Trichoderols B-G, Six New Lipids from the Marine Algicolous Fungus Trichoderma sp. Z43
Abstract
:1. Introduction
2. Results and Discussion
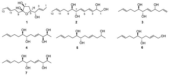
2.1. Structural Elucidation
2.2. Bioactivity of Isolated Compounds
3. Materials and Methods
3.1. General Experimental Producers
3.2. Fungal Material and Fermentation
3.3. Extraction and Isolation
3.4. Spectral and Physical Data of Compounds 1–6
3.5. Assay for Antifungal Activity
3.6. Assay for Antimicroalgal Activity
3.7. Assay for Brine Shrimp Lethal Activity
4. Conclusions
Supplementary Materials
Author Contributions
Funding
Institutional Review Board Statement
Data Availability Statement
Acknowledgments
Conflicts of Interest
References
- Phoulivong, S.; Cai, L.; Chen, H.; McKenzie, E.H.C.; Abdelsalam, K.; Chukeatirote, E.; Hyde, K.D. Colletotrichum gloeosporioides is not a common pathogen on tropical fruits. Fungal Divers. 2010, 44, 33–43. [Google Scholar] [CrossRef]
- Wang, B.; Li, B.H.; Wang, C.X.; Zhang, Z.F. Effects of temperature, wetness duration, and moisture on the conidial germination, infection, and disease incubation period of Glomerella cingulate. Plant Dis. 2015, 99, 249–256. [Google Scholar] [CrossRef] [PubMed]
- Figueroa, M.; Hammond-Kosack, K.E.; Solomon, P.S. A review of wheat diseases-a field perspective. Mol. Plant Pathol. 2018, 19, 1523–1536. [Google Scholar] [CrossRef] [PubMed]
- Goswami, R.S.; Kistler, H.C. Heading for disaster: Fusarium graminearum on cereal crops. Mol. Plant Pathol. 2004, 5, 515–525. [Google Scholar] [CrossRef]
- Freeman, J.; Ward, E. Gaeumannomyces graminis, the take-all fungus and its relatives. Mol. Plant Pathol. 2004, 5, 235–252. [Google Scholar] [CrossRef]
- Murray, S.A.; Kohli, G.S.; Farrell, H.; Spiers, Z.B.; Place, A.R.; Dorantes-Aranda, J.J.; Ruszczyk, J. A fish kill associated with a bloom of Amphidinium carterae in a coastal lagoon in Sydney, Australia. Harmful Algae 2015, 49, 19–28. [Google Scholar] [CrossRef]
- Rensel, J.E.J.; Haigh, N.; Tynan, T.J. Fraser river sockeye salmon marine survival decline and harmful blooms of Heterosigma akashiwo. Harmful Algae 2010, 10, 98–115. [Google Scholar] [CrossRef]
- Matsuyama, Y. Impacts of the harmful dinoflagellate Heterocapsa circularisquama bloom on shellfish aquaculture in Japan and some experimental studies on invertebrates. Harmful Algae 2012, 14, 144–155. [Google Scholar] [CrossRef]
- Lin, J.N.; Yan, T.; Zhang, Q.C.; Wang, Y.F.; Liu, Q.; Zhou, M.J. In situ detrimental impacts of Prorocentrum donghaiense blooms on zooplankton in the East China Sea. Mar. Pollut. Bull. 2014, 88, 302–310. [Google Scholar] [CrossRef]
- Zeilinger, S.; Gruber, S.; Bansal, R.; Mukherjee, P.K. Secondary metabolites in Trichoderma—Chemistry meets genomics. Fungal Biol. Rev. 2016, 30, 74–90. [Google Scholar] [CrossRef]
