Kinetic Extraction of Fucoxanthin from Undaria pinnatifida Using Ethanol as a Solvent
Abstract
1. Introduction
2. Results and Discussion
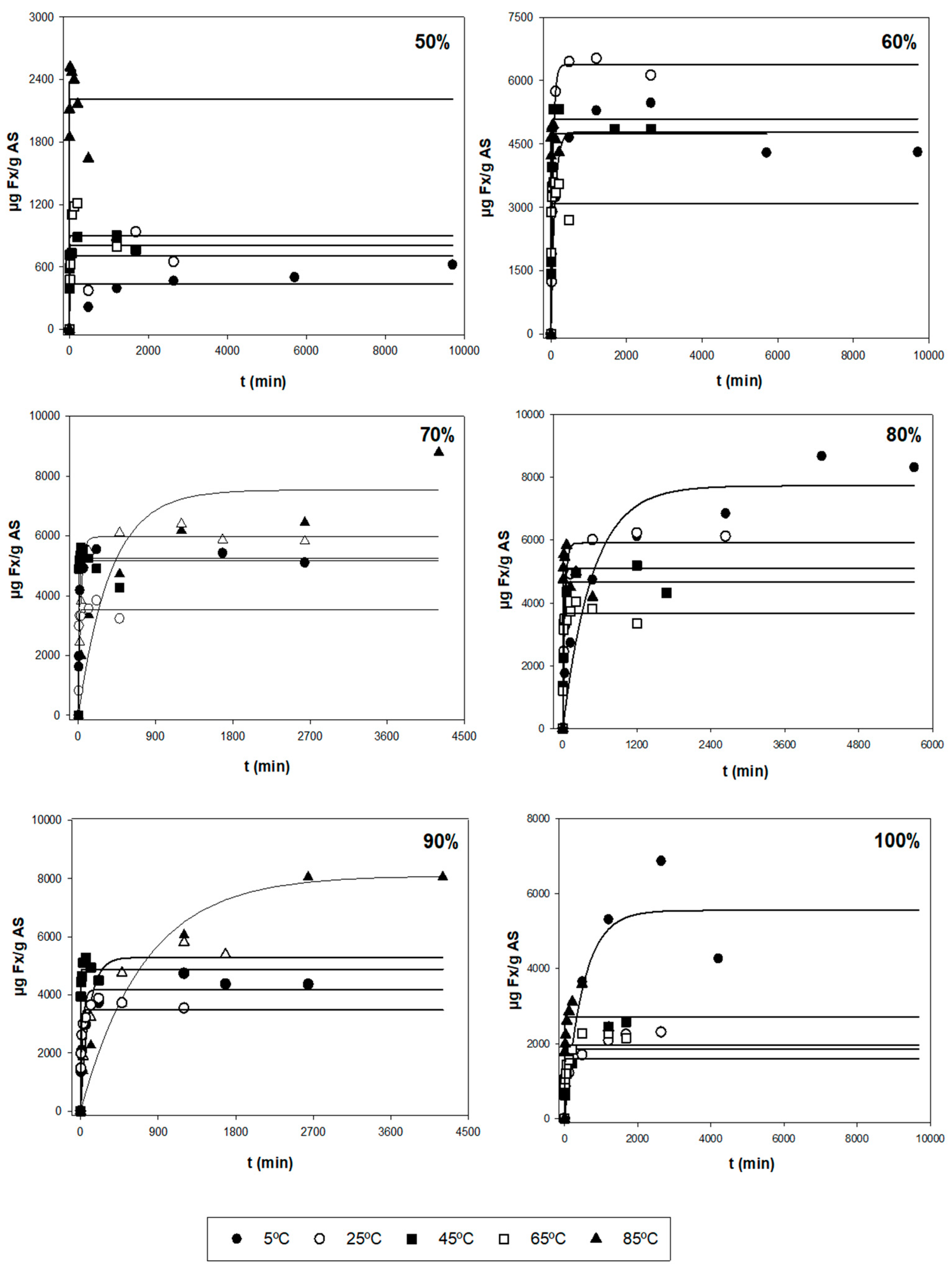
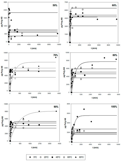
2.1. Kinetic Optimization Study
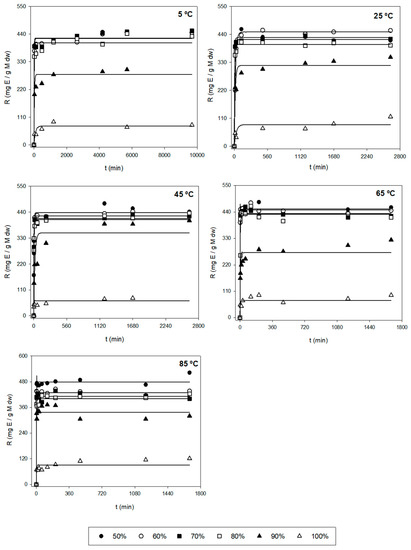
2.2. Bioactive Analysis of the Optimal Values
2.2.1. Bioactive Compounds
2.2.2. Antioxidant Activity
2.2.3. Antimicrobial Activity
2.2.4. Cholinesterase Inhibitory Capacity
3. Materials and Methods
3.1. Samples Collection and Preparation
3.2. Optimization Study for the Extraction Maximization of Fx
3.2.1. Kinetic Extraction with Ethanol
3.2.2. Chemical Analysis through HPLC
3.2.3. Extract Dry Weight Determination
3.2.4. Responses Obtained for Analysis
3.2.5. Mathematical Modeling for Optimization Purposes
3.3. Bioactive Analysis of the Optimal Values
3.3.1. Analysis of Secondary Metabolites
Total Phenolic Content (TPC)
Total Flavonoid Content (TFC)
3.3.2. Antioxidant Determination
DPPH Radical-Scavenging Activity
ABTS•+ Radical-Scavenging Activity
Crocin Bleaching Assay
Scavenging Activity of the Hydroxyl Radical
Scavenging Activity of the Nitric Oxide Radical
Analysis of the Antioxidant Responses
3.3.3. Antimicrobial Activity
3.3.4. Cholinesterase Inhibitory Capacity
4. Conclusions
Supplementary Materials
Author Contributions
Funding
Institutional Review Board Statement
Data Availability Statement
Acknowledgments
Conflicts of Interest
References
- Cvitković, D.; Dragović-Uzelac, V.; Dobrinčić, A.; Čož-Rakovac, R.; Balbino, S. The Effect of Solvent and Extraction Method on the Recovery of Lipid Fraction from Adriatic Sea Macroalgae. Algal Res. 2021, 56, 102291. [Google Scholar] [CrossRef]
- Saet, B.L.; Joo, Y.L.; Song, D.G.; Pan, C.H.; Chu, W.N.; Min, C.K.; Eun, H.L.; Sang, H.J.; Kim, H.S.; Yeong, S.K.; et al. Cancer Chemopreventive Effects of Korean Seaweed Extracts. Food Sci. Biotechnol. 2008, 17, 613–622. [Google Scholar]
- Balbas, J.; Hamid, N.; Liu, T.; Kantono, K.; Robertson, J.; White, W.L.; Ma, Q.; Lu, J. Comparison of Physicochemical Characteristics, Sensory Properties and Volatile Composition between Commercial and New Zealand Made Wakame from Undaria pinnatifida. Food Chem. 2015, 186, 168–175. [Google Scholar] [CrossRef] [PubMed]
- Lourenço-Lopes, C.; Garcia-Oliveira, P.; Carpena, M.; Fraga-Corral, M.; Jimenez-Lopez, C.; Pereira, A.G.; Prieto, M.A.; Simal-Gandara, J. Scientific Approaches on Extraction, Purification and Stability for the Commercialization of Fucoxanthin Recovered from Brown Algae. Foods 2020, 9, 1113. [Google Scholar] [CrossRef]
- Kajikawa, T.; Okumura, S.; Iwashita, T.; Kosumi, D.; Hashimoto, H.; Katsumura, S. Stereocontrolled Total Synthesis of Fucoxanthin and Its Polyene Chain-Modified Derivative. Org. Lett. 2012, 14, 808–811. [Google Scholar] [CrossRef]
- Pereira, A.G.; Otero, P.; Echave, J.; Carreira-Casais, A.; Chamorro, F.; Collazo, N.; Jaboui, A.; Lourenço-Lopes, C.; Simal-Gandara, J.; Prieto, M.A. Xanthophylls from the Sea: Algae as Source of Bioactive Carotenoids. Mar. Drugs 2021, 19, 188. [Google Scholar] [CrossRef] [PubMed]
- Lourenço-Lopes, C.; Fraga-Corral, M.; Jimenez-Lopez, C.; Carpena, M.; Pereira, A.G.; Garcia-Oliveira, P.; Prieto, M.A.; Simal-Gandara, J. Biological Action Mechanisms of Fucoxanthin Extracted from Algae for Application in Food and Cosmetic Industries. Trends Food Sci. Technol. 2021, 117, 163–181. [Google Scholar] [CrossRef]
- Poole, C.F. Solvent Selection for Liquid-Phase Extraction; Elsevier Inc.: Amsterdam, The Netherlands, 2019; ISBN 9780128169117. [Google Scholar]
