Abstract
The increase in the life expectancy average has led to a growing elderly population, thus leading to a prevalence of neurodegenerative disorders, such as Parkinson’s disease (PD). PD is the second most common neurodegenerative disorder and is characterized by a progressive degeneration of the dopaminergic neurons in the substantia nigra pars compacta (SNpc). The marine environment has proven to be a source of unique and diverse chemical structures with great therapeutic potential to be used in the treatment of several pathologies, including neurodegenerative impairments. This review is focused on compounds isolated from marine organisms with neuroprotective activities on in vitro and in vivo models based on their chemical structures, taxonomy, neuroprotective effects, and their possible mechanism of action in PD. About 60 compounds isolated from marine bacteria, fungi, mollusk, sea cucumber, seaweed, soft coral, sponge, and starfish with neuroprotective potential on PD therapy are reported. Peptides, alkaloids, quinones, terpenes, polysaccharides, polyphenols, lipids, pigments, and mycotoxins were isolated from those marine organisms. They can act in several PD hallmarks, reducing oxidative stress, preventing mitochondrial dysfunction, α-synuclein aggregation, and blocking inflammatory pathways through the inhibition translocation of NF-kB factor, reduction of human tumor necrosis factor α (TNF-α), and interleukin-6 (IL-6). This review gathers the marine natural products that have shown pharmacological activities acting on targets belonging to different intracellular signaling pathways related to PD development, which should be considered for future pre-clinical studies.
1. Challenges of an Ageing Society: Why Is Advancing Age a Major Risk Factor in Parkinson’s Disease Development?
Demographic trends are a key factor all over the world. The number and proportion of older people in the global population are growing mainly due to the birth rates decreasing and the increase in life expectancy [1]. According to the WHO, this increase will tend to continue throughout this century, as it is expected that by 2050 the number of older people (>60 years) will reach the number of young people (<15 years) [2]. Therefore, population aging nowadays represents one of the most worrying demographic phenomena in modern societies. According to “World Statistics”, the European population aged over 65 in 2020 was about 15.5% of the global population, a significant increase since 1960 (Figure 1). On the other hand, in 2020, the Asian and African continents presented a lower percentage of the aged population over 65, around 5.9% and 3.6%, respectively. However, in those continents the percentage of the population over 65 increased between 1960 and 2020, being more evident in Asia. Life expectancy variation between continents is also influenced by healthcare-related features, such as a lack of proper and widespread recognition of the disorder, difficulties in accessing healthcare systems, and genetic, environmental, and methodological differences. Based on the aging scenario of the world population, especially in Europe, the elderly are the most vulnerable to developing neurodegenerative diseases, as ageing is a critical risk factor.
Figure 1.
Percentage of global population with age above 65 years old. Adapted from the “World Statistic” data platform, 2021.
Parkinson’s disease prevalence is about 2–3% in the world population aging over 65 years old and 4% in the population over 80s, and rare exceptions may occur in young people between 20 and 50 years [3,4,5]. However, with advancing age, several essential processes related to the neurons’ functions in the substantia nigra pars compacta, including dopamine metabolism, the number of mitochondrial DNA (mtDNA) copies, and the decline of protein degradation, can be altered. For instance, dopamine metabolism generates a significant amount of reactive oxygen species that can affect different cellular processes in the neurons. On the other hand, a decline in mtDNA copy number can lead to a decrease in ATP production and a reduction in the protein degradation affecting the functioning of neurons [6]. The accumulation of melanin, the ability of neurons and mitochondria to cope with calcium, and the levels of iron within the cells will be also affected so that additional insults, such as mitochondrial Complex I and IV deficiencies and α-synuclein aggregation, cause the loss of vulnerable neurons, leading to the occurrence of symptoms associated to PD [5]. As age advances, the accumulation of several cellular defects become SNpc neurons more vulnerable. Therefore, the effects of aging can contribute to triggering a cascade of stressor events within the substantia nigra pars compacta, weakening the neurons’ response capacity to new insults that are seen as part of the disease process [7].
2. Mechanisms Underlying Parkinson’s Disease Development
Under normal conditions, the dopaminergic neurons produce the dopamine (DA) neurotransmitter to the striatum responsible to coordinate the functionality of the body muscles and movements through signal transmission [8]. In the absence of dopamine (<80%), the receptors are not stimulated [9], leading to a disruption in the basal ganglia circuits [10,11]. It is estimated that at the onset of PD symptoms, approximately 50–60% of dopaminergic neurons in the SNpc are lost, and at the same time, there is a 70–80% loss of dopamine in the striatum [12].
Previous studies have reported that dopaminergic cell death in PD is related to high levels of apoptosis, and several pieces of evidence suggest that oxidative stress, mitochondrial dysfunction, and neuroinflammation events are also involved (Figure 2) [7,8].
Figure 2.
Physiological processes related to Parkinson’s disease pathogenesis. Created with BioRender.com (accessed on 6 July 2023).
The brain is an organ particularly susceptible to oxidative damage essentially due to its high metabolic activity and consequent high rate of O2 consumption promoting a basal production of ROS, high lipid content, and the relative scarcity of antioxidant enzymes compared to other organs [13,14,15]. Due to those factors, an imbalance between the production of ROS and antioxidant defenses may result in the development of an oxidative stress condition that can play a critical role in mitochondrial dysfunction since the inhibition of mitochondrial Complex I of dopaminergic neuronal cells can lead to a decrease in ATP levels and thus to cell death [16]. The decline of ATP production contributes to the damage of all cellular mechanisms dependent on ATP, also promoting the formation of free radicals leading to a development of oxidative stress conditions [17,18,19,20]. The occurrence of these events promotes mitochondrial dysfunction that is characterized by changes in mitochondrial membrane potential and insufficient production of ATP [21,22]. Several circumstances may contribute to an increase of oxidative stress condition and mitochondrial alterations triggering apoptosis in the central nervous system (CNS), including (a) an increase of DA levels; (b) an increase of iron deposit; (c) glutathione (GSH) deficiency, causing a decrease of brain capacity to eliminate H2O2; (d) DNA damage; and (e) lipid peroxidation [23,24,25]. According to post mortem studies with brains of PD patients, all the neurons in the SNpc seemed to be under a high oxidative stress state, presenting high levels of iron and a decrease in GSH levels and oxidative damage in lipids, proteins, and DNA [22,25]. Thus, due to the critical role of oxidative stress in the neuronal cell death in PD, the antioxidant enzymes (catalase, superoxide dismutase, glutathione peroxidase) that represent the main defense system against oxidative lesions activated by the transcription of Nrf2 factor have been seen as one of the pharmacological strategies to attenuate the oxidative damages induced by ROS [26]. On the other hand, previous studies carried out in PD also demonstrated the existence of a deficiency in Complex I of the respiratory chain limited to the substantia nigra pars compacta. These studies evidenced the role of mitochondria in the etiology and pathology of this disease as well as the relationship between oxidative phosphorylation and free radical production [27,28,29], pointing out the role of mitochondria as the main source of ROS that contribute to the development of an intracellular oxidative stress condition [30].
In the last few years, several studies have reported the involvement of neuroinflammatory mechanisms that trigger a cascade of events leading to the degeneration of neuronal cells [31]. Chronic neuroinflammation is one of the hallmarks of PD pathophysiology and, under inflammatory conditions, activated glial cells release pro-inflammatory factors, such as cytokines and prostaglandins, as well as neurotoxic factors, such as reactive oxygen species (ROS)/reactive nitrogen species (RNS) and complement proteins that can exacerbate the neuronal cell damage, leading to neurodegeneration [17,32].
Although an oxidative stress condition and mitochondrial dysfunction are closely related to the death of dopaminergic neurons, in the last few years, several studies have reported the involvement of neuroinflammatory mechanisms that trigger a cascade of events also leading to the degeneration of neuronal cells. The first evidence of inflammation in PD was reported by McGerr and collaborators (1988) [33] that observed activated cGMP in post mortem PD patients mainly in the SNpc and in the putamen, two of the areas more affected in this disease. In fact, neuroinflammation that is primarily controlled by microglia seems to play a critical role in the neuronal cell loss observed in PD [11,34]. Microglia are immunocompetent cells in the CNS that are responsible for protecting the brain against invading pathogens and capable of stimulating an immune-adaptive response [35,36]. Therefore, several acute lesions that may occur in the CNS led to microglial activation, triggering a series of microglia alterations, including the increase in proliferation and the production of inflammatory mediators [37]. However, this inflammatory process can be considered beneficial for the neuronal tissue since it promotes the elimination of cellular debris and the secretion of neurotrophic factors. During the PD neuroinflammation processes, microglia release pro-inflammatory cytokines, such as TNF-α, IL-1β, and IL-6. These cells act on the endothelium of the blood–brain barrier (BBB), increasing its permeability and stimulating the expression of adhesion molecules and chemokines that recruit peripheral blood mononuclear cells, such as macrophages, monocytes, and T lymphocytes contributing to the development of a neuroinflammatory condition through the production and secretion of the above described pro-inflammatory mediators [38,39].
All these unfavorable events play an important role in PD, contributing to dopaminergic neurodegeneration. Thus, the development of new therapeutic strategies with the purpose of preventing or delaying the neurodegeneration observed in PD is of utmost importance.
3. Marine Natural Products as New Potential Therapeutic Agents for Parkinson’s Disease
From a very early age, humans began to use the oceans to navigate and search for food and new territories, but it was only in the middle of the 19th century that they began to explore the seabed. In the last few decades, the marine environment has proven to be a unique source of new chemical entities with potential applications in different areas, such as pharmaceutical, cosmetics, food, and agrochemical, revealing itself as a vital factor for the discovery of new products [40].
The number of marine species that inhabit the world’s oceans is not truly known; however, experts estimate a number that approaches one to two million species [41]. These organisms survive and live in a competitive and exigent environment constituted by complex communities, establishing close associations with other organisms. These interactions impose several ecological challenges, such as competition for space, predation, and tidal variations, among others, leading marine organisms to develop distinct strategies, including survival and behavioral, physical, and/or chemical [42,43]. In fact, along their evolution, marine organisms developed the capacity to produce secondary metabolites with unusual chemical structures that act as chemical weapons against those ecological threats.
Over the past few decades, several compounds have been isolated from marine organisms, and many of them have exhibited great biological activities, including anticancer, antimicrobial, antifungal, antiviral, anti-inflammatory, etc. [43,44,45], inspiring the development of new therapeutic agents [46,47]. According to Faulkner and Blunt and their collaborators, between 1977 and 2019, sponges (30.93%), followed by microorganisms (20.53%) and seaweeds (10.44%), were the marine organisms from which the largest number of new natural compounds were isolated (Figure 3).
Figure 3.
New marine natural products (%) isolated from marine organisms between 1977 and 2021 (Adapted from Faulkner, 1984–2002; Blunt et al., 2003–2018; Carroll et al., 2019; Carroll et al., 2020; Carroll et al., 2021; Carroll et al., 2022; Carroll et al., 2023) [48,49,50,51,52,53,54,55,56,57,58,59,60,61,62,63,64,65,66].
