Seasonal Monitoring of Volatiles and Antioxidant Activity of Brown Alga Cladostephus spongiosus
Abstract
1. Introduction
2. Results and Discussion
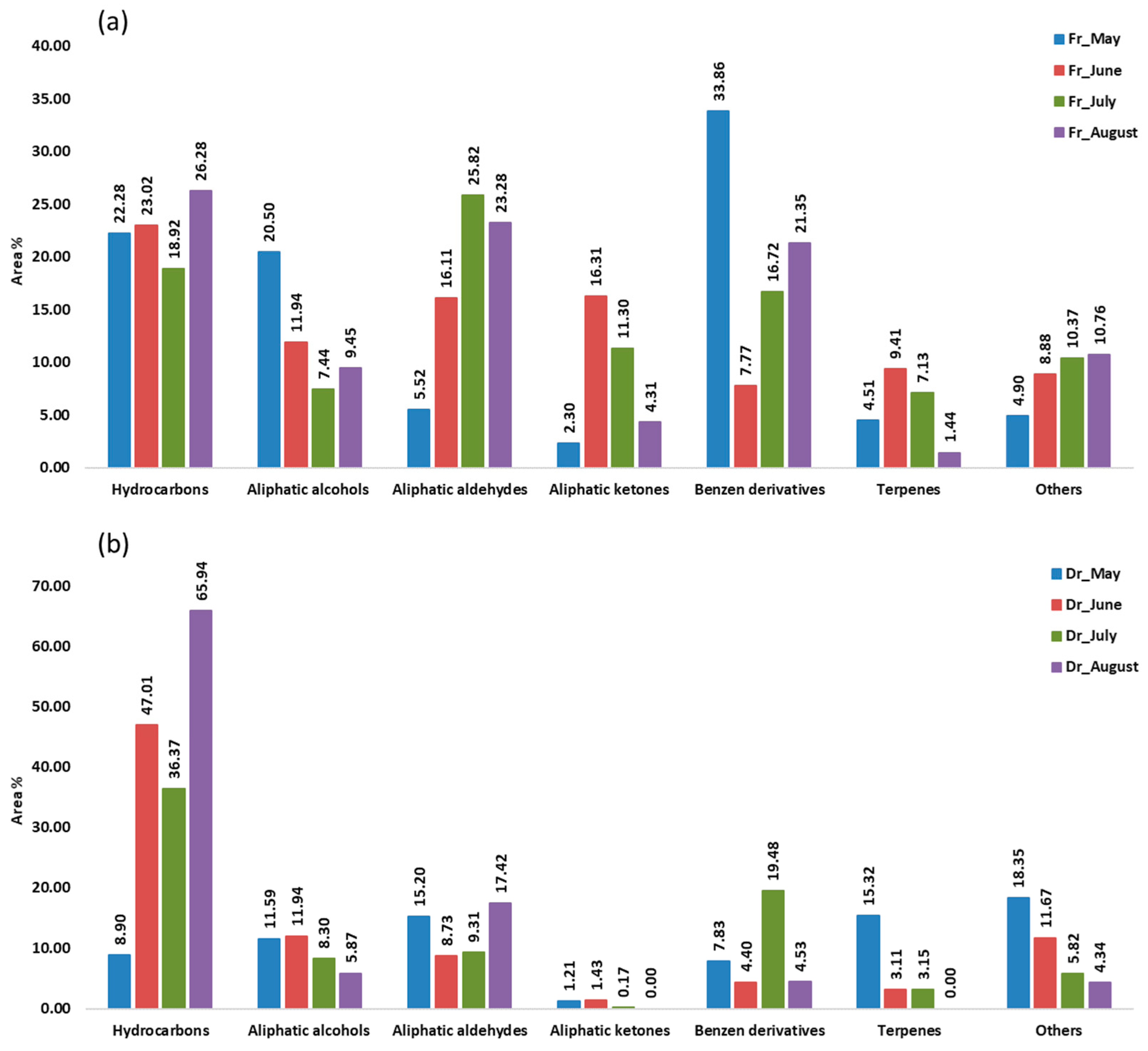
2.1. Headspace Volatilome Variations of C. spongiosus
2.2. Statistical Analysis of the Headspace VOCs
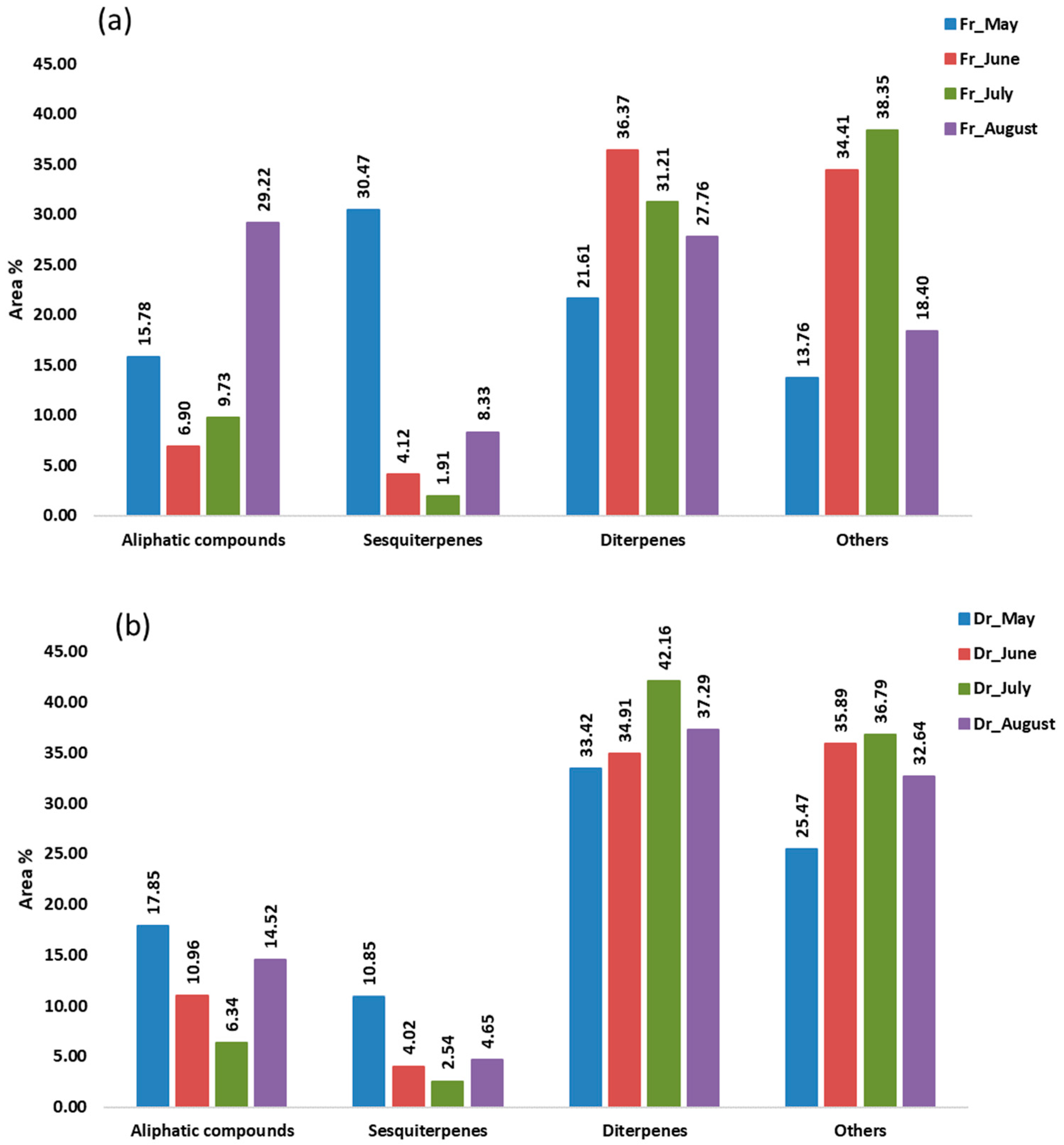
2.3. Hydrodistillation Obtained Volatilome Variations of C. spongiosus
2.4. Statistical Analysis of the VOCs Obtained via Hydrodistillation
2.5. Antioxidant Activity of Ethanol Extracts In Vitro
2.6. Non-Target Screening of Non-Volatile Compounds in Ethanol Extract
3. Materials and Methods
3.1. Macroalga Samples
3.2. Headspace Solid-Phase Microextraction (HS-SPME)
3.3. Hydrodistillation (HD)
3.4. Gas Chromatography–Mass Spectrometry Analysis (GC–MS)
3.5. Ultra-High Performance Liquid Chromatography-High-Resolution Mass Spectrometry (UHPLC-ESI-HRMS) of Ethanol Extract
3.6. Antioxidant Activity of Extracts
3.7. Statistical Analyses
4. Conclusions
Author Contributions
Funding
Institutional Review Board Statement
Data Availability Statement
Acknowledgments
Conflicts of Interest
References
- Heesch, S.; Rindi, F.; Guiry, M.D.; Nelson, W.A. Molecular Phylogeny and Taxonomic Reassessment of the Genus Cladostephus (Sphacelariales, Phaeophyceae). Eur. J. Phycol. 2020, 55, 426–443. [Google Scholar] [CrossRef]
- Antolić, B.; Špan, A.; Žuljević, A.; Nikolić, V.; Grubelić, I.; Despalatović, M.; Cvitković, I. A Checklist of the Benthic Marine Macroalgae from the Eastern Adriatic Coast: II. Heterokontophyta: Phaeophyceae. Acta Adriat. 2010, 51, 9–33. [Google Scholar]
- Mazariegos-Villareal, A.; Riosmena-Rodríguez, R.; Rosa Rivera-Camacho, A.; Serviere-Zaragoza, E. First Report of Cladostephus Spongiosus (Sphacelariales: Phaeophyta) from the Pacific Coast of Mexico. Bot. Mar. 2010, 53, 153–157. [Google Scholar] [CrossRef]
- Chiboub, O.; Ktari, L.; Sifaoui, I.; López-Arencibia, A.; Reyes-Batlle, M.; Mejri, M.; Valladares, B.; Abderrabba, M.; Piñero, J.E.; Lorenzo-Morales, J. In Vitro Amoebicidal and Antioxidant Activities of Some Tunisian Seaweeds. Exp. Parasitol. 2017, 183, 76–80. [Google Scholar] [CrossRef] [PubMed]
- Zbakh, H.; Chiheb, H.; Bouziane, H.; Sánchez, V.M.; Riadi, H. Antibacterial Activity of Benthic Marine Algae Extracts from the Mediterranean Coast of Morocco. J. Microbiol. Biotechnol. Food Sci. 2012, 2, 219–228. [Google Scholar]
- Pinteus, S.; Silva, J.; Alves, C.; Horta, A.; Fino, N.; Rodrigues, A.I.; Mendes, S.; Pedrosa, R. Cytoprotective Effect of Seaweeds with High Antioxidant Activity from the Peniche Coast (Portugal). Food Chem. 2017, 218, 591–599. [Google Scholar] [CrossRef]
- Kilic, M.; Orhan, I.E.; Eren, G.; Okudan, E.S.; Estep, A.S.; Bencel, J.J.; Tabanca, N. Insecticidal Activity of Forty-Seven Marine Algae Species from the Mediterranean, Aegean, and Sea of Marmara in Connection with Their Cholinesterase and Tyrosinase Inhibitory Activity. S. Afr. J. Bot. 2021, 143, 435–442. [Google Scholar] [CrossRef]
- El Zawawy, N.A.; El-Shenody, R.A.; Ali, S.S.; El-Shetehy, M. A Novel Study on the Inhibitory Effect of Marine Macroalgal Extracts on Hyphal Growth and Biofilm Formation of Candidemia Isolates. Sci. Rep. 2020, 10, 9339. [Google Scholar] [CrossRef]
- Čagalj, M.; Skroza, D.; Tabanelli, G.; Özogul, F.; Šimat, V. Maximizing the Antioxidant Capacity of Padina pavonica by Choosing the Right Drying and Extraction Methods. Processes 2021, 9, 587. [Google Scholar] [CrossRef]
- Čagalj, M.; Fras Zemljič, L.; Kraševac Glaser, T.; Mežnar, E.; Sterniša, M.; Smole Možina, S.; Razola-Díaz, M.d.C.; Šimat, V. Seasonal Changes in Chemical Profile and Antioxidant Activity of Padina pavonica Extracts and Their Application in the Development of Bioactive Chitosan/PLA Bilayer Film. Foods 2022, 11, 3847. [Google Scholar] [CrossRef]
- Čagalj, M.; Skroza, D.; Razola-Díaz, M.D.C.; Verardo, V.; Bassi, D.; Frleta, R.; Mekinić, I.G.; Tabanelli, G.; Šimat, V. Variations in the Composition, Antioxidant and Antimicrobial Activities of Cystoseira compressa during Seasonal Growth. Mar. Drugs 2022, 20, 64. [Google Scholar] [CrossRef]
- El Hattab, M. Algae Essential Oils: Chemistry, Ecology, and Biological Activities. In Essential Oils-Bioactive Compounds, New Perspectives and Applications; IntechOpen: London, UK, 2020. [Google Scholar] [CrossRef]
- Whitfield, F.B.; Helidoniotis, F.; Shaw, K.J.; Svoronos, D. Distribution of Bromophenols in Species of Marine Algae from Eastern Australia. J. Agric. Food Chem. 1999, 47, 2367–2373. [Google Scholar] [CrossRef]
- Pereira, H.; Barreira, L.; Figueiredo, F.; Custódio, L.; Vizetto-Duarte, C.; Polo, C.; Rešek, E.; Aschwin, E.; Varela, J. Polyunsaturated Fatty Acids of Marine Macroalgae: Potential for Nutritional and Pharmaceutical Applications. Mar. Drugs 2012, 10, 1920–1935. [Google Scholar] [CrossRef] [PubMed]
- Rubiño, S.; Peteiro, C.; Aymerich, T.; Hortós, M. Brown Macroalgae (Phaeophyceae): A Valuable Reservoir of Antimicrobial Compounds on Northern Coast of Spain. Mar. Drugs 2022, 20, 775. [Google Scholar] [CrossRef] [PubMed]
- Youngblood, W.W.; Blumer, M. Alkanes and Alkenes in Marine Benthic Algae. Mar. Biol. 1973, 21, 163–172. [Google Scholar] [CrossRef]
- Zhang, J.; Wei, Z.; Zhang, H.; Xie, L.; Vincenzetti, S.; Polidori, P.; Li, L.; Liu, G. Changes in the Physical–Chemical Properties and Volatile Flavor Components of Dry-Cured Donkey Leg during Processing. Foods 2022, 11, 3542. [Google Scholar] [CrossRef]
- Herrero-Garcia, E.; Garzia, A.; Cordobés, S.; Espeso, E.A.; Ugalde, U. 8-Carbon Oxylipins Inhibit Germination and Growth, and Stimulate Aerial Conidiation in Aspergillus nidulans. Fungal Biol. 2011, 115, 393–400. [Google Scholar] [CrossRef]
- Jian, Q.; Zhu, X.; Chen, J.; Zhu, Z.; Yang, R.; Luo, Q.; Chen, H.; Yan, X. Analysis of Global Metabolome by Gas Chromatography-Mass Spectrometry of Pyropia haitanensis Stimulated with 1-Octen-3-Ol. J. Appl. Phycol. 2017, 29, 2049–2059. [Google Scholar] [CrossRef]
- Jerković, I.; Radman, S.; Jokić, S. Distribution and Role of Oct-1-en-3-ol in Marine Algae. Compounds 2021, 1, 125–133. [Google Scholar] [CrossRef]
- Le Pape, M.A.; Grua-Priol, J.; Prost, C.; Demaimay, M. Optimization of Dynamic Headspace Extraction of the Edible Red Algae Palmaria palmata and Identification of the Volatile Components. J. Agric. Food Chem. 2004, 52, 550–556. [Google Scholar] [CrossRef] [PubMed]
