Bioactivity and Metabolome Mining of Deep-Sea Sediment-Derived Microorganisms Reveal New Hybrid PKS-NRPS Macrolactone from Aspergillus versicolor PS108-62
Abstract
1. Introduction
2. Results
2.1. Diversity and Bioactivity of Microorganisms Derived from Arctic Deep-Sea Sediments
2.2. Strain Selection for Large Scale Chemical Investigation
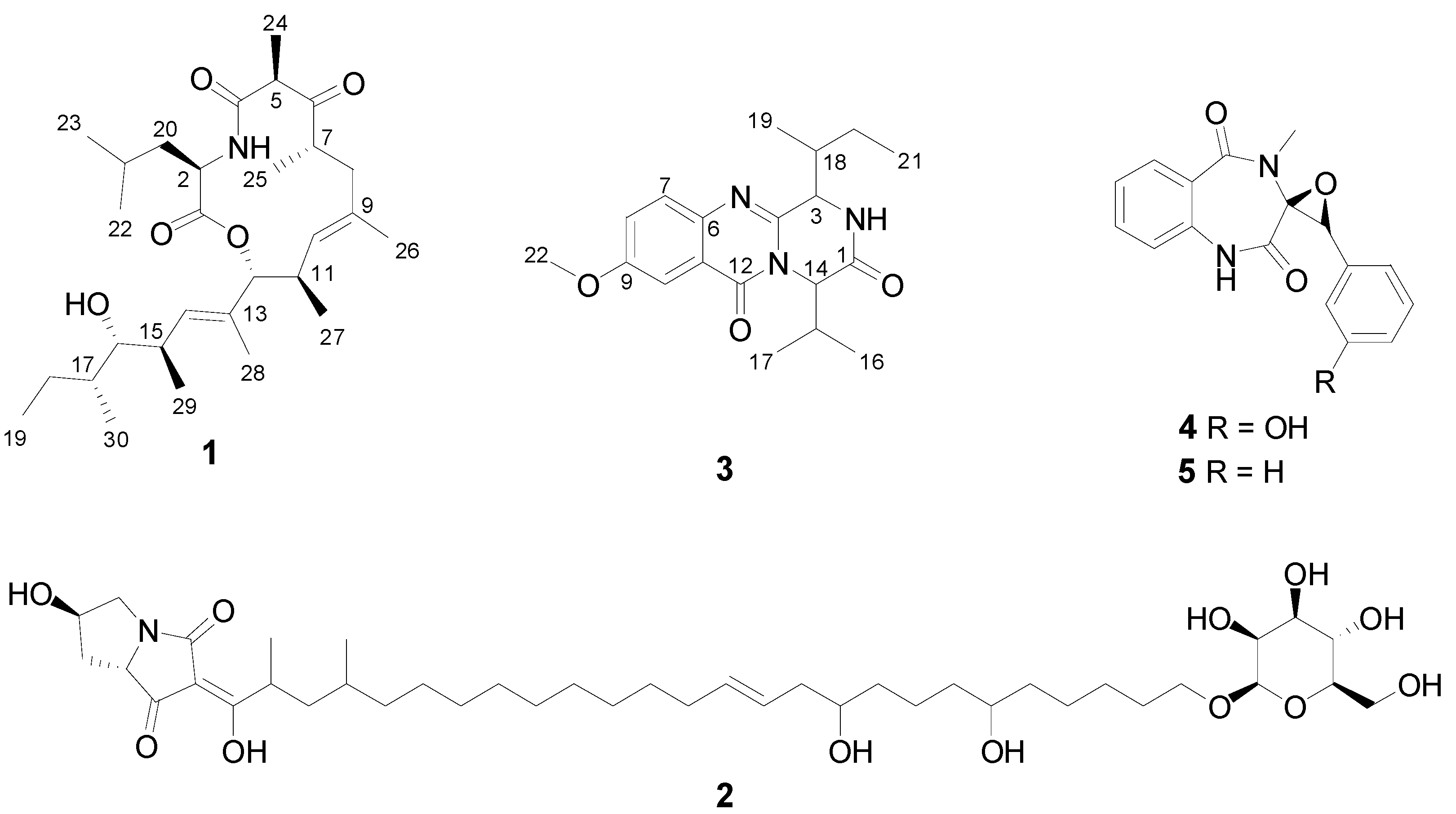
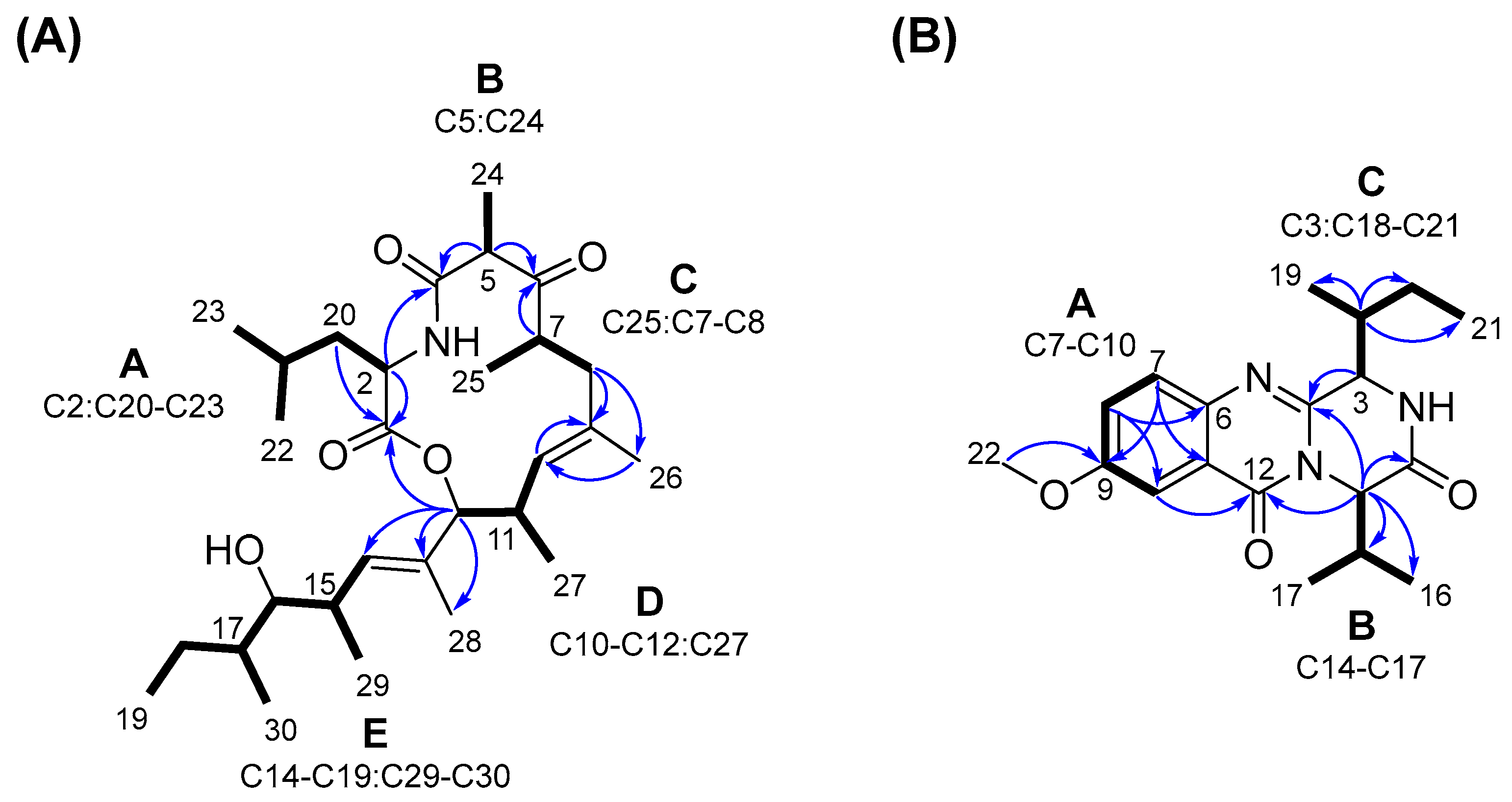
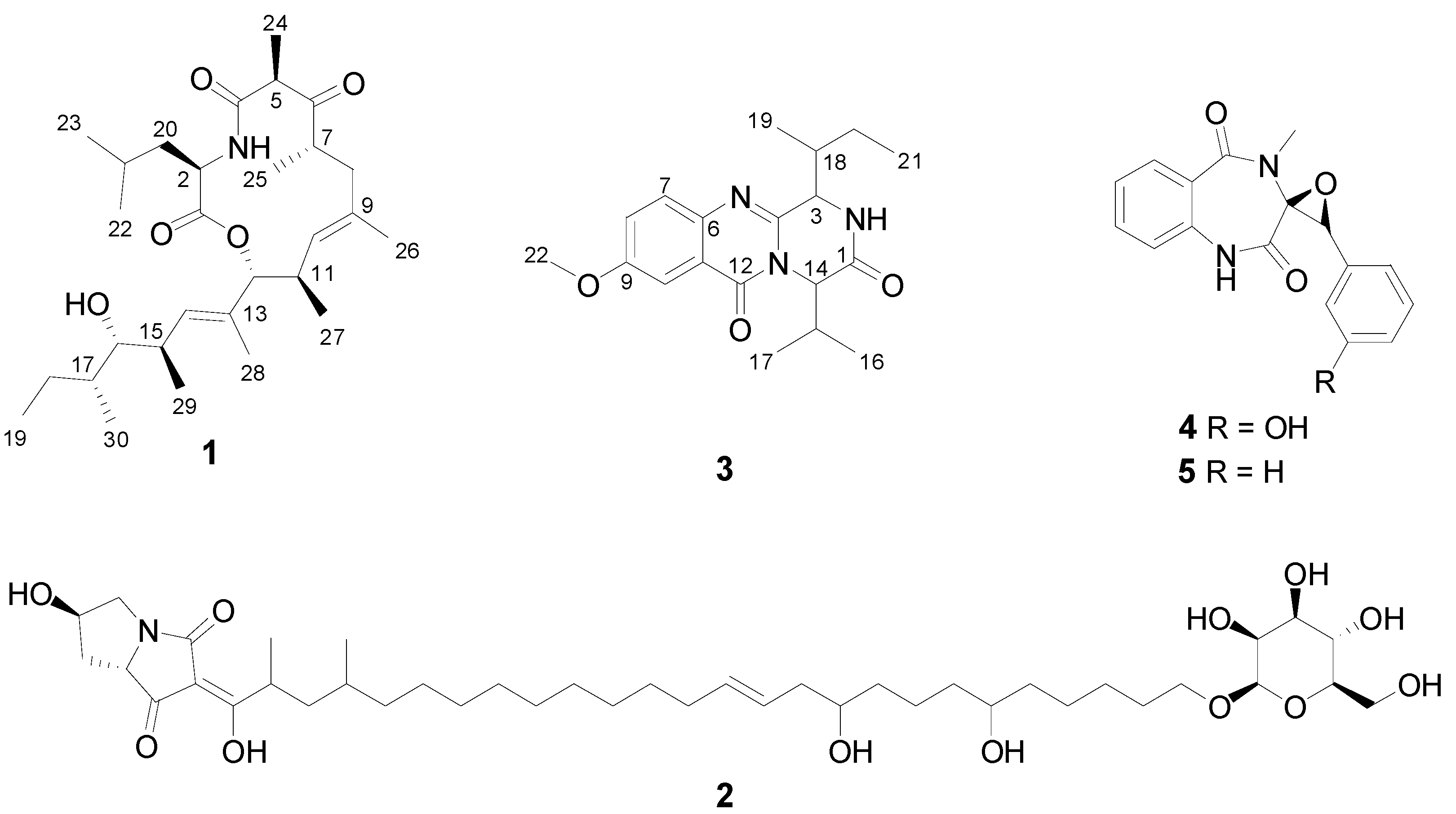
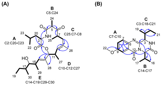
2.3. Compound Isolation and Structure Elucidation
2.4. Bioactivity Results of Purified Compounds
3. Discussion
4. Materials and Methods
4.1. General Procedures
4.2. Strain Isolation and Identification
4.3. Initial Cultivation and Extraction for Bioactivity Screening
4.4. Extraction and Compound Isolation
4.5. UPLC-QToF-MS Analysis
4.6. Molecular Network
4.7. Computational Details
4.8. Bacterial and Fungal Bioactivity Assays
4.9. Anticancer and Cytotoxicity Bioactivity Assays
5. Conclusions
Supplementary Materials
Author Contributions
Funding
Data Availability Statement
