Isolation and Characterization of Bioactive Compounds from Saccharomonospora sp. CMS18 and Their Antifungal Properties
Abstract
1. Introduction
2. Results and Discussion
2.1. Composition Analysis of Metagenomics Sequencing
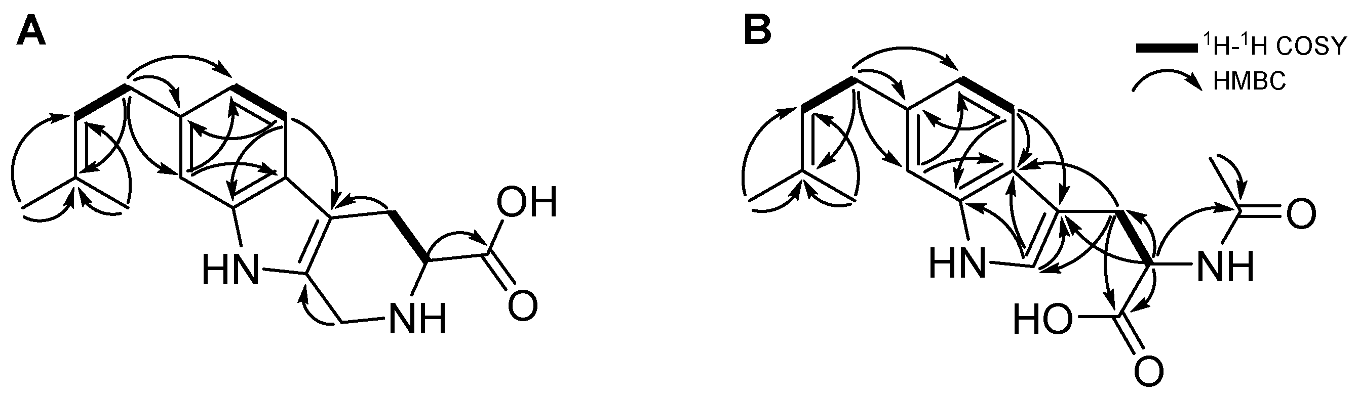
2.2. Structural Elucidation
2.3. Assessment of Antifungal Efficacy
2.4. Optimization of Antifungal Potency
3. Materials and Methods
3.1. General Experimental Procedures
3.2. Collection of Tidal Flat Samples and Isolation of Bacterial Strain
3.3. DNA Extraction for Metagenomics
3.4. Bioinformatics Analysis
3.5. Taxonomic Analysis and Alpha- and Beta-Diversity
3.6. Large-Scale Cultivation and Extraction
3.7. Isolation and Purification of Compounds
3.8. Strains and Growth Conditions for Bioactivity Test
3.9. Minimal Inhibitory Concentration (MIC) Assay
3.10. Gene Expression Analysis
3.11. ECD Calculation
Supplementary Materials
Author Contributions
Funding
Institutional Review Board Statement
Data Availability Statement
Conflicts of Interest
References
- Zeleke, J.; Lu, S.-L.; Wang, J.-G.; Huang, J.-X.; Li, B.; Ogram, A.V.; Quan, Z.-X. Methyl coenzyme M reductase A (mcrA) gene-based investigation of methanogens in the mudflat sediments of Yangtze River Estuary, China. Microb. Ecol. 2013, 66, 257–267. [Google Scholar] [CrossRef]
- Böer, S.I.; Hedtkamp, S.I.C.; van Beusekom, J.E.E.; Fuhrman, J.A.; Boetius, A.; Ramette, A. Time- and sediment depth-related variations in bacterial diversity and community structure in subtidal sands. ISME J. 2009, 3, 780–791. [Google Scholar] [CrossRef]
- Lv, X.; Ma, B.; Yu, J.; Chang, S.X.; Xu, J.; Li, Y.; Wang, G.; Han, G.; Bo, G.; Chu, X. Bacterial community structure and function shift along a successional series of tidal flats in the Yellow River Delta. Sci. Rep. 2016, 6, 36550. [Google Scholar] [CrossRef]
- Ryu, D.; Hillman, P.F.; Akinniyi, G.; Nam, S.-J.; Yang, I. Marine mudflat actinomycetes as a novel natural products source. Front. Mar. Sci. 2023, 10, 1297446. [Google Scholar] [CrossRef]
- Sivalingam, P.; Hong, K.; Pote, J.; Prabakar, K. Extreme environment Streptomyces: Potential sources for new antibacterial and anticancer drug leads? Int. J. Microbiol. 2019, 2019, 5283948. [Google Scholar] [CrossRef]
- Seo, J.; Shin, Y.-H.; Jo, S.J.; Du, Y.E.; Um, S.; Kim, Y.R.; Moon, K. Cystargamides C and D, new cyclic lipopeptides from a tidal mudflat-derived Streptomyces sp. JMS132. Front. Microbiol. 2022, 13, 904954. [Google Scholar] [CrossRef]
