New Fusarin Derivatives from the Marine Algicolous Fungus Penicillium steckii SCSIO41040
Abstract
1. Introduction
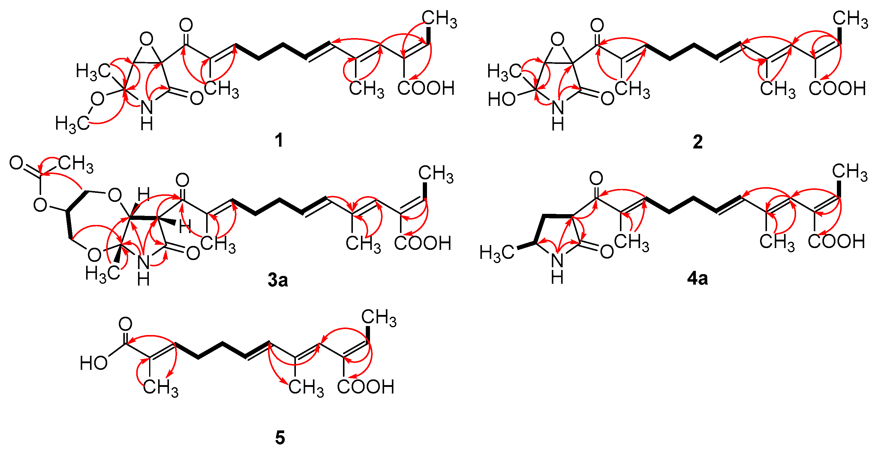
2. Results and Discussion
3. Materials and Methods
3.1. General Experimental Procedures
3.2. Fungal Strain
3.3. Fermentation and Extraction
3.4. Isolation and Purification
3.5. ECD Calculation
3.6. Cell Culture and Cytotoxic Bioassay
3.7. Antimicrobial Assay
3.8. Anti-Inflammatory Assay
3.9. Cholesterol Transport Mechanism
3.10. PFKFB3 Kinase Inhibitory Activity
3.11. PI3K Kinase Inhibitory Activity
3.12. Measurement of AChE Inhibition Activity
3.13. Molecular Docking Analysis
4. Conclusions
Supplementary Materials
Author Contributions
Funding
Institutional Review Board Statement
Data Availability Statement
Acknowledgments
Conflicts of Interest
References
- Yao, G.; Chen, X.; Zheng, H.; Liao, D.; Yu, Z.; Wang, Z.; Chen, J. Genomic and chemical investigation of bioactive secondary metabolites from a marine-derived fungus Penicillium steckii P2648. Front. Microbiol. 2021, 12, 600911. [Google Scholar] [CrossRef]
- Hu, X.; Li, X.; Wang, B.-G.; Meng, L.-H. Uncommonp polyketides from Penicillium steckii AS-324, a marine endozoic fungus isolated from deep-sea coral in the magellan seamount. Int. J. Mol. Sci. 2022, 23, 6332. [Google Scholar] [CrossRef] [PubMed]
- Hu, X.; Li, X.; Wang, B.; Meng, L. Tanzawaic acid derivatives: Fungal polyketides from the deep-sea coral-derived endozoic Penicillium steckii AS-324. J. Nat. Prod. 2022, 85, 1398–1406. [Google Scholar] [CrossRef] [PubMed]
- Chen, C.; Chen, W.; Pang, X.; Liao, S.; Wang, J.; Lin, X.; Yang, B.; Zhou, X.; Luo, X.; Liu, Y. Pyrrolyl 4-quinolone alkaloids from the mangrove endophytic fungus Penicillium steckii SCSIO 41025: Chiral resolution, configurational assignment, and enzyme inhibitory activities. Phytochemistry 2021, 186, 112730. [Google Scholar] [CrossRef] [PubMed]
- Song, Y.; Tan, Y.; She, J.; Chen, C.; Wang, J.; Hu, Y.; Pang, X.; Wang, J.; Liu, Y. Tanzawaic acid derivatives from the marine-derived Penicillium steckii as inhibitors of RANKL-Induced osteoclastogenesis. J. Nat. Prod. 2023, 86, 1171–1178. [Google Scholar] [CrossRef]
- Shin, H.; Pil, G.; Heo, S.-J.; Lee, H.-S.; Lee, J.; Lee, Y.-J.; Lee, J.; Won, H. Anti-inflammatory activity of tanzawaic acid derivatives from a marine-derived fungus Penicillium steckii 108YD142. Mar. Drugs 2016, 14, 14. [Google Scholar] [CrossRef]
- Maragos, C.M.; Busman, M.; Plattner, R.D. Development of monoclonal antibodies for the fusarin mycotoxins. Food Addit. Contam. 2008, 25, 105–116. [Google Scholar] [CrossRef]
