Recent Advances in the Synthesis of Marine-Derived Alkaloids via Enzymatic Reactions
Abstract
1. Introduction
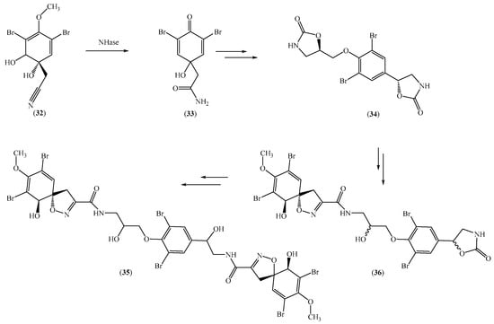
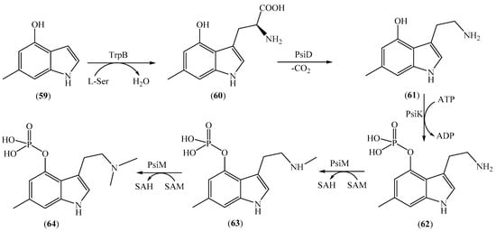
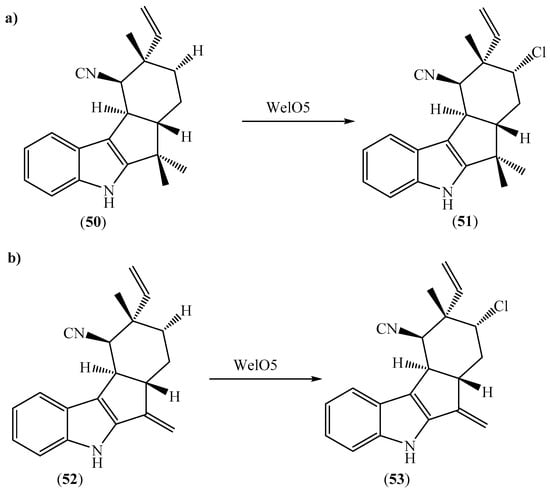
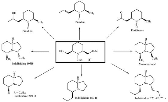
2. Marine-Derived Alkaloids
3. Enzymatic and Chemoenzymatic Approaches for Alkaloids
4. Conclusions and Outlook
Author Contributions
Funding
Institutional Review Board Statement
Informed Consent Statement
Data Availability Statement
Acknowledgments
Conflicts of Interest
References
- Saleem, M.; Ali, M.S.; Hussain, S.; Jabbar, A.; Ashraf, M.; Lee, Y.S. Marine natural products of fungal origin. Nat. Prod. Rep. 2007, 24, 1142–1152. [Google Scholar] [CrossRef] [PubMed]
- Song, C.; Yang, J.; Zhang, M.; Ding, G.; Jia, C.; Qin, J.; Guo, L. Marine natural products: The important resource of biological insecticide. Chem. Biodivers. 2021, 18, e2001020. [Google Scholar] [CrossRef] [PubMed]
- Song, B.; Li, L.; Shang, H.; Liu, Y.; Yu, M.; Ding, G.; Zou, Z. Trematosphones A and B, two unique dimeric structures from the desert plant endophytic fungus Trematosphaeria terricola. Org. Lett. 2019, 21, 2139–2142. [Google Scholar] [CrossRef] [PubMed]
- Li, L.; Zhang, X.; Tan, X.; Sun, B.; Wu, B.; Yu, M.; Zhang, T.; Zhang, Y.; Ding, G.; Matasyoh, J. Rhinoclactones A-E, resorcylic acid analogs from desert plant endophytic fungus Rhinocladiella similis. Molecules 2019, 24, 1405. [Google Scholar] [CrossRef]
- Kong, F.; Fan, P.; Zhou, L.; Ma, Q.; Xie, Q.; Zheng, H.; Zheng, Z.; Zhang, R.; Yuan, J.; Dai, H. Penerpenes A–D, four indole terpenoids with potent protein tyrosine phosphatase inhibitory activity from the marine-derived fungus Penicillium sp. KFD28. Org. Lett. 2019, 21, 4864–4867. [Google Scholar] [CrossRef]
- Sparks, T.C.; Wessels, F.J.; Lorsbach, B.A.; Nugent, B.M.; Watson, G.B. The new age of insecticide discovery-the crop protection industry and the impact of natural products. Pestic. Biochem. Physiol. 2019, 161, 12–22. [Google Scholar] [CrossRef]
- Jankevica, L.; Minova, S.; Metla, Z.; Daugavietis, M. Development of new environmentally natural insecticides product from coniferous biomass against insect pests. Int. Multidiscip. Sci. Geoconference Surv. Geol. Min. Ecol. Manag. SGEM 2018, 18, 251–258. [Google Scholar]