Acknowledgments
Conflicts of Interest
References
- Baker, D.D.; Alvi, K. Small-molecule natural products: New structures, new activities. Curr. Opin. Biotechnol. 2004, 15, 576–583. [Google Scholar] [CrossRef] [PubMed]
- Petro, C.; Starnawski, P.; Schramm, A.; Kjeldsen, K.U. Microbial community assembly in marine sediments. Aquat. Microb. Ecol. 2017, 79, 177–195. [Google Scholar] [CrossRef]
- Hedges, J.I.; Keil, R.G. Sedimentary organic matter preservation: An assessment and speculative synthesis. Mar. Chem. 1995, 49, 81–115. [Google Scholar] [CrossRef]
- Jørgensen, B.B.; Boetius, A. Feast and famine—Microbial life in the deep-sea bed. Nat. Rev. Microbiol. 2007, 5, 770–781. [Google Scholar] [CrossRef] [PubMed]
- Roman, S.; Ortiz-Álvarez, R.; Romano, C.; Casamayor, E.O.; Martin, D. Microbial community structure and functionality in the deep sea floor: Evaluating the causes of spatial heterogeneity in a submarine canyon system (NW Mediterranean, Spain). Front. Mar. Sci. 2019, 6, 108. [Google Scholar] [CrossRef]