- Nagumo, Y.; Kakeya, H.; SHOJI, M.; Hayashi, Y.; Dohmae, N.; Osada, H. Epolactaene binds human Hsp60 Cys442 resulting in the inhibition of chaperone activity. Biochem. J. 2005, 387, 835–840. [Google Scholar] [CrossRef]
- Donzelli, B.G.; Krasnoff, S.B.; Churchill, A.C.; Vandenberg, J.D.; Gibson, D.M. Identification of a hybrid PKS-NRPS required for the biosynthesis of NG-391 in Metarhizium robertsii. Curr. Genet. 2010, 56, 151–162. [Google Scholar] [CrossRef]
- Kakeya, H.; Onozawa, C.; Sato, M.; Arai, K.; Osada, H. Neuritogenic effect of epolactaene derivatives on human neuroblastoma cells which lack high-affinity nerve growth factor receptors. J. Med. Chem. 1997, 40, 391–394. [Google Scholar] [CrossRef]
- Kuramochi, K.; Yukizawa, S.; Ikeda, S.; Sunoki, T.; Arai, S.; Matsui, R.; Morita, A.; Mizushina, Y.; Sakaguchi, K.; Sugawara, F.; et al. Syntheses and applications of fluorescent and biotinylated epolactaene derivatives: Epolactaene and its derivative induce disulfide formation. Bioorg. Med. Chem. 2008, 16, 5039–5049. [Google Scholar] [CrossRef] [PubMed]
- Lu, S.J.; Ronai, Z.A.; Li, M.H.; Jeffrey, A.M. Fusarium moniliforme metabolites: Genotoxicity of culture extracts. Carcinogenesis 1988, 9, 1523–1527. [Google Scholar] [CrossRef] [PubMed]
- Cheng, S.J.; Jiang, Y.Z.; Li, M.H.; Lo, H.Z.A. A mutagenic metabolite produced by Fusarium moniliforme isolated from Linxian county, China. Carcinogenesis 1985, 6, 903–905. [Google Scholar] [CrossRef]
- Sondergaard, T.E.; Hansen, F.T.; Purup, S.; Nielsen, A.K.; Bonefeld-Jorgensen, E.C.; Giese, H.; Sorensen, J.L. Fusarin C acts like an estrogenic agonist and stimulates breast cancer cells in vitro. Toxicol. Lett. 2011, 205, 116–121. [Google Scholar] [CrossRef] [PubMed]
- Kleigrewe, K.; Aydin, F.; Hogrefe, K.; Piecuch, P.; Bergander, K.; Wurthwein, E.U.; Humpf, H.U. Structure elucidation of new fusarins revealing insights in the rearrangement mechanisms of the Fusarium mycotoxin fusarin C. J. Agric. Food Chem. 2012, 60, 497–505. [Google Scholar] [CrossRef] [PubMed]
- Li, K.; Su, Z.; Gao, Y.; Lin, X.; Pang, X.; Yang, B.; Tao, H.; Luo, X.; Liu, Y.; Zhou, X. Cytotoxic minor piericidin derivatives from the actinomycete strain Streptomyces psammoticus SCSIO NS126. Mar. Drugs. 2021, 19, 428. [Google Scholar] [CrossRef] [PubMed]
- Luo, X.; Lin, X.; Salendra, L.; Pang, X.; Dai, Y.; Yang, B.; Liu, J.; Wang, J.; Zhou, X.; Liu, Y. Isobenzofuranones and isochromenones from the deep-sea derived fungus Leptosphaeria sp. SCSIO 41005. Mar. Drugs 2017, 15, 204. [Google Scholar] [CrossRef]