- Cong, Q.; Chen, H.; Liao, W.; Xiao, F.; Wang, P.; Qin, Y.; Dong, Q.; Ding, K. Structural Characterization and Effect on Anti-Angiogenic Activity of a Fucoidan from Sargassum fusiforme. Carbohydr. Polym. 2016, 20, 899–907. [Google Scholar] [CrossRef]
- Xu, D.; Chow, J.; Weber, C.C.; Packer, M.A.; Baroutian, S.; Shahbaz, K. Evaluation of Deep Eutectic Solvents for the Extraction of Fucoxanthin from the Alga Tisochrysis Lutea—COSMO-RS Screening and Experimental Validation. J. Environ. Chem. Eng. 2022, 10, 108370. [Google Scholar] [CrossRef]
- Obluchinskaya, E.D.; Pozharitskaya, O.N.; Zakharova, L.V.; Daurtseva, A.V.; Flisyuk, E.V.; Shikov, A.N. Efficacy of Natural Deep Eutectic Solvents for Extraction of Hydrophilic and Lipophilic Compounds from Fucus Vesiculosus. Molecules 2021, 26, 4198. [Google Scholar] [CrossRef] [PubMed]
- Garcia-Vaquero, M.; Rajauria, G.; Tiwari, B. Conventional Extraction Techniques: Solvent Extraction. In Sustainable Seaweed Technologies; Torres, M.D., Kraan, S., Dominguez, H., Eds.; Elsevier: Amsterdam, The Netherlands, 2020; pp. 171–189. ISBN 9780128179437. [Google Scholar]
- Pajot, A.; Hao Huynh, G.; Picot, L.; Marchal, L.; Nicolau, E. Fucoxanthin from Algae to Human, an Extraordinary Bioresource: Insights and Advances in up and Downstream Processes. Mar. Drugs 2022, 20, 222. [Google Scholar] [CrossRef]
- Miyashita, K.; Beppu, F.; Hosokawa, M.; Liu, X.; Wang, S. Bioactive Significance of Fucoxanthin and Its Effective Extraction. Biocatal. Agric. Biotechnol. 2020, 26, 101639. [Google Scholar] [CrossRef]
- Billakanti, J.M.; Catchpole, O.J.; Fenton, T.A.; Mitchell, K.A.; Mackenzie, A.D. Enzyme-Assisted Extraction of Fucoxanthin and Lipids Containing Polyunsaturated Fatty Acids from Undaria pinnatifida Using Dimethyl Ether and Ethanol. Process Biochem. 2013, 48, 1999–2008. [Google Scholar] [CrossRef]
- Mori, K.; Ooi, T.; Hiraoka, M.; Oka, N.; Hamada, H.; Tamura, M.; Kusumi, T. Fucoxanthin and Its Metabolites in Edible Brown Algae Cultivated in Deep Seawater. Mar. Drugs 2004, 2, 63–72. [Google Scholar] [CrossRef]
- Fung, A.; Hamid, N.; Lu, J. Fucoxanthin Content and Antioxidant Properties of Undaria pinnatifida. Food Chem. 2013, 136, 1055–1062. [Google Scholar] [CrossRef]
- Garcia-Perez, P.; Lourenço-Lopes, C.; Silva, A.; Pereira, A.G.; Fraga-Corral, M.; Zhao, C.; Xiao, J.; Simal-Gandara, J.; Prieto, M.A. Pigment Composition of Nine Brown Algae from the Iberian Northwestern Coastline: Influence of the Extraction Solvent. Mar. Drugs 2022, 20, 113. [Google Scholar] [CrossRef]
- Lourenço-Lopes, C.; Fraga-Corral, M.; Garcia-Perez, P.; Carreira-Casais, A.; Silva, A.; Simal-Gandara, J.; Prieto, M.A. A HPLC-DAD Method for Identifying and Estimating the Content of Fucoxanthin, Β-carotene and Chlorophyll a in Brown Algal Extracts. Food Chem. Adv. 2022, 1, 100095. [Google Scholar] [CrossRef]
- Zapata, M.; Rodríguez, F.; Garrido, J.L. Separation of Chlorophylls and Carotenoids from Marine Phytoplankton: A New HPLC Method Using a Reversed Phase C8 Column and Pyridine-Containing Mobile Phases. Mar. Ecol. Prog. Ser. 2000, 195, 29–45. [Google Scholar] [CrossRef]
- Pedro, B.; Guedes, L.; André, R.; Gaspar, H.; Vaz, P.; Ascensão, L.; Melo, R.; Luísa Serralheiro, M. Undaria pinnatifida (U. pinnatifida) Bioactivity: Antioxidant, Gastro-Intestinal Motility, Cholesterol Biosynthesis and Liver Cell Lines Proteome. J. Funct. Foods 2021, 83, 104567. [Google Scholar] [CrossRef]