- Jeong, H.; Jo, S.J.; Bae, M.; Kim, Y.R.; Moon, K. Actinoflavosides B–D, flavonoid type glycosides from tidal mudflat-derived actinomyces. Mar. Drugs 2022, 20, 565. [Google Scholar] [CrossRef]
- Weber, J.M.; Wierman, C.K.; Hutchinson, C.R. Genetic analysis of erythromycin production in Streptomyces erythreus. J. Bacteriol. 1985, 164, 425–433. [Google Scholar] [CrossRef]
- Darken, M.A.; Berenson, H.; Shirk, R.J.; Sjolander, N.O. Production of tetracycline by Streptomyces aureofaciens in synthetic media. Appl. Microbiol. 1960, 8, 46–51. [Google Scholar] [CrossRef]
- Johnstone, D.B.; Waksman, S.A. Streptomycin II, an antibiotic substance produced by a new species of Streptomyces. Proc. Soc. Exp. Biol. Med. 1947, 65, 294–295. [Google Scholar] [CrossRef]
- Brautaset, T.; Sekurova, O.N.; Sletta, H.; Ellingsen, T.E.; StrŁm, A.R.; Valla, S.; Zotchev, S.B. Biosynthesis of the polyene antifungal antibiotic nystatin in Streptomyces noursei ATCC 11455: Analysis of the gene cluster and deduction of the biosynthetic pathway. Chem. Biol. 2000, 7, 395–403. [Google Scholar] [CrossRef]
- Lomovskaya, N.; Otten, S.L.; Doi-Katayama, Y.; Fonstein, L.; Liu, X.C.; Takatsu, T.; Inventi-Solari, A.; Filippini, S.; Torti, F.; Colombo, A.L.; et al. Doxorubicin overproduction in Streptomyces peucetius: Cloning and characterization of the dnrU ketoreductase and dnrV genes and the doxA cytochrome P-450 hydroxylase gene. J. Bacteriol. 1999, 181, 305–318. [Google Scholar] [CrossRef]
- Yim, C.-Y.; Le, T.C.; Lee, T.G.; Yang, I.; Choi, H.; Lee, J.; Kang, K.-Y.; Lee, J.S.; Lim, K.-M.; Yee, S.-T.; et al. Saccharomonopyrones A–C, new α-pyrones from a marine sediment-derived bacterium Saccharomonospora sp. CNQ-490. Mar. Drugs 2017, 15, 239. [Google Scholar] [CrossRef]
- Le, T.C.; Katila, N.; Park, S.; Lee, J.; Yang, I.; Choi, H.; Choi, D.Y.; Nam, S.J. Two new secondary metabolites, saccharochlorines A and B, from a marine bacterium Saccharomonospora sp. KCTC-19160. Bioorg. Med. Chem. Lett. 2020, 30, 127145. [Google Scholar] [CrossRef]
- Li, M.-Y.; Xiao, Q.; Pan, J.-Y.; Wu, J. Natural products from semi-mangrove flora: Source, chemistry and bioactivities. Nat. Prod. Rep. 2009, 26, 281–298. [Google Scholar] [CrossRef]
- Muwawa, E.M.; Obieze, C.C.; Makonde, H.M.; Jefwa, J.M.; Kahindi, J.H.P.; Khasa, D.P. 16S rRNA gene amplicon-based metagenomic analysis of bacterial communities in the rhizospheres of selected mangrove species from Mida Creek and Gazi Bay, Kenya. PLoS ONE 2021, 16, e0248485. [Google Scholar] [CrossRef]