- Kakeya, H.; Takahashi, I.; Okada, G.; Isono, K.; Osada, H. Eolactaene, a novel neuritogenic compound in human neuroblastoma cells, produced by a marine fungus. J. Antibiot. 1995, 48, 733–735. [Google Scholar] [CrossRef]
- Kakeya, H.; Kageyama, S.; Nie, L.; Onose, R.; Okada, G.; Beppu, T.; Norbury, C.J.; Osada, H. Lucilactaene, a new cell cycle inhibitor in p53-transfected cancer cells, produced by a Fusarium sp. J. Antibiot. 2011, 54, 850–854. [Google Scholar] [CrossRef][Green Version]
- Yamaguchi, J.; Kakeya, H.; Uno, T.; Shoji, M.; Osada, H.; Hayashi, Y. Determination by asymmetric total synthesis of the absolute configuration of lucilactaene, a cell-cycle inhibitor in p53-transfected cancer cells. Angew. Chem. Int. Ed. Engl. 2005, 44, 3110–3115. [Google Scholar] [CrossRef]
- Kumarihamy, M.; Rosa, L.H.; Duke, S.O.; Tekwani, B.L.; Techen, N.; Ferreira, D.; Croom, E.M.; Khan, S.; Nanayakkara, N.P.D. Antimalarials and phytotoxins from Botryosphaeria dothidea identified from a seed of diseased Torreya taxifolia. Molecules 2021, 26, 59. [Google Scholar] [CrossRef] [PubMed]
- Kleigrewe, K.; Sohnel, A.C.; Humpf, H.U. A new high-performance liquid chromatography-tandem mass spectrometry method based on dispersive solid phase extraction for the determination of the mycotoxin fusarin C in corn ears and processed corn samples. J. Agric. Food. Chem. 2011, 59, 10470–10476. [Google Scholar] [CrossRef] [PubMed]
- Abdelhakim, I.A.; Mahmud, F.B.; Motoyama, T.; Futamura, Y.; Takahashi, S.; Osada, H. Dihydrolucilactaene, a potent antimalarial compound from Fusarium sp. RK97-94. J. Nat. Prod. 2021, 85, 63–69. [Google Scholar] [CrossRef] [PubMed]
- Gelderblom, W.C.A.; Marasas, W.F.O.; Steyn, P.S.; Thiel, P.G.; Merwe, K.J.v.d.; Rooyen, P.H.v.; Vleggaar, R.; Wesselsb, P.L. Structure Eelucidation of fusarin C, a mutagen produced by Fusarium moniliforme. J. Chem. Soc. Chem. Commun. 1984, 2, 122–124. [Google Scholar]
- Kuramochi, K.; Sunoki, T.; Tsubaki, K.; Mizushina, Y.; Sakaguchi, K.; Sugawara, F.; Ikekita, M.; Kobayashi, S. Transformation of thiols to disulfides by epolactaene and its derivatives. Bioorg. Med. Chem. 2011, 19, 4162–4172. [Google Scholar] [CrossRef]
- Smetanina, O.F.; Yurchenko, A.N.; Pivkin, M.V.; Yurchenko, E.A.; Afiyatullo, S.S. Isochromene metabolite from the facultative marine fungus Penicillium citrinum. Chem. Nat. Compd. 2011, 47, 118–119. [Google Scholar] [CrossRef]