Due to the urgent need to discover and to develop new effective therapeutic agents for neurodegenerative diseases treatment, including PD, as well as the ability of marine organisms to biosynthesize compounds with distinct chemical structures, biological activities, and mechanisms of action, several scientists have explored their ability as neuroprotective agents [10]. By analyzing the compounds with neuroprotective activities isolated from marine organisms (Table 1), it is possible to observe that most of them were isolated from sponges, fungi, seaweeds, and corals, followed by starfish, cnidarians, and bacteria.
Table 1.
Neuroprotective activities of compounds isolated from marine organisms and their mode of action on in vitro and in vivo Parkinson’s disease models. Cross BBB: (−) cannot cross BBB or there are no available studies; (+) can cross BBB.
The chemical structures (Figure 4, Figure 5, Figure 6, Figure 7, Figure 8, Figure 9, Figure 10 and Figure 11) and mechanisms of action of the marine natural products presented in Table 1 are deeply described in Section 3.1, Section 3.2, Section 3.3, Section 3.4, Section 3.5, Section 3.6, Section 3.7, Section 3.8 and Section 3.9.
Figure 4.
Chemical structures of marine natural products isolated from bacteria: NP7 (1), mannosylglycerate (2), piloquinone A (3), piloquinone B (4).
Figure 5.
Chemical structures of marine natural products isolated from fungi: neoechinulin A (5), xyloketal B (6), secalonic acid A (7), 6-hydroxy-N-acetyl-b-oxotryptamine (8), 3-methylorsellinic acid (9), 8-methoxy-3,5-dimethylisochroman-6-ol (10), candidusin A (11), 4``-dehydroxycandidusin A (12), diketopiperazine mactanamide (13), and asperpendoline (14).
Figure 6.
Chemical structures of marine natural products isolated from mollusks: Eicosapentaenoic acid (15), docosahexaenoic acid (16), and astaxanthin (17).
Figure 7.
Chemical structures of marine natural products isolated from sea snails: α-Conotoxin (18).
Figure 8.
Chemical structures of marine natural products isolated from sea cucumber: SCG-1 (19), SCG-2 (20), SCG-3 (21), decanoic acid (22), and palmitic acid (23).
Figure 9.
Chemical structures of marine natural products isolated from seaweeds: fucoxanthin (24), dieckol (25), polymannosic acid (26), polyguluronic acid (27), eleganolone (28), and loliolide (29).
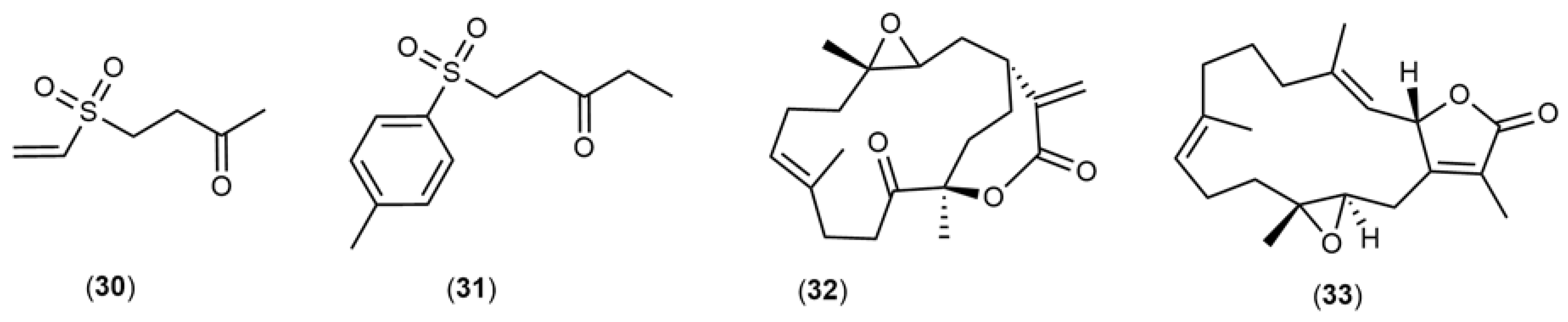
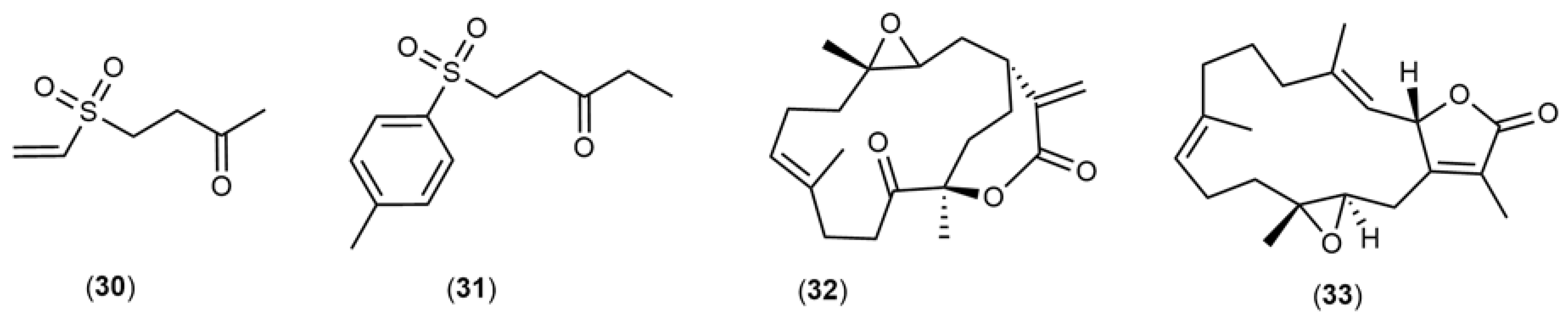
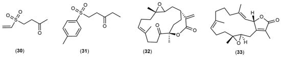
Figure 10.
Chemical structures of marine natural products isolated from soft corals: austrasulfone (30), 1-tosylpentan-3-one (31), 11-dehydrosinulariolide (32), and sarcophytolide (33).
Figure 11.
Chemical structures of marine natural products isolated from sponges: gracilins (A, H, K, J and L) (34–38), tetrahydroaplysulphurin-1 (39), sarain A (40), hymenin (41), hymenialdisine (42), psammaplysene A (43), 24-hydroperoxy-24-vinylcholesterol (44), 29-hydroperoxystigmasta-5,24(28)-dien-3-ol (45), iotrochotazine (46), jaspamycin (47), aerothionin (48), and aerophobin-2 (49).
3.1. Bacteria
The neuroprotective activity of marine compounds derived from bacteria is still poorly explored [3,4,126,127]. NP7 (1) (Figure 4) is a marine-derived compound from Streptomyces sp. that prevents apoptosis and necrosis induced by H2O2 treatment on neurons and glial cells. Furthermore, NP7 also displayed the ability to inhibit microglial activation and prevented the increase in ERK phosphorylation induced by H2O2 exposure [67]. Mannosylglycerate (2) (Figure 4) isolated by Faria and coworkers (2013) [70] from aggregation/expression thermophilic bacteria reduced the number of Saccharomyces cerevisiae cells that presented α-synuclein as well as inhibited the fibrillation of this protein. These results are relevant since α-synuclein is the main component of the intraneuronal inclusions found in the brains of PD patients. Piloquinone A (3) and piloquinone B (4) (Figure 4) obtained from Streptomyces sp. have been shown to be potent inhibitors of MAO-A (IC50 = 6.47 µM) and MAO-B (IC50 = 1.21 µM), suggesting their therapeutic potential in PD as MAO inhibitors.
3.2. Fungi
Neoechinulin A (5) (Figure 5), an alkaloid isolated from different species of marine fungi, demonstrated the ability to decrease the neurotoxic effects induced by 1-methyl-4-phenylpyridinium (MPP+) toxin and rotenone on PC12 cells. Kajimura et al. (2008) [72] observed that neoechinulin A could protect PC12 cells from MPP+-induced neurotoxicity mediated by inhibition of mitochondrial dysfunction in Complex I, suggesting that this alkaloid can ameliorate downstream events of mitochondrial failure. Furthermore, Akashi et al., (2011) [73] also observed that neoechinulin A could protect PC12 cells from rotenone-induced neurotoxicity. The authors verified that pre-treatment with neoechinulin A significantly impeded cell death and decreased ATP levels promoted by rotenone. Lu and coworkers (2010) [74] isolated xyloketal B (6) (Figure 5) from the fungus Xylaria sp., which decreased the neurotoxic effects induced by MMP+ in vitro and in vivo models, namely PC12 cells and Caenorhabditis elegans, respectively. Xyloketal A attenuated the MMP+ toxin effects through the decrease in the intracellular ROS levels and restoration of the GSH levels. Secalonic acid A (7) (Figure 5), obtained from the fungus Aspergillus ochraceus, inhibited the neurotoxicity induced by the MMP+ toxin on rat cortical neurons. The compound promoted the activation of c-jun N-terminal Kinases (JNK) and MAPK-p38 and the inhibition of Caspase-3 activity, decreasing apoptosis triggered by MPP⁺ [76]. Compound 6-hydroxy-N-acetyl-β-oxotryptamine (8) (Figure 5), isolated from Penicillium sp., protected Neuro2A cells against the damage induced by 6-OHDA and Paraquat (PQ) neurotoxins, mediating a reduction in ROS production more marked than the antioxidant standard melatonin. Finally, the 3-methylorsellinic acid (9) and 8-methoxy-3,5-dimethylisochroman-6-ol (10) compounds isolated from Penicillium sp., candidusin A (11), and 4”-dehydroxycandidusin (12) attained from Aspergillus sp. and the compound diketopiperazine mactanamide (13) (Figure 5) isolated from Aspergillus flocculosus also exhibited protective effects against 6-OHDA and PQ neurotoxin treatments on Neuro2A cells, decreasing the production of ROS. Asperpendoline (14), a prenylated indole alkaloid with a diketopiperazine motif, was discovered from the co-cultivation of Aspergillus ochraceus and Penicillium sp. This compound, which presents a rare skeleton of pirymido[1,6-a] indole, was screened for neuroprotective activity through its administration to H2O2-injured SH-SY5Y cells. Upon administration, cells displayed attenuated ROS accumulation and enhancement of GSH levels.