- Jerković, I.; Marijanović, Z.; Roje, M.; Kus, P.M.; Jokić, S.; Čož-Rakovac, R. Phytochemical Study of the Headspace Volatile Organic Compounds of Fresh Algae and Seagrass from the Adriatic Sea (Single Point Collection). PLoS ONE 2018, 13, 6462. [Google Scholar] [CrossRef] [PubMed]
- Cao, J.; Deng, L.; Zhu, X.M.; Fan, Y.; Hu, J.N.; Li, J.; Deng, Z.Y. Novel Approach to Evaluate the Oxidation State of Vegetable Oils Using Characteristic Oxidation Indicators. J. Agric. Food Chem. 2014, 62, 12545–12552. [Google Scholar] [CrossRef]
- Enoiu, M.; Wellman, M.; Leroy, P.; Ziegler, J.; Mitrea, N.; Siest, G.; Ea, U.; Henri, U. S Gas and Liquid Chromatography-Mass Spectrometry of Aldehydic Products from Lipid Peroxidation. Analusis 2000, 28, 285–290. [Google Scholar] [CrossRef]
- Boatright, J.; Negre, F.; Chen, X.; Kish, C.M.; Wood, B.; Peel, G.; Orlova, I.; Gang, D.; Rhodes, D.; Dudareva, N. Understanding in Vivo Benzenoid Metabolism in Petunia petal Tissue 1. Plant Physiol. 2011, 135, 1993–2011. [Google Scholar] [CrossRef]
- Jerković, I.; Cikoš, A.M.; Babić, S.; Čižmek, L.; Bojanić, K.; Aladić, K.; Ul’yanovskii, N.V.; Kosyakov, D.S.; Lebedev, A.T.; Čož-Rakovac, R.; et al. Bioprospecting of Less-Polar Constituents from Endemic Brown Macroalga Fucus virsoides J. Agardh from the Adriatic Sea and Targeted Antioxidant Effects in Vitro and in Vivo (Zebrafish Model). Mar. Drugs 2021, 19, 235. [Google Scholar] [CrossRef] [PubMed]
- Radman, S.; Cikoš, A.M.; Flanjak, I.; Babić, S.; Čižmek, L.; Šubarić, D.; Čož-Rakovac, R.; Jokić, S.; Jerković, I. Less Polar Compounds and Targeted Antioxidant Potential (In Vitro and in Vivo) of Codium adhaerens c. Agardh 1822. Pharmaceuticals 2021, 14, 944. [Google Scholar] [CrossRef]
- Radman, S.; Čižmek, L.; Babić, S.; Cikoš, A.M.; Čož-Rakovac, R.; Jokić, S.; Jerković, I. Bioprospecting of Less-Polar Fractions of Ericaria crinita and Ericaria amentacea: Developmental Toxicity and Antioxidant Activity. Mar. Drugs 2022, 20, 57. [Google Scholar] [CrossRef]
- Jerković, I.; Kranjac, M.; Marijanović, Z.; Roje, M.; Jokić, S. Chemical Diversity of Headspace and Volatile Oil Composition of Two Brown Algae (Taonia atomaria and Padina pavonica) from the Adriatic Sea. Molecules 2019, 24, 495. [Google Scholar] [CrossRef] [PubMed]
- Čagalj, M.; Radman, S.; Šimat, V.; Jerković, I. Detailed Chemical Prospecting of Volatile Organic Compounds Variations from Adriatic Macroalga Halopteris scoparia. Molecules 2022, 27, 4997. [Google Scholar] [CrossRef]
- Islam, M.T.; Ali, E.S.; Uddin, S.J.; Shaw, S.; Islam, M.A.; Ahmed, M.I.; Chandra Shill, M.; Karmakar, U.K.; Yarla, N.S.; Khan, I.N.; et al. Phytol: A Review of Biomedical Activities. Food Chem. Toxicol. 2018, 121, 82–94. [Google Scholar] [CrossRef]
- Radman, S.; Čagalj, M.; Šimat, V.; Jerković, I. Seasonal Variability of Volatilome from Dictyota dichotoma. Molecules 2022, 27, 3012. [Google Scholar] [CrossRef] [PubMed]
- Yuan, X.L.; Mao, X.X.; Du, Y.M.; Yan, P.Z.; Hou, X.D.; Zhang, Z.F. Anti-Tumor Activity of Cembranoid-Type Diterpenes Isolated from Nicotiana Tabacum L. Biomolecules 2019, 9, 45. [Google Scholar] [CrossRef] [PubMed]
- Siless, G.E.; García, M.; Pérez, M.; Blustein, G.; Palermo, J.A. Large-Scale Purification of Pachydictyol A from the Brown Alga Dictyota dichotoma Obtained from Algal Wash and Evaluation of Its Antifouling Activity against the Freshwater Mollusk Limnoperna Fortunei. J. Appl. Phycol. 2018, 30, 629–636. [Google Scholar] [CrossRef]
- Masyita, A.; Mustika Sari, R.; Dwi Astuti, A.; Yasir, B.; Rahma Rumata, N.; Bin Emran, T.; Nainu, F.; Simal-Gandara, J. Terpenes and Terpenoids as Main Bioactive Compounds of Essential Oils, Their Roles in Human Health and Potential Application as Natural Food Preservatives. Food Chem. X 2022, 13, 100217. [Google Scholar] [CrossRef]
- Herrera-Valencia, V.A.; Us-Vázquez, R.A.; Larqué-Saavedra, F.A.; Barahona-Pérez, L.F. Naturally Occurring Fatty Acid Methyl Esters and Ethyl Esters in the Green Microalga Chlamydomonas reinhardtii. Ann. Microbiol. 2012, 62, 865–870. [Google Scholar] [CrossRef]
- Yalçın, S.; Karakaş, Ö.; Okudan, E.Ş.; Kocaoba, S.; Apak, M.R. Comparative Spectrophotometric and Chromatographic Assessment of Antioxidant Capacity in Different Marine Algae. J. Aquat. Food Prod. Technol. 2023, 32, 81–94. [Google Scholar] [CrossRef]
- Mekinić, I.G.; Skroza, D.; Šimat, V.; Hamed, I.; Čagalj, M.; Perković, Z.P. Phenolic Content of Brown Algae (Pheophyceae) Species: Extraction, Identification, and Quantification. Biomolecules 2019, 9, 244. [Google Scholar] [CrossRef]
- Blaženović, I.; Kind, T.; Ji, J.; Fiehn, O. Software Tools and Approaches for Compound Identification of LC-MS/MS Data in Metabolomics. Metabolites 2018, 8, 31. [Google Scholar] [CrossRef]
- Radman, S.; Cikoš, A.M.; Babić, S.; Čižmek, L.; Čož-Rakovac, R.; Jokić, S.; Jerković, I. In Vivo and In Vitro Antioxidant Activity of Less Polar Fractions of Dasycladus vermicularis (Scopoli) Krasser 1898 and the Chemical Composition of Fractions and Macroalga Volatilome. Pharmaceuticals 2022, 15, 743. [Google Scholar] [CrossRef]
- Arafat, E.S.S.; Trimble, J.W.; Andersen, R.N.; Dass, C.; Desiderio, D.M. Identification of Fatty Acid Amides in Human Plasma. Life Sci. 1989, 45, 1679–1687. [Google Scholar] [CrossRef]
- Tanvir, R.; Javeed, A.; Rehman, Y. Fatty Acids and Their Amide Derivatives from Endophytes: New Therapeutic Possibilities from a Hidden Source. FEMS Microbiol. Lett. 2018, 365, fny114. [Google Scholar] [CrossRef]
- Farrell, E.K.; Chen, Y.; Barazanji, M.; Jeffries, K.A.; Cameroamortegui, F.; Merkler, D.J. Primary Fatty Acid Amide Metabolism: Conversion of Fatty Acids and an Ethanolamine in N 18TG 2 and SCP Cells. J. Lipid Res. 2012, 53, 247–256. [Google Scholar] [CrossRef]
- D’Oca, C.D.R.M.; Coelho, T.; Marinho, T.G.; Hack, C.R.L.; Da Costa Duarte, R.; Da Silva, P.A.; D’Oca, M.G.M. Synthesis and Antituberculosis Activity of New Fatty Acid Amides. Bioorganic Med. Chem. Lett. 2010, 20, 5255–5257. [Google Scholar] [CrossRef] [PubMed]
- Kim, M.; Snowden, S.; Suvitaival, T.; Ali, A.; Merkler, D.J.; Ahmad, T.; Westwood, S.; Baird, A.; Proitsi, P.; Nevado-Holgado, A.; et al. Primary Fatty Amides in Plasma Associated with Brain Amyloid Burden, Hippocampal Volume, and Memory in the European Medical Information Framework for Alzheimer’s Disease Biomarker Discovery Cohort. Alzheimer’s Dement. 2019, 15, 817–827. [Google Scholar] [CrossRef] [PubMed]