- Cassani, L.; Lourenço-Lopes, C.; Barral-Martinez, M.; Chamorro, F.; Garcia-Perez, P.; Simal-Gandara, J.; Prieto, M.A. Thermochemical Characterization of Eight Seaweed Species and Evaluation of Their Potential Use as an Alternative for Biofuel Production and Source of Bioactive Compounds. Int. J. Mol. Sci. 2022, 23, 2355. [Google Scholar] [CrossRef]
- Neumann, U.; Derwenskus, F.; Flister, V.F.; Schmid-staiger, U.; Hirth, T.; Bischo, S.C. Fucoxanthin, A Carotenoid Derived from Phaeodactylum Tricornutum Exerts Antiproliferative and Antioxidant Activities In Vitro. Antioxidants 2019, 8, 183. [Google Scholar] [CrossRef]
- Lourenço-Lopes, C.; Fraga-Corral, M.; Soria-Lopez, A.; Nuñes-Estevez, B.; Barral-Martinez, M.; Silva, A.; Li, N.; Liu, C.; Simal-Gandara, J.; Prieto, M.A. Fucoxanthin’s Optimization from Undaria Pinnatifida Using Conventional Heat Extraction, Bioactivity Assays and in Silico Studies. Antioxidants 2022, 11, 1296. [Google Scholar] [CrossRef] [PubMed]
- Sachindra, N.M.; Sato, E.; Maeda, H.; Hosokawa, M.; Niwano, Y.; Kohno, M.; Miyashita, K. Radical Scavenging and Singlet Oxygen Quenching Activity of Marine Carotenoid Fucoxanthin and Its Metabolites. J. Agric. Food Chem. 2007, 55, 8516–8522. [Google Scholar] [CrossRef] [PubMed]
- Zhang, Y.; Fang, H.; Xie, Q.; Sun, J.; Liu, R.; Hong, Z.; Yi, R.; Wu, H. Comparative Evaluation of the Radical-Scavenging Activities of Fucoxanthin and Its Stereoisomers. Molecules 2014, 19, 2100–2113. [Google Scholar] [CrossRef]
- Heo, S.J.; Yoon, W.J.; Kim, K.N.; Ahn, G.N.; Kang, S.M.; Kang, D.H.; Affan, A.; Oh, C.; Jung, W.K.; Jeon, Y.J. Evaluation of Anti-Inflammatory Effect of Fucoxanthin Isolated from Brown Algae in Lipopolysaccharide-Stimulated RAW 264.7 Macrophages. Food Chem. Toxicol. 2010, 48, 2045–2051. [Google Scholar] [CrossRef]
- Asai, A.; Sugawara, T.; Ono, H.; Nagao, A. Biotransformation of fucoxanthinol into amarouciaxanthin a in mice and hepg2 cells: Formation and cytotoxicity of fucoxanthin metabolites. Drug Metab. Dispos. 2004, 32, 205–211. [Google Scholar] [CrossRef] [PubMed]
- Yu, J.; Lin, J.J.; Yu, R.; He, S.; Wang, Q.W.; Cui, W.; Zhang, J.R. Fucoxanthin Prevents H2O2-Induced Neuronal Apoptosis via Concurrently Activating the PI3-K/Akt Cascade and Inhibiting the ERK Pathway. Food Nutr. Res. 2017, 61, 1304678. [Google Scholar] [CrossRef]
- Sivagnanam, S.P.; Yin, S.; Choi, J.H.; Park, Y.B.; Woo, H.C.; Chun, B.S. Biological Properties of Fucoxanthin in Oil Recovered from Two Brown Seaweeds Using Supercritical CO2 Extraction. Mar. Drugs 2015, 13, 3422–3442. [Google Scholar] [CrossRef]
- Karpiński, T.M.; Adamczak, A. Fucoxanthin—An Antibacterial Carotenoid. Antioxidants 2019, 8, 239. [Google Scholar] [CrossRef]
- Liu, Z.; Sun, X.; Sun, X.; Wang, S.; Xu, Y. Fucoxanthin Isolated from Undaria pinnatifida Can Interact with Escherichia coli and Lactobacilli in the Intestine and Inhibit the Growth of Pathogenic Bacteria. J. Ocean Univ. China 2019, 18, 926–932. [Google Scholar] [CrossRef]
- Silva, A.; Rodrigues, C.; Garcia-Oliveira, P.; Lourenço-Lopes, C.; Silva, S.A.; Garcia-Perez, P.; Carvalho, A.P.; Domingues, V.F.; Barroso, M.F.; Delerue-Matos, C.; et al. Screening of Bioactive Properties in Brown Algae from the Northwest Iberian Peninsula. Foods 2021, 10, 1915. [Google Scholar] [CrossRef]
- Kawee-ai, A.; Kuntiya, A.; Kim, S.M. Anticholinesterase and Antioxidant Activities of Fucoxanthin Purified from the Microalga Phaeodactylum Tricornutum. Nat. Prod. Commun. 2013, 8, 1381–1386. [Google Scholar] [CrossRef]