3.3. Mollusks
Docosahexaenoic acid-(15) and eicosapentaenoic acid (16)-enriched phospholipids (DHA/EPA-PLs) (Figure 6) [81] supplemented and isolated from mollusks (Sthenoteuthis oualaniensis) exhibited the ability to protect against MPTP-induced impairments in PD mice. The treatment with DHA/EPA-PL has the ability to recover brain DHA levels and exert neuroprotective effects in old age in long-term n-3 PUFA-deficient mice, improving the loss of dopaminergic neurons, which induced mitochondrial dysfunction and the neurodevelopment delay. Wang et al. (2016) [80] studied the neuroprotective effect of different n-3 PUFA formulations isolated from the Sthenoteuthis oualaniensis mollusk against brain oxidative injury induced by MPTP in male C57BL/6J mice. The mechanism underlying these effects was evaluated by the authors, showing the pre-treatment with DHA/EPA-PL (15,16) more effectively suppressed MPTP-induced apoptosis by influencing the Bax/Bcl2 ratio and Caspase-9, Caspase-3, and cytoplasmic cytochrome C levels. Additionally, supplementation of DHA/EPA-PL also showed reduced phosphorylation of p38 and Jun N-terminal kinase (JNK). The results obtained indicated that DHA/EPA-PL could offer an efficient strategy to explore novel functional foods, providing neuroprotective potential. Docosahexaenoic acid (DHA) (15) [79] enriched phospholipids also isolated from Sthenoteuthis oualaniensis were investigated regarding the effects of DHA-enriched phospholipids with different polar groups (DHA-PC and DHA-PS) on MPTP-induced PD mice, increasing the number of dopaminergic neurons and inhibiting apoptosis through the mitochondrial pathway and MAPK pathway. The treatment of DHA with different polar groups exerted varying improvements in PD mice, which represented a potential novel therapeutic candidate for the prevention and treatment of neurodegenerative diseases. Astaxanthin is a natural pigment that has been shown to be an excellent antioxidant and contender for testing neurological diseases. This compound (17) [82] (Figure 6) was isolated from a mollusk, Doryteuthis singhalensis, and the neuroprotective activity was evaluated by preventing rotenone-induced toxicity of SK-N-SH human neuroblastoma cells in an in vitro model of experimental Parkinsonism. Anguchamy et al. (2023) [82] revealed that the cells exposed to 100 nM rotenone for 24 h exhibited 52% of cell viability, and when pre-treated with various concentrations of astaxanthin for 2 h, cell viability was significantly increased with higher doses: 15, 20, 25, and 30 nM. Additionally, the astaxanthin treatment showed to reduce mitochondrial membrane potential and ROS production during rotenone administration, suggesting that astaxanthin protects SK-N-SH cells from rotenone toxicity. The authors also tested the level of TBARS and GSH in rotenone-treated SK-N-SH cells incubated with or without astaxanthin and revealed that pre-treatment with astaxanthin (25 nM) significantly decreased the levels of TBARS, improving the antioxidant defense system of rotenone-induced cells.
3.4. Sea Snails
α-Conotoxin (18) (Figure 7), isolated from the sea snail Conus textile [84], exhibited the ability to regulate DA release blocking Nicotinic acetylcholine receptor α6/α3β2β3 nAChR expression on a rat nAChRs model, showing an IC50 value of 28 mM. It is a promising candidate for new PD therapeutics. Manigandan et al. (2019) [85] studied the neuroprotective effects of asulfated chitosan isolated from Sepia pharaonis on SH-SY5Y cells against the toxicity induced by rotenone. The sulfated chitosan pretreatment increased SH-SY5 cell viability by attenuating the ROS production levels, increasing antioxidant enzymes and inhibiting mitochondrial dysfunction and apoptosis. YIAEDAER, a multi-functional peptide, was isolated and purified from the visceral mass extract of Neptunea arthritica cumingii. When YIAEDAER was administered to MPTP-induced zebrafish, its locomotor impairment was suppressed, the degeneration of DA neurons was ameliorated, and the loss of cerebral vessels was inhibited.
3.5. Sea Cucumber
Glucocerebrosides, SCG-1 (19), SCG-2 (20), and SCG-3 (21) (Figure 8) isolated from Cucumaria frondosa are important sphingolipids. Wang et al. (2018) [87] studied in a nerve growth factor (NGF)-induced PC12 model the neuritogenic effect and signaling pathways of SCGs. Neuritogenesis is a dynamic phenomenon associated with neuronal differentiation, and it is important for neuronal development and regeneration. Neurotrophic factors including NGF, brain-derived neurotrophic factor (BDNF), and neurotrophins 3 and 4/5 (NT3 and NT4/5, respectively) can stimulate neurite growth, maintain viability, and induce differentiation. This way, the authors observed that SCGs exhibited significant neuritogenic effects in a dose-dependent and structure-selective manner, which increased the ratio of neurite-bearing cells and expression of axonal (GAP-43) and synaptic (synaptophysin) proteins. In addition, mechanistic studies suggested that SCGs reinforced the NGF-induced phosphorylation of TrkA, coupled with ERK1/2 activation, triggering the activation of cAMP response element-binding protein (CREB) that results in a marked increase in BDNF expression.
Decanoic acid (22) was isolated from ethyl acetate fractions of the black sea cucumber H. leucospilota and was administered to two models of C. elegans, a 6-OHDA-induced Daergic neurodegeneration worm model and C. elegans expressing alfa-synuclein model. After administration with decanoic acid, it was possible to observe an attenuation of Daergic neurodegeneration, reduction in alfa-synuclein aggregation, and improvement of the behavioral deficits associated with PD. Moreover, decanoic acid was able to activate the DAF-16 transcription factor, leading to the upregulation of its targeted genes, including antioxidant genes and small heat shock proteins, thus enhancing oxidative stress and proteotoxic stress resistance.
Palmitic acid (23), also isolated from ethyl acetate fractions of the black sea cucumber H. leucospilota, was tested for neuroprotection in a C. elegans PD model. It was observed that when administered to this model, palmitic acid was able to ameliorate the loss of Daergic neurons, improve dopamine-dependent behaviors, and rescue the lifespan of worms. Moreover, when tested in C. elegans-expressing alfa-synuclein, worms displayed a decrease in alfa-synuclein aggregation, improvement of the motor deficits associated with PD, and a prolonged lifespan.
Eicosapentaenoic acid enriched phospholipids (EPA-PL) (16) [92], isolated from the sea cucumber Cucumaria frondosa, were tested for neuroprotection on PD mice induced by MPTP. It was observed that when administered to this model, Eicosapentaenoic acid was able to improve MPTP-induced behavioral deficiency. Further research showed that EPA-PL suppressed MPTP-induced oxidative stress and apoptosis, thereby alleviating the loss of dopaminergic neurons via the mitochondria-mediated pathway and mitogen-activated protein kinase pathway, providing a reference for the development of functional ingredients and dietary guidance to prevent neurodegenerative diseases.
3.6. Seaweeds
Seaweeds have been revealed to be a huge source of new chemical entities with great biological effects, and they have been widely used for nutritional or medicinal purposes for many years [128], but their potential source of compounds with neuroprotective activities is still underexplored. Jin et al. (2014) [93] studied the neuroprotective effects of six heteropolysaccharides isolated from the genus Sargassum, namely Sargassum integerrimum, Sargassum nozhouense, and Sargassum fusiformis. On the other hand, Wang and coworkers (2016) isolated the porphyran polysaccharide from the seaweed Porphyra haitanensis together with two of its derivatives [99]. All these compounds inhibited the neurotoxicity induced by 6-OHDA on MES23.5 dopaminergic neuron cells. Fucoidans are sulfated polysaccharides mainly present in brown seaweeds, and their neuroprotective activity was already evaluated on different cellular and in vivo models [72,73,75,76,82]. Jin and coworkers (2013) [94] described the neuroprotective potential of fucoidan isolated from Saccharina japonica on MES23.5 and SH-SY5Y cells against the toxicity induced by 6-OHDA neurotoxin. On the other hand, Gao and coworkers (2012) [96] evaluated the neuroprotective effect of fucoidan isolated from the brown seaweed Laminaria japonica on PC12 cells when exposed to H2O2. The polysaccharide treatment increased PC12 cells’ viability, attenuating the H2O2-induced toxicity and reducing the ROS generation and lactate dehydrogenase (LDH) release [96]. Fucoidan also inhibited apoptosis, increasing the Bcl-2/Bax ratio and decreasing the expression of Caspase-3 as well as enhancing the PI3K/Akt signaling pathway. Furthermore, in vivo assays were also conducted with fucoidan. Meenakshi and coworkers (2016) [97] reported the neuroprotective effects of fucoidan on rats, observing that in the presence of fucoidan, an increase in antioxidant defenses and DA levels occurred when compared to MPTP treatment. Moreover, the authors also observed an increase in tyrosine hydroxylase (TH) expression in the fucoidan-treated group, which correlates with the levels of TH protein in the substantia nigra and corpus striatum. In addition, it was verified that the increase was greater than the content of dopamine and 3,4-dihydroxyphenylacetic acid (DOPAC), which may explain that the dopaminergic terminals are more sensitive to MPTP toxicity and, therefore, are more severely damaged than the dopaminergic cell bodies. Huang et al. (2018) [100] also reported the neuroprotective effects of fucoidan isolated from the brown seaweed Sargassum hemiphyllum against the toxicity induced by 6-OHDA neurotoxin on SH-SY5Y cells. Moreover, the authors observed a decrease in cytochrome C release, Caspase-3, -8, and -9 activities, and protection against DNA fragmentation and phosphorylation of Akt. Fucoidan isolated from the brown seaweed Fucus vesiculosus demonstrated a neuroprotective effect both in vitro and in vivo. When fucoidan was administered to an MPP+-induced SH-SY5Y cell model, cellular viability was enhanced and morphological damage was attenuated. Administration of fucoidan to an MPTP-induced PD mouse model (C57BL/6 mice) alleviated motor deficits and slowed the progression of dopamine neuron loss, protecting the function of the nigral striatum.
Liu and coworkers (2022) [129] reported the neuroprotective effects of fucoxanthin (24) (Figure 8) isolated from brown seaweeds on the 6-OHDA-lesioned mice model of PD. The authors observed that long-term administration of L-dopa (30 mg/kg) produced neurotoxicity through Caspase-3 and c-Jun expression mediated by the ERK/JNK system; however, with fucoxanthin treatment, a decrease in ERK1/2, JNK1/2, c-Jun phosphorylation, and Caspase-3 was verified, improving the exercise ability of PD mice. Phlorotannins, a group of phenolic compounds found in brown seaweeds, exhibit a variety of biological properties, including antioxidant, neuroprotective, and memory-enhancing effects, among others. Accordingly, Cha and coworkers (2016) [102] evaluated the neuroprotective effects of dieckol (25) (Figure 9), a phlorotannin isolated from Ecklonia cava, on rotenone-induced oxidative stress in SH-SY5Y cells. The authors observed a reduction in intracellular ROS production, cytochrome C release, and mitochondrial function protection and a retardation of α-synuclein aggregation by treatment with rotenone. Du and co-workers (2021) [104] also reported the neuroprotective effects of two alginate oligosaccharides prepared from enzymatic degradation, polymannosic acid (26), and polyguluronic acid (27) (Figure 9) isolated from brown seaweed on a mice model of PD. The authors observed that, in the presence of these two acids, only polymannosic acid could improve the motor functions of PD mice. However, they verified that polymannosic and polyguluronic acids can prevent dopaminergic neuronal loss by increasing TH expression in the midbrain of PD mice. On the other hand, polyguluronic acid could inhibit inflammation through an increase in the striatal neurotransmitter 5-hydroxyindole acetic acid levels. Souza and coworkers (2017) [108] demonstrated the neuroprotective effect of agaran, a polysaccharide isolated from the seaweed Gracilaria cornea, on rats subjected to the 6-OHDA neurotoxin. The authors observed that agaran promoted neuroprotective effects in vivo by reducing oxidative/nitroactive stress and through the alteration in the MAO contents induced by 6-OHDA.