- Lopes, G.; Daletos, G.; Proksch, P.; Andrade, P.B.; Valentão, P. Anti-Inflammatory Potential of Monogalactosyl Diacylglycerols and a Monoacylglycerol from the Edible Brown Seaweed Fucus spiralis Linnaeus. Mar. Drugs 2014, 12, 1406–1418. [Google Scholar] [CrossRef]
- Rosário Domingues, M.; Calado, R. Lipids of Marine Algae—Biomolecules with High Nutritional Value and Important Bioactive Properties. Biomolecules 2022, 12, 10–13. [Google Scholar] [CrossRef]
- Cepas, V.; Gutiérrez-Del-río, I.; López, Y.; Redondo-Blanco, S.; Gabasa, Y.; Iglesias, M.J.; Soengas, R.; Fernández-Lorenzo, A.; López-Ibáñez, S.; Villar, C.J.; et al. Microalgae and Cyanobacteria Strains as Producers of Lipids with Antibacterial and Antibiofilm Activity. Mar. Drugs 2021, 19, 675. [Google Scholar] [CrossRef] [PubMed]
- Guo, S.S.; Wang, Z.G. Glyceroglycolipids in Marine Algae: A Review of Their Pharmacological Activity. Front. Pharmacol. 2022, 13, 8797. [Google Scholar] [CrossRef]
- Song, Y.; Zoong Lwe, Z.S.; Wickramasinghe, P.A.D.B.V.; Welti, R. Head-Group Acylation of Chloroplast Membrane Lipids. Molecules 2021, 26, 1273. [Google Scholar] [CrossRef]
- Imchen, T.; Singh, K.S. Marine Algae Colorants: Antioxidant, Anti-Diabetic Properties and Applications in Food Industry. Algal Res. 2023, 69, 102898. [Google Scholar] [CrossRef]
- Sanger, G.; Wonggo, D.; Montolalu, L.A.D.Y.; Dotulong, V. Pigments Constituents, Phenolic Content and Antioxidant Activity of Brown Seaweed Sargassum sp. IOP Conf. Ser. Earth Environ. Sci. 2022, 1033, 2057. [Google Scholar] [CrossRef]
- Saide, A.; Lauritano, C.; Ianora, A. Pheophorbide A: State of the Art. Mar. Drugs 2020, 18, 257. [Google Scholar] [CrossRef] [PubMed]
- Cho, M.; Lee, H.S.; Kang, I.J.; Won, M.H.; You, S. Antioxidant Properties of Extract and Fractions from Enteromorpha prolifera, a Type of Green Seaweed. Food Chem. 2011, 127, 999–1006. [Google Scholar] [CrossRef] [PubMed]
- Pereira, A.G.; Otero, P.; Echave, J.; Carreira-Casais, A.; Chamorro, F.; Collazo, N.; Jaboui, A.; Lourenço-Lopes, C.; Simal-Gandara, J.; Prieto, M.A. Xanthophylls from the Sea: Algae as Source of Bioactive Carotenoids. Mar. Drugs 2021, 19, 188. [Google Scholar] [CrossRef]
- Muñoz-Miranda, L.A.; Iñiguez-Moreno, M. An Extensive Review of Marine Pigments: Sources, Biotechnological Applications, and Sustainability. Aquat. Sci. 2023, 85, 68. [Google Scholar] [CrossRef]
- El Hattab, M.; Culioli, G.; Valls, R.; Richou, M.; Piovetti, L. Apo-Fucoxanthinoids and Loliolide from the Brown Alga Cladostephus spongiosus f. verticillatus (Heterokonta, Sphacelariales). Biochem. Syst. Ecol. 2008, 36, 447–451. [Google Scholar] [CrossRef]
- van den Berg, T.E.; Croce, R. The Loroxanthin Cycle: A New Type of Xanthophyll Cycle in Green Algae (Chlorophyta). Front. Plant Sci. 2022, 13, 7294. [Google Scholar] [CrossRef]
- Galasso, C.; Corinaldesi, C.; Sansone, C. Carotenoids from Marine Organisms: Biological Functions and Industrial Applications. Antioxidants 2017, 6, 96. [Google Scholar] [CrossRef]
- Ibrahim, E.A.; El-Sayed, S.M.; Murad, S.A.; Abdallah, W.E.; El-Sayed, H.S. Evaluation of the Antioxidant and Antimicrobial Activities of Fucoxanthin from Dilophys fasciola and as a Food Additive in Stirred Yoghurt. S. Afr. J. Sci. 2023, 119, 13722. [Google Scholar] [CrossRef]
- Nishino, H.; Tsushima, M.; Matsuno, T.; Tanaka, Y.; Okuzumi, J.; Murakoshi, M.; Satomi, Y.; Takayasu, J.; Tokuda, H.; Nishino, A.; et al. Anti-Neoplastic Effect of Halocynthiaxanthin, a Metabolite of Fucoxanthin. Anticancer. Drugs 1992, 3, 493–498. [Google Scholar] [CrossRef]
- Sansone, C.; Galasso, C.; Orefice, I.; Nuzzo, G.; Luongo, E.; Cutignano, A.; Romano, G.; Brunet, C.; Fontana, A.; Esposito, F.; et al. The Green Microalga Tetraselmis suecica Reduces Oxidative Stress and Induces Repairing Mechanisms in Human Cells. Sci. Rep. 2017, 7, 1215. [Google Scholar] [CrossRef]
- Vladić, J.; Jerković, I.; Radman, S.; Jazić, J.M.; Ferreira, A.; Maletić, S.; Gouveia, L. Supercritical CO2 Extract from Microalga Tetradesmus obliquus: The Effect of High-Pressure Pre-Treatment. Molecules 2022, 27, 3883. [Google Scholar] [CrossRef] [PubMed]
- Silva, J.; Alves, C.; Martins, A.; Susano, P.; Simões, M.; Guedes, M.; Rehfeldt, S.; Pinteus, S.; Gaspar, H.; Rodrigues, A.; et al. Loliolide, a New Therapeutic Option for Neurological Diseases? In Vitro Neuroprotective and Anti-Inflammatory Activities of a Monoterpenoid Lactone Isolated from Codium tomentosum. Int. J. Mol. Sci. 2021, 22, 1888. [Google Scholar] [CrossRef] [PubMed]
- Benzie, I.F.F.; Strain, J.J. The Ferric Reducing Ability of Plasma (FRAP) as a Measure of “Antioxidant Power”: The FRAP Assay. Anal. Biochem. 1996, 239, 70–76. [Google Scholar] [CrossRef] [PubMed]
- Granato, D.; Shahidi, F.; Wrolstad, R.; Kilmartin, P.; Melton, L.D.; Hidalgo, F.J.; Miyashita, K.; van Camp, J.; Alasalvar, C.; Ismail, A.B.; et al. Antioxidant Activity, Total Phenolics and Flavonoids Contents: Should We Ban in Vitro Screening Methods? Food Chem. 2018, 264, 471–475. [Google Scholar] [CrossRef] [PubMed]
- Milat, A.M.; Boban, M.; Teissedre, P.L.; Šešelja-Perišin, A.; Jurić, D.; Skroza, D.; Generalić-Mekinić, I.; Ljubenkov, I.; Volarević, J.; Rasines-Perea, Z.; et al. Effects of Oxidation and Browning of Macerated White Wine on Its Antioxidant and Direct Vasodilatory Activity. J. Funct. Foods 2019, 59, 138–147. [Google Scholar] [CrossRef]







| No. | Compound | Group | RI | Area % | |||||||
|---|---|---|---|---|---|---|---|---|---|---|---|
| May | June | July | August | ||||||||
| Fr | Dr | Fr | Dr | Fr | Dr | Fr | Dr | ||||
| HYDROCARBONS | |||||||||||
| 19 | 3,5,5-Trimethylhex-2-ene | Hydrocarbon (UnSAC) | 980 | - | - | - | 2.75 | - | 0.72 | - | - |
| 55 | 2,6,11-Trimethyldodecane | Hydrocarbon (SAC) | 1282 | - | - | - | - | 0.64 | - | 3.61 | - |
| 62 | Tetradecane | Hydrocarbon (SAC) | 1400 | - | 0.58 | - | 0.69 | - | 0.62 | - | - |
| 66 | Pentadec-1-ene | Hydrocarbon (UnSAC) | 1495 | 6.39 | 0.49 | 11.35 | 0.99 | 6.22 | 1.65 | 10.6 | 2.78 |
| 67 | Pentadecane | Hydrocarbon (SAC) | 1500 | 9.65 | 6.39 | 7.43 | 41.58 | 3.53 | 28.96 | 5.97 | 43.88 |
| 73 | (E)-Heptadec-8-ene | Hydrocarbon (UnSAC) | 1690 | 1 | - | 0.87 | - | - | - | - | - |
| 74 | Heptadec-1-ene | Hydrocarbon (UnSAC) | 1696 | 0.96 | 0.62 | 1.8 | - | 1.46 | 0.92 | 2.19 | 1.62 |
| 75 | Heptadecane | Hydrocarbon (SAC) | 1700 | 4.29 | 0.81 | 1.57 | 1 | 2.07 | 2.1 | 3.91 | 17.66 |
| 77 | (Z)-Heptadec-3-ene | Hydrocarbon (UnSAC) | 1720 | - | - | - | - | - | 1.4 | - | - |