- Ying, Y.; Zhang, L.; Shan, W.; Zhan, J. Secondary metabolites of Peyronellaea sp. XW-12, an endophytic fungus of Huperzia serrata. Chem. Nat. Compd. 2014, 50, 723–725. [Google Scholar] [CrossRef]
- Lu, T.; Chen, F. Multiwfn: A multifunctional wavefunction analyzer. J. Comput. Chem. 2012, 33, 580–592. [Google Scholar] [CrossRef]
- Tan, Y.; Yang, B.; Lin, X.; Luo, X.; Pang, X.; Tang, L.; Liu, Y.; Li, X.; Zhou, X. Nitrobenzoyl sesquiterpenoids with cytotoxic activities from a marine-derived Aspergillus ochraceus fungus. J. Nat. Prod. 2018, 81, 92–97. [Google Scholar] [CrossRef]
- Wang, J.; Cong, Z.; Huang, X.; Hou, C.; Chen, W.; Tu, Z.; Huang, D.; Liu, Y. Soliseptide A, a cyclic hexapeptide possessing piperazic acid groups from Streptomyces solisilvae HNM30702. Org. Lett. 2018, 20, 1371–1374. [Google Scholar] [CrossRef]
- Tan, Y.; Deng, W.; Zhang, Y.; Ke, M.; Zou, B.; Luo, X.; Su, J.; Wang, Y.; Xu, J.; Nandakumar, K.S.; et al. A marine fungus-derived nitrobenzoyl sesquiterpenoid suppresses receptor activator of NF-kappaB ligand-induced osteoclastogenesis and inflammatory bone destruction. Br. J. Pharmacol. 2020, 177, 4242–4260. [Google Scholar] [CrossRef] [PubMed]
- Zhang, R.; Liu, W.; Zeng, J.; Meng, J.; Jiang, H.; Wang, J.; Xing, D. Niemann-Pick C1-Like 1 inhibitors for reducing cholesterol absorption. Eur. J. Med. Chem. 2022, 230, 114111. [Google Scholar] [CrossRef] [PubMed]
- Zhang, R.; Song, Z.; Wang, X.; Xue, J.; Xing, D. One-step modification to identify dual-inhibitors targeting both pancreatic triglyceride lipase and Niemann-Pick C1-like 1. Eur. J. Med. Chem. 2021, 216, 113358. [Google Scholar] [CrossRef]
- Li, J.; Zhou, Y.; Eelen, G.; Zhou, Q.T.; Feng, W.B.; Labroska, V.; Ma, F.F.; Lu, H.P.; Dewerchin, M.; Carmeliet, P.; et al. A high-throughput screening campaign against PFKFB3 identified potential inhibitors with novel scaffolds. Acta Pharmacol. Sin. 2022, 44, 680–692. [Google Scholar] [CrossRef] [PubMed]
- Wang, J.; Gong, G.Q.; Zhou, Y.; Lee, W.J.; Buchanan, C.M.; Denny, W.A.; Rewcastle, G.W.; Kendall, J.D.; Dickson, J.M.J.; Flanagan, J.U.; et al. High-throughput screening campaigns against a PI3Kalpha isoform bearing the H1047R mutation identified potential inhibitors with novel scaffolds. Acta Pharmacol. Sin. 2018, 39, 1816–1822. [Google Scholar] [CrossRef] [PubMed]
- Ellman, G.; Courtney, K.; Andres, V.; Featherstone, R. A new and rapid colorimetric determination of acetylcholinesterase activity. Biochem. Pharmacol. 1961, 7, 88–95. [Google Scholar] [CrossRef]