- Li, M.-F.; Li, G.-H.; Zhang, K.-Q. Non-volatile metabolites from Trichoderma spp. Metabolites 2019, 9, 58. [Google Scholar] [CrossRef] [PubMed]
- Keswani, C.; Mishra, S.; Sarma, B.K.; Singh, S.P.; Singh, H.B. Unraveling the efficient applications of secondary metabolites of various Trichoderma spp. Appl. Microbiol. Biotechnol. 2014, 98, 533–544. [Google Scholar] [CrossRef] [PubMed]
- Zhang, J.-L.; Tang, W.-L.; Huang, Q.-R.; Li, Y.-Z.; Wei, M.-L.; Jiang, L.-L.; Liu, C.; Yu, X.; Zhu, H.-W.; Chen, G.-Z.; et al. Trichoderma: A treasure house of structurally diverse secondary metabolites with medicinal importance. Front. Microbiol. 2021, 12, 723828. [Google Scholar] [CrossRef]
- Song, F.; Dai, H.; Tong, Y.; Ren, B.; Chen, C.; Sun, N.; Liu, X.; Bian, J.; Liu, M.; Gao, H.; et al. Trichodermaketones A-D and 7-O-methylkoninginin D from the marine fungus Trichoderma koningii. J. Nat. Prod. 2010, 73, 806–810. [Google Scholar] [CrossRef]
- Miao, F.-P.; Liang, X.-R.; Yin, X.-L.; Wang, G.; Ji, N.-Y. Absolute configurations of unique harziane diterpenes from Trichoderma species. Org. Lett. 2012, 14, 3815–3817. [Google Scholar] [CrossRef] [PubMed]
- Jiang, M.; Wu, Z.; Guo, H.; Liu, L.; Chen, S. A review of terpenes from marine-derived fungi: 2015-2019. Mar. Drugs 2020, 18, 321. [Google Scholar] [CrossRef] [PubMed]
- Shi, Z.-Z.; Liu, X.-H.; Li, X.-N.; Ji, N.-Y. Antifungal and antimicroalgal trichothecene sesquiterpenes from the marine algicolous fungus Trichoderma brevicompactum A-DL-9-2. J. Agric. Food Chem. 2020, 68, 15440–15448. [Google Scholar] [CrossRef]
- Song, Y.-P.; Shi, Z.-Z.; Miao, F.-P.; Fang, S.-T.; Yin, X.-L.; Ji, N.-Y. Tricholumin A, a highly transformed ergosterol derivative from the alga-endophytic fungus trichoderma asperellum. Org. Lett. 2018, 20, 6306–6309. [Google Scholar] [CrossRef]
- Wang, X.-Y.; Xu, T.-T.; Sun, L.-J.; Cen, R.-H.; Su, S.; Yang, X.-Q.; Yang, Y.-B.; Ding, Z.-T. The chemical diversity, the attractant, anti-acetylcholinesterase, and antifungal activities of metabolites from biocontrol Trichoderma harzianum uncovered by OSMAC strategy. Bioorg. Chem. 2021, 114, 105148. [Google Scholar] [CrossRef]
- Li, B.; Huang, Q.-X.; Gao, D.; Liu, D.; Ji, Y.-B.; Liu, H.-G.; Lin, W.-H. New C13 lipids from the marine-derived fungus Trichoderma harzianum. J. Asian Nat. Prod. Res. 2015, 17, 468–474. [Google Scholar] [CrossRef]
- Xu, L.; Zhao, Q.; Yu, H.; Wang, J.; Wang, H.; Yang, Q.; Zhu, H.; Li, Y. Absolute configuration determination of one new compound trichoderol A from Trichoderma sp. fungus. Chem. J. Chin. Univ.-Chin. 2016, 37, 1972–1976. [Google Scholar]
- Hoye, T.R.; Eklov, B.M.; Jeon, J.; Khoroosi, M. Sequencing of three-component olefin metatheses: Total synthesis of either (+)-gigantecin or (+)-14-deoxy-9-oxygigantecin. Org. Lett. 2006, 8, 3383–3386. [Google Scholar] [CrossRef] [PubMed]