| 78 | Octadec-1-ene | Hydrocarbon (UnSAC) | 1791 | - | - | - | - | 3.1 | - | - | - |
| 81 | Nonadec-1-ene | Hydrocarbon (UnSAC) | 1897 | - | - | - | - | 1.89 | - | - | - |
| ALIPHATIC ALCOHOLS | |||||||||||
| 1 | Ethanol | Alcohol (SAC) | <900 | 11.09 | 0.75 | 1.23 | 2.91 | 2.19 | 1.5 | 2.05 | 2.73 |
| 5 | Pent-1-en-3-ol | Alcohol (UnSAC) | <900 | 0.29 | 0.56 | 0.24 | 0.45 | 0.67 | 0.31 | - | - |
| 6 | 3-Methylbutan-1-ol | Alcohol (SAC) | <900 | - | 0.42 | - | - | - | - | - | - |
| 7 | Pentan-1-ol | Alcohol (SAC) | <900 | - | 0.38 | - | 0.28 | - | - | - | - |
| 8 | (Z)-Pent-2-en-1-ol | Alcohol (UnSAC) | <900 | 0.68 | 0.26 | 0.29 | 0.29 | 0.25 | - | 0.44 | - |
| 13 | Hexan-1-ol | Alcohol (SAC) | <900 | 0.3 | 1.47 | 0.82 | 0.62 | 2.27 | 0.82 | 1.38 | 0.66 |
| 18 | Heptan-1-ol | Alcohol (SAC) | 975 | - | 1.24 | - | 0.58 | - | - | - | - |
| 21 | Oct-1-en-3-ol | Alcohol (UnSAC) | 984 | 1.36 | 3.7 | 1.44 | 3.74 | 0.84 | 3.36 | 4.06 | 0.71 |
| 28 | 2-Ethylhexan-1-ol | Alcohol (SAC) | 1034 | - | - | 0.26 | 0.4 | - | 0.9 | - | 1.91 |
| 32 | (Z)-Oct-3-en-1-ol | Alcohol (UnSAC) | 1056 | - | - | 2.67 | - | - | - | - | - |
| 35 | (E)-Oct-2-en-1-ol | Alcohol (UnSAC) | 1073 | - | 0.58 | - | 0.74 | - | 0.66 | - | - |
| 37 | Octan-1-ol | Alcohol (SAC) | 1076 | 6.76 | 2.22 | 4.13 | 2.31 | 1.22 | 1.66 | 1.53 | 1.77 |
| 83 | (Z,Z,Z)-9,12,15-Octadecatrien-1-ol | Alcohol (UnSAC) | 2055 | - | - | 1.12 | - | - | - | - | - |
| ALIPHATIC ALDEHYDES | |||||||||||
| 3 | Butanal | Aldehyde (SAC) | <900 | 0.33 | - | - | 0.23 | - | - | 0.39 | - |
| 4 | 3-Methylbutanal | Aldehyde (SAC) | <900 | 0.31 | 0.18 | 0.39 | - | 0.36 | - | - | - |
| 9 | Hexanal | Aldehyde (SAC) | <900 | 2 | 1.04 | 3.77 | 1.12 | 5.83 | 1.3 | 4.62 | 1.84 |
| 12 | (E)-Hex-2-enal | Aldehyde (UnSAC) | <900 | 0.45 | 0.47 | 0.86 | 0.39 | 0.87 | 0.58 | 0.93 | 0.43 |
| 14 | Heptanal | Aldehyde (SAC) | 907 | - | 1.26 | - | 1.52 | - | 1.53 | - | 7.47 |
| 16 | (E)-Hept-2-enal | Aldehyde (UnSAC) | 963 | - | - | 0.26 | 0.16 | 0.45 | 0.55 | - | - |
| 26 | Octanal | Aldehyde (SAC) | 1007 | 0.57 | 2.73 | 1.06 | 0.69 | 0.58 | 0.89 | 0.64 | 1.37 |
| 27 | (E,E)-Hepta-2,4-dienal | Aldehyde (UnSAC) | 1016 | - | 0.29 | 0.35 | 0.49 | - | 0.55 | - | - |
| 34 | (E)-Oct-2-enal | Aldehyde (UnSAC) | 1064 | - | 0.47 | 0.75 | 0.66 | 0.5 | 0.73 | 2.87 | - |
| 41 | Nonanal | Aldehyde (SAC) | 1108 | 0.45 | 5.89 | 1.11 | 2.08 | 1.89 | 2.14 | 0.88 | 5.41 |
| 46 | (Z)-Non-2-enal | Aldehyde (UnSAC) | 1165 | - | - | - | - | - | - | 0.67 | - |
| 51 | Decanal | Aldehyde (SAC) | 1209 | - | 1.34 | - | - | - | - | - | 0.9 |
| 54 | (E)-Dec-2-enal | Aldehyde (UnSAC) | 1267 | - | 0.8 | - | - | - | - | - | - |
| 56 | (E,Z)-Deca-2,4-dienal | Aldehyde (UnSAC) | 1296 | - | - | 0.47 | 0.43 | 0.87 | 0.45 | 0.79 | - |
| 57 | Undecanal | Aldehyde (SAC) | 1311 | 0.74 | - | 0.47 | - | - | - | - | |
| 58 | (E,E)-Deca-2,4-dienal | Aldehyde (UnSAC) | 1320 | 0.17 | - | 0.71 | 0.49 | 0.82 | 0.6 | 1.22 | - |
| 63 | Dodecanal | Aldehyde (SAC) | 1412 | - | - | 0.51 | - | 0.78 | - | 0.9 | - |
| 68 | Tridecanal | Aldehyde (SAC) | 1514 | 1.24 | - | 4.29 | - | 8.41 | - | 4.94 | - |
| 76 | Pentadecanal | Aldehyde (SAC) | 1718 | - | - | 1.56 | - | 4.47 | - | 4.41 | - |
| ALIPHATIC KETONES | |||||||||||
| 23 | Octan-3-one | Ketone (SAC) | 991 | - | - | 0.47 | - | - | - | 1.07 | - |
| 24 | 6-Methylhept-5-en-2-one | Ketone (UnSAC) | 992 | - | 0.94 | - | 0.71 | - | - | - | - |
| 39 | (E,Z)-Octa-3,5-dien-2-one | Ketone (UnSAC) | 1097 | 2.3 | 0.27 | 15.84 | 0.71 | 11.3 | 0.17 | 3.24 | - |
| BENZENE DERIVATIVES | |||||||||||
| 17 | Benzaldehyde | Benzene derivative (aldehyde) | 970 | 22.92 | 2.39 | 4.78 | 2.35 | 13.06 | 1.88 | 16.82 | 1.74 |
| 22 | Phenol | Benzene derivative (phenol) | 986 | 4.82 | - | - | - | - | 1.29 | - | - |
| 29 | Benzyl alcohol | Benzene derivative (alcohol) | 1041 | 4.23 | 5.05 | 0.93 | 1.83 | 1.34 | 12.67 | - | 1.1 |
| 31 | Phenylacetaldehyde | Benzene derivative (aldehyde) | 1052 | - | 0.39 | 0.51 | 0.23 | 0.49 | - | 0.74 | - |
| 36 | Acetophenone | Benzene derivative (ketone) | 1074 | 1.17 | - | 0.51 | - | - | - | 0.91 | - |
| 61 | 4-(2-Methylbutan-2-yl) phenol (p-tert-Pentylphenol) | Benzene derivative (phenol) | 1400 | - | - | - | - | 0.42 | - | - | - |
| 69 | 2,4-Ditert-butylphenol | Benzene derivative (phenol) | 1518 | 0.72 | - | 1.04 | - | 1.42 | 3.64 | 2.88 | 1.68 |
| TERPENES | |||||||||||
| 30 | (E)-β-Ocimene | Terpene (monoterpene) | 1044 | - | - | - | - | 1.25 | - | - | - |
| 40 | Perillene (3-(4-methylpent-3-enyl)furan) | Terpene (monoterpenoid furan) | 1105 | - | 0.41 | - | - | - | - | - | - |
| 44 | (E)-Verbenol | Terpene (monoterpene alcohol) | 1152 | - | 8.8 | - | - | - | - | - | - |
| 47 | 1,4-Dimethyl-3-methylidenebicyclo[2.2.1] heptan-2-one | Terpene (monoterpene ketone) | 1169 | - | 3.84 | - | - | - | - | - | - |
| 50 | p-Cymen-8-ol | Terpene (monoterpene alcohol) | 1190 | - | 3.71 | - | - | - | - | - | - |
| 52 | β-Cyclocitral | Terpene (monoterpene aldehyde) | 1226 | 0.59 | - | 1.19 | 0.61 | 1.25 | 0.98 | 1.44 | - |
| 53 | p-Cumic aldehyde | Terpene (monoterpene aldehyde) | 1246 | - | 1.46 | - | - | - | - | - | - |
| 59 | β-Bourbonene | Terpene (sesquiterpene) | 1389 | - | - | 0.5 | 0.76 | - | - | - | - |
| 60 | β-Cubebene | Terpene (sesquiterpene) | 1393 | - | - | 0.79 | - | - | - | - | - |
| 64 | Germacrene D | Terpene (sesquiterpene) | 1485 | 2.08 | - | 2.62 | - | - | - | - | - |
| 70 | δ-Cadinene | Terpene (sesquiterpene) | 1528 | - | - | 0.2 | - | - | - | - | - |
| 72 | Gleenol | Terpene (sesquiterpene alcohol) | 1589 | 1.84 | - | 4.11 | - | - | - | - | - |
| 79 | Phytane | Terpene (diterpene) | 1813 | - | - | - | - | 3.57 | 1.13 | - | - |
| 80 | Hexahydrofarnesyl acetone | Terpene (sesquiterpene ketone) | 1850 | - | 0.94 | - | 1.75 | 1.06 | 1.04 | - | - |
| OTHERS | |||||||||||
| 2 | Dimethyl sulfide | Other (sulfide) | <900 | - | - | 0.8 | - | 0.47 | 0.3 | 0.77 | 0.68 |
| 10 | 3-Methylbutanoic acid | Other (carboxylic acid) | <900 | - | 0.72 | - | 1.25 | - | - | - | - |
| 11 | 2-Methylbutanoic acid | Other (carboxylic acid) | <900 | - | 0.23 | - | 0.62 | - | - | - | - |
| 15 | 2-Iodopentane | Other | 932 | - | - | 0.5 | - | 0.91 | 0.57 | 0.63 | 0.56 |
| 20 | Hexanoic acid | Other (carboxylic adic) | 981 | - | 4.75 | - | - | - | - | - | - |
| 25 | 2-Pentylfuran | Other (furan) | 996 | 0.71 | 0.55 | 0.35 | 0.47 | 0.49 | 0.78 | - | 0.68 |
| 33 | γ-Caprolactone (5-ethyloxolan-2-one) | Other (γ-lactone) | 1062 | - | 0.38 | - | 0.59 | - | - | - | - |