| No. | 1 | 2 | 3 | 5 | ||||
|---|---|---|---|---|---|---|---|---|
| δC, Type | δH (J in Hz) | δC, Type | δH (J in Hz) | δC, Type | δH (J in Hz) | δC, Type | δH (J in Hz) | |
| 1 | 15.6 CH3 | 1.66 (d, 7.3) | 15.6 CH3 | 1.65 (d, 7.1) | 14.5 CH3 | 1.64 (dd, 7.2, 0.9) | 15.6 CH3 | 1.65 (d, 7.1) |
| 2 | 138.5 CH | 6.80 (q, 7.3) | 138.4 CH | 6.80 (q, 7.1) | 138.8 CH | 6.78 (q, 7.2) | 138.1 CH | 6.78 (q, 7.1) |
| 3 | 131.0 C | 131.0 C | 131.1 C | 131.3 C | ||||
| 4 | 123.5 CH | 5.94 s | 123.5 CH | 5.93 s | 123.5 CH | 5.92 s | 123.6 CH | 5.94 s |
| 5 | 136.7 C | 136.7 C | 137.0 C | 136.5 C | ||||
| 6 | 134.9 CH | 6.25 (d, 15.6) | 134.9 CH | 6.25 (d, 15.6) | 134.7 CH | 6.26 (dd, 15.6, 7.2) | 134.5 CH | 6.23 (d, 15.6) |
| 7 | 128.4 CH | 5.73 (dt, 15.6, 7.0) | 128.5 CH | 5.74 (dt, 15.6, 7.0) | 129.2 CH | 5.79 (dt, 15.6, 7.0) | 128.3 CH | 5.72 (dt, 15.6, 7.0) |
| 8 | 40.0 CH2 | 2.26 (q, 7.2) | 31.0 CH2 | 2.25 (q, 7.3) | 31.3 CH2 | 2.32 m | 28.1 CH2 | 2.26 m |
| 9 | 28.7 CH2 | 2.42 (q, 7.2) | 28.9 CH2 | 2.40 (q, 7.3) | 29.4 CH2 | 2.40 m | 31.3 CH2 | 2.45 m |
| 10 | 148.0 CH | 6.86 (td, 6.8, 0.7) | 147.5 CH | 6.92 (dt, 7.2, 1.6) | 147.4 CH | 6.93 (td, 6.8, 0.9) | 140.6 CH | 6.66 (td, 6.9, 0.7) |
| 11 | 135.5 C | 135.4 C | 137.5 C | 128.9 C | ||||
| 12 | 190.0 C | 190.2 C | 197.0 C | 169.0 C | ||||
| 13 | 62.2 C | 62.6 C | 48.8 CH | 4.93 (d, 8.4) | 168.1 C | |||
| 14 | 64.4 CH | 4.28 (d, 2.3) | 64.1 CH | 4.1 (d, 2.3) | 77.2 CH | 4.33 (d, 8.4) | 14.3 CH3 | 1.55 s |
| 15 | 87.4 C | 83.0 C | 82.9 C | 12.4 CH3 | 1.74 s | |||
| 16-NH | 8.82 s | 8.63 s | 8.89 s | |||||
| 17 | 169.9 C | 169.4 C | 170.5 C | |||||
| 18 | 18.7 CH3 | 1.39 s | 22.3 CH3 | 1.39 s | 20.0 CH3 | 1.48 s | ||
| 19 | 167.9 C | 168.0 C | 168.2 C | |||||
| 20 | 14.2 CH3 | 1.56 s | 14.3 CH3 | 1.55 s | 15.8 CH3 | 1.54 s | ||
| 21 | 10.8 CH3 | 1.75 s | 10.9 CH3 | 1.75 s | 11.5 CH | 1.72 s | ||
| 22 | 49.5 CH3 | 3.26 s | ||||||
| No. | 3a | 3b | ||
|---|---|---|---|---|
| δC, Type | δH (J in Hz) | δC, Type | δH (J in Hz) | |
| 22 | 20.7 CH3 | 1.98 s | 21.0 CH3 | 2.00 s |
| 23 | 61.2 CH2 | 3.51 m | 62.8 CH2 | 3.34 m |
| 3.67 m | 3.99 m | |||
| 24 | 65.6 CH | 4.16 m | 69.4 CH | 3.63 m |
| 25 | 63.1 CH2 | 3.34 m | 65.9 CH2 | 3.87 m |
| 3.99 m | 4.02 m | |||
| 26 | 170.8 C | 170.9 C | ||
| No. | 4a | 4b | ||
|---|---|---|---|---|
| δC, Type | δH (J in Hz) | δC, Type | δH (J in Hz) | |
| 1 | 15.7 CH3 | 1.64 (d, 7.1) | 15.7 CH3 | 1.64 (d, 7.1) |
| 2 | 138.4 CH | 6.76 (q, 7.1) | 138.4 CH | 6.76 (q, 7.1) |
| 3 | 131.5 C | 131.5 C | ||