The occurrence of an inflammatory response in the central nervous system has been associated with the development of neurodegenerative diseases, such as PD, which is characterized by the activation of microglial cells and an increase in inflammatory cytokines expression. Accordingly, Yao et al. (2014) [106] evaluated the neuroprotective effects of κ-carrageenan isolated from a red seaweed, which inhibited the activation of microglial cells and decreased TNF-α and arginase expression after treatment with LPS. In turn, κ-carrageenan attained from the red seaweed Hypnea musciformis [107] protected SH-SY5Y cells against the neurotoxicity induced by 6-OHDA, reducing H2O2 production, Caspase-3 activity, and MMP depolarization. Souza and coworkers (2017) [108] demonstrated that the sulfated polysaccharide isolated from the red seaweed Gracilaria cornea reverted the damage induced by 6-OHDA treatment changing monoamine content and reducing oxidative stress condition. On the other hand, Silva and coworkers (2021) [105] evaluated the neuroprotective effect of two compounds, the linear diterpene eleganolone (28) and the monoterpene lactone loliolide (29) (Figure 9) isolated from the brown seaweed Bifurcaria bifurcata and from the green seaweed Codium tomentosum, respectively, on SH-SY5Y cells treated with 6-OHDA. Treatment with eleganolone increased SH-SY5Y cell’s viability, reducing 6-OHDA-induced neurotoxicity, reducing ROS generation, H2O2 production, and Caspase-3 activity, increasing Catalase activity and ATP levels, and inhibiting the translocation of NF-kB factor. On the other hand, loliolide treatment also increased SH-SY5Y cell’s viability, reducing 6-OHDA-induced neurotoxicity, ROS generation, and Caspase-3 activity, protecting mitochondrial membrane potential, and inhibiting the DNA fragmentation and translocation of NF-kB factor.
3.7. Soft Coral
Austrasulfone (30), 1-tosylpentan-3-one (31), and 11-dehydrosinulariolide (32) compounds (Figure 10) isolated from soft corals have been shown to protect SH-SY5Y cells from neurotoxicity induced by 6-OHDA acting in different intracellular signaling pathways. The metabolite 1-tosylpentan-3-one (31) (Figure 9) isolated by Kao et al. (2017) [113] from Cladiella australis exhibited neuroprotective effects in SH-SY5Y cells treated with 6-OHDA mediated by MAPK-p38 activation, inhibition of Caspase-3 activity, and increased expression of factor Nrf2 and oxygenase-1 (HO-1) through the intracellular signaling pathway PI3/AKT. In addition, the authors also tested the neuroprotective effects of 1-tosylpentan-3 on a zebrafish model, reporting an improvement in locomotive capacity and a decrease in TNF-α interleukin expression (Table 1). Chen and collaborators (2012) [114] isolated 11-dehydrosinulariolide (32) (Figure 10) from Sinularia flexibilis, which exhibited anti-inflammatory and neuroprotective activities. Regarding the anti-inflammatory effect, 11-dehydrosinulariolide reduced the expression of two major pro-inflammatory mediators, NO and cyclooxygenase, on lipopolysaccharide-stimulated macrophages. On the other hand, the neuroprotective activity was evaluated on SH-SY5Y cells exposed to 6-OHDA neurotoxin. The compound exhibited the ability to recover the 6-OHDA-induced neurotoxicity on SH-SY5Y cells. This protective effect was accompanied by a significant inhibition of Caspase-3/7 activities as well as by the mediation of PI3K signaling, activating phosphorylated-AKT. Feng and coworkers (2016) [130] also evaluated the neuroprotective effects of 11-dehydrosinulariolide on different in vitro and in vivo models exposed to 6-OHDA neurotoxin, namely SH-SY5Y cells, rats, and zebrafish. The authors observed that the compound enhanced the DJ-1 expression in the SH-SY5Y cells cytoplasm and activated the AKT/ PI3K, Nrf2/HO-1 intracellular signaling pathways. In addition, it also revealed a 6-OHDA-induced attenuation on tyrosine hydroxylase (TH) expression, a dopaminergic neuronal marker, and in zebrafish and rat models of PD, it could also be reversed by treatment with 11-dehydrosinulariolide.
Bradia et al. (1998) [115] isolated a new diterpene sarcophytolide (33) (Figure 10) from Sarcophytom glaucum, which exhibited cytoprotective effects against glutamate-induced neurotoxicity in primary cortical cells from rat embryos, resulting in significant increase of the percentage of viable cells. The authors observed that the cytoprotective effect presented by sarcophytolide was mediated by a decrease in Ca2+ levels and an increase in Bcl-2 pro-oncogene expression levels.
3.8. Sponge
The gracilins A, H, K, J, L (34–38) and tetrahydroaplysulphurin -1 (39) (Figure 11) are a group of diterpenes previously isolated from Spongionella gracilis that exhibited the capacity to act on tyrosine kinases. Moreover, all compounds demonstrated the ability to protect cortical neurons against oxidative damage induced by H2O2 mediated by restoring mitochondrial membrane potential, scavenging intracellular ROS, increasing glutathione levels, decreasing Caspase-3 expression, and activating the Nrf2/ARE pathway [131]. On the other hand, the alkaloid sarain A (40) and two bromopyrrole alkaloids, hymenin (41) and hymenialdisine (42) (Figure 11) isolated from the sponge Haliclona (Rhizoniera) sarai, exhibited the same effects previously described [16,117]. Boccito and coworkers (2017) [118] isolated the alkaloid psammaplysene A bromotyrosine (43) (Figure 10) from the Psammaplysilla sp. sponge that displayed neuroprotective effects in HEK293 cells and in a Drosophila in vivo model that seem mediated by modifying processes dependent on heterogeneous nuclear ribonucleoprotein (HNRNPK) that controls biological aspects of RNA [118]. Two sterols, 24-hydroperoxy-24-vinylcholesterol (44) and 29-hydroperoxystigmasta-5.24(28)-dien-3-ol (45) (Figure 11), isolated from Xestospongia testudinaria, also inhibited H2O2-induced neurotoxicity and activated NF-kB transcription factor, respectively [132]. Iotrochotazine A (46) (Figure 10), derived from the Iotrochota sp. sponge, was used as a chemical probe in a phenotypic assay panel based on human olfactory neurosphere-derived cells (hONS) from idiopathic PD patients. The authors verified that iotrochotazine A did not exhibit cytotoxicity but affected the morphology and the cellular distribution of lysosomes and endosomes in olfactory neurosphere-derived cells. These results suggest that the compound may be a useful tool to investigate the molecular mechanisms underlying PD [120]. In addition, Wang et al. (2016) isolated jaspamycin (47) (Figure 11), an alkaloid from Jaspis splendens, which increased the lysosomal staining and decreased the number of EEA-1 characteristic of phenotypic response in a hONS neurosphere-derived cell model of PD [121]. Aerothionin (48) and aerophobin-2 (49) [122], two bromotyrosine derivatives, were isolated from Aplysinella sp. due to their ability to bind to alfa-synuclein and to inhibit its aggregation in a ThT aggregation assay. Because aerothionin has been demonstrated to be toxic to primary dopaminergic neurons, it was removed from further assays. Opposingly, aerophobin-2 was not toxic to primary dopaminergic mouse neurons and, when further assessed, demonstrated the ability to inhibit α-synuclein aggregation in this neuronal population [122].
3.9. Starfish
From the starfish Asterias rollestoni, Zhang and coworkers (2013) [133] isolated two polysaccharides, glucan and mannoglucan sulfate, which were able to inhibit the neurotoxic effects induced by 6-OHDA in mouse embryonic stem cells (MES 23.5 cells).
4. Marine-Derived Compounds in Clinical Trials for Parkinson’s Disease
Marine-derived natural compounds have a wide range of pharmacological effects, making them valuable candidates for the development of novel drugs. Five marine-derived natural compounds have already reached the clinical trial stage for PD treatment. These results are presented in Table 2, and their structures are depicted in Figure 12.
Table 2.
Marine-derived products that reached the clinical trials stage for Parkinson´s disease treatment (Sources: ClinicalTrials.gov, accessed on 11 July 2023).
Figure 12.
Chemical structures of marine-derived products used in clinical trials against Parkinson’s disease: docosahexaenoic acid (50), inosine (51), pramipexole (52), CEP-1347 (53), and ganglioside GM1 (54).
The therapeutic potential of docosahexaenoic acid, an omega-3 fatty acid, was evaluated in two clinical trials for PD treatment. The first study started in 2012 and finished in 2016. Twenty-nine PD patients received docosahexaenoic acid supplements along with antidepressants for 12 weeks. In the second trial, which involved sixty PD patients, researchers evaluated the effects of omega-3 fatty acids and vitamin E supplementation. In both trials, a significant relief of depressive symptoms was observed, suggesting the safety and potential use of docosahexaenoic acid for PD treatment.
From sponges, a precursor of uric acid, the inosine (51), which was targeted in a clinical study that started in 2016 and finished in 2019, was isolated. This molecule was effective in raising serum and cerebrospinal fluid urate levels in PD patients, revealing a potential disease-modifying therapy for PD.
Pramipexole (52) was isolated from a marine yeast. This compound is a dopamine agonist and can be used in the treatment of PD. A clinical trial study carried out between 2012 and 2017 aimed to study the effectiveness of the compound as a placebo in resolving depressive symptoms in PD patients.
Two clinical trial studies performed between 2002–2005 and 2006–2014 observed that the compound CEP-1347 (53), a semisynthetic indolocarbazole derivative isolated from naturally occurring Nocardiopsis sp., could inhibit the SAPK/JNK pathway, which is activated after a variety of neuronal toxic insults in neurons. However, this compound did not show effective therapeutic effects in early PD patients.
The ganglioside GM1 (54) isolated from marine bacteria was tested in clinical trial studies between 1999 and 2010, showing that PD patients taking this compound evidenced early improvements and a slow progression of symptoms. However, the detailed mechanism of the neuroprotective effects of GM1 ganglioside is still uncertain.
5. Conclusions and Final Remarks
Worldwide, population aging is contributing to the increase in neurodegenerative disorders, including PD. The currently available therapeutics only alleviate the disease symptoms, and the search for new effective drugs to treat and improve the elderly quality of life is urgent. Marine organisms can biosynthesize molecules with unique structural features with great potential for therapeutic applications against different neurodegenerative diseases. In this review, about 60 marine natural products with distinct structures (peptides, alkaloids, quinones, terpenes, polysaccharides, polyphenols, lipids, pigments, and mycotoxins) isolated from diverse marine organisms (bacteria, fungi, mollusk, sea cucumber, seaweeds, soft coral, sponge, and starfish) with neuroprotective potential on PD therapy are summarized. The reported studies showed that those marine natural products have the potential to act on different PD targets, suggesting they can act in several PD hallmarks (reducing oxidative stress, preventing mitochondrial dysfunction, α-synuclein aggregation, and blocking inflammatory pathways through the inhibition of Caspase cascade, DNA fragmentation, the translocation of NF-kB factor, the reduction of TNF-α and IL-6, and the retardation of α-synuclein aggregation). Additionally, some marine organisms also showed a down-regulation of Bax expression, suppression of Caspase-3 activation and inhibition of the phosphorylation of JNK and p38 MAPK, inhibition of MAO, and restoration of total GSH levels. Nevertheless, one of the main bottlenecks associated with the development of new therapeutics for PD is the difficulty of many drugs to reach the brain due to the blood–brain barrier (BBB)—a highly selective semi-permeant barrier that protects the brain and the spinal cord from foreign substances. From the 60 natural marine products reported in this study, only ten compounds exhibited the ability to cross the BBB. Therefore, it is critical to develop more effective therapeutic agents for this neurodegenerative disease with fewer side effects than the currently available drugs and with the capacity to cross the BBB. On the other hand, the development of innovative delivery systems, such as nanoparticles, may contribute to overcoming such limitations of some drugs to cross the BBB. Therefore, there is a window of opportunities for researchers to evaluate the potential of marine-derived compounds as innovative drugs for the treatment of neurodegenerative diseases like PD.