- Turaev, D.; Rattei, T. High definition for systems biology of microbial communities: Metagenomics gets genome-centric and strain-resolved. Curr. Opin. Biotechnol. 2016, 39, 174–181. [Google Scholar]
- Ye, Y.-L.; Ma, K.-J.; Fu, Y.-H.; Wu, Z.-C.; Fu, G.-Y.; Sun, C.; Xu, X.-W. The heterogeneity of microbial diversity and its drivers in two types of sediments from tidal flats in Beibu Gulf, China. Front. Mar. Sci. 2023, 10, 1256393. [Google Scholar] [CrossRef]
- Takahashi, S.; Takagi, H.; Toyoda, A.; Uramoto, M.; Nogawa, T.; Ueki, M.; Sakaki, Y.; Osada, H. Biochemical characterization of a novel indole prenyltransferase from Streptomyces sp. SN-593. J. Bacteriol. 2010, 192, 2839–2851. [Google Scholar] [CrossRef]
- Satou, R.; Izumikawa, M.; Katsuyama, Y.; Matsui, M.; Takagi, M.; Shin-ya, K.; Ohnishi, Y. Isolation, structural elucidation and biosynthesis of 3-hydroxy-6-dimethylallylindolin-2-one, a novel prenylated indole derivative from Actinoplanes missouriensis. J. Antibiot. 2014, 67, 231–236. [Google Scholar] [CrossRef]
- Sasaki, T.; Igarashi, Y.; Ogawa, M.; Furumai, T. Identification of 6-prenylindole as an antifungal metabolite of Streptomyces sp. TP-A0595 and synthesis and bioactivity of 6-substituted indoles. J. Antibiot. 2002, 55, 1009–1012. [Google Scholar] [CrossRef] [PubMed]
- Li, C.-S.; Li, X.-M.; An, C.-Y.; Wang, B.-G. Prenylated indole alkaloid derivatives from marine sediment-derived fungus Penicillium paneum SD-44. Helv. Chim. Acta 2014, 97, 1440–1444. [Google Scholar] [CrossRef]
- Arendrup, M.C.; Patterson, T.F. Multidrug-resistant Candida: Epidemiology, molecular mechanisms, and treatment. J. Infect. Dis. 2017, 216, S445–S451. [Google Scholar] [CrossRef]
- Bartram, A.K.; Lynch, M.D.; Stearns, J.C.; Moreno-Hagelsieb, G.; Neufeld, J.D. Generation of multimillion-sequence 16S rRNA gene libraries from complex microbial communities by assembling paired-end illumina reads. Appl. Environ. Microbiol. 2011, 77, 3846–3852. [Google Scholar] [CrossRef]
- Yarza, P.; Yilmaz, P.; Pruesse, E.; Glöckner, F.O.; Ludwig, W.; Schleifer, K.-H.; Whitman, W.B.; Euzéby, J.; Amann, R.; Rosselló-Móra, R. Uniting the classification of cultured and uncultured bacteria and archaea using 16S rRNA gene sequences. Nat. Rev. Microbiol. 2014, 12, 635–645. [Google Scholar] [CrossRef]
- Berkow, E.L.; Lockhart, S.R.; Ostrosky-Zeichner, L. Antifungal susceptibility testing: Current approaches. Mar. Drugs 2020, 33, e00069-19. [Google Scholar] [CrossRef]