| 4 | 123.8 CH | 5.95 s | 123.8 CH | 5.95 s |
| 5 | 136.2 C | 136.4 C | ||
| 6 | 134.7 CH | 6.26 (d, 15.6) | 134.7 CH | 6.26 (d, 15.6) |
| 7 | 128.8 CH | 5.78 (dt, 15.6, 7.0) | 128.8 CH | 5.78 (dt, 15.6, 7.0) |
| 8 | 31.2 CH2 | 2.30 m | 31.2 CH2 | 2.30 m |
| 9 | 29.0 CH2 | 2.38 (q, 7.3) | 29.0 CH2 | 2.38 (q, 7.3) |
| 10 | 145.4 CH | 6.85 (td, 7.2, 0.7) | 145.8 CH | 6.91 (td, 7.2, 0.7) |
| 11 | 136.4 C | 136.6 C | ||
| 12 | 198.3 C | 198.4 C | ||
| 13 | 47.8 CH | 4.30 (q, 9.1) | 48.9 CH | 4.33 (q, 9.1) |
| 14 | 33.0 CH2 | 1.72 m | 33.3 CH2 | 1.80 m |
| 2.27 m | 2.33 m | |||
| 15 | 47.3 CH | 3.60 (q, 6.6) | 48.4 CH | 3.65 (q, 6.6) |
| 16-NH | 7.90 s | 7.90 s | ||
| 17 | 172.5 C | 172.8 C | ||
| 18 | 22.1 CH3 | 1.10 (d, 6.2) | 22.3 CH3 | 1.12 (d, 6.2) |
| 19 | 168.2 C | 168.2 C | ||
| 20 | 14.3 CH3 | 1.56 s | 14.3 CH3 | 1.56 s |
| 21 | 11.4 CH3 | 1.72 s | 11.5 CH3 | 1.72 s |
Disclaimer/Publisher’s Note: The statements, opinions and data contained in all publications are solely those of the individual author(s) and contributor(s) and not of MDPI and/or the editor(s). MDPI and/or the editor(s) disclaim responsibility for any injury to people or property resulting from any ideas, methods, instructions or products referred to in the content. |
© 2023 by the authors. Licensee MDPI, Basel, Switzerland. This article is an open access article distributed under the terms and conditions of the Creative Commons Attribution (CC BY) license (https://creativecommons.org/licenses/by/4.0/).
Share and Cite
Song, Y.; She, J.; Chen, W.; Wang, J.; Tan, Y.; Pang, X.; Zhou, X.; Wang, J.; Liu, Y. New Fusarin Derivatives from the Marine Algicolous Fungus Penicillium steckii SCSIO41040. Mar. Drugs 2023, 21, 532. https://doi.org/10.3390/md21100532
Song Y, She J, Chen W, Wang J, Tan Y, Pang X, Zhou X, Wang J, Liu Y. New Fusarin Derivatives from the Marine Algicolous Fungus Penicillium steckii SCSIO41040. Marine Drugs. 2023; 21(10):532. https://doi.org/10.3390/md21100532
Chicago/Turabian StyleSong, Yingying, Jianglian She, Weihao Chen, Jiamin Wang, Yanhui Tan, Xiaoyan Pang, Xuefeng Zhou, Junfeng Wang, and Yonghong Liu. 2023. "New Fusarin Derivatives from the Marine Algicolous Fungus Penicillium steckii SCSIO41040" Marine Drugs 21, no. 10: 532. https://doi.org/10.3390/md21100532
APA StyleSong, Y., She, J., Chen, W., Wang, J., Tan, Y., Pang, X., Zhou, X., Wang, J., & Liu, Y. (2023). New Fusarin Derivatives from the Marine Algicolous Fungus Penicillium steckii SCSIO41040. Marine Drugs, 21(10), 532. https://doi.org/10.3390/md21100532