Author Contributions
J.S. and R.P. conceived the research topic and the design of the review. J.S., C.A., F.S. and S.P. performed the bibliographic research. H.G. and A.M. critically contributed to the construction of chemical structures. A.A. critically contributed to discussing the neuroprotective potential of marine algae-derived compounds. All authors have read and agreed to the published version of the manuscript.
Funding
This work was funded by the Portuguese Foundation for Science and Technology (FCT) through the strategic projects granted to MARE—Marine and Environmental Sciences Centre (UIDP/04292/2020 and UIDB/04292/2020), Associate Laboratory ARNET (LA/P/0069/2020), and UIDP/04046/2020 and UIDB/04046/2020 to granted to BioISI-BioSystems and Integrative Sciences Institute. FCT also funded this work through the project NEURONS4—New edge in the therapeutics of Parkinson´s disease from seaweeds (2022.09196.PTDC). This study was also supported by the Programme for Cooperation in Science between Portugal and Poland through the project NEURONS-Natural products as key drivers in the development of neuroprotective therapeutic agents (FCT/DRI/PNAAE 2021.09608.CBM).
Institutional Review Board Statement
Not applicable.
Informed Consent Statement
Not applicable.
Data Availability Statement
Not applicable.
Conflicts of Interest
The authors declare no conflict of interest.
References
- United Nations—New York World Population Ageing 2019. Available online: https://www.un.org/en/development/desa/population/publications/pdf/ageing/WorldPopulationAgeing2019-Highlights.pdf (accessed on 18 May 2022).
- WHO Ageing and Health. Available online: https://www.who.int/news-room/fact-sheets/detail/ageing-and-health (accessed on 21 May 2022).
- Coppedé, F.; Migliore, L. DNA damage in neurodegenerative diseases. Mutat. Res.-Fundam. Mol. Mech. Mutagen. 2015, 776, 84–97. [Google Scholar] [CrossRef]
- Dextera, D.T.; Jenner, P. Parkinson disease: From pathology to molecular disease mechanisms. Free Radic. Biol. Med. 2013, 62, 132–144. [Google Scholar] [CrossRef] [PubMed]
- Reeve, A.; Simcox, E.; Turnbull, D. Ageing and Parkinson’s disease: Why is advancing age the biggest risk factor? Ageing Res. Rev. 2014, 14, 19–30. [Google Scholar] [CrossRef] [PubMed]
- Payne, B.A.I.; Chinnery, P.F. Mitochondrial dysfunction in aging: Much progress but many unresolved questions. Biochim. Et Biophys. Acta 2015, 1847, 1347–1353. [Google Scholar] [CrossRef]
- Trist, B.G.; Hare, D.J.; Double, K.L. Oxidative stress in the aging substantia nigra and the etiology of Parkinson’s disease. Aging Cell 2019, 18, e13031. [Google Scholar] [CrossRef] [PubMed]
- Alexander, G.E. Biology of Parkinson’s disease: Pathogenesis and pathophysiology of a multisystem neurodegenerative disorder. Dialogues Clin. Neurosci. 2004, 6, 259–280. [Google Scholar] [CrossRef] [PubMed]
- Golbe, L.I.; Mark, M.H.; Sage, J.I. Parkinson’s Disease Handbook; American Parkinson Disease Associaton: Staten Island, NY, USA, 2009. [Google Scholar]
- Obeso, J.A.; Rodriguez-Oroz, M.C.; Goetz, C.G.; Marin, C.; Kordower, J.H.; Rodriguez, M.; Hirsch, E.C.; Farrer, M.; Schapira, A.H.V. Missing pieces in the Parkinson’s disease puzzle. Nat. Med. 2010, 16, 653–661. [Google Scholar] [CrossRef]
- Blesa, J.; Trigo-Damas, I.; Quiroga-Varela, A.; Jackson-Lewis, V.R. Oxidative stress and Parkinson’s disease. Front. Neuroanat. 2015, 9, 1–9. [Google Scholar] [CrossRef]
- Chen, H.-C.; Ulane, C.M.; Burke, R.E. Clinical Progression in Parkinson’s Disease and the Neurobiology of Axons. Ann. Neurol. 2010, 67, 715–725. [Google Scholar] [CrossRef]
- Hemmati-Dinarvand, M.; saedi, S.; Valilo, M.; Kalantary-Charvadeh, A.; Alizadeh Sani, M.; Kargar, R.; Safari, H.; Samadi, N. Oxidative stress and Parkinson’s disease: Conflict of oxidant-antioxidant systems. Neurosci. Lett. 2019, 709, 134296. [Google Scholar] [CrossRef]
- Baek, S.; Park, T.; Kang, M.; Park, D. Anti-Inflammatory Activity and ROS Regulation Effect of Sinapaldehyde in LPS-Stimulated RAW 264.7 Macrophages. Molecules 2020, 25, 4089. [Google Scholar] [CrossRef]
- Kany, S.; Vollrath, J.T.; Relja, B. Cytokines in Inflammatory Disease. Int. J. Mol. Sci. 2019, 20, 6008. [Google Scholar] [CrossRef] [PubMed]
- Alvariño, R.; Alonso, E.; Tribalat, M.A.; Gegunde, S.; Thomas, O.P.; Botana, L.M. Evaluation of the Protective Effects of Sarains on H2O2-Induced Mitochondrial Dysfunction and Oxidative Stress in SH-SY5Y Neuroblastoma Cells. Neurotox. Res. 2017, 32, 368–380. [Google Scholar] [CrossRef] [PubMed]
- Agostinho, P.; Cunha, R.A.; Oliveira, C. Neuroinflammation, oxidative stress and the pathogenesis of Alzheimer’s disease. Curr. Pharm. Des. 2010, 16, 2766–2778. [Google Scholar] [CrossRef]
- Niranjan, R. The Role of Inflammatory and Oxidative Stress Mechanisms in the Pathogenesis of Parkinson’s Disease: Focus on Astrocytes. Mol. Neurobiol. 2013, 49, 28–38. [Google Scholar] [CrossRef] [PubMed]
- Tansey, M.G.; Goldberg, M.S. Neuroinflammation in Parkinson’s disease: Its role in neuronal death and implications for therapeutic intervention. Neurobiol. Dis. 2010, 37, 510–518. [Google Scholar] [CrossRef]
- Wang, Q.; Liu, Y.; Zhou, J. Neuroinflammation in Parkinson’s disease and its potential as therapeutic target. Transl. Neurodegener. 2015, 4, 1–9. [Google Scholar] [CrossRef]
- Dias, V.; Junn, E.; Mouradian, M.M. The Role of Oxidative Stress in Parkinson’s Disease. J. Park. Dis. 2013, 3, 461–491. [Google Scholar] [CrossRef]
- Smeyne, M.; Smeyne, R.J. Glutathione Metabolism and Parkinson’s Disease. Free Radic. Biol. Med. 2013, 62, 13–25. [Google Scholar] [CrossRef]
- Poewe, W.; Seppi, K.; Tanner, C.; Halliday, G.; Brundin, P.; Volkmann, J.; Schrag, A.-E.; Lang, A.E. Parkinson’s Disease. Nat. Rev. Dis. Primers 2017, 3, 1–21. [Google Scholar] [CrossRef]
- Ramanan, V.K.; Saykin, A.J. Pathways to neurodegeneration: Mechanistic insights from GWAS in Alzheimer’s disease, Parkinson’s disease, and related disorders. Am J. Neurodegener. Dis. 2013, 2, 145–175. [Google Scholar] [PubMed]
- Olanow, C.W.; Tatton, W.G. Etiology and Pathogenesis of Parkinson ’ S Disease. Annu. Rev. Neurosci. 1999, 22, 123–144. [Google Scholar] [CrossRef] [PubMed]
- Ma, Q. Role of Nrf2 in oxidative stress and toxicity. Annu. Rev. Pharmacol. Toxicol. 2013, 53, 401–426. [Google Scholar] [CrossRef] [PubMed]
- Jenner, P.; Olanow, C.W. Oxidative stress and the pathogenesis of Parkinson’s disease. Neurology 1996, 47, S161–S170. [Google Scholar] [CrossRef]
- Perfeito, R.; Cunha-Oliveira, T.; Rego, A.C. Reprint of: Revisiting oxidative stress and mitochondrial dysfunction in the pathogenesis of Parkinson disease-Resemblance to the effect of amphetamine drugs of abuse. Free Radical Biology and Medicine 2013, 62, 186–201. [Google Scholar] [CrossRef]
- Schapira, A.H.V.; Cooper, J.M.; Dexter, D.; Clark, J.B.; Jenner, P.; Marsden, C.D. Mitochondrial Complex I Deficiency in Parkinson’s Disease. J. Neurochem. 1990, 54, 823–827. [Google Scholar] [CrossRef]
- Murphy, M.P. How mitochondria produce reactive oxygen species. Biochem. J. 2009, 417, 1–13. [Google Scholar] [CrossRef]
- De Jesús-Cortés, H.; Miller, A.D.; Britt, J.K.; DeMarco, A.J.; De Jesús-Cortés, M.; Stuebing, E.; Naidoo, J.; Vázquez-Rosa, E.; Morlock, L.; Williams, N.S.; et al. Protective efficacy of P7C3-S243 in the 6-hydroxydopamine model of Parkinson’s disease. Park. Dis. 2015, 1, 3–8. [Google Scholar] [CrossRef]
- Harry, G.J.; Kraft, A.D. Neuroinflammation and microglia: Considerations and approaches for neurotoxicity assessment. Expert Opin. Drug Metanolism Toxicol. 2008, 4, 1265–1277. [Google Scholar] [CrossRef]
- McGeer, P.L.; Itagaki, S.; Boyes, B.E.; McGeer, E.G. Reactive microglia are positive for HLA-DR in the substantia nigra of Parkinson’s and Alzheimer’s disease brains. Neurology 1988, 38, 1285. [Google Scholar] [CrossRef]
- Calabrese, V.; Santoro, A.; Monti, D.; Crupi, R.; Di Paola, R.; Latteri, S.; Cuzzocrea, S.; Zappia, M.; Giordano, J.; Calabrese, E.J.; et al. Aging and Parkinson’s Disease: Inflammaging, neuroinflammation and biological remodeling as key factors in pathogenesis. Free Radic. Biol. Med. 2018, 115, 80–91. [Google Scholar] [CrossRef]