| 38 | Heptanoic acid | Other (carboxylic adic) | 1079 | - | 2.16 | - | 1.17 | - | - | - | - |
| 42 | 2,6-Dimethylcyclohexanol | Other | 1114 | - | 1.96 | 0.55 | 3.67 | 0.87 | 1.2 | 0.86 | 1.05 |
| 43 | 4-Ketoisophorone | Other (C13-norisoprenoid) | 1150 | - | - | - | 0.8 | - | - | - | - |
| 45 | Dictyopterene D’ (6-[(1Z)-butenyl]-1,4-cycloheptadiene]) | Other (dictyopterene) | 1158 | 0.81 | - | 2.94 | - | 2.55 | - | 2.2 | - |
| 48 | Dictyopterene C’ ([6-butyl-1,4-cycloheptadiene]) | Other (dictyopterene) | 1175 | - | - | 0.49 | - | 1.33 | - | 0.89 | - |
| 49 | Octanoic acid | Other (carboxylic acid) | 1177 | - | 0.59 | - | - | - | - | - | - |
| 65 | β-Ionone | Other (C13-norisoprenoid) | 1489 | 3.39 | 1.71 | 2.75 | 2.26 | 3.74 | 2.27 | 5.41 | 1.37 |
| 71 | Dihydroactinidiolide (4,4,7a-trimethyl-6,7-dihydro-5H-1-benzofuran-2-one) | Other (benzofuran) | 1532 | - | 1.46 | - | 0.81 | - | 0.69 | - | - |
| 82 | Methyl (all Z) 5,8,11,14- eicosatetraenoate | Other | 2049 | - | - | 0.5 | - | - | - | - | - |
| Total identified= | 93.87 | 74.56 | 93.69 | 88.69 | 97.69 | 83.5 | 96.86 | 100 | |||
| No. | Compound | Group | RI | Area % | |||||||
|---|---|---|---|---|---|---|---|---|---|---|---|
| May | June | July | August | ||||||||
| Fr | Dr | Fr | Dr | Fr | Dr | Fr | Dr | ||||
| HYDROCARBONS | |||||||||||
| 21 | 3,5,5-Trimethylhex-2-ene | Hydrocarbon (UnSAC) | 979 | - | - | 0.68 | - | 0.42 | 0.67 | 0.58 | - |
| 53 | 2,6,11-Trimethyldodecane | Hydrocarbon (SAC) | 1282 | - | - | - | - | 0.04 | - | 1.68 | - |
| 62 | Pentadec-1-ene | Hydrocarbon (UnSAC) | 1495 | 4.49 | - | 6.36 | 0.81 | 2.45 | 2.07 | 4.21 | 1.84 |
| 63 | Pentadecane | Hydrocarbon (SAC) | 1500 | 5.44 | 3.5 | 6.83 | 33.83 | 2.48 | 31.06 | 3.75 | 35.68 |
| 69 | (E)-Heptadec-8-ene | Hydrocarbon (UnSAC) | 1690 | 0.66 | - | 0.49 | - | - | - | - | - |
| 70 | Heptadec-1-ene | Hydrocarbon (UnSAC) | 1696 | 1.28 | - | 0.45 | - | - | - | 0.73 | 1.93 |
| 71 | Heptadecane | Hydrocarbon (SAC) | 1700 | 3.59 | 0.75 | 0.98 | 1.06 | 1.05 | 2.15 | 1.68 | 25.71 |
| 73 | Octadec-1-ene | Hydrocarbon (UnSAC) | 1791 | - | - | - | - | 0.58 | - | - | - |
| ALIPHATIC ALCOHOLS | |||||||||||
| 1 | Ethanol | Alcohol (SAC) | <900 | 17.15 | 1.12 | 0.93 | 2.67 | 3.09 | 3.38 | 2.38 | 4.89 |
| 4 | Isobutanol | Alcohol (SAC) | <900 | - | 0.29 | - | - | - | - | - | - |
| 6 | Pent-1-en-3-ol | Alcohol (UnSAC) | <900 | - | 0.77 | - | 0.89 | - | 1.03 | - | 0.83 |
| 8 | 3-Methylbutan-1-ol | Alcohol (SAC) | <900 | - | 0.57 | 0.46 | 0.45 | 0.96 | - | 0.85 | - |
| 9 | Pentan-1-ol | Alcohol (SAC) | <900 | - | 0.59 | 0.97 | 0.5 | 1.62 | - | 1.9 | - |
| 10 | (Z)-Pent-2-en-1-ol | Alcohol (UnSAC) | <900 | 1.36 | 0.54 | 0.37 | 0.65 | 0.42 | 0.56 | 0.59 | - |
| 15 | Hexan-1-ol | Alcohol (SAC) | <900 | - | 3.21 | 4.49 | 1.38 | 12.88 | - | 10.34 | 0.98 |
| 20 | Heptane-1-ol | Alcohol (SAC) | 975 | - | 1.54 | 0.68 | 0.68 | 0.59 | - | - | - |
| 23 | Oct-1-en-3-ol | Alcohol (UnSAC) | 984 | 1.33 | 4.56 | 1.88 | 5.08 | 1.48 | 3.09 | 3.63 | 1.06 |
| 30 | 2-Ethylhexan-1-ol | Alcohol (SAC) | 1035 | - | - | - | 0.39 | - | - | - | 1.52 |
| 34 | (Z)-Oct-3-en-1-ol | Alcohol (UnSAC) | 1056 | - | - | 3.98 | - | 0.36 | - | - | - |
| 38 | Octan-1-ol | Alcohol (SAC) | 1076 | 4.94 | 1.93 | 4.16 | 1.88 | 1.35 | 0.78 | 1.32 | - |
| 76 | (Z,Z,Z)-9,12,15-Octadecatrien-1-ol | Alcohol (UnSAC) | 2055 | 0.74 | - | 0.56 | - | - | - | - | - |
| ALIPHATIC ALDEHYDES | |||||||||||
| 3 | Butanal | Aldehyde (SAC) | <900 | - | - | 0.31 | 0.54 | 0.26 | - | 0.45 | - |
| 5 | 3-Methylbutanal | Aldehyde (SAC) | <900 | 0.35 | - | 0.38 | - | 0.5 | - | 0.29 | - |
| 7 | Pentanal | Aldehyde (SAC) | <900 | - | - | 0.33 | 0.12 | 0.74 | - | 0.28 | 0.59 |
| 11 | Hexanal | Aldehyde (SAC) | <900 | 5.65 | 1.64 | 1.82 | 2.01 | 3.69 | 2.7 | 2.27 | 2.83 |
| 14 | (E)-Hex-2-enal | Aldehyde (UnSAC) | <900 | 1.37 | 0.75 | 0.47 | 1.21 | 0.59 | 0.43 | - | - |
| 16 | Heptanal | Aldehyde (SAC) | 907 | - | 1.87 | - | 3.2 | - | 2.27 | - | 6.64 |
| 18 | (E)-Hept-2-enal | Aldehyde (UnSAC) | 963 | - | - | - | 0.58 | - | 0.84 | - | - |
| 28 | Octanal | Aldehyde (SAC) | 1007 | 0.81 | 3.03 | 0.41 | 1.29 | - | 1.8 | - | 1 |
| 29 | (E,E)-Hepta-2,4-dienal | Aldehyde (UnSAC) | 1016 | 0.9 | - | - | 0.82 | - | 1.07 | - | - |
| 36 | (E)-Oct-2-enal | Aldehyde (UnSAC) | 1064 | 0.56 | 0.44 | 0.55 | 0.68 | 0.33 | - | 0.85 | - |
| 41 | Nonanal | Aldehyde (SAC) | 1108 | 1.12 | 5.35 | 0.6 | 2.48 | 1.01 | 4.07 | 0.32 | 3.79 |
| 46 | (Z)-Non-2-enal | Aldehyde (UnSAC) | 1166 | - | - | - | - | - | - | 0.17 | - |
| 49 | Decanal | Aldehyde (SAC) | 1209 | - | 0.78 | - | - | - | - | - | - |
| 52 | (E)-Dec-2-enal | Aldehyde (UnSAC) | 1267 | - | 0.49 | - | - | - | - | - | - |
| 54 | (E,Z)-Deca-2,4-dienal | Aldehyde (UnSAC) | 1296 | 0.57 | - | - | - | 0.36 | - | - | - |
| 55 | Undecanal | Aldehyde (SAC) | 1311 | - | 1.06 | - | 0.7 | - | - | - | - |
| 56 | (E,E)-Deca-2,4-dienal | Aldehyde (UnSAC) | 1320 | - | - | 0.31 | - | - | - | - | - |
| 64 | Tridecanal | Aldehyde (SAC) | 1514 | 2.24 | - | 1 | - | 1.34 | - | 0.45 | - |
| 72 | Pentadecanal | Aldehyde (SAC) | 1718 | 1.19 | - | 0.52 | - | 0.92 | - | 0.71 | - |
| ALIPHATIC KETONES | |||||||||||
| 25 | Octan-3-one | Ketone (SAC) | 991 | - | - | 0.59 | - | 0.64 | - | 0.97 | - |
| 26 | 6-Methylhept-5-en-2-one | Ketone (UnSAC) | 992 | - | 1.14 | - | 1.01 | - | - | - | - |
| 32 | (E)-3-Octen-2-one | Ketone (UnSAC) | 1045 | - | - | - | - | 0.78 | - | - | - |
| 40 | (E,Z)-Octa-3,5-dien-2-one | Ketone (UnSAC) | 1098 | 1.73 | - | 2- | 0.64 | 10.78 | - | 1.63 | - |
| BENZENE DERIVATIVES | |||||||||||
| 19 | Benzaldehyde | Benzene derivative (aldehyde) | 970 | 10.45 | 2.6 | 11.8 | 3.01 | 23.88 | 1.99 | 31.62 | 1.64 |
| 24 | Phenol | Benzene derivative (phenol) | 986 | 5.32 | - | - | - | - | 1.38 | - | - |
| 31 | Benzyl alcohol | Benzene derivative (alcohol) | 1042 | 4.44 | 6.67 | 1.95 | 2.8 | 2.34 | 15.6 | 3.19 | 2.1 |
| 33 | Phenylacetaldehyde | Benzene derivative (aldehyde) | 1051 | - | 0.77 | 0.39 | 0.46 | 0.34 | 2.73 | - | - |
| 37 | Acetophenone | Benzene derivative (ketone) | 1073 | 1.2 | - | 0.41 | - | 0.33 | - | 0.54 | - |
| 59 | 4-(2-Methylbutan-2-yl)phenol (p-tert-Pentylphenol) | Benzene derivative (phenol) | 1400 | - | - | - | - | 0.34 | - | - | - |
| 65 | 2,4-Ditert-butylphenol | Benzene derivative (phenol | 1518 | - | - | - | - | 0.64 | 3.73 | - | 1.43 |
| TERPENES | |||||||||||
| 44 | (E)-Verbenol | Terpene (monoterpene alcohol) | 1152 | - | 8.82 | - | - | - | - | - | - |