- Skropeta, D.; Wei, L. Recent advances in deep-sea natural products. Nat. Prod. Rep. 2014, 31, 999–1025. [Google Scholar] [CrossRef] [PubMed]
- Tortorella, E.; Tedesco, P.; Palma Esposito, F.; January, G.G.; Fani, R.; Jaspars, M.; De Pascale, D. Antibiotics from deep-sea microorganisms: Current discoveries and perspectives. Mar. Drugs 2018, 16, 355. [Google Scholar] [CrossRef] [PubMed]
- Deming, J.W. Deep ocean environmental biotechnology. Curr. Opin. Biotechnol. 1998, 9, 283–287. [Google Scholar] [CrossRef] [PubMed]
- Soldatou, S.; Baker, B.J. Cold-water marine natural products, 2006 to 2016. Nat. Prod. Rep. 2017, 34, 585–626. [Google Scholar] [CrossRef]
- Giordano, D. Bioactive molecules from extreme environments. Mar. Drugs 2020, 18, 640. [Google Scholar] [CrossRef] [PubMed]
- Carroll, A.R.; Copp, B.R.; Davis, R.A.; Keyzers, R.A.; Prinsep, M.R. Marine natural products. Nat. Prod. Rep. 2020, 37, 175–223. [Google Scholar] [CrossRef]
- MarinLit: A Database of the Marine Natural Products Literature. Available online: http://pubs.rsc.org/marinlit/ (accessed on 15 November 2022).