- Ingkaninan, K.; De Best, C.M.; Van Der Heijden, R.; Hofte, A.J.P.; Karabatak, B.; Irth, H.; Tjaden, U.R.; Van Der Greef, J.; Verpoorte, R. High-Performance Liquid Chromatography with on-Line Coupled UV, Mass Spectrometric and Biochemical Detection for Identification of Acetylcholinesterase Inhibitors from Natural Products. J. Chromatogr. A 2000, 872, 61–73. [Google Scholar] [CrossRef]
- Delerue, T.; Fátima Barroso, M.; Dias-Teixeira, M.; Figueiredo-González, M.; Delerue-Matos, C.; Grosso, C. Interactions between Ginkgo Biloba L. and Scutellaria Baicalensis Georgi in Multicomponent Mixtures towards Cholinesterase Inhibition and ROS Scavenging. Food Res. Int. 2021, 140, 109857. [Google Scholar] [CrossRef]
- Li, N.; Gao, X.; Zheng, L.; Huang, Q.; Zeng, F.; Chen, H.; Farag, M.A.; Zhao, C. Advances in Fucoxanthin Chemistry and Management of Neurodegenerative Diseases. Phytomedicine 2022, 105, 154352. [Google Scholar] [CrossRef]
- Hu, L.; Chen, W.; Tian, F.; Yuan, C.; Wang, H.; Yue, H. Neuroprotective Role of Fucoxanthin against Cerebral Ischemic/Reperfusion Injury through Activation of Nrf2/HO-1 Signaling. Biomed. Pharmacother. 2018, 106, 1484–1489. [Google Scholar] [CrossRef]
- Zhang, L.; Wang, H.; Fan, Y.; Gao, Y.; Li, X.; Hu, Z.; Ding, K.; Wang, Y.; Wang, X. Fucoxanthin Provides Neuroprotection in Models of Traumatic Brain Injury via the Nrf2-ARE and Nrf2-Autophagy Pathways. Sci. Rep. 2017, 7, 46763. [Google Scholar] [CrossRef]
- Lin, J.; Huang, L.; Yu, J.; Xiang, S.; Wang, J.; Zhang, J.; Yan, X.; Cui, W.; He, S.; Wang, Q. Fucoxanthin, a Marine Carotenoid, Reverses Scopolamine-Induced Cognitive Impairments in Mice and Inhibits Acetylcholinesterase in Vitro. Mar. Drugs 2016, 14, 67. [Google Scholar] [CrossRef]
- Murado, M.A.; Prieto, M.A. Dose-Response Analysis in the Joint Action of Two Effectors. A New Approach to Simulation, Identification and Modelling of Some Basic Interactions. PLoS ONE 2013, 8, e61391. [Google Scholar]
- Prikler, S. Robert de Levie: Advanced Excel for scientific data analysis, 2nd ed. Anal. Bioanal. Chem. 2009, 395, 1945–1946. [Google Scholar] [CrossRef]
- Heleno, S.A.; Diz, P.; Prieto, M.A.; Barros, L.; Rodrigues, A.; Barreiro, M.F.; Ferreira, I.C.F.R. Optimization of Ultrasound-Assisted Extraction to Obtain Mycosterols from Agaricus Bisporus L. by Response Surface Methodology and Comparison with Conventional Soxhlet Extraction. Food Chem. 2016, 197, 1054–1063. [Google Scholar] [CrossRef] [PubMed]
- Comuzzi, C.; Polese, P.; Melchior, A.; Portanova, R.; Tolazzi, M. SOLVERSTAT: A New Utility for Multipurpose Analysis. An Application to the Investigation of Dioxygenated Co (II) Complex Formation in Dimethylsulfoxide Solution. Talanta 2003, 59, 67–80. [Google Scholar] [CrossRef] [PubMed]
- Prieto, M.A.; Vázquez, J.A.; Murado, M.A. Crocin Bleaching Antioxidant Assay Revisited: Application to Microplate to Analyse Antioxidant and pro-Oxidant Activities. Food Chem. 2015, 167, 299–310. [Google Scholar] [CrossRef] [PubMed]
- Smirnoff, N.; Cumbes, Q.J. Hydroxyl Radical Scavenging Activity of Compatible Solutes. Phytochemistry 1989, 28, 1057–1060. [Google Scholar] [CrossRef]
- Soares, C.; Paíga, P.; Marques, M.; Neto, T.; Carvalho, A.P.; Paiva, A.; Simões, P.; Costa, L.; Bernardo, A.; Fernández, N.; et al. Multi-Step Subcritical Water Extracts of Fucus Vesiculosus L. and Codium Tomentosum Stackhouse: Composition, Health-Benefits and Safety. Processes 2021, 9, 893. [Google Scholar] [CrossRef]