- Pandit, S.; Adhikari, A.S.; Majumdar, N. Iridium-catalyzed enantioselective ring opening of alkenyl oxiranes by unactivated carboxylic acids. Org. Lett. 2022, 24, 7388–7393. [Google Scholar] [CrossRef] [PubMed]
- Leblanc, Y.; Fitzsinnons, B.J.; Adams, J.; Perez, F.; Rokach, J. The total synthesis of 12-HETE and 12,20-DiHETE. J. Org. Chem. 1986, 51, 789–793. [Google Scholar] [CrossRef]
- Bae, M.; Kim, H.; Shin, Y.; Kim, B.Y.; Lee, S.K.; Oh, K.-B.; Shin, J.; Oh, D.-C. Separacenes A-D, novel polyene polyols from the marine actinomycete, Streptomyces sp. Mar. Drugs 2013, 11, 2882–2893. [Google Scholar] [CrossRef]
- Wang, X.; Yang, Y.; An, B.; Wu, J.; Li, Y.; Bian, Q.; Wang, M.; Zhong, J. Asymmetric synthesis of sex pheromone of the western hemlock looper, Lambdina fiscellaria lugubrosa (Hulst). Tetrahedron Lett. 2023, 118, 154401. [Google Scholar] [CrossRef]



| Pos | 1 (CDCl3) | 2 (CD3OD) | 3 (CDCl3) | 4 (CD3OD) | 5 (CD3OD) | 6 (CD3OD) |
|---|---|---|---|---|---|---|
| 1a | 1.72, d (6.6) | 3.48, dd (11.1, 5.1) | 5.17, brs | 1.14, d (6.4) | 1.14, d (6.2) | 4.02, d (5.2) |
| 1b | 3.46, dd (11.2, 6.8) | 5.14, brs | ||||
| 2 | 5.81, dq (15.2, 6.6) | 4.15, dt (6.3, 5.2) | 5.80, m | 3.65, qd (6.4, 6.1) | 3.75, sext (6.2) | 5.69, dt (15.4, 5.2) |
| 3a | 5.28, dd (15.2, 7.4) | 5.71, dd (13.1, 6.3) | 2.37, dddt (13.9, 6.6, 5.3, 1.2) | 3.84, dd (7.1, 6.1) | 2.18, m | 5.72, dt (15.4, 6.7) |
| 3b | 2.28, dddt (13.9, 7.4, 6.6, 1.0) | 2.14, m | ||||
| 4a | 4.20, dm (7.4) | 6.32, dd (13.1, 10.6) | 4.24, dt (6.1, 5.5) | 5.60, ddm (15.5, 7.1) | 5.54, dt (15.4, 6.4) | 2.31, m |
| 4b | 2.19, m | |||||
| 5 | 4.52 dd (5.5, 3.1) | 6.29, dd (13.1, 10.6) | 5.84, ddd (15.5, 5.6, 0.9) | 5.75, m | 5.56, dt (15.4, 6.4) | 3.44, m |
| 6a | 2.44, dd (13.5, 6.9) | 5.73, dd (13.1, 5.7) | 5.73, ddd (15.5, 6.3, 1.1) | 2.33, m | 2.35, dm (13.8) | 3.43, m |
| 6b | 1.45, dddd (13.5, 5.5, 2.6, 1.2) | 2.22, dd (14.2, 7.3) | 2.12, m | |||
| 7 | 3.88, dd (6.9, 2.6) | 3.93, dd (6.5, 5.7) | 3.96, dd (6.3, 5.9) | 3.47, m | 3.40, m | 1.52, m |
| 8a | 3.42, ddd (9.4, 5.7, 3.2) | 3.49, ddd (9.3, 5.9, 3.5) | 3.44, m | 3.39, m | 2.15, m | |
| 8b | 2.04, m | |||||
| 9a | 1.99, m | 1.54, m | 1.58, m | 1.53, m | 1.67, m | 5.45, m |
| 9b | 1.38, m | 1.49, m | 1.41, m | |||
| 10a | 2.24, m | 2.16, m | 2.18, m | 2.16, m | 2.19, m | 5.45, m |
| 10b | 2.03, m | 2.09, m | 2.04, m | 2.02, m | ||
| 11 | 5.49, m | 5.44, m | 5.44, m | 5.46, m | 5.46, m | 1.64, d (4.7) |
| 12 | 5.50, m | 5.43, m | 5.47, m | 5.46, m | 5.46, m | |
| 13 | 1.64, d (4.6) | 1.63, d (5.2) | 1.65, d (6.0) | 1.64, d (3.9) | 1.64, d (3.9) |
| Pos | 1 (CDCl3) | 2 (CD3OD) | 3 (CDCl3) | 4 (CD3OD) | 5 (CD3OD) | 6 (CD3OD) |
|---|---|---|---|---|---|---|
| 1 | 18.1, CH3 | 67.2, CH2 | 118.9, CH2 | 18.7, CH3 | 22.9, CH3 | 63.7, CH2 |
| 2 | 131.4, CH | 73.9, CH | 134.0, CH | 71.6, CH | 68.5, CH | 132.7, CH |
| 3 | 126.5, CH | 134.3, CH | 42.0, CH2 | 77.9, CH | 43.6, CH2 | 129.9, CH |
| 4 | 80.0, CH | 132.2, CH | 70.8, CH | 132.9, CH | 130.1, CH | 37.1, CH2 |
