107. [Google Scholar] [CrossRef] [PubMed]
- Lee, H.-S.; Ahn, J.-W.; Lee, Y.-H.; Rho, J.-R.; Shin, J. New sesterterpenes from the antarctic sponge Suberites sp. J. Nat. Prod. 2004, 67, 672–674. [Google Scholar] [CrossRef] [PubMed]
- Shin, J.; Seo, Y.; Rho, J.-R.; Baek, E.; Kwon, B.-M.; Jeong, T.-S.; Bok, S.-H. Suberitenones A and B: Sesterterpenoids of an unprecedented skeletal class from the Antarctic sponge Suberites sp. J. Org. Chem. 1995, 60, 7582–7588. [Google Scholar] [CrossRef]
- Díaz-Marrero, A.R.; Brito, I.; Cueto, M.; San-Martín, A.; Darias, J. Suberitane network, a taxonomical marker for Antarctic sponges of the genus Suberites? Novel sesterterpenes from Suberites caminatus. Tetrahedron Lett. 2004, 45, 4707–4710. [Google Scholar] [CrossRef]
- Bruker. APEX4, 2015.9; Bruker AXS Inc.: Madison, WI, USA, 2022. [Google Scholar]
- Bruker. SAINT, 8.35A; Bruker AXS Inc.: Madison, WI, USA, 2016. [Google Scholar]
- Krause, L.; Herbst-Irmer, R.; Sheldrick, G.M.; Stalke, D. Comparison of silver and molybdenum microfocus X-ray sources for single-crystal structure determination. J. Appl. Crystallogr. 2015, 48, 3–10. [Google Scholar] [CrossRef] [PubMed]
- Sheldrick, G. SHELXT—Integrated space-group and crystal-structure determination. Acta Crystallogr. Sec. A 2015, 71, 3–8. [Google Scholar] [CrossRef] [PubMed]
- Sheldrick, G.M. Crystal structure refinement with SHELXL. Acta Crystallogr. Sect. C 2015, 71, 3–8. [Google Scholar] [CrossRef] [PubMed]
- Dolomanov, O.V.; Bourhis, L.J.; Gildea, R.J.; Howard, J.A.K.; Puschmann, H. OLEX2: A complete structure solution, refinement and analysis program. J. Appl. Crystallogr. 2009, 42, 339–341. [Google Scholar] [CrossRef]





| Position | δC, Type | δH (mult., (J)) | gCOSY | gHMBC |
|---|---|---|---|---|
| 1 | 65.2, CH | 4.25, dd (4.5, 5.0) | 2, 6 | 2, 3, 5 |
| 2 | 145.3, CH | 6.80, dq (1.3, 5.6) | 1, 21 | 1, 4, 6, 21 |
| 3 | 137.2, C | |||
| 4 | 202.2 *, C | |||
| 5a | 37.6, C | 2.75, dd (13.5, 16.1) | 5b, 6 | 1, 4, 6, 7 |
| 5b | 2.15, dd (3.5, 16.1) | 5a, 6 | 1, 3, 4, 6, 7 | |
| 6 | 38.5, CH | 3.35, o/l* | 1, 5a, 5b | 1, 5, 7, 22 |
| 7 | 134.2, C | |||
| 8 | 202.1 *, C | |||
| 9a | 35.6, CH2 | 2.52, d (12.6) | 9b, 10 | 8, 10, 11 |
| 9b | 2.50, d (4.9) | 9a, 10 | ||
| 10 | 54.9, CH | 1.96, dd (5.4, 12.5) | 9a, 9b | 8, 9, 11, 22, 23, 24 |
| 11 | 37.7, C | |||
| 12a | 43.9, CH2 | 2.06, o/l * | 12b, 13 | 10, 11, 13, 14, 22, 23 |
| 12b | 1.66, o/l * | 12a, 13 | 11, 22, 23 | |
| 13 | 72.0, CH | 5.59, ddd (2.6, 2.8, 2.9) | 12a, 12b, 14 | 12, 14, 26 |