- Blunt, J.W.; Carroll, A.R.; Copp, B.R.; Davis, R.A.; Keyzers, R.A.; Prinsep, M.R. Marine natural products. Nat. Prod. Rep. 2022, 39, 1122–1171. [Google Scholar] [CrossRef]
- Houbraken, J.; Kocsubé, S.; Visagie, C.M.; Yilmaz, N.; Wang, X.-C.; Meijer, M.; Kraak, B.; Hubka, V.; Bensch, K.; Samson, R.A. Classification of Aspergillus, Penicillium, Talaromyces and related genera (Eurotiales): An overview of families, genera, subgenera, sections, series and species. Stud. Mycol. 2020, 96, 141–153. [Google Scholar] [CrossRef] [PubMed]
- Imhoff, J.F. Natural products from marine fungi—Still an underrepresented resource. Mar. Drugs 2016, 14, 19. [Google Scholar] [CrossRef]
- Wang, Y.-T.; Xue, Y.-R.; Liu, C.-H. A brief review of bioactive metabolites derived from deep-sea fungi. Mar. Drugs 2015, 13, 4594–4616. [Google Scholar] [CrossRef]
- Lee, Y.M.; Kim, M.J.; Li, H.; Zhang, P.; Bao, B.; Lee, K.J.; Jung, J.H. Marine-derived Aspergillus species as a source of bioactive secondary metabolites. Mar. Biotechnol. 2013, 15, 499–519. [Google Scholar] [CrossRef] [PubMed]
- Soltwedel, T.; Bauerfeind, E.; Bergmann, M.; Bracher, A.; Budaeva, N.; Busch, K.; Cherkasheva, A.; Fahl, K.; Grzelak, K.; Hasemanna, C.; et al. Natural variability or anthropogenically induced variation. Insights from 15 years of multidisciplinary observations at the Arctic marine LTER site HAUSGARTEN. Ecol. Indic. 2016, 65, 89–102. [Google Scholar] [CrossRef]
- Bode, H.B.; Bethe, B.; Höfs, R.; Zeeck, A. Big effects from small changes: Possible ways to explore nature’s chemical diversity. ChemBioChem 2002, 3, 619–627. [Google Scholar] [CrossRef] [PubMed]
- Gribble, G.W. Biological activity of recently discovered halogenated marine natural products. Mar. Drugs 2015, 13, 4044–4136. [Google Scholar] [CrossRef]
- Bajpai, P. The control of microbiological problems. Pulp Pap. Ind. 2015, 103–195. [Google Scholar]
- Wang, M.; Carver, J.J.; Phelan, V.V.; Sanchez, L.M.; Garg, N.; Peng, Y.; Nguyen, D.D.; Watrous, J.; Kapono, C.A.; Luzzatto-Knaan, T. Sharing and community curation of mass spectrometry data with Global Natural Products Social Molecular Networking. Nat. Biotechnol. 2016, 34, 828–837. [Google Scholar] [CrossRef]
- Grangemard, I.; Bonmatin, J.-M.; Bernillon, J.; Das, B.C.; Peypoux, F. Lichenysins G, a novel family of lipopeptide biosurfactants from Bacillus licheniformis IM 1307: Production, isolation and structural evaluation by NMR and mass spectrometry. J. Antibiot. 1999, 52, 363–373. [Google Scholar] [CrossRef] [PubMed]
- Madslien, E.H.; Rønning, H.T.; Lindbäck, T.; Hassel, B.; Andersson, M.A.; Granum, P.E. Lichenysin is produced by most Bacillus licheniformis strains. J. Appl. Microbiol. 2013, 115, 1068–1080. [Google Scholar] [CrossRef] [PubMed]
- Mohammed, Y.S.; Luckner, M. The structure of cyclopenin and cyclopenol, metabolic products from Penicillium cyclopium Westling and Penicillium viridicatum Westling. Tetrahedron Lett. 1963, 4, 1953–1958. [Google Scholar] [CrossRef]
- Jiang, T.; Li, T.; Li, J.; Fu, H.-Z.; Pei, Y.-H.; Lin, W.-H. Cerebroside analogues from marine-derived fungus Aspergillus flavipes. J. Asian Nat. Prod. Res. 2004, 6, 249–257. [Google Scholar] [CrossRef]
- Yang, G.; Sandjo, L.; Yun, K.; Leutou, A.S.; Kim, G.-D.; Choi, H.D.; Kang, J.S.; Hong, J.; Son, B.W. Flavusides A and B, antibacterial cerebrosides from the marine-derived fungus Aspergillus flavus. Chem. Pharm. Bull. 2011, 59, 1174–1177. [Google Scholar] [CrossRef]
- Li, H.; Gilchrist, C.L.M.; Lacey, H.J.; Crombie, A.; Vuong, D.; Pitt, J.I.; Lacey, E.; Chooi, Y.-H.; Piggott, A.M. Discovery and heterologous biosynthesis of the burnettramic acids: Rare PKS-NRPS-derived bolaamphiphilic pyrrolizidinediones from an Australian fungus, Aspergillus burnettii. Org. Lett. 2019, 21, 1287–1291. [Google Scholar] [CrossRef]
- Li, J.; Chen, M.; Hao, X.; Li, S.; Li, F.; Yu, L.; Xiao, C.; Gan, M. Structural revision and absolute configuration of burnettramic acid A. Org. Lett. 2019, 22, 98–101. [Google Scholar] [CrossRef] [PubMed]