- Choi, J.W.; Lee, K.T.; Kim, S.; Lee, Y.R.; Kim, H.J.; Seo, K.J.; Lee, M.H.; Yeon, S.K.; Jang, B.K.; Park, S.J.; et al. Optimization and evaluation of novel antifungal agents for the treatment of fungal infection. J. Med. Chem. 2021, 64, 15912–15935. [Google Scholar] [CrossRef]





| 6-Dimethylallyl-indole (1) | ||
|---|---|---|
| Position | δC, Type | δH, Mult (J in Hz) |
| 2 | 124.9, CH | 7.14, d (3.0) |
| 3 | 102.0, CH | 6.36, d (3.0) |
| 3a | 127.6, C | - |
| 4 | 120.9, CH | 7.42, d (8.0) |
| 5 | 121.1, CH | 6.83, d (8.0) |
| 6 | 136.0, C | - |
| 7 | 111.2, CH | 7.16, s |
| 7a | 138.1, C | - |
| 1′ | 3.52, CH2 | 3.41, d (7.5) |
| 2′ | 125.6, CH | 5.38, t (7.5) |
| 3′ | 132.3, C | - |
| 4′ | 17.9, CH3 | 1.76, s |
| 5′ | 25.9, CH3 | 1.76, s |
| 6-Dimethylallyl-l-tryptophan (2) | ||
|---|---|---|
| Position | δC, Type | δH, Mult (J in Hz) |
| 2 | 124.9, CH | 7.14, s |
| 3 | 108.4, C | - |
| 3a | 126.5, C | - |
| 4 | 118.9, CH | 7.52, d (8.0) |
| 5 | 121.4, CH | 6.89, d (8.0) |
| 6 | 136.9, C | - |
| 7 | 111.7, CH | 7.17, s |
| 7a | 138.8, C | - |
| 8 | 28.0, CH2 | 3.49, dd (15.0, 5.0) |
| 3.23, dd (15.0, 8.0) | ||
| 9 | 55.5, CH | 4.07, dd (8.0, 5.0) |
| 10 | 173.4, C | - |
| 1′ | 35.5, CH2 | 3.41, d (7.5) |
| 2′ | 125.4, CH | 5.35, t (7.5) |
| 3′ | 132.6, C | - |
| 4′ | 17.9, CH3 | 1.74, s |
| 5′ | 25.9, CH3 | 1.74, s |
| Penipaline D (3) a | ||
|---|---|---|
| Position | δC, Type | δH, Mult (J in Hz) |
| 1 | 41.9, CH2 | 4.39, d (6.5) |
| 3 | 59.0, CH | 3.94, m |
| 4 | 24.2, CH2 | 3.41, m |
| 3.03, m | ||
| 5 | 107.7, C | - |
| 6 | 125.8, C | - |
| 7 | 118.8, CH | 7.36, d (8.0) |
| 8 | 121.5, CH | 6.89, d (8.0) |
| 9 | 137.3, C | - |
| 10 | 111.4, CH | 7.11, s |
| 11 | 138.9, C | - |
| 13 | 126.1, C | - |
| 14 | 173.9, C | - |
| 1′ | 35.5, CH2 | 3.41, m |
| 2′ | 125.3, CH | 5.36, t (7.5) |
| 3′ | 132.7, C | - |
| 4′ | 17.9, CH3 | 1.75, s |
| 5′ | 25.9, CH3 | 1.75, s |
| N-Acetyl-6-dimethylallyl-l-tryptophan (4) c | ||
|---|---|---|
| Position | δC, Type | δH, Mult (J in Hz) |
| 2 | 123.8, CH | 7.01, s |
| 3 | 110.9, C | 4.70, dd (8.0, 5.0) |
| 3a | 127.1, C | 3.31, m |
| 4 | 119.0, CH | 7.44, d (8.0) |
| 5 | 120.9, CH | 6.85, d (8.0) |
| 6 | 136.3, C | - |
| 7 | 111.4, CH | 7.11, s |
| 7a | 138.5, C | - |
| 8 | 28.6, CH2 | 3.31, m |
| 3.12, dd (15.0, 8.0) | ||
| 9 | 54.8, CH | 4.70, dd (8.0, 5.0) |
| 10 | 175.3, C | - |
| 11 | 173.2, C | - |
| 12 | 22.4, CH3 | 1.90, s |
| 1′ | 123.8, CH | 7.01, s |