| 48 | p-Cymen-8-ol | Terpene (monoterpene alcohol) | 1190 | - | 3.18 | - | - | - | - | - | - |
| 50 | β-Cyclocitral | Terpene (monoterpene aldehyde) | 1225 | 0.4 | 1 | 1.28 | - | 1.38 | - | 1.12 | - |
| 51 | p-Cumic aldehyde | Terpene (monoterpene aldehyde) | 1246 | - | 0.94 | - | - | - | - | - | - |
| 57 | β-Bourbonene | Terpene (sesquiterpene) | 1388 | - | - | 0.29 | - | - | - | - | - |
| 58 | β-Cubebene | Terpene (sesquiterpene) | 1393 | 0.58 | - | 0.47 | - | - | - | - | - |
| 60 | Germacrene D | Terpene (sesquiterpene) | 1485 | 3.72 | - | 2.03 | - | - | - | - | - |
| 66 | δ-Cadinene | Terpene (sesquiterpene) | 1530 | - | - | 0.33 | - | - | - | - | - |
| 68 | Gleenol | Terpene (sesquiterpene alcohol) | 1589 | 2 | - | 2.86 | - | - | - | - | - |
| 74 | Phytane | Terpene (diterpene) | 1814 | - | - | - | - | 0.95 | - | - | - |
| 75 | Hexahydrofarnesyl acetone | Terpene (sesquiterpene ketone) | 1850 | - | - | 0.3 | 1.36 | - | - | - | - |
| OTHERS | |||||||||||
| 2 | Dimethyl sulfide | Other | <900 | 1.17 | - | - | - | - | 0.59 | - | 1.96 |
| 12 | 3-Methylbutanoic acid | Other (carboxylic acid) | <900 | - | 1.47 | - | 2.84 | - | - | - | - |
| 13 | 2-Methylbutanoic acid | Other (carboxylic acid) | <900 | - | 0.76 | - | 1.87 | - | - | - | - |
| 17 | 2-Iodopentane | Other | 932 | 0.61 | - | 0.29 | - | 0.65 | 0.75 | 0.48 | - |
| 22 | Hexanoic acid | Other (carboxylic acid) | 982 | - | 6.56 | - | 4.8 | - | - | - | - |
| 27 | 2-Pentylfuran | Other (furan) | 996 | 0.76 | 0.57 | 0.42 | 0.76 | 0.62 | 1.04 | - | 0.81 |
| 35 | γ-Caprolactone (5-ethyloxolan-2-one) | Other (γ-lactone) | 1062 | - | 0.68 | - | 0.95 | - | - | - | - |
| 39 | Heptanoic acid | Other (carboxylic acid) | 1079 | - | 2.11 | - | 1.73 | - | - | - | - |
| 42 | 2,6-Dimethylcyclohexan-1-ol | Other | 1114 | - | 2.81 | 1.13 | 4.35 | 1.94 | 1.6 | 2.22 | 1.13 |
| 43 | 4-Ketoisophorone | Other (C13-norisoprenoid) | 1150 | - | - | 0.56 | 1.04 | 2.82 | - | 5.23 | - |
| 45 | Dictyopterene D’ (6-[(1Z)-butenyl]-1,4-cycloheptadiene]) | Other (dictyopterene) | 1158 | 1.34 | - | 1.32 | - | 0.84 | - | 0.44 | - |
| 47 | Dictyopterene C’ ([6-butyl-1,4-cycloheptadiene]) | Other (dictyopterene) | 1175 | - | - | 0.22 | - | 0.2 | - | - | - |
| 61 | β-Ionone | Other (C13-norisoprenoid) | 1490 | 2.53 | 1.13 | 2.71 | 1.96 | 3.66 | 2.6 | 4.76 | 1.62 |
| 67 | Dihydroactinidiolide (4,4,7a-trimethyl-6,7-dihydro-5H-1-benzofuran-2-one) | Other (benzofuran) | 1533 | - | 2.04 | - | 0.98 | - | - | - | - |
| Total identified= | 91.96 | 78.05 | 90.3 | 94.45 | 92.62 | 89.99 | 91.61 | 100 | |||
| No. | Compound | Group | RI | Area % | |||||||
|---|---|---|---|---|---|---|---|---|---|---|---|
| May | June | July | August | ||||||||
| Fr | Dr | Fr | Dr | Fr | Dr | Fr | Dr | ||||
| ALIPHATIC COMPOUNDS | |||||||||||
| 1 | (E)-Hex-2-enal | UnSAC (aldehyde) | <900 | 0.22 | 1.36 | 0.15 | 0.57 | 0.09 | 0.12 | 0.15 | 0.22 |
| 2 | Hex-3-en-1-ol | UnSAC (alcohol) | <900 | - | - | - | - | 0.06 | - | - | - |
| 3 | Hexan-1-ol | SAC (alcohol) | <900 | - | 0.15 | - | 0.06 | 0.09 | - | 0.07 | - |
| 5 | Heptan-2-one | SAC (ketone) | <900 | - | 0.14 | - | 0.05 | - | 0.04 | - | 0.08 |
| 6 | Nonane | UnSAC | 900 | 0.18 | - | - | - | - | - | - | - |
| 7 | (Z)-Hept-4-enal | UnSAC (aldehyde) | 901 | - | 0.15 | - | - | - | 0.03 | - | - |
| 8 | Heptanal | SAC (aldehyde) | 903 | - | 0.62 | - | 1.13 | - | 0.05 | - | 0.09 |
| 10 | (E)-Hept-2-enal | UnSAC (aldehyde) | 961 | - | 0.06 | - | - | - | - | - | - |
| 13 | 3,5,5-Trimethyl-hex-2-ene | UnSAC | 979 | - | - | - | - | 0.02 | - | - | - |
| 14 | Oct-1-en-3-ol | UnSAC (alcohol) | 982 | - | 0.28 | 0.03 | 0.13 | 0.05 | 0.12 | - | 0.04 |
| 15 | Octan-2,5-dione | SAC (ketone) | 986 | - | 0.27 | - | 0.2 | - | - | - | - |
| 16 | 6-Methylhept-5-en-2-one | UnSAC (ketone) | 988 | - | 0.22 | 0.06 | 0.11 | 0.11 | 0.07 | 0.23 | 0.26 |
| 18 | Octanal | SAC (aldehyde) | 1004 | - | 0.24 | - | 0.09 | - | 0.03 | - | 0.05 |
| 19 | (E,E)-Hepta-2,4-dienal | UnSAC (aldehyde) | 1014 | 0.1 | 0.12 | 0.04 | 0.07 | 0.06 | 0.05 | - | - |
| 20 | 2-Ethylhexan-1-ol | SAC (alcohol) | 1034 | - | - | - | - | - | 0.04 | 0.04 | 0.19 |
| 23 | (E)-Oct-2-enal | UnSAC (aldehyde) | 1064 | - | 0.27 | - | 0.1 | - | 0.07 | - | 0.09 |
| 24 | 3,5,5-Trimethyl-hex-2-ene | UnSAC | 1069 | - | - | - | - | 0.05 | - | 0.08 | - |
| 26 | (E,E)-3,5-Octadien-2-one | UnSAC (ketone) | 1075 | - | 0.14 | 0.09 | 0.12 | 0.06 | 0.08 | 0.11 | 0.05 |
| 27 | Nonan-3-one | SAC (ketone) | 1087 | - | - | - | - | - | - | - | 0.05 |
| 29 | (E,E)-Octa-3,5-dien-2-one | SAC (alcohol) | 1097 | 0.33 | 0.62 | 0.4 | 0.44 | 0.23 | 0.15 | 0.53 | 0.3 |
| 30 | Nonanal | SAC (alcohol) | 1107 | - | 0.35 | - | 0.38 | - | 0.06 | - | 0.06 |
| 35 | (E,Z)-Nona-2,6-dienal | UnSAC (aldehyde) | 1158 | - | 0.1 | - | 0.05 | - | 0.04 | - | - |
| 36 | (Z)-Non-2-enal | UnSAC (aldehyde) | 1165 | - | 0.15 | - | 0.07 | - | 0.06 | - | - |
| 46 | Undecanal | SAC (aldehyde) | 1311 | - | - | - | - | - | - | 0.08 | 0.08 |
| 47 | (E,E)-Deca-2,4-dienal | UnSAC (aldehyde) | 1320 | 0.21 | 0.7 | 0.07 | 0.25 | 0.09 | 0.14 | 0.17 | 0.11 |
| 50 | Tetradecane | SAC | 1400 | 0.13 | 0.53 | 0.05 | 0.11 | 0.04 | 0.16 | 0.18 | 0.14 |
| 51 | Dodecanal | SAC (alcohol) | 1412 | 0.07 | 0.14 | - | 0.07 | 0.04 | 0.07 | 0.18 | 0.13 |
| 54 | Dodecan-1-ol | SAC (alcohol) | 1478 | 0.14 | - | - | - | - | 0.19 | - | - |
| 58 | Pentadec-1-ene | UnSAC | 1498 | 0.46 | 0.31 | 0.1 | 0.09 | 0.09 | 0.09 | 0.2 | 0.12 |
| 59 | Pentadecane | SAC | 1500 | 1.49 | 0.93 | 1.58 | 0.93 | 0.56 | 0.49 | 2.37 | 1.17 |
| 60 | Tridecanal | SAC (alcohol) | 1514 | 2.11 | 0.73 | 0.31 | 0.31 | 1.17 | 0.3 | 2.65 | 0.42 |
| 67 | Tridecan-1-ol | SAC (alcohol) | 1582 | - | 0.23 | - | - | - | - | - | - |
| 69 | Hexadecane | SAC | 1600 | - | - | - | - | - | - | 0.26 | 0.24 |
| 70 | Tetradecanal | SAC (aldehyde) | 1616 | 0.22 | 0.29 | 0.06 | 0.17 | 0.15 | 0.15 | 0.6 | 0.17 |
| 71 | (Z)-Hexadec-7-ene | UnSAC | 1623 | - | - | - | - | - | - | 0.12 | - |
| 77 | Heptadec-1-ene | UnSAC | 1690 | 0.77 | 0.57 | 0.6 | 0.53 | 0.31 | 0.24 | 0.78 | 0.21 |
| 78 | (E)-Heptadec-8-ene | UnSAC | 1696 | 1.08 | 0.36 | 0.41 | 0.26 | 0.59 | 0.37 | 3.96 | 1.5 |
| 79 | Heptadecane | SAC | 1700 | 0.45 | 0.61 | 0.82 | 0.55 | 1.32 | 0.9 | - | 3.79 |
| 80 | (Z)-Heptadec-3-ene | UnSAC | 1704 | 0.53 | - | - | - | - | - | 5.31 | - |
| 81 | Pentadecanal | SAC (aldehyde) | 1718 | 2.42 | 1.47 | 0.44 | 0.63 | 1.87 | 0.47 | 6.61 | 1.61 |