| 5 | 78.2, CH | 132.6, CH | 135.4, CH | 131.1, CH | 130.7, CH | 75.0, CH |
| 6 | 36.1, CH2 | 134.3, CH | 130.0, CH | 37.3, CH2 | 37.3, CH2 | 73.9, CH |
| 7 | 74.2, CH | 76.7, CH | 75.4, CH | 75.0, CH | 75.9, CH | 33.9, CH2 |
| 8 | 111.3, C | 75.1, CH | 74.2, CH | 73.9, CH | 74.7, CH | 30.0, CH2 |
| 9 | 28.5, CH2 | 33.7, CH2 | 32.8, CH2 | 33.9, CH2 | 33.6, CH2 | 132.2, CH |
| 10 | 26.5, CH2 | 29.9, CH2 | 28.9, CH2 | 30.0, CH2 | 29.9, CH2 | 126.0, CH |
| 11 | 130.9, CH | 132.2, CH | 130.7, CH | 132.2, CH | 132.3, CH | 18.1, CH3 |
| 12 | 125.5, CH | 126.0, CH | 125.9, CH | 126.0, CH | 126.0, CH | |
| 13 | 18.1, CH3 | 18.1, CH3 | 18.1, CH3 | 18.1, CH3 | 18.1, CH3 |
| Compounds | MIC (μg/mL) | ||
|---|---|---|---|
| Fusarium graminearum | Gaeumannomyces graminis | Glomerella cingulata | |
| 1 | 256 | 256 | 64 |
| 2 | - | - | - |
| 3 | - | - | - |
| 4 | - | 256 | 128 |
| 5 | - | - | - |
| 6 | - | - | - |
| 7 | - | 256 | 128 |
| amphotericin B | 2.0 | 2.0 | 1.0 |
| Compounds | IC50 (μg/mL) | Lethal Rate (at 100 μg/mL) | |||
|---|---|---|---|---|---|
| Amphidinium carterae | Heterocapsa circularisquama | Heterosigma akashiwo | Prorocentrum donghaiense | Artemia salina | |
| 1 | 15 | 24 | 28 | 22 | 9.6% |
| 2 | 61 | - | 43 | 37 | 5.2% |
| 3 | 66 | 78 | - | - | 4.6% |
| 4 | - | - | 53 | 42 | 6.1% |
| 5 | 50 | 68 | - | - | 8.4% |
| 6 | 44 | - | 82 | - | 3.2% |
| 7 | - | - | 49 | 30 | 5.4% |
| K2Cr2O7 | 1.2 | 1.0 | 0.8 | 1.4 | 100% |
Disclaimer/Publisher’s Note: The statements, opinions and data contained in all publications are solely those of the individual author(s) and contributor(s) and not of MDPI and/or the editor(s). MDPI and/or the editor(s) disclaim responsibility for any injury to people or property resulting from any ideas, methods, instructions or products referred to in the content. |
© 2023 by the authors. Licensee MDPI, Basel, Switzerland. This article is an open access article distributed under the terms and conditions of the Creative Commons Attribution (CC BY) license (https://creativecommons.org/licenses/by/4.0/).
Share and Cite
Shi, Z.-Z.; Yin, X.-L.; Ji, N.-Y. Trichoderols B-G, Six New Lipids from the Marine Algicolous Fungus Trichoderma sp. Z43. Mar. Drugs 2023, 21, 453. https://doi.org/10.3390/md21080453
Shi Z-Z, Yin X-L, Ji N-Y. Trichoderols B-G, Six New Lipids from the Marine Algicolous Fungus Trichoderma sp. Z43. Marine Drugs. 2023; 21(8):453. https://doi.org/10.3390/md21080453
Chicago/Turabian StyleShi, Zhen-Zhen, Xiu-Li Yin, and Nai-Yun Ji. 2023. "Trichoderols B-G, Six New Lipids from the Marine Algicolous Fungus Trichoderma sp. Z43" Marine Drugs 21, no. 8: 453. https://doi.org/10.3390/md21080453
APA StyleShi, Z.-Z., Yin, X.-L., & Ji, N.-Y. (2023). Trichoderols B-G, Six New Lipids from the Marine Algicolous Fungus Trichoderma sp. Z43. Marine Drugs, 21(8), 453. https://doi.org/10.3390/md21080453