| 14 | 57.3, CH | 1.23, o/l * | 13 | 15, 19, 20, 24 |
| 15 | 38.2, C | |||
| 16a | 42.2, CH2 | 1.69, o/l * | 16b, 17a, 17b | 15 |
| 16b | 0.98, o/l * | 16a, 17a, 17b | ||
| 17a | 19.5, CH2 | 1.81, o/l * | 16a, 16b, 17b, 18a, 18b | |
| 17b | 1.51, qd (3.1, 14.3) | 16a, 16b, 17a, 18a, 18b | 15, 19 | |
| 18a | 45.3, CH2 | 1.41, ddd (3.5, 4.0, 12.9) | 17a, 17b, 18b | 16 |
| 18b | 1.26, o/l * | 17a, 17b, 18a | ||
| 19 | 35.1, C | |||
| 20 | 33.3, CH3 | 0.94, s | 14, 18, 19, 25 | |
| 21 | 15.7, CH3 | 1.79, s | 2, 3, 4 | |
| 22 | 160.7, C | 6.40, s | 6, 7, 8, 10, 12, 23 | |
| 23 | 20.9, CH3 | 1.29, s | 10, 11, 12, 22 | |
| 24 | 17.4, CH3 | 1.34, s | 10, 14, 15, 16 | |
| 25 | 23.7, CH3 | 1.06, s | 14, 18, 19, 20 | |
| 26 | 172.1, C | |||
| 27 | 21.9, CH3 | 2.07, s | 26 |
| Position | 2 | 3 | 4 | |||
|---|---|---|---|---|---|---|
| δC, Type | δH (mult., (J)) | δC, Type | δH (mult., (J)) | δC, Type | δH (mult., (J)) | |
| 1 | 116.6, CH | 6.90, d (7.8) | 121.4, CH | 7.43, dd (1.0, 7.9) | 155.3, C | |
| 2 | 130.7, CH | 7.07, d (7.9) | 131.0, CH | 7.19, d (7.8) | 112.1, CH | 6.70, s |
| 3 | 122.0, C | 130.6, C | 128.4, C | |||
| 4 | 153.6, C | 154.2, C | 148.4, C | |||
| 5 | 111.4, CH | 6.94, s | 114.5, CH | 7.41, d (1.0) | 109.7, CH | 6.42, s |
| 6 | 149.5, C | 136.0, C | 124.2, C | |||
| 7 | 74.4, C | 50.1, CH | 3.58, ddd (4.0, 7.9, 11.9) | 83.3, C | ||
| 8 | 41.1, CH2 | 1.90, o/l * | 202.1, C | 210.8, C | ||
| 9a | 17.5, CH2 | 1.86, o/l * | 26.2, CH2 | 2.09, o/l * | 33.9, CH2 | 2.48, dd (10.6, 19.0) |
| 9b | 1.69, o/l * | 1.66, ddd (3.0, 3.5, 12.8) | 2.33, dd (19.1, 9.0) | |||
| 10 | 58.9, CH | 1.06, o/l * | 56.4, CH | 1.30, dd (7.1, 12.9) | 45.9, CH | 1.88, t (9.6) |
| 11 | 34.8, C | 43.1, C | 38.3, C | |||
| 12a | 46.7, CH2 | 1.92, o/l * | 42.6, CH2 | 2.18, dd (2.1, 14.5) | 38.9, CH2 | 2.29, dd (4.2, 15.1) |
| 12b | 1.27, o/l * | 1.39, o/l * | 1.82, dd (2.4, 15.0) | |||
| 13 | 70.6, CH | 5.49, dt (2.5, 3.1) | 70.7, CH | 5.51, br dt (2.4, 2.5) | 69.8, CH | 5.64, td (2.1, 3.7) |
| 14 | 56.8, CH | 1.08, d (2.1) | 57.5, CH | 1.01, o/l * | 55.2, CH | 1.04, d (1.6) |
| 15 | 37.2, C | 36.9, C | 37.4, C | |||
| 16a | 41.9, CH2 | 1.82, o/l * | 41.5, CH2 | 1.40, o/l * | 41.8, CH2 | 1.37, o/l * |
| 16b | 0.92, o/l * | 0.94, o/l * | 0.76, dt (2.8, 12.2) | |||
| 17a | 18.6, CH2 | 1.75, o/l * | 18.1, CH2 | 1.70, o/l * | 18.1, CH2 | 1.62, m |
| 17b | 1.50, o/l * | 1.41, o/l * | 1.37, o/l * | |||
| 18a | 44.3, CH2 | 1.39, o/l * | 44.3, CH2 | 1.39, o/l * | 43.6, CH2 | 1.36, o/l * |