- Lee, S.U.; Asami, Y.; Lee, D.; Jang, J.-H.; Ahn, J.S.; Oh, H. Protuboxepins A and B and protubonines A and B from the marine-derived fungus Aspergillus sp. SF-5044. J. Nat. Prod. 2011, 74, 1284–1287. [Google Scholar] [CrossRef]
- Lorenzo, P.; Álvarez, R.; de Lera, A.R. Total synthesis and structural revision of (–)-protubonine a and (–)-protubonine B. European J. Org. Chem. 2014, 2014, 2557–2564. [Google Scholar] [CrossRef]
- Pan, C.; Shi, Y.; Chen, X.; Chen, C.-T.A.; Tao, X.; Wu, B. New compounds from a hydrothermal vent crab-associated fungus Aspergillus versicolor XZ-4. Org. Biomol. Chem. 2017, 15, 1155–1163. [Google Scholar] [CrossRef]
- Kupchan, S.M.; Britton, R.W.; Ziegler, M.F.; Sigel, C.W. Bruceantin, a new potent antileukemic simaroubolide from Brucea antidysenterica. J. Org. Chem. 1973, 38, 178–179. [Google Scholar] [CrossRef] [PubMed]
- Guo, J.-P.; Zhu, C.-Y.; Zhang, C.-P.; Chu, Y.-S.; Wang, Y.-L.; Zhang, J.-X.; Wu, D.-K.; Zhang, K.-Q.; Niu, X.-M. Thermolides, potent nematocidal PKS-NRPS hybrid metabolites from thermophilic fungus Talaromyces thermophilus. J. Am. Chem. Soc. 2012, 134, 20306–20309. [Google Scholar] [CrossRef]
- Wakabayashi, T.; Mori, K.; Kobayashi, S. Total synthesis and structural elucidation of khafrefungin. J. Am. Chem. Soc. 2001, 123, 1372–1375. [Google Scholar] [CrossRef]
- Grauso, L.; Li, Y.; Scarpato, S.; Shulha, O.; Rárová, L.; Strnad, M.; Teta, R.; Mangoni, A.; Zidorn, C. Structure and conformation of zosteraphenols, tetracyclic diarylheptanoids from the seagrass Zostera marina: An NMR and DFT Study. Org. Lett. 2020, 22, 78–82. [Google Scholar] [CrossRef]
- Pierens, G.K. 1H and 13C NMR scaling factors for the calculation of chemical shifts in commonly used solvents using density functional theory. J. Comput. Chem. 2014, 35, 1388–1394. [Google Scholar] [CrossRef]
- Grimblat, N.; Zanardi, M.M.; Sarotti, A.M. Beyond DP4: An Improved probability for the stereochemical assignment of isomeric compounds using quantum chemical calculations of NMR shifts. J. Org. Chem. 2015, 80, 12526–12534. [Google Scholar] [CrossRef] [PubMed]
- Teixeira, T.R.; Rangel, K.C.; Tavares, R.S.N.; Kawakami, C.M.; Santos, G.S.; Maria-Engler, S.S.; Colepicolo, P.; Gaspar, L.R.; Debonsi, H.M. In Vitro Evaluation of the Photoprotective Potential of Quinolinic Alkaloids Isolated from the Antarctic Marine Fungus Penicillium echinulatum for Topical Use. Mar Biotechnol. 2021, 23, 357–372. [Google Scholar] [CrossRef] [PubMed]
- Sohn, J.H.; Lee, Y.-R.; Lee, D.-S.; Kim, Y.-C.; Oh, H. PTP1B inhibitory secondary metabolites from marine-derived fungal strains Penicillium spp. and Eurotium sp. J. Microbiol. Biotechnol. 2013, 23, 1206–1211. [Google Scholar] [CrossRef]
- Li, J.; Wang, J.; Jiang, C.-S.; Li, G.; Guo, Y.-W. (+)-Cyclopenol, a new naturally occurring 7-membered 2, 5-dioxopiperazine alkaloid from the fungus Penicillium sclerotiorum endogenous with the Chinese mangrove Bruguiera gymnorrhiza. J. Asian Nat. Prod. Res. 2014, 16, 542–548. [Google Scholar] [CrossRef]
- Bracken, A.; Pocker, A.; Raistrick, H. Studies in the biochemistry of microorganisms. 93. Cyclopenin, a nitrogen-containing metabolic product of Penicillium cyclopium Westling. Biochem. J. 1954, 57, 587. [Google Scholar] [CrossRef] [PubMed]
- Wang, L.; Li, M.; Lin, Y.; Du, S.; Liu, Z.; Ju, J.; Suzuki, H.; Sawada, M.; Umezawa, K. Inhibition of cellular inflammatory mediator production and amelioration of learning deficit in flies by deep sea Aspergillus-derived cyclopenin. J. Antibiot. (Tokyo) 2020, 73, 622–629. [Google Scholar] [CrossRef] [PubMed]
- Poli, A.; Finore, I.; Romano, I.; Gioiello, A.; Lama, L.; Nicolaus, B. Microbial diversity in extreme marine habitats and their biomolecules. Microorganisms 2017, 5, 25. [Google Scholar] [CrossRef]
- Jroundi, F.; Martinez-Ruiz, F.; Merroun, M.L.; Gonzalez-Muñoz, M.T. Exploring bacterial community composition in Mediterranean deep-sea sediments and their role in heavy metal accumulation. Sci. Total Environ. 2020, 712, 135660. [Google Scholar] [CrossRef]