- Calhelha, R.C.; Martínez, M.A.; Prieto, M.A.; Ferreira, I.C.F.R. Mathematical Models of Cytotoxic Effects in Endpoint Tumor Cell Line Assays: Critical Assessment of the Application of a Single Parametric Value as a Standard Criterion to Quantify the Dose-Response Effects and New Unexplored Proposal Formats. Analyst 2017, 142, 4124–4141. [Google Scholar] [CrossRef]
- Maia, M.L.; Grosso, C.; Barroso, M.F.; Silva, A.; Delerue-matos, C.; Domingues, V.F. Bioactive Compounds of Shrimp Shell Waste from Palaemon Serratus and Palaemon Varians from Portuguese Coast. Antioxidants 2023, 12, 435. [Google Scholar] [CrossRef]
- Paz, M.; Gúllon, P.; Barroso, M.F.; Carvalho, A.P.; Domingues, V.F.; Gomes, A.M.; Becker, H.; Longhinotti, E.; Delerue-Matos, C. Brazilian Fruit Pulps as Functional Foods and Additives: Evaluation of Bioactive Compounds. Food Chem. 2015, 172, 462–468. [Google Scholar] [CrossRef]
- CLSI. Performance Standards for Antimicrobial Disk Susceptibility Test: Approved Atandard; Clinical and Laboratory Standards Institute: Wayne, PA, USA, 2012; ISBN 1562387812. [Google Scholar]
- Ellman, G.L.; Courtney, K.D.; Andres, V.; Featherstone, R.M. A New and Rapid Colorimetric Determination of Acetylcholinesterase Activity. Biochem. Pharmacol. 1961, 7, 88–95. [Google Scholar] [CrossRef]




| Extraction Variables | Extraction Responses for Ethanol Solvent in Different Concentrations | ||||||||||||
|---|---|---|---|---|---|---|---|---|---|---|---|---|---|
| Y1 (mg Fx/g AS dw) | Y2 (mg E/g AS dw) | ||||||||||||
| T (°C) | t (min) | 50% | 60% | 70% | 80% | 90% | 100% | 50% | 60% | 70% | 80% | 90% | 100% |
| 5 | 30 | 0.71 | 1.90 | 1.99 | 1.76 | 1.38 | 1.08 | 394.4 | 372.5 | 390.8 | 351.1 | 199.7 | 42.7 |
| 120 | 0.52 | 3.23 | 3.35 | 2.73 | 2.26 | 1.47 | 392.4 | 400.4 | 388.8 | 362.4 | 230.3 | 41.1 | |
| 480 | 0.22 | 4.66 | 4.72 | 4.74 | 3.69 | 3.66 | 393.8 | 401.8 | 390.2 | 374.3 | 243.6 | 63.3 | |
| 1200 | 0.40 | 5.29 | 6.18 | 6.13 | 6.06 | 5.31 | 415.8 | 408.4 | 414.8 | 408.2 | 278.9 | 90.7 | |
| 2640 | 0.47 | 5.47 | 6.44 | 6.86 | 8.06 | 6.87 | 425.1 | 407.7 | 432.1 | 422.2 | 357.5 | 123.3 | |
| 4200 | 0.38 | 3.61 | 8.79 | 8.68 | 8.06 | 4.27 | 447.9 | 439.9 | 443.6 | 399.5 | 291.0 | 57.7 | |
| 5700 | 0.50 | 4.30 | 8.79 | 8.32 | 8.48 | 0.74 | 443.9 | 447.1 | 449.0 | 442.1 | 299.0 | 69.6 | |
| 9680 | 0.62 | 4.31 | 7.19 | 10.06 | 7.81 | 5.80 | 445.9 | 445.8 | 452.9 | 430.8 | 330.2 | 78.9 | |
| 25 | 15 | 0.76 | 1.24 | 2.45 | 2.45 | 1.47 | 0.86 | 394.0 | 219.9 | 391.5 | 357.9 | 231.0 | 51.1 |
| 30 | 0.44 | 2.90 | 3.82 | 3.26 | 1.88 | 1.12 | 404.5 | 383.9 | 409.0 | 371.9 | 222.9 | 34.8 | |
| 120 | 1.82 | 5.74 | 5.49 | 4.93 | 3.22 | 1.22 | 460.4 | 436.3 | 414.8 | 409.1 | 287.9 | 168.3 | |
| 480 | 0.37 | 6.45 | 6.10 | 6.02 | 4.76 | 1.70 | 428.9 | 456.0 | 419.5 | 406.7 | 303.0 | 69.6 | |
| 1200 | 0.85 | 6.53 | 6.40 | 6.23 | 5.81 | 2.09 | 430.1 | 440.9 | 433.5 | 396.3 | 326.3 | 68.5 | |
| 1680 | 0.94 | 5.98 | 5.87 | 5.42 | 5.39 | 2.25 | 415.0 | 449.1 | 412.5 | 405.6 | 334.4 | 88.2 | |
| 2640 | 0.65 | 6.13 | 5.82 | 6.13 | 6.68 | 2.31 | 416.1 | 454.9 | 420.7 | 397.4 | 349.5 | 116.1 | |
| 45 | 3 | 0.39 | 1.42 | 1.62 | 1.35 | 0.15 | 0.61 | 172.0 | 323.3 | 321.1 | 278.4 | 2.7 | 36.6 |
| 5 | 0.59 | 1.71 | 1.98 | 2.24 | 1.36 | 0.86 | 264.6 | 319.3 | 291.1 | 329.0 | 137.8 | 48.6 | |
| 15 | 0.71 | 3.95 | 4.18 | 3.35 | 2.08 | 1.01 | 430.6 | 415.9 | 407.7 | 381.0 | 217.1 | 46.6 | |
| 60 | 0.73 | 5.32 | 4.92 | 4.34 | 2.98 | 1.20 | 398.0 | 425.2 | 389.7 | 393.7 | 219.1 | 43.9 | |