| 18b | 1.20, o/l * | 1.20, o/l * | 1.17, dd (2.5, 13.7) | |||
| 19 | 34.1, C | 33.7, C | 33.8, C | |||
| 20 | 32.9, CH3 | 0.94, s | 33.0, CH3 | 0.92, s | 33.1, CH3 | 0.98, s |
| 21 | 15.3, CH3 | 2.23, s | 16.1, CH3 | 2.30, s | 16.6, CH3 | 2.23, s |
| 22a | 57.2, CH2 | 1.59, d (14.3) | 83.5, CH | 4.02, d (7.8) | 97.4, CH | 4.19, s |
| 22b | 1.51, o/l * | |||||
| 23 | 22.7, CH3 | 1.43, s | 14.2, CH3 | 1.16, s | 18.9, CH3 | 1.00, s |
| 24 | 17.3, CH3 | 1.25, s | 16.7, CH3 | 1.26, s | 16.3, CH3 | 1.26, s |
| 25 | 23.0, CH3 | 1.03, s | 22.9, CH3 | 1.02, s | 23.2, CH3 | 1.00, s |
| 26 | 170.6, C | 170.4, C | 170.2, C | |||
| 27 | 21.9, CH3 | 2.07, s | 21.8, CH3 | 2.08, s | 21.8, CH3 | 2.06, s |
| Compound | Antiviral IC50 (μM) ± SD | Cytotoxicity IC50 (μM) ± SD |
|---|---|---|
| 1 | 39.8 ± 2.7 | NA * |
| 2 | >50 ± ND † | ND |
| 3 | >50 ± ND | ND |
| 4 | >50 ± ND | ND |
| 5 | >50 ± ND | ND |
| 9 | 15.0 ± 1.0 | 35.8 ± 1.2 |
Disclaimer/Publisher’s Note: The statements, opinions and data contained in all publications are solely those of the individual author(s) and contributor(s) and not of MDPI and/or the editor(s). MDPI and/or the editor(s) disclaim responsibility for any injury to people or property resulting from any ideas, methods, instructions or products referred to in the content. |
© 2024 by the authors. Licensee MDPI, Basel, Switzerland. This article is an open access article distributed under the terms and conditions of the Creative Commons Attribution (CC BY) license (https://creativecommons.org/licenses/by/4.0/).
Share and Cite
Olsen, S.S.H.; Morrow, S.K.; Szabo, J.L.; Teng, M.N.; Tran, K.C.; Amsler, C.D.; McClintock, J.B.; Baker, B.J. New Sesterterpenes from the Antarctic Sponge Suberites sp. Mar. Drugs 2024, 22, 551. https://doi.org/10.3390/md22120551
Olsen SSH, Morrow SK, Szabo JL, Teng MN, Tran KC, Amsler CD, McClintock JB, Baker BJ. New Sesterterpenes from the Antarctic Sponge Suberites sp. Marine Drugs. 2024; 22(12):551. https://doi.org/10.3390/md22120551
Chicago/Turabian StyleOlsen, Stine S. H., Sydney K. Morrow, Julia L. Szabo, Michael N. Teng, Kim C. Tran, Charles D. Amsler, James B. McClintock, and Bill. J. Baker. 2024. "New Sesterterpenes from the Antarctic Sponge Suberites sp." Marine Drugs 22, no. 12: 551. https://doi.org/10.3390/md22120551
APA StyleOlsen, S. S. H., Morrow, S. K., Szabo, J. L., Teng, M. N., Tran, K. C., Amsler, C. D., McClintock, J. B., & Baker, B. J. (2024). New Sesterterpenes from the Antarctic Sponge Suberites sp. Marine Drugs, 22(12), 551. https://doi.org/10.3390/md22120551