- Franco, N.R.; Giraldo, M.Á.; López-Alvarez, D.; Gallo-Franco, J.J.; Dueñas, L.F.; Puentes, V.; Castillo, A. Bacterial composition and diversity in deep-sea sediments from the Southern Colombian Caribbean Sea. Diversity 2020, 13, 10. [Google Scholar] [CrossRef]
- Marchese, P.; Garzoli, L.; Young, R.; Allcock, L.; Barry, F.; Tuohy, M.; Murphy, M. Fungi populate deep-sea coral gardens as well as marine sediments in the Irish Atlantic Ocean. Environ. Microbiol. 2021, 23, 4168–4184. [Google Scholar] [CrossRef] [PubMed]
- Vargas-Gastélum, L.; Riquelme, M. The mycobiota of the deep sea: What omics can offer. Life 2020, 10, 292. [Google Scholar] [CrossRef] [PubMed]
- Damare, S.; Raghukumar, C.; Raghukumar, S. Fungi in deep-sea sediments of the Central Indian Basin. Deep Sea Res. Part I Oceanogr. Res. Pap. 2006, 53, 14–27. [Google Scholar] [CrossRef]
- Mouton, M.; Postma, F.; Wilsenach, J.; Botha, A. Diversity and characterization of culturable fungi from marine sediment collected from St. Helena Bay, South Africa. Microb. Ecol. 2012, 64, 311–319. [Google Scholar] [CrossRef]
- Raghukumar, C.; Raghukumar, S.; Sheelu, G.; Gupta, S.M.; Nath, B.N.; Rao, B.R. Buried in time: Culturable fungi in a deep-sea sediment core from the Chagos Trench, Indian Ocean. Deep Sea Res. Part I Oceanogr. Res. Pap. 2004, 51, 1759–1768. [Google Scholar] [CrossRef]
- Saha, M.; Ghosh, D.; Garai, D.; Jaisankar, P.; Sarkar, K.K.; Dutta, P.K.; Das, S.; Jha, T.; Mukherjee, J. Studies on the production and purification of an antimicrobial compound and taxonomy of the producer isolated from the marine environment of the Sundarbans. Appl. Microbiol. Biotechnol. 2005, 66, 497–505. [Google Scholar] [CrossRef] [PubMed]
- Darabpour, E.; Ardakani, M.R.; Motamedi, H.; Ronagh, M.T.; Najafzadeh, H. Purification and optimization of production conditions of a marine-derived antibiotic and ultra-structural study on the effect of this antibiotic against MRSA. Eur. Rev. Med. Pharmacol. Sci. 2012, 16, 157–165. [Google Scholar] [PubMed]
- Sujatha, P.; Raju, K.B.; Ramana, T. Studies on a new marine streptomycete BT-408 producing polyketide antibiotic SBR-22 effective against methicillin resistant Staphylococcus aureus. Microbiol. Res. 2005, 160, 119–126. [Google Scholar] [CrossRef] [PubMed]
- Romano, S.; Jackson, S.A.; Patry, S.; Dobson, A.D.W. Extending the “one strain many compounds”(OSMAC) principle to marine microorganisms. Mar. Drugs 2018, 16, 244. [Google Scholar] [CrossRef]
- Si, Y.; Tang, M.; Lin, S.; Chen, G.; Feng, Q.; Wang, Y.; Hua, H.; Bai, J.; Wang, H.; Pei, Y. Cytotoxic cytochalasans from Aspergillus flavipes PJ03-11 by OSMAC method. Tetrahedron Lett. 2018, 59, 1767–1771. [Google Scholar] [CrossRef]
- Rédou, V.; Navarri, M.; Meslet-Cladière, L.; Barbier, G.; Burgaud, G. Species richness and adaptation of marine fungi from deep-subseafloor sediments. Appl. Environ. Microbiol. 2015, 81, 3571–3583. [Google Scholar] [CrossRef]
- Quemener, M.; Dayras, M.; Frotté, N.; Debaets, S.; Le Meur, C.; Barbier, G.; Edgcomb, V.; Mehiri, M.; Burgaud, G. Highlighting the biotechnological potential of deep oceanic crust fungi through the prism of their antimicrobial activity. Mar. Drugs 2021, 19, 411. [Google Scholar] [CrossRef]
- Zain ul Arifeen, M.; Ma, Y.-N.; Xue, Y.-R.; Liu, C.-H. Deep-sea fungi could be the new arsenal for bioactive molecules. Mar. Drugs 2019, 18, 9. [Google Scholar] [CrossRef]
- Yang, L.-J.; Peng, X.-Y.; Zhang, Y.-H.; Liu, Z.-Q.; Li, X.; Gu, Y.-C.; Shao, C.-L.; Han, Z.; Wang, C.-Y. Antimicrobial and antioxidant polyketides from a deep-sea-derived fungus Aspergillus versicolor SH0105. Mar. Drugs 2020, 18, 636. [Google Scholar] [CrossRef]
- Tian, Y.; Qin, X.; Lin, X.; Kaliyaperumal, K.; Zhou, X.; Liu, J.; Ju, Z.; Tu, Z.; Liu, Y. Sydoxanthone C and acremolin B produced by deep-sea-derived fungus Aspergillus sp. SCSIO Ind09F01. J. Antibiot. 2015, 68, 703–706. [Google Scholar] [CrossRef]
- Boettger, D.; Hertweck, C. Molecular diversity sculpted by fungal PKS–NRPS hybrids. ChemBioChem 2013, 14, 28–42. [Google Scholar] [CrossRef] [PubMed]