| 210 | 0.89 | 5.32 | 5.55 | 4.96 | 3.73 | 1.48 | 420.6 | 419.9 | 419.7 | 403.7 | 308.3 | 51.9 | |
| 1200 | 0.90 | 4.54 | 4.69 | 5.20 | 4.74 | 2.44 | 476.0 | 433.2 | 414.3 | 423.6 | 389.5 | 70.6 | |
| 1680 | 0.77 | 4.86 | 5.42 | 4.32 | 4.37 | 2.58 | 455.3 | 441.9 | 430.3 | 413.6 | 388.9 | 74.6 | |
| 2640 | 1.17 | 4.85 | 5.11 | 3.69 | 4.36 | 2.89 | 441.3 | 419.2 | 424.3 | 435.0 | 404.2 | 90.5 | |
| 65 | 3 | 1.07 | 1.92 | 0.82 | 1.20 | 1.48 | 0.93 | 433.9 | 395.7 | 424.2 | 259.1 | 164.3 | 53.9 |
| 5 | 1.31 | 2.89 | 2.99 | 0.57 | 1.98 | 1.04 | 464.6 | 450.3 | 424.2 | 409.9 | 185.0 | 53.9 | |
| 15 | 0.48 | 3.25 | 3.33 | 3.16 | 2.62 | 1.05 | 428.6 | 441.6 | 430.8 | 436.5 | 219.5 | 47.9 | |
| 30 | 0.63 | 3.49 | 3.33 | 3.51 | 3.00 | 1.19 | 455.9 | 453.6 | 444.1 | 432.5 | 234.8 | 70.6 | |
| 60 | 1.10 | 3.59 | 3.59 | 3.45 | 3.22 | 1.43 | 441.9 | 431.6 | 461.4 | 431.9 | 244.8 | 45.3 | |
| 120 | 1.18 | 3.34 | 3.57 | 3.72 | 3.65 | 1.56 | 451.9 | 477.6 | 444.8 | 463.7 | 381.9 | 86.5 | |
| 210 | 1.22 | 3.55 | 3.84 | 4.04 | 3.87 | 1.84 | 480.6 | 443.6 | 422.9 | 419.2 | 284.1 | 93.9 | |
| 480 | 0.32 | 2.70 | 3.24 | 3.82 | 3.72 | 2.27 | 413.9 | 445.0 | 429.5 | 402.0 | 276.1 | 63.2 | |
| 1200 | 0.79 | 2.66 | 2.92 | 3.34 | 3.54 | 2.27 | 449.9 | 433.6 | 416.9 | 433.2 | 301.4 | 78.6 | |
| 85 | 3 | 1.85 | 4.22 | 4.89 | 4.75 | 3.95 | 1.77 | 469.2 | 435.2 | 406.9 | 374.6 | 331.6 | 68.6 |
| 5 | 2.11 | 4.65 | 5.19 | 5.12 | 4.44 | 1.78 | 473.2 | 433.2 | 404.2 | 364.6 | 305.6 | 67.9 | |
| 15 | 2.52 | 4.87 | 5.34 | 5.55 | 4.63 | 1.99 | 462.6 | 409.9 | 423.6 | 389.3 | 342.3 | 66.6 | |
| 30 | 2.51 | 4.92 | 5.62 | 5.45 | 5.11 | 2.24 | 462.6 | 423.2 | 396.9 | 370.6 | 340.3 | 75.9 | |
| 60 | 2.47 | 4.96 | 5.56 | 5.85 | 5.28 | 2.61 | 469.2 | 432.6 | 384.3 | 415.3 | 365.6 | 67.9 | |
| 120 | 2.40 | 4.62 | 5.25 | 4.50 | 4.93 | 2.86 | 473.2 | 425.2 | 409.6 | 412.6 | 371.6 | 80.6 | |
| 210 | 2.16 | 4.31 | 4.90 | 5.00 | 4.50 | 3.12 | 480.6 | 444.5 | 436.9 | 403.9 | 368.9 | 93.2 | |
| 480 | 1.64 | 3.58 | 4.27 | 4.18 | 3.79 | 3.60 | 487.9 | 432.6 | 425.6 | 411.3 | 305.0 | 108.8 | |
| 1200 | 1.00 | 2.38 | 3.21 | 3.15 | 2.46 | 2.43 | 465.9 | 415.2 | 412.9 | 404.6 | 305.0 | 114.6 | |
| VARIABLES | Y1 | Y2 | Y3 | |||||||||||||
|---|---|---|---|---|---|---|---|---|---|---|---|---|---|---|---|---|
| T | S | kY1 | rY1 | R2 | kY2 | rY2 | R2 | kY3 | rY3 | R2 | ||||||
| (°C) | (%) | (µg Fx/g AS) | (min−1) | (mg E/g AS) | (min−1) | (mg Fx/g E) | (min−1) | |||||||||
| 5 | 50 | 440 | ±330.6 | 0.089 | ±0.001 | 0.6439 | 424 | ±13.2 | 0.089 | ±0.042 | 0.9787 | 1.1 | ns | 0.094 | ns | 0.4885 |
| 60 | 4787 | ±332.3 | 0.012 | ±0.004 | 0.9825 | 422 | ±13.2 | 0.072 | ±0.025 | 0.9825 | 10.8 | ±2.1 | 0.016 | ns | 0.9825 | |
| 70 | 7533 | ±348.5 | 0.003 | ±0.001 | 0.9731 | 424 | ±13.2 | 0.084 | ±0.037 | 0.9731 | 16.6 | ±2.3 | 0.005 | ±0.004 | 0.9731 | |
| 80 | 7737 | ±414.2 | 0.002 | ±0.001 | 0.9657 | 406 | ±13.2 | 0.067 | ±0.022 | 0.9657 | 19.4 | ±2.5 | 0.002 | ±0.002 | 0.9657 | |
| 90 | 8044 | ±582.3 | 0.001 | ±0.001 | 0.9441 | 269 | ±15.8 | 0.044 | ±0.017 | 0.9441 | 24.0 | ±3.3 | 0.003 | ±0.002 | 0.9441 | |
| 100 | 5554 | ±477.1 | 0.002 | ±0.001 | 0.8202 | 75 | ±17.6 | 0.011 | ns | 0.8202 | 61.4 | ±2.7 | 0.009 | ±0.002 | 0.8202 | |
| 25 | 50 | 704 | ±369.6 | 0.165 | ±0.001 | 0.6771 | 427 | ±14.7 | 0.165 | ±0.070 | 0.9887 | 2.0 | ns | 0.159 | ns | 0.3498 |
| 60 | 6288 | ±358.0 | 0.019 | ±0.005 | 0.9912 | 449 | ±15.6 | 0.052 | ±0.009 | 0.9912 | 13.9 | ±2.4 | 0.029 | ±0.025 | 0.9912 | |
| 70 | 5964 | ±338.9 | 0.034 | ±0.009 | 0.9978 | 419 | ±14.6 | 0.179 | ±0.089 | 0.9978 | 14.2 | ±2.4 | 0.037 | ±0.030 | 0.9978 | |