- Ambrosino, L.; Tangherlini, M.; Colantuono, C.; Esposito, A.; Sangiovanni, M.; Miralto, M.; Sansone, C.; Chiusano, M.L. Bioinformatics for marine products: An overview of resources, bottlenecks, and perspectives. Mar. Drugs 2019, 17, 576. [Google Scholar] [CrossRef]
- Carroll, A.R.; Copp, B.R.; Davis, R.A.; Keyzers, R.A.; Prinsep, M.R. Marine natural products. Nat. Prod. Rep. 2022, 32, 116–211. [Google Scholar] [CrossRef]
- Schrittwieser, J.H.; Resch, V. The role of biocatalysis in the asymmetric synthesis of alkaloids. RSC Adv. 2013, 3, 17602–17632. [Google Scholar] [CrossRef]
- Cigan, E.; Eggbauer, B.; Schrittwieser, J.H.; Kroutil, W. The role of biocatalysis in the asymmetric synthesis of alkaloids—An update. RSC Adv. 2021, 11, 28223. [Google Scholar] [CrossRef] [PubMed]
- Kukula-Koch, W.A.; Widelski, J. Pharmacognosy; Badal, S., Delgoda, R.A., Eds.; Academic Press: Boston, MA, USA, 2017; pp. 163–198. [Google Scholar]
- Funayama, S.; Cordell, G.A. Alkaloids: A Treasury of Poisons and Medicines; Academic Press: London, UK, 2015. [Google Scholar]
- Aniszewski, T. Alkaloids: Chemistry, Biology, Ecology, and Applications, 2nd ed.; Elsevier: Boston, MA, USA, 2015. [Google Scholar]
- Carroll, A.R.; Copp, B.R.; Davis, R.A.; Keyzers, R.A.; Prinsep, M.R. Marine natural products. Nat. Prod. Rep. 2021, 38, 362–413. [Google Scholar] [CrossRef] [PubMed]
- Carroll, A.R.; Copp, B.R.; Davis, R.A.; Keyzers, R.A.; Prinsep, M.R. Marine natural products. Nat. Prod. Rep. 2020, 37, 175–223. [Google Scholar] [CrossRef] [PubMed]
- Carroll, A.R.; Copp, B.R.; Davis, R.A.; Keyzers, R.A.; Prinsep, M.R. Marine natural products. Nat. Prod. Rep. 2019, 36, 122–173. [Google Scholar] [CrossRef] [PubMed]
- Blunt, J.W.; Carroll, A.R.; Copp, B.R.; Davis, R.A.; Keyzers, R.A.; Prinsep, M.R. Marine natural products. Nat. Prod. Rep. 2018, 35, 8–53. [Google Scholar] [CrossRef]
- Blunt, J.W.; Copp, B.R.; Keyzers, R.A.; Munro, M.H.G.; Prinsep, M.R. Marine natural products. Nat. Prod. Rep. 2017, 34, 235–294. [Google Scholar] [CrossRef]
- Blunt, J.W.; Copp, B.R.; Keyzers, R.A.; Munro, M.H.G.; Prinsep, M.R. Marine natural products. Nat. Prod. Rep. 2016, 33, 382–431. [Google Scholar] [CrossRef]
- Blunt, J.W.; Copp, B.R.; Keyzers, R.A.; Munro, M.H.G.; Prinsep, M.R. Marine natural products. Nat. Prod. Rep. 2015, 32, 116–211. [Google Scholar] [CrossRef]
- Blunt, J.W.; Copp, B.R.; Keyzers, R.A.; Munro, M.H.G.; Prinsep, M.R. Marine natural products. Nat. Prod. Rep. 2014, 31, 160–258. [Google Scholar] [CrossRef]