- Wenke, J.; Anke, H.; Sterner, O. Pseurotin A and 8-O-demethylpseurotin A from Aspergillus fumigatus and their inhibitory activities on chitin synthase. Biosci. Biotechnol. Biochem. 1993, 57, 961–964. [Google Scholar] [CrossRef]
- Shi, Y.-M.; Richter, C.; Challinor, V.L.; Grun, P.; Girela del Rio, A.; Kaiser, M.; Schuffler, A.; Piepenbring, M.; Schwalbe, H.; Bode, H.B. Georatusin, a specific antiparasitic polyketide–peptide hybrid from the fungus Geomyces auratus. Org. Lett. 2018, 20, 1563–1567. [Google Scholar] [CrossRef]
- Krasnoff, S.B.; Englich, U.; Miller, P.G.; Shuler, M.L.; Glahn, R.P.; Donzelli, B.G.G.; Gibson, D.M. Metacridamides A and B, macrocycles from conidia of the entomopathogenic fungus Metarhizium acridum. J. Nat. Prod. 2012, 75, 175–180. [Google Scholar] [CrossRef] [PubMed]
- Bertin, M.J.; Roduit, A.F.; Sun, J.; Alves, G.E.; Via, C.W.; Gonzalez, M.A.; Zimba, P.V.; Moeller, P.D.R. Tricholides A and B and unnarmicin D: New hybrid PKS-NRPS macrocycles isolated from an environmental collection of Trichodesmium thiebautii. Mar. Drugs 2017, 15, 206. [Google Scholar] [CrossRef] [PubMed]
- Zhang, J.-M.; Wang, H.-H.; Liu, X.; Hu, C.-H.; Zou, Y. Heterologous and engineered biosynthesis of nematocidal polyketide–nonribosomal peptide hybrid macrolactone from extreme thermophilic fungi. J. Am. Chem. Soc. 2020, 142, 1957–1965. [Google Scholar] [CrossRef] [PubMed]
- Wang, N.N.; Liu, C.Y.; Wang, T.; Li, Y.L.; Xu, K.; Lou, H.X. Two new quinazoline derivatives from the moss endophytic fungus Aspergillus sp. and their anti-inflammatory activity. Nat. Prod. Bioprospect. 2021, 11, 105–110. [Google Scholar] [CrossRef]
- Alfred-Wegener-Institut Helmholtz-Zentrum für Polar- und Meeresforschung. Polar research and supply vessel POLARSTERN operated by the Alfred-Wegener-Institute. JLSRF 2017, 3, A119. [Google Scholar] [CrossRef]
- Utermann, C.; Echelmeyer, V.A.; Blümel, M.; Tasdemir, D. Culture-dependent microbiome of the Ciona intestinalis tunic: Isolation, bioactivity profiling and untargeted metabolomics. Microorganisms 2020, 8, 1732. [Google Scholar] [CrossRef]
- White, T.J.; Bruns, T.; Lee, S.; Taylor, J. Amplification and direct sequencing of fungal ribosomal RNA genes for phylogenetics. PCR Protocol: A Guide to Methods and Application. 1990, 18, 315–322. [Google Scholar]
- Lane, D.J. 1 16S/23S rRNA sequencing. Nucleic acid Tech. Bact. Syst. 1991, 115–175. [Google Scholar]
- Buedenbender, L.; Kumar, A.; Blümel, M.; Kempken, F.; Tasdemir, D. Genomics-and metabolomics-based investigation of the deep-sea sediment-derived yeast, Rhodotorula mucilaginosa 50-3-19/20B. Mar. Drugs 2021, 19, 14. [Google Scholar] [CrossRef] [PubMed]
- Costantino, V.; Fattorusso, E.; Mangoni, A.; Perinu, C.; Teta, R.; Panza, E.; Ianaro, A. Tedarenes A and B: Structural and stereochemical analysis of two new strained cyclic diarylheptanoids from the marine sponge Tedania ignis. J. Org. Chem. 2012, 77, 6377–6383. [Google Scholar] [CrossRef] [PubMed]
- Schneemann, I.; Nagel, K.; Kajahn, I.; Labes, A.; Wiese, J.; Imhoff, J.F. Comprehensive investigation of marine actinobacteria associated with the sponge Halichondria panicea. Appl. Environ. Microbiol. 2010, 76, 3702–3714. [Google Scholar] [CrossRef] [PubMed]





| Strain | Medium | Yield (mg) | Cell Culture | ESKAPE Panel | Fungi | ||||||||||
|---|---|---|---|---|---|---|---|---|---|---|---|---|---|---|---|
| A-375 | A-549 | MDA-MB-231 | HCT-116 | HaCaT | Efm | MRSA | Kp | Ab | Psa | Ec | Ca | Cn | |||
| B. licheniformis PS108-67a | MA | 3.2 | - | - | - | - | - | - | 59 | - | - | - | - | - | 52 |
| GYM | 6.6 | 94 | 46 | 74 | 70 | 79 | - | - | - | - | - | - | - | 33 | |
| GYM+Br | 9.0 | 99 | 80 | 99 | 99 | 99 | - | 40 | - | - | - | - | - | - | |
| SCK | 6.1 | - | - | - | - | - | 100 | 100 | - | - | - | - | - | - | |
| A. versicolor PS108-62 | PDA | 27.6 | 60 | 20 | 43 | 29 | 45 | - | 76 | - | - | - | - | 95 | 21 |
| Rice | 102.8 | - | - | - | - | - | - | 53 | - | - | - | - | 89 | - | |