- Simon, E.; Obst, J.; Gomez-Nicola, D. The Evolving Dialogue of Microglia and Neurons in Alzheimer’s Disease: Microglia as Necessary Transducers of Pathology. Neuroscience 2018, 1, 24–34. [Google Scholar] [CrossRef] [PubMed]
- Perry, V.H.; Teeling, J. Microglia and macrophages of the central nervous system: The contribution of microglia priming and systemic inflammation to chronic neurodegeneration. Semin. Immunopathol. 2013, 35, 601–612. [Google Scholar] [CrossRef]
- Rocha, N.P.; De Miranda, A.S.; Teixeira, A.L. Insights into Neuroinflammation in Parkinson ’ s Disease: From Biomarkers to Anti-Inflammatory Based Therapies. BioMed Res. Int. 2015, 2015, 628192. [Google Scholar] [CrossRef] [PubMed]
- Chodobski, A.; Zink, B.J.; Szmydynger-Chodobska, J. Blood-brain barrier pathophysiology in traumatic brain injury. Transl. Stroke Res. 2012, 2, 492–516. [Google Scholar] [CrossRef] [PubMed]
- Presta, I.; Vismara, M.F.M.; Novellino, F.; Donato, A.; Zaffino, P.; Scali, E.; Pirrone, K.C.; Spadea, M.F.; Malara, N.; Donato, G. Innate Immunity Cells and the Neurovascular Unit. Int. J. Mol. Sci. 2018, 19, 3856. [Google Scholar] [CrossRef]
- Costa-Lotufo, L.; Wilke, D.; Leticia, P.J. Organismos marinhos como fonte de novos fármacos: Histórico & perspectivas. Quim. Nova 2009, 32, 703–716. [Google Scholar]
- Costello, M.J.; Chaudhary, C. Marine Biodiversity, Biogeography, Deep-sea Gradients, and Conservation. Curr. Biol. Rev. 2017, 27, 511–527. [Google Scholar] [CrossRef]
- Petersen, L.E.; Kellermann, M.; Schupp, P. Fisheries and Tourism: Social, Economic, and Ecological Trade-offs in Coral Reef Systems; Jungblut, S., Wegener, A., Bode-Dalby, M., Liebich, V., Eds.; Spring Open: Gewesbestrasse, Switzerland, 2020; ISBN 9783030203887. [Google Scholar]
- Pérez, M.J.; Falqué, E.; Domínguez, H. Antimicrobial action of compounds from marine seaweed. Mar. Drugs 2016, 14, 52. [Google Scholar] [CrossRef]
- Mayer, A.M.S.; Gustafson, K.R. Marine pharmacology in 2005-2006: Antitumour and cytotoxic compounds. Eur. J. Cancer 2008, 44, 2357–2387. [Google Scholar] [CrossRef]
- Rodrigues, D.; Alves, C.; Horta, A.; Pinteus, S.; Silva, J.; Culioli, G.; Thomas, O.P.; Pedrosa, R. Antitumor and antimicrobial potential of bromoditerpenes isolated from the Red Alga, Sphaerococcus coronopifolius. Mar. Drugs 2015, 13, 713. [Google Scholar] [CrossRef] [PubMed]
- El Gamal, A.A. Biological importance of marine algae. Saudi Pharm. J. 2010, 18, 1–25. [Google Scholar] [CrossRef] [PubMed]
- Alves, C.; Silva, J.; Pinteus, S.; Gaspar, H.; Alpoim, M.C.; Botana, L.M.; Pedrosa, R. From marine origin to therapeutics: The antitumor potential of marine algae-derived compounds. Front. Pharmacol. 2018, 9, 777. [Google Scholar] [CrossRef]
- Carroll, A.R.; Copp, B.R.; Davis, R.A.; Keyzers, R.A.; Prinsep, M.R. Marine natural products. Nat. Prod. Rep. 2023, 40, 275–325. [Google Scholar] [CrossRef] [PubMed]
- Ren, Q.; Jiang, X.; Zhang, S.; Gao, X.; Paudel, Y.N.; Zhang, P.; Wang, R.; Liu, K.; Jin, M. Neuroprotective effect of YIAEDAER peptide against Parkinson’s disease like pathology in zebrafish. Biomed. Pharmacother. 2022, 147, 112629. [Google Scholar] [CrossRef] [PubMed]
- Blunt, J.W.; Copp, B.R.; Keyzers, R.A.; Munro, M.H.G.; Prinsep, M.R. Marine natural products. Nat. Prod. Rep. 2014, 31, 160–258. [Google Scholar] [CrossRef]
- Blunt, J.W.; Copp, B.R.; Hu, W.P.; Munro, M.H.G.; Northcote, P.T.; Prinsep, M.R. Marine natural products. Nat. Prod. Rep. 2007, 24, 31–86. [Google Scholar] [CrossRef]
- Blunt, J.W.; Copp, B.R.; Munro, M.H.G.; Northcote, P.T.; Prinsep, M.R. Marine natural products. Nat. Prod. Rep. 2006, 23, 26–78. [Google Scholar] [CrossRef]
- Blunt, J.W.; Copp, B.R.; Hu, W.P.; Munro, M.H.G.; Northcote, P.T.; Prinsep, M.R. Marine natural products. Nat. Prod. Rep. 2009, 26, 170–244. [Google Scholar] [CrossRef]
- Blunt, J.W.; Copp, B.R.; Munro, M.H.G.; Northcote, P.T.; Prinsep, M.R. Marine natural products. Nat. Prod. Rep. 2004, 21, 15–61. [Google Scholar] [CrossRef]
- Faulkner, D.J. Marine natural products: Metabolites of marine invertebrates. Nat. Prod. Rep. 1984, 1, 551–598. [Google Scholar] [CrossRef]
- Blunt, J.W.; Copp, B.R.; Keyzers, R.A.; Munro, M.H.G.; Prinsep, M.R. Marine natural products. Nat. Prod. Rep. 2017, 34, 235–294. [Google Scholar] [CrossRef] [PubMed]
- Blunt, J.W.; Carroll, A.R.; Copp, B.R.; Davis, R.A.; Keyzers, R.A.; Prinsep, M.R. Marine natural products. Nat. Prod. Rep. 2018, 35, 8–53. [Google Scholar] [CrossRef] [PubMed]
- Faulkner, D.J. Marine natural products. Nat. Prod. Rep. 2002, 19, 1–48. [Google Scholar] [CrossRef]
- Carroll, A.R.; Copp, B.R.; Davis, R.A.; Keyzers, R.A.; Prinsep, M.R. Marine natural products. Nat. Prod. Rep. 2021, 38, 362–413. [Google Scholar] [CrossRef]
- Carroll, A.R.; Copp, B.R.; Davis, R.A.; Keyzers, R.A.; Prinsep, M.R. Marine natural products. Nat. Prod. Rep. 2020, 37, 175–223. [Google Scholar] [CrossRef] [PubMed]
- Blunt, J.W.; Copp, B.R.; Keyzers, R.A.; Munro, M.H.G.; Prinsep, M.R. Marine natural products. Nat. Prod. Rep. 2015, 32, 116–211. [Google Scholar] [CrossRef]
- Blunt, J.W.; Copp, B.R.; Keyzers, R.A.; Munro, M.H.G.; Prinsep, M.R. Marine natural products. Nat. Prod. Rep. 2016, 33, 382–431. [Google Scholar] [CrossRef]
- Blunt, J.W.; Copp, B.R.; Munro, M.H.G.; Northcote, P.T.; Prinsep, M.R. Marine natural products. Nat. Prod. Rep. 2003, 20, 1–48. [Google Scholar] [CrossRef]
- Blunt, J.W.; Copp, B.R.; Keyzers, R.A.; Munro, M.H.G.; Prinsep, M.R. Marine natural products. Nat. Prod. Rep. 2012, 29, 144–222. [Google Scholar] [CrossRef]
- Blunt, J.W.; Copp, B.R.; Munro, M.H.G.; Northcote, P.T.; Prinsep, M.R. Marine natural products. Nat. Prod. Rep. 2010, 27, 165–237. [Google Scholar] [CrossRef]
- Blunt, J.W.; Copp, B.R.; Hu, W.P.; Munro, M.H.G.; Northcote, P.T.; Prinsep, M.R. Marine natural products. Nat. Prod. Rep. 2008, 25, 35–94. [Google Scholar] [CrossRef]
- Mena, M.A.; Casarejos, M.J.; Solano, R.; Rodríguez-Navarro, J.A.; Gómez, A.; Rodal, I.; Medina, M.; de Yebenes, J. NP7 protects from cell death induced by oxidative stress in neuronal and glial midbrain cultures from parkin null mice. FEBS Lett. 2009, 583, 168–174. [Google Scholar] [CrossRef] [PubMed]
- Ahmed, S.S.S.J.; Pallavi, K.; Aiswarya, P.S.; Ramakrishnan, V.; Husain, R.S.A. Neuroprotective Compounds from Marine Microorganisms. Encycl. Mar. Biotechnol. 2020, 3, 1559–1579. [Google Scholar] [CrossRef]
- Koppula, S.; Kumar, H.; More, S.V.; Kim, B.W.; Kim, I.S.; Choi, D.K. Recent advances on the neuroprotective potential of antioxidants in experimental models of Parkinson’s disease. Int. J. Mol. Sci. 2012, 13, 10608–10629. [Google Scholar] [CrossRef] [PubMed]
- Faria, C.; Jorge, C.D.; Borges, N.; Tenreiro, S.; Outeiro, T.F.; Santos, H. Inhibition of formation of α-synuclein inclusions by mannosylglycerate in a yeast model of Parkinson’s disease. Biochim. Et Biophys. Acta-Gen. Subj. 2013, 1830, 4065–4072. [Google Scholar] [CrossRef]
- Lee, H.W.; Choi, H.; Nam, S.J.; Fenical, W.; Kim, H. Potent Inhibition of Monoamine Oxidase B by a Piloquinone from Marine-Derived Streptomyces sp. J. Microbiol. Biotechnol. 2017, 27, 785–790. [Google Scholar] [CrossRef]
- Kajimura, Y.; Aoki, T.; Kuramochi, K.; Kobayashi, S.; Sugawara, F.; Watanabe, N.; Arai, T. Neoechinulin a protects PC12 cells against MPP+-induced cytotoxicity. J. Antibiot. 2008, 61, 330–333. [Google Scholar] [CrossRef]
- Akashi, S.; Kimura, T.; Takeuchi, T.; Kuramochi, K.; Kobayashi, S.; Sugawara, F.; Watanabe, N.; Arai, T. Neoechinulin A Impedes the Progression of Rotenone-Induced Cytotoxicity in PC12 Cells. Biol. Pharm. Bull. 2011, 34, 243–248. [Google Scholar] [CrossRef]
- Lu, X.; Yao, X.; Liu, Z.; Zhang, H.; Li, H.; Li, Z.; Wang, G.-L.; Pang, J.; Lin, Y.; Xu, Z.; et al. Protective effects of xyloketal B against MPP+-induced neurotoxicity in Caenorhabditis elegans and PC12 cells. Brain Res. 2010, 1332, 110–119. [Google Scholar] [CrossRef]
- Gong, H.; Luo, Z.; Chen, W.; Feng, Z.P.; Wang, G.L.; Sun, H.S. Marine compound xyloketal B as a potential drug development target for neuroprotection. Mar. Drugs 2018, 16, 516. [Google Scholar] [CrossRef]