| 82 | Pentadecan-1-ol | SAC (alcohol) | 1778 | - | 0.6 | - | 0.32 | - | - | 0.57 | - |
| 83 | Octadec-1-ene | UnSAC | 1786 | 0.62 | 0.29 | 0.14 | 0.18 | - | - | - | 0.12 |
| 85 | (Z)-Hexadec-9-enal | UnSAC (aldehyde) | 1796 | 0.11 | - | - | - | 0.06 | - | - | - |
| 87 | Hexadecanal | SAC (aldehyde) | 1820 | - | - | 0.08 | 0.12 | - | - | - | 0.11 |
| 89 | (Z)-Hexadec-9-en-1-ol | UnSAC (alcohol) | 1866 | 0.13 | 0.94 | - | 0.23 | - | - | - | 0.14 |
| 91 | Hexadecan-1-ol | SAC (alcohol) | 1885 | 0.22 | - | 0.09 | - | 0.14 | 0.38 | 0.4 | 0.52 |
| 92 | Nonadec-1-ene | UnSAC | 1897 | 2.76 | 0.83 | 0.32 | 0.29 | 1.4 | 0.34 | 2.47 | 0.49 |
| 93 | Nonadecane | SAC | 1900 | - | - | - | - | - | - | 0.17 | - |
| 98 | Eicosane | SAC | 2000 | 0.15 | 1.72 | - | 0.82 | - | - | 0.24 | 0.9 |
| 99 | Octadecanal | SAC (adehyde) | 2024 | 0.44 | 0.44 | 0.14 | 0.67 | 0.12 | 0.19 | - | 0.24 |
| 104 | (Z)-Octadec-9-en-1-ol | UnSAC (alcohol) | 2061 | 0.32 | 0.55 | 0.85 | 0.87 | 0.84 | 0.86 | 0.46 | 0.55 |
| 105 | (Z,Z)-Octadeca-3,13-dien-1-ol | UnSAC (alcohol) | 2068 | - | 0.41 | - | - | 0.05 | - | - | 0.31 |
| 106 | Octadecan-1-ol | SAC (alcohol) | 2084 | 0.08 | - | 0.06 | - | 0.07 | - | 0.23 | - |
| SESQUITERPENES | |||||||||||
| 48 | β-Bourbonene | Sesquiterpene | 1388 | 0.24 | 0.14 | 0.04 | - | - | - | - | - |
| 49 | β-Cubebene | Sesquiterpene | 1393 | 1.7 | 0.84 | 0.16 | 0.16 | - | - | 0.11 | - |
| 55 | Germacrene D | Sesquiterpene | 1485 | 9.63 | 3.32 | 0.8 | 0.6 | 0.14 | 0.12 | 0.23 | - |
| 57 | Epi-bicyclosesquiphellandrene | Sesquiterpene | 1495 | 4.49 | 2.06 | 1.04 | 0.72 | 0.88 | 0.77 | 4.37 | 1.7 |
| 61 | γ-Cadinene | Sesquiterpene | 1519 | 0.59 | 0.27 | 0.11 | - | 0.1 | 0.12 | 0.56 | 0.32 |
| 62 | δ-Cadinene | Sesquiterpene | 1528 | 0.13 | 0.45 | - | - | - | - | - | - |
| 63 | Zonarene | Sesquiterpene | 1530 | 0.64 | - | 0.13 | - | - | - | - | - |
| 64 | Cadina-4,9-diene | Sesquiterpene | 1557 | - | - | - | - | 0.06 | - | - | - |
| 66 | Germacrene-4-ol | Sesquiterpene (alcohol) | 1580 | 0.22 | - | - | - | 0.05 | - | 0.34 | - |
| 68 | Gleenol | Sesquiterpene (alcohol) | 1589 | 11.58 | 0.94 | 1.46 | 0.44 | 0.2 | 0.17 | 0.52 | - |
| 73 | τ-Cadinol | Sesquiterpene (alcohol) | 1647 | 0.39 | - | - | - | - | - | - | - |
| 74 | δ-Cadinol | Sesquiterpene (alcohol) | 1651 | 0.21 | - | - | - | - | - | 0.67 | 0.5 |
| 75 | α-Cadinol | Sesquiterpene (alcohol) | 1659 | 0.26 | - | - | - | - | - | - | - |
| 88 | Hexahydrofarnesyl acetone | Sesquiterpene (ketone) | 1850 | 0.38 | 2.34 | 0.39 | 1.77 | 0.49 | 1.24 | 1.54 | 1.83 |
| 94 | (E,E)-Farnesyl acetone | Sesquiterpene (ketone) | 1923 | - | 0.49 | - | 0.34 | - | 0.13 | - | 0.3 |
| DITERPENES | |||||||||||
| 84 | Phyt-1-ene | Diterpene | 1791 | - | - | - | - | 0.49 | - | - | - |
| 86 | Phytane | Diterpene | 1813 | - | - | - | - | 0.65 | 0.21 | 0.36 | - |
| 101 | Thunbergol (Cembra-2,7,11-trien-4-ol) | Diterpene | 2045 | 2.32 | 2.47 | 2.58 | 2.17 | 1.99 | 2.74 | 0.81 | 0.99 |
| 95 | Isophytol | Diterpene (alcohol) | 1953 | 0.27 | 0.32 | 0.06 | 0.17 | 0.07 | 0.18 | 0.36 | 0.21 |
| 110 | Phytol | Diterpene (alcohol) | 2116 | 4.89 | 7.04 | 9.3 | 5.52 | 4.42 | 6.48 | 14.93 | 18.73 |
| 111 | Pachydictyol A | Diterpene (alcohol) | 2127 | 7.81 | 12.44 | 8.9 | 10.21 | 6.68 | 9.73 | 3.18 | 4.47 |
| 113 | (E)-Geranylgeraniol | Diterpene (alcohol) | 2208 | 1.4 | 1.79 | 3.23 | 2.84 | 5.08 | 6.77 | 2.79 | 3.88 |
| 114 | Cembra-4,7,11,15-tetraen-3-ol | Diterpene (alcohol) | 2230 | 4.92 | 9.37 | 12.3 | 13.99 | 11.83 | 16.04 | 5.34 | 9.02 |
| OTHERS | |||||||||||
| 9 | 2-Iodopentane | Other | 930 | - | - | - | 0.03 | - | - | - | 0.04 |
| 12 | Dimethyl disulfide | Other | 978 | - | 0.11 | - | 0.05 | - | 0.03 | - | - |
| 21 | 2,2,6-Trimethylcyclohexanone | Other | 1041 | - | 0.11 | - | - | - | - | - | - |
| 28 | 1-Methylsulfanylpentan-3-one | Other | 1091 | 0.19 | - | 0.05 | 0.1 | 0.03 | - | - | - |
| 31 | 2,6-Dimethylcyclohexan-1-ol | Other | 1114 | - | 0.25 | 0.06 | 0.17 | 0.03 | 0.11 | 0.09 | 0.1 |
| 37 | Benzyl methyl sulfide | Other | 1170 | - | 0.12 | - | - | - | - | - | - |
| 43 | Benzothiazole | Other | 1228 | - | - | - | - | - | - | 0.15 | - |
| 76 | Cyclotetradecane | Other | 1681 | 0.23 | 0.81 | 0.08 | 0.41 | 0.12 | 0.3 | 0.62 | 0.34 |
| 4 | m-Xylene | Other (benzene derivative) | <900 | 0.09 | 0.26 | - | - | - | 0.04 | - | - |
| 11 | Benzaldehyde | Other (benzene derivative) | 968 | - | 0.44 | 0.03 | 0.21 | 0.11 | 0.12 | 0.09 | 0.15 |
| 22 | Phenylacetaldehyde | Other (benzene derivative) | 1050 | 0.08 | 0.38 | 0.15 | 0.24 | 0.05 | 0.12 | 0.12 | 0.14 |
| 25 | Acetophenone | Other (benzene derivative) | 1072 | - | 0.13 | - | - | - | 0.05 | - | - |
| 39 | 2,4-Dimethylbenzaldehyde | Other (benzene derivative) | 1179 | - | 0.17 | - | - | - | - | - | - |
| 40 | p-Methylacetophenone | Other (benzene derivative) | 1190 | - | - | - | - | - | - | - | 0.13 |
| 41 | 3,4-Dimethylphenol | Other (benzene derivative) | 1197 | - | - | 0.05 | - | - | - | 0.09 | - |
| 45 | Indole | Other (benzene derivative) | 1296 | - | 0.32 | 0.05 | 0.14 | - | 0.07 | 0.1 | - |
| 72 | Benzophenone | Other (benzene derivative) | 1630 | - | - | - | - | - | - | 0.17 | 0.18 |
| 90 | Diisobutyl phthalate | Other (benzene derivative) | 1872 | - | 0.47 | - | 0.41 | 0.07 | 0.92 | 0.32 | 0.95 |
| 96 | Dibutyl phtalate | Other (benzene derivative) | 1967 | - | 0.25 | - | 0.66 | - | 1.5 | - | 0.23 |
| 33 | 4-Ketoisophorone | Other (C13-norisoprenoid) | 1149 | - | 0.24 | 0.03 | 0.09 | - | - | - | - |
| 52 | α-Ionone | Other (C13-norisoprenoid) | 1433 | 0.11 | - | - | - | - | 0.04 | - | - |
| 56 | β-Ionone | Other (C13-norisoprenoid) | 1489 | 0.89 | 3.1 | 0.32 | 0.83 | 0.25 | 0.57 | 0.57 | 0.49 |
| 65 | Dodecanoic acid | Other (carboxylic acid) | 1573 | - | - | - | - | - | - | 0.16 | - |
| 97 | Palmitic acid | Other (carboxylic acid) | 1973 | - | 2.35 | - | 1.21 | - | - | - | 0.82 |
| 108 | Heptadecanoic acid | Other (carboxylic acid) | 2103 | - | 1.00 | - | 0.34 | 0.1 | 0.3 | 0.34 | 0.29 |
| 109 | (Z,Z)-Octadeca-9,12-dienoic acid | Other (carboxylicacid) | 2110 | - | 0.3 | 0.23 | 0.31 | 0.21 | 0.2 | 0.62 | 0.51 |
| 112 | Oleic acid | Other (carboxylic acid) | 2183 | - | - | - | - | - | 0.27 | 0.85 | 0.4 |
| 32 | Dictyopterene A (1-[(1E) -hexenyl]-2-vinylcyclopropane]) | Other (dictyopterene) | 1122 | 0.07 | - | 0.08 | - | - | - | - | - |
| 34 | Dictyopterene D’ (6-[(1Z)-butenyl]-1,4-cycloheptadiene]) | Other (dictyopterene) | 1157 | 0.11 | - | 0.06 | - | - | - | - | - |