| 80 | 5912 | ±390.1 | 0.028 | ±0.008 | 0.9948 | 400 | ±14.8 | 0.143 | ±0.053 | 0.9948 | 14.3 | ±2.4 | 0.035 | ±0.028 | 0.9948 | |
| 90 | 5286 | ±434.6 | 0.010 | ±0.004 | 0.9341 | 317 | ±15.5 | 0.064 | ±0.017 | 0.9341 | 16.6 | ±2.5 | 0.020 | ±0.015 | 0.9341 | |
| 100 | 1843 | ±384.5 | 0.031 | ±0.029 | 0.7484 | 85 | ±17.5 | 0.030 | ±0.028 | 0.7484 | 23.5 | ±2.5 | 0.132 | ±0.117 | 0.7484 | |
| 45 | 50 | 808 | ±344.4 | 0.232 | ns | 0.9550 | 438 | ±15.6 | 0.177 | ±0.031 | 0.9811 | 2.1 | ns | 0.269 | ns | 0.5246 |
| 60 | 5018 | ±369.5 | 0.098 | ±0.031 | 0.9787 | 425 | ±15.7 | 0.382 | ±0.076 | 0.9787 | 11.6 | ±2.6 | 0.133 | ±0.129 | 0.9787 | |
| 70 | 5254 | ±367.8 | 0.105 | ±0.032 | 0.9594 | 409 | ±15.7 | 0.377 | ±0.078 | 0.9594 | 12.3 | ±2.5 | 0.155 | ±0.141 | 0.9594 | |
| 80 | 4676 | ±367.6 | 0.105 | ±0.036 | 0.9862 | 403 | ±15.7 | 0.368 | ±0.076 | 0.9862 | 11.2 | ±2.5 | 0.171 | ±0.171 | 0.9862 | |
| 90 | 4141 | ±411.6 | 0.037 | ±0.017 | 0.8638 | 333 | ±18.2 | 0.060 | ±0.015 | 0.8638 | 11.9 | ±2.4 | 0.235 | ±0.222 | 0.8638 | |
| 100 | 1962 | ±387.6 | 0.058 | ±0.052 | 0.7838 | 58 | ±15.8 | 0.339 | ns | 0.7838 | 30.1 | ±2.5 | 0.185 | ±0.069 | 0.7838 | |
| 65 | 50 | 900 | ±330.6 | 1.062 | ns | 0.5905 | 453 | ±13.2 | 1.062 | ±0.664 | 0.9916 | 2.0 | ±2.0 | 1.164 | ns | 0.4409 |
| 60 | 3093 | ±279.4 | 5.320 | ns | 0.9909 | 450 | ±13.9 | 0.733 | ±0.241 | 0.9909 | 7.4 | ±2.1 | 0.403 | ns | 0.9909 | |
| 70 | 3520 | ±350.6 | 0.205 | ±0.093 | 0.9906 | 437 | ±13.6 | 1.120 | ±0.825 | 0.9906 | 8.0 | ±2.2 | 0.216 | ns | 0.9906 | |
| 80 | 3661 | ±308.3 | 0.131 | ±0.074 | 0.9708 | 433 | ±14.3 | 0.376 | ±0.071 | 0.9708 | 8.8 | ±2.5 | 0.100 | ns | 0.9708 | |
| 90 | 3458 | ±330.5 | 0.146 | ±0.067 | 0.8919 | 261 | ±14.6 | 0.276 | ±0.080 | 0.8919 | 12.3 | ±2.1 | 0.439 | ns | 0.8919 | |
| 100 | 1591 | ±316.5 | 0.207 | ±0.204 | 0.7444 | 74 | ±14.4 | 0.335 | ns | 0.7444 | 24.0 | ±2.1 | 0.377 | ±0.194 | 0.7444 | |
| 85 | 50 | 2209 | ±280.7 | 1.951 | ns | 0.8523 | 478 | ±11.8 | 1.331 | ns | 0.9868 | 4.1 | ±1.8 | 1.308 | ns | 0.4123 |
| 60 | 4516 | ±279.4 | 7.167 | ns | 0.9942 | 429 | ±11.7 | 7.167 | ns | 0.9942 | 9.3 | ±1.7 | 7.156 | ns | 0.9942 | |
| 70 | 5129 | ±280.3 | 2.146 | ns | 0.9864 | 411 | ±11.8 | 1.533 | ns | 0.9864 | 11.3 | ±1.7 | 1.813 | ns | 0.9864 | |
| 80 | 5096 | ±289.8 | 0.910 | ±0.786 | 0.9800 | 401 | ±12.1 | 0.798 | ±0.326 | 0.9800 | 11.5 | ±1.8 | 1.580 | ns | 0.9800 | |
| 90 | 4690 | ±301.8 | 5.061 | ns | 0.9417 | 337 | ±11.9 | 1.176 | ns | 0.9417 | 12.0 | ±1.8 | 1.452 | ns | 0.9417 | |
| 100 | 2711 | ±286.3 | 0.253 | ±0.146 | 0.6906 | 91 | ±12.4 | 0.363 | ±0.318 | 0.6906 | 29.1 | ±1.8 | 0.648 | ±0.410 | 0.6906 | |
| Responses | Constants | Kinetic Parameters | Trend | Dependence |
|---|---|---|---|---|
| Y1 (µg Fx/g AS) | Same solvent | k | constant | not depend on T |
| r | increases with T | depend on T | ||
| Same temperature | k | increases and decreases with S (curve) | depend on S | |
| r | constant | not depend on S | ||
| Y2 (mg E/g AS) | Same solvent | k | constant | not depend on T |
| r | increases with T | depend on T | ||
| Same temperature | k | decreases with S | depend on S | |
| r | constant | not depend on S | ||
| Y3 (mg Fx/g E) | Same solvent | k | constant | not depend on T |
| r | increases with T | depend on T | ||
| Same temperature | k | constant | not depend on S | |
| r | constant | not depend on S |
| Y1 | Y2 | Y3 | Control | |
|---|---|---|---|---|
| HPLC-DAD analysis (mg/g dw) | ||||