- Zhai, A.; Zhu, X.; Wang, X.; Chen, R.; Wang, H. Secalonic acid A protects dopaminergic neurons from 1-methyl-4- phenylpyridinium (MPP+)-induced cell death via the mitochondrial apoptotic pathway. Eur. J. Pharmacol. 2013, 713, 58–67. [Google Scholar] [CrossRef]
- Yurchenko, E.A.; Menchinskaya, E.S.; Pislyagin, E.A.; Trinh, P.T.H.; Ivanets, E.V.; Smetanina, O.F.; Yurchenko, A.N. Neuroprotective activity of some marine fungal metabolites in the 6-hydroxydopamin- and paraquat-induced Parkinson’s disease models. Mar. Drugs 2018, 16, 457. [Google Scholar] [CrossRef]
- Xiao, X.; Tong, Z.; Zhang, Y.; Zhou, H.; Luo, M.; Hu, T.; Hu, P.; Kong, L.; Liu, Z.; Yu, C.; et al. Novel Prenylated Indole Alkaloids with Neuroprotection on SH-SY5Y Cells against Oxidative Stress Targeting Keap1–Nrf2. Mar. Drugs 2022, 20, 191. [Google Scholar] [CrossRef]
- Wang, C.; Wang, D.; Xu, J.; Yanagita, T.; Xue, C.; Zhang, T.; Wang, Y. DHA enriched phospholipids with different polar groups (PC and PS) had different improvements on MPTP-induced mice with Parkinson’s disease. J. Funct. Foods 2018, 45, 417–426. [Google Scholar] [CrossRef]
- Wang, D.; Zhang, L.; Wen, M.; Du, L.; Gao, X.; Xue, C.; Xu, J.; Wang, Y. Enhanced neuroprotective effect of DHA and EPA-enriched phospholipids against 1-methyl-4-phenyl-1,2,3,6-tetrahydropyridine (MPTP) induced oxidative stress in mice brain. J. Funct. Foods 2016, 25, 385–396. [Google Scholar] [CrossRef]
- Wu, F.; Wang, D.D.; Shi, H.H.; Wang, C.C.; Xue, C.H.; Wang, Y.M.; Zhang, T.T. N-3 PUFA-Deficiency in Early Life Exhibits Aggravated MPTP-Induced Neurotoxicity in Old Age while Supplementation with DHA/EPA-Enriched Phospholipids Exerts a Neuroprotective Effect. Mol. Nutr. Food Res. 2021, 65, 202100339. [Google Scholar] [CrossRef]
- Anguchamy, V.; Muthuvel, A. Enhancing the neuroprotective effect of squid outer skin astaxanthin against rotenone-induced neurotoxicity in in-vitro model for Parkinson’s disease. Food Chem. Toxicol. 2023, 178, 113846. [Google Scholar] [CrossRef]
- Grimmiig, B.; Kim, S.-H.; Nash, K.; Bickford, P.C.; Shytle, R.D. Neuroprotective mechanisms of astaxanthin: A potential therapeutic role in preserving cognitive function in age and neurodegeneration. Geroscience 2017, 39, 19–32. [Google Scholar] [CrossRef]
- Luo, S.; Zhangsun, D.; Wu, Y.; Zhu, X.; Hu, Y.; McIntyre, M.; Christensen, S.; Akcan, M.; Craik, D.J.; McIntosh, J.M. Characterization of a novel -conotoxin from conus textile that selectively targets 6/ 3 2 3 nicotinic acetylcholine receptors. J. Biol. Chem. 2013, 288, 894–902. [Google Scholar] [CrossRef]
- Manigandan, V.; Nataraj, J.; Karthik, R.; Manivasagam, T.; Saravanan, R.; Thenmozhi, A.J.; Essa, M.M.; Guillemin, G.J. Low Molecular Weight Sulfated Chitosan: Neuroprotective Effect on Rotenone-Induced In Vitro Parkinson’s Disease. NeuroToxicology 2019, 35, 505–515. [Google Scholar] [CrossRef]
- Caprifico, A.E.; Foot, P.J.S.; Polycarpou, E.; Calabrese, G. Overcoming the blood-brain barrier: Functionalised chitosan nanocarriers. Pharmaceutics 2020, 12, 1013. [Google Scholar] [CrossRef]
- Wang, X.; Cong, P.; Liu, Y.; Tao, S.; Chen, Q.; Wang, J.; Xu, J.; Xue, C. Neuritogenic effect of sea cucumber glucocerebrosides on NGF-induced PC12 cells via activation of the TrkA/CREB/BDNF signalling pathway. J. Funct. Foods 2018, 46, 175–184. [Google Scholar] [CrossRef]
- Vieira, S.R.L.; Schapira, A.H.V. Glucocerebrosidase mutations and Parkinson disease. J. Neural Transm. 2022, 129, 1105–1117. [Google Scholar] [CrossRef]
- Sanguanphun, T.; Sornkaew, N.; Malaiwong, N.; Chalorak, P.; Jattujan, P.; Niamnont, N.; Sobhon, P.; Meemon, K. Neuroprotective effects of a medium chain fatty acid, decanoic acid, isolated from H. leucospilota against Parkinsonism in C. elegans PD model. Front. Pharmacol. 2022, 13, 1004568. [Google Scholar] [CrossRef]
- Sanguanphun, T.; Promtang, S.; Sornkaew, N.; Niamnont, N.; Sobhon, P.; Meemon, K. Anti-Parkinson Effects of Holothuria leucospilota-Derived Palmitic Acid in Caenorhabditis elegans Model of Parkinson’s Disease. Mar. Drugs 2023, 21, 141. [Google Scholar] [CrossRef]
- Murphy, E.J. Blood-brain barrier and brain fatty acid uptake: Role of arachidonic acid and PGE2. J. Neurochem. 2015, 135, 845–848. [Google Scholar] [CrossRef]
- Wang, C.C.; Wang, D.; Zhang, T.T.; Yanagita, T.; Xue, C.H.; Chang, Y.G.; Wang, Y.M. A comparative study about EPA-PL and EPA-EE on ameliorating behavioral deficits in MPTP-induced mice with Parkinson’s disease by suppressing oxidative stress and apoptosis. J. Funct. Foods 2018, 50, 8–17. [Google Scholar] [CrossRef]
- Jin, W.; Zhang, W.; Wang, J.; Yao, J.; Xie, E.; Liu, D.; Duan, D.; Zhang, Q. A study of neuroprotective and antioxidant activities of heteropolysaccharides from six Sargassum species. Int. J. Biol. Macromol. 2014, 67, 336–342. [Google Scholar] [CrossRef]
- Jin, W.; Wang, J.; Jiang, H.; Song, N.; Zhang, W.; Zhang, Q. The neuroprotective activities of heteropolysaccharides extracted from Saccharina japonica. Carbohydr. Polym. 2013, 97, 116–120. [Google Scholar] [CrossRef]
- Subaraja, M.; Krishnan, D.A.; Hillary, V.E.; Raja, T.R.W.; Mathew, P.; RaviKumar, S.; Paulraj, M.G.; Ignacimuthu, S. Fucoidan serves a neuroprotective effect in an Alzheimer’s disease model. Front. Biosci.-Elite 2020, 12, 1–34. [Google Scholar] [CrossRef]
- Gao, Y.; Dong, C.; Yin, J.; Shen, J.; Tian, J.; Li, C. Neuroprotective effect of fucoidan on H2O2-induced apoptosis in PC12 cells via activation of PI3K/Akt pathway. Cell. Mol. Neurobiol. 2012, 32, 523–529. [Google Scholar] [CrossRef]
- Meenakshi, S.; Umayaparvathi, S.; Saravanan, R.; Manivasagam, T.; Balasubramanian, T. Neuroprotective effect of fucoidan from Turbinaria decurrens in MPTP intoxicated Parkinsonic mice. Int. J. Biol. Macromol. 2016, 86, 425–433. [Google Scholar] [CrossRef]
- Luo, D.; Zhang, Q.; Wang, H.; Cui, Y.; Sun, Z.; Yang, J.; Zheng, Y.; Jia, J.; Yu, F.; Wang, X. Fucoidan protects against dopaminergic neuron death in vivo and in vitro. Eur. J. Pharmacol. 2009, 617, 33–40. [Google Scholar] [CrossRef]
- Wang, W.; Song, N.; Jia, F.; Xie, J.; Zhang, Q.; Jiang, H. Neuroprotective effects of porphyran derivatives against 6-hydroxydopamine-induced cytotoxicity is independent on mitochondria restoration. Ann. Transl. Med. 2015, 3, 39. [Google Scholar] [CrossRef]
- Huang, C.Y.; Kuo, C.H.; Chen, P.W. Compressional-puffing pretreatment enhances neuroprotective effects of fucoidans from the brown seaweed sargassum hemiphyllum on 6-hydroxydopamine-induced apoptosis in SH-SY5Y cells. Molecules 2018, 23, 78. [Google Scholar] [CrossRef]
- Yang, M.; Xuan, Z.; Wang, Q.; Yan, S.; Zhou, D.; Naman, C.B.; Zhang, J.; He, S.; Yan, X.; Cui, W. Fucoxanthin has potential for therapeutic efficacy in neurodegenerative disorders by acting on multiple targets. Nutr. Neurosci. 2022, 25, 2167–2180. [Google Scholar] [CrossRef]
- Cha, S.H.; Heo, S.J.; Jeon, Y.J.; Park, S.M. Dieckol, an edible seaweed polyphenol, retards rotenone-induced neurotoxicity and α-synuclein aggregation in human dopaminergic neuronal cells. RSC Adv. 2016, 6, 110040–110046. [Google Scholar] [CrossRef]
- Kwak, J.H.; Yang, Z.; Yoon, B.; He, Y.; Uhm, S.; Shin, H.C.; Lee, B.H.; Yoo, Y.C.; Lee, K.B.; Han, S.Y.; et al. Blood-brain barrier-permeable fluorone-labeled dieckols acting as neuronal ER stress signaling inhibitors. Biomaterials 2015, 61, 52–60. [Google Scholar] [CrossRef]
- Du, Z.R.; Wang, X.; Cao, X.; Liu, X.; Zhou, S.N.; Zhang, H.; Yang, R.L.; Wong, K.H.; Tang, Q.J.; Dong, X.L. Alginate and its Two Components Acted Differently Against Dopaminergic Neuronal Loss in Parkinson’s Disease Mice Model. Mol. Nutr. Food Res. 2022, 66, 202100739. [Google Scholar] [CrossRef]
- Silva, J.; Alves, C.; Pinteus, S.; Susano, P.; Simões, M.; Guedes, M.; Martins, A.; Rehfeldt, S.; Gaspar, H.; Goettert, M.; et al. Disclosing the potential of eleganolone for Parkinson’s disease therapeutics: Neuroprotective and anti-inflammatory activities. Pharmacol. Res. 2021, 168, 105589. [Google Scholar] [CrossRef]
- Yao, Z.A.; Xu, L.; Wu, H.G. Immunomodulatory function of κ-Carrageenan oligosaccharides acting on LPS-activated microglial cells. Neurochem. Res. 2014, 39, 333–343. [Google Scholar] [CrossRef]