| 38 | Dictyopterene C’ ([6-butyl-1, 4-cycloheptadiene]) | Other (dictyopterene) | 1174 | - | - | 0.05 | - | - | - | - | - |
| 100 | Methyl octadecyl ether | Other (ether) | 2032 | 2.21 | - | - | - | 1.28 | 1.34 | 1.55 | 1.42 |
| 17 | 2-Pentylfuran | Other (furan) | 994 | - | 0.6 | 0.06 | 0.2 | - | 0.08 | 0.09 | 0.15 |
| 102 | Methyl (all Z) 5,8,11,14-eicosatetraenoate | Other (long fatty acid ester) | 2049 | 0.69 | 0.24 | 0.83 | 0.29 | 0.66 | - | 1.29 | 0.56 |
| 103 | Methyl (all Z) 5,8,11,14,17-eicosapentaenoate | Other (long fatty acid ester) | 2056 | 2.95 | 0.24 | 1.41 | 0.32 | 0.92 | - | 0.98 | 0.37 |
| 107 | (E)-9-Octadecenoic acid methyl ester | Other (long fatty acid ester) | 2090 | - | - | - | 0.18 | - | - | - | - |
| 115 | Ethyl icosanoate | Other (long fatty acid ester) | 2398 | 6.14 | 12.85 | 30.84 | 29.59 | 34.51 | 30.73 | 10.2 | 25.37 |
| 42 | β-Cyclocitral | Other (monoterpene aldehyde) | 1224 | - | 0.35 | 0.04 | 0.1 | - | - | - | - |
| 44 | β-Cyclohomocitral | Other (monoterpene aldehyde) | 1263 | - | 0.16 | - | - | - | - | - | - |
| 53 | (Z)-Geranylacetone | Other (monoterpene ketone) | 1458 | - | 0.22 | - | - | - | - | - | - |
| Total identified= | 81.62 | 87.59 | 81.88 | 85.85 | 81.21 | 87.84 | 83.71 | 89.11 | |||
| No. | Name | Monoisotopic Mass (Da) | [M + H]+ | Molecular Formula | tR (min) | Mass Difference (ppm) | Area (Counts) |
|---|---|---|---|---|---|---|---|
| FATTY ACID DERIVATIVES | |||||||
| 3 | 1-(9Z,12Z,15Z-Octadecatrienoy)l-3-O-β-D-galactosyl)-sn-glycerol | 514.31418 | 515.32146 | C27H46O9 | 10.94 | 1.7 | 1.73 × 106 |
| 4 | 1-(9Z,12Z,15Z-Octadecatrienoy)l-3-O-(6′-O-α-D-galactosyl-β-D-galactosyl)-sn-glycerol | 676.36701 | 677.37428 | C33H56O14 | 10.94 | 3.0 | 1.00 × 106 |
| 5 | 1-(9Z,12Z-Octadecadienoy)l-3-O-(6′-O-α-D-galactosyl-β-D-galactosyl)-sn-glycerol | 678.38266 | 679.38993 | C33H58O14 | 11.42 | 1.2 | 1.39 × 106 |
| 6 | 1-(9Z-Octadecenoy)l-3-O-(6′-O-α-D-galactosyl-β-D-galactosyl)-sn-glycerol | 680.39831 | 681.40558 | C33H60O14 | 11.99 | 2.6 | 9.37 × 105 |
| 7 | Myristamide (tetradecanamide) | 227.22491 | 228.23219 | C14H29NO | 12.47 | 4.3 | 2.76 × 107 |
| 8 | Palmitoleamide (hexadec-9-enamide) | 253.24056 | 254.24784 | C16H31NO | 12.96 | 3.1 | 9.19 × 107 |
| 9 | Linoleamide (octadeca-9,12-dienamide) | 279.25621 | 280.26349 | C18H33NO | 13.42 | 3.6 | 8.71 × 107 |
| 10 | Palmitamide (hexadecanamide) | 255.25621 | 256.26349 | C16H33NO | 13.68 | 3.5 | 1.28 × 108 |
| 11 | 2-(5Z,8Z,11Z,14Z-Eicosatetraenoyl)-sn-glycerol | 378.27701 | 379.28429 | C23H38O4 | 13.77 | 0.4 | 1.54 × 106 |
| 12 | Glyceryl palmitate (2,3-dihydroxypropyl hexadecanoate) | 330.27701 | 331.28429 | C19H38O4 | 13.99 | 3.5 | 1.08 × 107 |
| 13 | Oleamide (octadec-9-enamide) | 281.27186 | 282.27914 | C18H35NO | 14.10 | 4.5 | 1.27 × 107 |
| 14 | Glyceryl monooleate (2,3-dihydroxypropyl-octadec-9-enoate) | 356.29266 | 357.29994 | C21H40O4 | 14.37 | 1.6 | 5.00 × 106 |
| 17 | Stearamide (octadecanamide) | 283.28751 | 284.29479 | C18H38NO | 14.79 | 4.4 | 4.37 × 107 |
| 18 | Glyceryl monostearate (2,3-dihydroxypropyl octadecanoate) | 358.30831 | 359.31559 | C21H42O4 | 15.06 | 0.8 | 9.93 × 106 |
| 19 | Gondamide (icos-11-enamide) | 309.30316 | 310.31044 | C20H39NO | 15.08 | 3.0 | 3.52 × 107 |
| 20 | Arachidonic acid (icosa-5,8,11,14-tetraenoic acid) | 304.24023 | 305.24751 | C20H32O2 | 15.34 | 3.0 | 1.60 × 107 |
| 24 | Erucamide (docos-13-enamide) | 337.33446 | 338.34174 | C22H43NO | 15.98 | 3.7 | 3.01 × 107 |
| PIGMENTS AND DERIVATIVES | |||||||
| 1 | Loliolide | 196.10994 | 197.11722 | C11H16O3 | 6.14 | 5.2 | 3.30 × 106 |
| 16 | Fucoxanthin | 658.42334 | 659.43062 | C42H58O6 | 14.77 | 2.3 | 2.98 × 107 |
| 15 | Halocynthiaxanthin acetate | 640.41277 | 641.42005 | C42H56O5 | 14.77 | 2.3 | 1.86 × 106 |
| 21 | Pheophorbide a | 592.26857 | 593.27585 | C35H36N4O5 | 15.37 | 2.8 | 7.44 × 107 |
| 22 | 3-[(21R)-21-(Methoxycarbonyl)-4,8,13,18-tetramethyl-20-oxo-9,14-divinyl-3,4-didehydro-3-24,25-dihydrophorbinyl]propanoic acid | 588.23727 | 589.24455 | C35H32N4O5 | 15.60 | 1.7 | 9.32 × 106 |
| 23 | (2E)-3-[21-(Methoxycarbonyl)-4,8,13,18-tetramethyl-20-oxo-9,14-divinyl-3,4-didehydro-3-24,25-dihydrophorbinyl]acrylic acid | 586.22162 | 587.2289 | C35H30N4O5 | 15.67 | 0.9 | 3.11 × 106 |
| 25 | 4-{[(2R,3S,4S,5R,6R)-6-{[(2S,3S,4S,5R)-5-({[3-Carboxy-3-(dodecylamino)propanoyl]oxy}methyl)-3,4-dihydroxy-2-(hydroxymethyl)tetrahydro-2-furanyl]oxy}-3,4,5-trihydroxytetrahydro-2H-pyran-2-yl]methoxy}-2 -(dodecylamino)-4-oxobutanoic acid | 908.54570 | 909.55298 | C44H80N2O17 | 16.06 | 4.4 | 2.12 × 104 |
| 27 | Pheophytin b | 884.54519 | 885.55246 | C55H72N4O6 | 18.97 | 11.0 | 3.11 × 105 |
| 28 | Loroxanthin decenoate | 736.54309 | 737.55034 | C50H72O4 | 19.06 | 3.3 | 6.68 × 104 |
| STEROID DERIVATIVES | |||||||
| 2 | β-Sitosterol 3-O-acetate | 456.39673 | 457.40401 | C31H52O2 | 9.92 | 4.5 | 2.13 × 106 |
| 26 | Fucosterol epoxide | 428.36543 | 429.37271 | C29H48O2 | 17.41 | 1.0 | 1.98 × 106 |
Disclaimer/Publisher’s Note: The statements, opinions and data contained in all publications are solely those of the individual author(s) and contributor(s) and not of MDPI and/or the editor(s). MDPI and/or the editor(s) disclaim responsibility for any injury to people or property resulting from any ideas, methods, instructions or products referred to in the content. |
© 2023 by the authors. Licensee MDPI, Basel, Switzerland. This article is an open access article distributed under the terms and conditions of the Creative Commons Attribution (CC BY) license (https://creativecommons.org/licenses/by/4.0/).
Share and Cite
Radman, S.; Čagalj, M.; Šimat, V.; Jerković, I. Seasonal Monitoring of Volatiles and Antioxidant Activity of Brown Alga Cladostephus spongiosus. Mar. Drugs 2023, 21, 415. https://doi.org/10.3390/md21070415
Radman S, Čagalj M, Šimat V, Jerković I. Seasonal Monitoring of Volatiles and Antioxidant Activity of Brown Alga Cladostephus spongiosus. Marine Drugs. 2023; 21(7):415. https://doi.org/10.3390/md21070415
Chicago/Turabian StyleRadman, Sanja, Martina Čagalj, Vida Šimat, and Igor Jerković. 2023. "Seasonal Monitoring of Volatiles and Antioxidant Activity of Brown Alga Cladostephus spongiosus" Marine Drugs 21, no. 7: 415. https://doi.org/10.3390/md21070415
APA StyleRadman, S., Čagalj, M., Šimat, V., & Jerković, I. (2023). Seasonal Monitoring of Volatiles and Antioxidant Activity of Brown Alga Cladostephus spongiosus. Marine Drugs, 21(7), 415. https://doi.org/10.3390/md21070415