| Chl c | 0.17 | 0.02 | 0.04 | Chl a standard |
| Fx | 4.53 | 3.82 | 4.42 | Fx standard |
| Fx derivative | 0.24 | 0.27 | 0.26 | Fx standard |
| Lutein | 0.02 | uql. | 0.01 | Lutein standard |
| Chl a | 0.14 | 0.07 | 0.25 | Chl a standard |
| Analysis of secondary metabolites | ||||
| TPC (mg GAE/g dw) | 3.43 ± 0.40 | 3.26 ± 1.35 | 2.04 ± 0.20 | - |
| TFC (µg QE/g dw) | 90.47 ± 5.45 | 54.17 ± 3.17 | 86.20 ± 5.95 | - |
| Antioxidant activity | ||||
| Quercetin | ||||
| DPPH (EC50 mg/mL) | 3.15 ± 0.83 | 2.67 ± 0.80 | 1.82 ± 0.95 | 0.80 ± 0.04 |
| ABTS•+ (EC50 mg/mL) | 1.00 ± 1.09 | 2.67 ± 0.80 | 0.92 ± 0.92 | 0.14 ± 0.01 |
| Crocin (EC50 mg/mL) | 11.52 ± 1.07 | 7.01 ± 1.09 | 13.13 ± 0.10 | 6.67 ± 0.33 |
| Ascorbic acid | ||||
| ●HO radical (EC50 mg/mL) | 2.00 ± 0.84 | 1.76 ± 0.78 | 0.44 ± 1.93 | 0.45 ± 0.02 |
| ●NO radical (EC50 mg/mL) | 11.76 ± 0.54 | 12.62 ± 0.53 | 10.48 ± 0.58 | 0.18 ± 0.01 |
| Cholinesterase inhibitory activity | ||||
| Galantamine | ||||
| AChE (inhibition %) | 25.75 ± 13.31 | 4.54 ± 8.06 | 32.85 ± 7.46 | 95.85 ± 0.82 |
| BuChE (inhibition %) | - | 2.32 ± 10.79 | 5.72 ± 11.57 | 69.78 ± 1.43 |
| Antimicrobial activity (halo inhibition in mm) | ||||
| Lactic acid | ||||
| S. aureus | 9.14 ± 1.05 | 11.94 ± 1.70 | 11.40 ± 0.09 | 16.15 ± 2.46 |
| B. cereus | 10.97 ± 1.06 | 9.73 ± 0.19 | 11.46 ± 0.40 | 19.09 ± 2.93 |
| P. aeruginosa | 12.84 ± 0.62 | 12.69 ± 1.79 | 11.96 ± 0.75 | 20.28 ± 0.72 |
| S. enteritidis | 13.70 ± 2.70 | 12.76 ± 2.32 | 10.78 ± 1.11 | 18.25 ± 0.42 |
| E. coli | - | - | - | 17.82 ± 0.56 |
Disclaimer/Publisher’s Note: The statements, opinions and data contained in all publications are solely those of the individual author(s) and contributor(s) and not of MDPI and/or the editor(s). MDPI and/or the editor(s) disclaim responsibility for any injury to people or property resulting from any ideas, methods, instructions or products referred to in the content. |
© 2023 by the authors. Licensee MDPI, Basel, Switzerland. This article is an open access article distributed under the terms and conditions of the Creative Commons Attribution (CC BY) license (https://creativecommons.org/licenses/by/4.0/).
Share and Cite
Lourenço-Lopes, C.; Silva, A.; Garcia-Oliveira, P.; Soria-Lopez, A.; Echave, J.; Grosso, C.; Cassani, L.; Barroso, M.F.; Simal-Gandara, J.; Fraga-Corral, M.; et al. Kinetic Extraction of Fucoxanthin from Undaria pinnatifida Using Ethanol as a Solvent. Mar. Drugs 2023, 21, 414. https://doi.org/10.3390/md21070414
Lourenço-Lopes C, Silva A, Garcia-Oliveira P, Soria-Lopez A, Echave J, Grosso C, Cassani L, Barroso MF, Simal-Gandara J, Fraga-Corral M, et al. Kinetic Extraction of Fucoxanthin from Undaria pinnatifida Using Ethanol as a Solvent. Marine Drugs. 2023; 21(7):414. https://doi.org/10.3390/md21070414
Chicago/Turabian StyleLourenço-Lopes, Catarina, Aurora Silva, Paula Garcia-Oliveira, Anton Soria-Lopez, Javier Echave, Clara Grosso, Lucia Cassani, Maria Fatima Barroso, Jesus Simal-Gandara, Maria Fraga-Corral, and et al. 2023. "Kinetic Extraction of Fucoxanthin from Undaria pinnatifida Using Ethanol as a Solvent" Marine Drugs 21, no. 7: 414. https://doi.org/10.3390/md21070414
APA StyleLourenço-Lopes, C., Silva, A., Garcia-Oliveira, P., Soria-Lopez, A., Echave, J., Grosso, C., Cassani, L., Barroso, M. F., Simal-Gandara, J., Fraga-Corral, M., & Prieto, M. A. (2023). Kinetic Extraction of Fucoxanthin from Undaria pinnatifida Using Ethanol as a Solvent. Marine Drugs, 21(7), 414. https://doi.org/10.3390/md21070414