| GPY | 8.0 | - | - | - | - | - | - | - | - | - | - | - | 26 | - | |
| GPY+Br | 10.5 | 41 | 35 | 48 | 33 | 38 | - | 44 | - | - | - | - | 89 | - | |
| Positive control | 76 | 91 | 84 | 95 | 67 | 95 | 94 | 99 | 98 | 100 | 96 | 100 | 96 | ||
| Versicolide A (1) | (−)-Isoversicomide A (3) | ||||
|---|---|---|---|---|---|
| Position | δH, Mult. (J in Hz) | δC | Position | δH, Mult. (J in Hz) | δC |
| 1 | - | 172.1, C | 1 | - | 170.6, C |
| 2 | dd (8.4, 6.6) | 51.5, CH | 2 | - | - |
| 3 | - | - | 3 | 4.72, d (2.2) | 59.7, CH |
| 4 | - | 170.3, C | 4 | - | 149.6, C |
| 5 | 3.73, q (7.1) | 56.9, CH | 5 | - | - |
| 6 | - | 212.8, C | 6 | - | 143.0, C |
| 7 | 3.24, ddq (11.3, 2.2, 7.0) | 46.2, CH | 7 | 7.64, d (8.9) | 130.3, CH |
| 8a | 2.54, dd (13.2, 11.3) | 44.7, CH2 | 8 | 7.44, dd (8.9, 2.9) | 126.0, CH |
| 8b | 1.84, d (13.2) | 9 | - | 160.3, C | |
| 9 | - | 134.9, C | 10 | 7.62, d (2.9) | 107.1, CH |
| 10 | 4.80, d (9.2) | 130.6, CH | 11 | - | 121.9, C |
| 11 | 2.69, ddq (10.3, 9.2, 6.9) | 35.9, CH | 12 | - | 162.7, C |
| 12 | 4.51, d (10.3) | 87.0, CH | 13 | - | - |
| 13 | - | 133.2, C | 14 | 5.17, d (8.3) | 62.2, CH |
| 14 | 5.51, d (9.8) | 134.7, CH | 15 | 2.32, m | 32.6, CH |
| 15 | 2.64, m (6.8) | 36.5, CH | 16 | 0.98, d (6.8) | 20.3, CH3 |
| 16 | 3.20, t (5.6) | 79.5, CH | 17 | 1.12, d (6.7) | 19.3, CH3 |
| 17 | 1.44, m | 38.7, CH | 18 | 2.73, m | 37.7, CH |
| 18a | 1.42, m | 27.3, CH2 | 19 | 1.20, d (7.2) | 15.6, CH3 |
| 18b | 1.12, m | 20a | 1.49, m, | 24.6, CH2 | |
| 19 | 0.87, t (7.3) | 11.8, CH3 | 20b | 1.36, m | |
| 20a | 1.61, m | 40.1, CH2 | 21 | 0.96, t (7.5) | 12.8, CH3 |
| 20b | 1.52, m | 22 | 3.92, s | 56.3, CH3 | |
| 21 | 1.53, m | 26.0, CH | |||
| 22 | 0.91, d (6.4) | 23.0, CH3 | |||
| 23 | 0.88, d (6.3) | 22.5, CH3 | |||
| 24 | 1.29, d (7.1) | 14.8, CH3 | |||
| 25 | 1.07, d (7.0) | 18.8, CH3 | |||
| 26 | 1.68, s | 16.1, CH3 | |||
| 27 | 0.76, d (6.8) | 17.4, CH3 | |||
| 28 | 1.61, s | 11.8, CH3 | |||
| 29 | 0.94, d (6.8) | 17.9, CH3 | |||
| 30 | 0.91, d (6.4) | 14.5, CH3 | |||
Disclaimer/Publisher’s Note: The statements, opinions and data contained in all publications are solely those of the individual author(s) and contributor(s) and not of MDPI and/or the editor(s). MDPI and/or the editor(s) disclaim responsibility for any injury to people or property resulting from any ideas, methods, instructions or products referred to in the content. |
© 2023 by the authors. Licensee MDPI, Basel, Switzerland. This article is an open access article distributed under the terms and conditions of the Creative Commons Attribution (CC BY) license (https://creativecommons.org/licenses/by/4.0/).
Share and Cite
Magot, F.; Van Soen, G.; Buedenbender, L.; Li, F.; Soltwedel, T.; Grauso, L.; Mangoni, A.; Blümel, M.; Tasdemir, D. Bioactivity and Metabolome Mining of Deep-Sea Sediment-Derived Microorganisms Reveal New Hybrid PKS-NRPS Macrolactone from Aspergillus versicolor PS108-62. Mar. Drugs 2023, 21, 95. https://doi.org/10.3390/md21020095
Magot F, Van Soen G, Buedenbender L, Li F, Soltwedel T, Grauso L, Mangoni A, Blümel M, Tasdemir D. Bioactivity and Metabolome Mining of Deep-Sea Sediment-Derived Microorganisms Reveal New Hybrid PKS-NRPS Macrolactone from Aspergillus versicolor PS108-62. Marine Drugs. 2023; 21(2):95. https://doi.org/10.3390/md21020095
Chicago/Turabian StyleMagot, Florent, Gwendoline Van Soen, Larissa Buedenbender, Fengjie Li, Thomas Soltwedel, Laura Grauso, Alfonso Mangoni, Martina Blümel, and Deniz Tasdemir. 2023. "Bioactivity and Metabolome Mining of Deep-Sea Sediment-Derived Microorganisms Reveal New Hybrid PKS-NRPS Macrolactone from Aspergillus versicolor PS108-62" Marine Drugs 21, no. 2: 95. https://doi.org/10.3390/md21020095
APA StyleMagot, F., Van Soen, G., Buedenbender, L., Li, F., Soltwedel, T., Grauso, L., Mangoni, A., Blümel, M., & Tasdemir, D. (2023). Bioactivity and Metabolome Mining of Deep-Sea Sediment-Derived Microorganisms Reveal New Hybrid PKS-NRPS Macrolactone from Aspergillus versicolor PS108-62. Marine Drugs, 21(2), 95. https://doi.org/10.3390/md21020095