- Souza, R.B.; Frota, A.F.; Silva, J.; Alves, C.; Neugebauer, A.Z.; Pinteus, S.; Rodrigues, J.A.G.; Cordeiro, E.M.S.; de Almeida, R.R.; Pedrosa, R.; et al. In vitro activities of kappa-carrageenan isolated from red marine alga Hypnea musciformis: Antimicrobial, anticancer and neuroprotective potential. Int. J. Biol. Macromol. 2018, 112, 1248–1256. [Google Scholar] [CrossRef]
- Souza, R.B.; Frota, A.F.; Sousa, R.S.; Cezario, N.A.; Santos, T.B.; Souza, L.M.F.; Coura, C.O.; Monteiro, V.S.; Cristino Filho, G.; Vasconcelos, S.M.M.; et al. Neuroprotective Effects of Sulphated Agaran from Marine Alga Gracilaria cornea in Rat 6-Hydroxydopamine Parkinson’s Disease Model: Behavioural, Neurochemical and Transcriptional Alterations. Basic Clin. Pharmacol. Toxicol. 2017, 120, 159–170. [Google Scholar] [CrossRef]
- Ahmed, S.A.; Rahman, A.A.; Elsayed, K.N.M.; Abd El-Mageed, H.R.; Mohamed, H.S.; Ahmed, S.A. Cytotoxic activity, molecular docking, pharmacokinetic properties and quantum mechanics calculations of the brown macroalga Cystoseira trinodis compounds. J. Biomol. Struct. Dyn. 2020, 1102. [Google Scholar] [CrossRef]
- Silva, J.; Alves, C.; Martins, A.; Susano, P.; Simões, M.; Guedes, M.; Rehfeldt, S.; Pinteus, S.; Gaspar, H.; Rodrigues, A.; et al. Loliolide, a new therapeutic option for neurological diseases? In vitro neuroprotective and anti-inflammatory activities of a monoterpenoid lactone isolated from codium tomentosum. Int. J. Mol. Sci. 2021, 22, 1888. [Google Scholar] [CrossRef]
- Xing, M.; Li, G.; Liu, Y.; Yang, L.; Zhang, Y.; Zhang, Y.; Ding, J.; Lu, M.; Yu, G.; Hu, G. Fucoidan from Fucus vesiculosus prevents the loss of dopaminergic neurons by alleviating mitochondrial dysfunction through targeting ATP5F1a. Carbohydr. Polym. 2023, 303, 120470. [Google Scholar] [CrossRef]
- Wen, Z.H.; Chao, C.H.; Wu, M.H.; Sheu, J.H.A. neuroprotective sulfone of marine origin and the in vivo anti-inflammatory activity of an analogue. J. Med. Chem. 2010, 45, 5998–6004. [Google Scholar] [CrossRef]
- Kao, C.J.; Chen, W.F.; Guo, B.L.; Feng, C.W.; Hung, H.C.; Yang, W.Y.; Sung, C.S.; Tsui, K.H.; Chu, H.; Chen, N.F.; et al. The 1-tosylpentan-3-one protects against 6-hydroxydopamine-induced neurotoxicity. Int. J. Mol. Sci. 2017, 18, 1096. [Google Scholar] [CrossRef]
- Chen, W.F.; Chakraborty, C.; Sung, C.S.; Feng, C.W.; Jean, Y.H.; Lin, Y.Y.; Hung, H.C.; Huang, T.Y.; Huang, S.Y.; Su, T.M.; et al. Neuroprotection by marine-derived compound, 11-dehydrosinulariolide, in an in vitro Parkinson’s model: A promising candidate for the treatment of Parkinson’s disease. Naunyn-Schmiedeberg’s Arch. Pharmacol. 2012, 385, 265–275. [Google Scholar] [CrossRef]
- Badria, F.A.; Guirguis, A.N.; Perovic, S.; Steffen, R.; Müller, W.E.G.; Schröder, H.C. Sarcophytolide: A new neuroprotective compound from the soft coral Sarcophyton glaucum. Toxicology 1998, 131, 133–143. [Google Scholar] [CrossRef] [PubMed]
- Abbasov, M.E.; Alvariño, R.; Chaheine, C.M.; Alonso, E.; Sánchez, J.A.; Conner, M.L.; Alfonso, A.; Jaspars, M.; Botana, L.M.; Romo, D. Simplified immunosuppressive and neuroprotective agents based on gracilin A. Nat. Chem. 2019, 11, 342–350. [Google Scholar] [CrossRef]
- Leirós, M.L.; Alonso, E.; Rateb, M.E.; Houssen, W.E.; Ebel, R.; Jaspars, M.; Alfonso, A.; Botana, L.M. Bromoalkaloids Protect Primary Cortical Neurons from Induced Oxidative Stress. ACS Chem. Neurosci. 2015, 6, 331–338. [Google Scholar] [CrossRef] [PubMed]
- Boccitto, M.; Lee, N.; Sakamoto, S.; Spruce, L.A.; Handa, H.; Clardy, J.; Seeholzer, S.H.; Kalb, R.G. The neuroprotective marine compound psammaplysene A binds the RNA-binding protein HNRNPK. Mar. Drugs 2017, 15, 246. [Google Scholar] [CrossRef] [PubMed]
- Lütjohann, D.; Von Bergmann, K. 24S-Hydroxycholesterol: A Marker of Brain Cholesterol Metabolism. Pharmacopsychiatry 2003, 36, 102–106. [Google Scholar] [CrossRef]
- Grkovic, T.; Pouwer, R.H.; Vial, M.L.; Gambini, L.; Noel, A.; Hooper, J.N.; Wood, S.A.; Mellick, G.D.; Quinn, R.J. NMR fingerprints of the drug-like natural-product space identify iotrochotazine A: A chemical probe to study Parkinson’s disease. Angew. Chem. Int. Ed. 2014, 53, 6070–6074. [Google Scholar] [CrossRef]
- Wang, D.; Feng, Y.; Murtaza, M.; Wood, S.; Mellick, G.; Hooper, J.N.A.; Quinn, R.J.A. Grand Challenge: Unbiased Phenotypic Function of Metabolites from Jaspis splendens against Parkinson’s Disease. J. Nat. Prod. 2016, 79, 353–361. [Google Scholar] [CrossRef] [PubMed]
- Prebble, D.W.; Er, S.; Xu, M.; Hlushchuk, I.; Domanskyi, A.; Airavaara, M.; Ekins, M.G.; Mellick, G.D.; Carroll, A.R. α-synuclein aggregation inhibitory activity of the bromotyrosine derivatives aerothionin and aerophobin-2 from the subtropical marine sponge Aplysinella sp. Results Chem. 2022, 4, 100472. [Google Scholar] [CrossRef]
- Zhang, Q.; Zhao, W.; Hou, Y.; Song, X.; Yu, H.; Tan, J.; Zhou, Y.; Zhang, H.T. β-Glucan attenuates cognitive impairment of APP/PS1 mice via regulating intestinal flora and its metabolites. CNS Neurosci. Ther. 2023, 29, 1690–1704. [Google Scholar] [CrossRef]
- Shen, D.-F.; Qi, H.-P.; Ma, C.; Chang, M.-X.; Zhang, W.-N.; Song, R.-R. Astaxanthin suppresses endoplasmic reticulum stress and protects against neuron damage in Parkinson’s disease by regulating miR-7/SNCA axis. Neurosci. Res. 2021, 165, 51–60. [Google Scholar] [CrossRef]
- Ye, Q.; Zhang, X.; Huang, B.; Zhu, Y.; Chen, X. Astaxanthin suppresses MPP+-induced oxidative damage in PC12 cells through a Sp1/NR1 signaling pathway. Mar. Drugs 2013, 11, 1019–1034. [Google Scholar] [CrossRef] [PubMed]
- Yacoubian, A.T. Drug Discovery Approaches for the Treatment of Neurodegenerative Disorders-Neurodegenerative Disorders: Why Do We Need New Therapies? 1st ed.; Adejare, A., Ed.; Academic Press: Cambridge, MA, USA, 2017. [Google Scholar]
- Huang, C.; Zhang, Z.; Cui, W. Marine-Derived Natural Compounds for the Treatment of Parkinson’s Disease. Mar. Drugs 2019, 17, 221. [Google Scholar] [CrossRef]
- Pereira, L. Seaweeds as source of bioactive substances and skin care therapy-Cosmeceuticals, algotheraphy, and thalassotherapy. Cosmetics 2018, 5, 68. [Google Scholar] [CrossRef]
- Liu, J.; Lu, Y.; Tang, M.; Shao, F.; Yang, D.; Chen, S.; Xu, Z.; Zhai, L.; Chen, J.; Li, Q.; et al. Fucoxanthin Prevents Long-Term Administration L-DOPA-Induced Neurotoxicity through the ERK/JNK-c-Jun System in 6-OHDA-Lesioned Mice and PC12 Cells. Mar. Drugs 2022, 20, 245. [Google Scholar] [CrossRef] [PubMed]
- Feng, C.W.; Hung, H.C.; Huang, S.Y.; Chen, C.H.; Chen, Y.R.; Chen, C.Y.; Yang, S.N.; Wang, H.M.D.; Sung, P.J.; Sheu, J.H.; et al. Neuroprotective effect of the marine-derived compound 11-dehydrosinulariolide through DJ-1-related pathway in in vitro and in vivo models of Parkinson’s disease. Mar. Drugs 2016, 14, 187. [Google Scholar] [CrossRef]
- Leirós, M.; Sánchez, J.A.; Alonso, E.; Rateb, M.E.; Houssen, W.E.; Ebel, R.; Jaspars, M.; Alfonso, A.; Botana, L.M. Spongionella secondary metabolites protect mitochondrial function in cortical neurons against oxidative stress. Mar. Drugs 2014, 12, 700–718. [Google Scholar] [CrossRef]
- Zhou, X.; Lu, Y.; Lin, X.; Yang, B.; Yang, X.; Liu, Y. Brominated aliphatic hydrocarbons and sterols from the sponge Xestospongia testudinaria with their bioactivities. Chem. Phys. Lipids 2011, 164, 703–706. [Google Scholar] [CrossRef]
- Zhang, W.; Wang, J.; Jin, W.; Zhang, Q. The antioxidant activities and neuroprotective effect of polysaccharides from the starfish Asterias rollestoni. Carbohydr. Polym. 2013, 95, 9–15. [Google Scholar] [CrossRef]
Disclaimer/Publisher’s Note: The statements, opinions and data contained in all publications are solely those of the individual author(s) and contributor(s) and not of MDPI and/or the editor(s). MDPI and/or the editor(s) disclaim responsibility for any injury to people or property resulting from any ideas, methods, instructions or products referred to in the content. |
© 2023 by the authors. Licensee MDPI, Basel, Switzerland. This article is an open access article distributed under the terms and conditions of the Creative Commons Attribution (CC BY) license (https://creativecommons.org/licenses/by/4.0/).