| 2′ | 173.2, C | - |
| 3′ | 22.4, CH3 | 1.90, s |
| 4′ | 35.5, CH2 | 3.40, d (7.5) |
| 5′ | 125.6, CH | 5.36, t (7.5) |
| C. albicans | C. glabrata | C. auris | C. neoformans | |||||||||
|---|---|---|---|---|---|---|---|---|---|---|---|---|
| Cpd. | IC20 | IC50 | IC90 | IC20 | IC50 | IC90 | IC20 | IC50 | IC90 | IC20 | IC50 | IC90 |
| 1 | 0.17 | 0.35 | >0.69 | 0.04 | 0.04 | >0.69 | 0.17 | 0.35 | >0.69 | 0.17 | 0.35 | >0.69 |
| 2 | 0.47 | >0.47 | >0.47 | 0.12 | >0.47 | >0.47 | >0.47 | >0.47 | >0.47 | 0.47 | >0.47 | >0.47 |
| 3 | >0.45 | >0.45 | >0.45 | 0.12 | 0.45 | >0.45 | 0.45 | >0.45 | >0.45 | 0.45 | >0.45 | >0.45 |
| 4 | >0.41 | >0.41 | >0.41 | 0.10 | >0.41 | >0.41 | >0.41 | >0.41 | >0.41 | >0.41 | >0.41 | >0.41 |
Disclaimer/Publisher’s Note: The statements, opinions and data contained in all publications are solely those of the individual author(s) and contributor(s) and not of MDPI and/or the editor(s). MDPI and/or the editor(s) disclaim responsibility for any injury to people or property resulting from any ideas, methods, instructions or products referred to in the content. |
© 2024 by the authors. Licensee MDPI, Basel, Switzerland. This article is an open access article distributed under the terms and conditions of the Creative Commons Attribution (CC BY) license (https://creativecommons.org/licenses/by/4.0/).
Share and Cite
Um, S.; Jeong, H.; Park, J.-E.; Seo, J.; Jung, S.H.; Bae, M.; Lee, K.-T.; Moon, K. Isolation and Characterization of Bioactive Compounds from Saccharomonospora sp. CMS18 and Their Antifungal Properties. Mar. Drugs 2024, 22, 539. https://doi.org/10.3390/md22120539
Um S, Jeong H, Park J-E, Seo J, Jung SH, Bae M, Lee K-T, Moon K. Isolation and Characterization of Bioactive Compounds from Saccharomonospora sp. CMS18 and Their Antifungal Properties. Marine Drugs. 2024; 22(12):539. https://doi.org/10.3390/md22120539
Chicago/Turabian StyleUm, Soohyun, Hyeongju Jeong, Ji-Eun Park, Jeongwon Seo, Sang Heon Jung, Munhyung Bae, Kyung-Tae Lee, and Kyuho Moon. 2024. "Isolation and Characterization of Bioactive Compounds from Saccharomonospora sp. CMS18 and Their Antifungal Properties" Marine Drugs 22, no. 12: 539. https://doi.org/10.3390/md22120539
APA StyleUm, S., Jeong, H., Park, J.-E., Seo, J., Jung, S. H., Bae, M., Lee, K.-T., & Moon, K. (2024). Isolation and Characterization of Bioactive Compounds from Saccharomonospora sp. CMS18 and Their Antifungal Properties. Marine Drugs, 22(12), 539. https://doi.org/10.3390/md22120539