- Blunt, J.W.; Copp, B.R.; Keyzers, R.A.; Munro, M.H.G.; Prinsep, M.R. Marine natural products. Nat. Prod. Rep. 2013, 30, 237–323. [Google Scholar] [CrossRef]
- Blunt, J.W.; Copp, B.R.; Keyzers, R.A.; Munro, M.H.G.; Prinsep, M.R. Marine natural products. Nat. Prod. Rep. 2012, 29, 144–222. [Google Scholar] [CrossRef] [PubMed]
- Blunt, J.W.; Copp, B.R.; Munro, M.H.G.; Northcote, P.T.; Prinsep, M.R. Marine natural products. Nat. Prod. Rep. 2011, 28, 196. [Google Scholar] [CrossRef] [PubMed]
- Dyshlovoy, S.A.; Kaune, M.; Kriegs, M.; Hauschild, J.; Busenbender, T.; Shubina, L.K.; Makarieva, T.N.; Hoffer, K.; Bokemeyer, C.; Graefen, M.; et al. Marine alkaloid monanchoxymycalin C: A new specific activator of JNK1/2 kinase with anticancer properties. Sci. Rep. 2020, 10, 13178. [Google Scholar] [CrossRef] [PubMed]
- Hohlman, R.M.; Sherman, D.H. Recent advances in hapalindole-type cyanobacterial alkaloids: Biosynthesis, synthesis, and biological activity. Nat. Prod. Rep. 2021, 38, 1567–1588. [Google Scholar] [CrossRef]
- Tempone, A.G.; Pieper, P.; Borborema, S.E.T.; Thevenard, F.; Lago, J.H.G.; Croft, S.L.; Anderson, E.A. Marine alkaloids as bioactive agents against protozoal neglected tropical diseases and malaria. Nat. Prod. Rep. 2021, 38, 2214–2235. [Google Scholar] [CrossRef] [PubMed]
- Daley, S.; Cordell, G.A. Biologically significant and recently isolated alkaloids from endophytic fungi. J. Nat. Prod. 2021, 84, 871–897. [Google Scholar] [CrossRef]
- Chuzel, O.; Riant, O. Review of (-)-sparteine as a chiral ligand for metal catalysts. TopOrganomet. Chem. 2005, 15, 59–92. [Google Scholar]
- Taday, F.; Ryan, J.; Argent, S.P.; Caprio, V.; Maciá, B.; O’Reilly, E. Asymmetric construction of alkaloids by employing a key ω-transaminase cascade. Chem. Eur. J. 2020, 26, 3729–3732. [Google Scholar] [CrossRef]
- Hunt, A.J.; Farmer, T.J.; Clark, J.H. Element Recovery and Sustainability; Hunt, A.J., Ed.; The Royal Society of Chemistry: Cambridge, UK, 2013; pp. 1–28. [Google Scholar]
- Fröhlich, P.; Lorenz, T.; Martin, G.; Brett, B.; Bertau, M. Valuable metals—Recovery processes, current trends, and recycling strategies. Angew. Chem. Int. Ed. 2017, 56, 2544–2580. [Google Scholar] [CrossRef]
- Sigrist, R.; da Costa, B.Z.; Marsaioli, A.J.; de Oliveira, L.G. Nature-inspired enzymatic cascades to build valuable compounds. Biotech. Adv. 2015, 33, 394–411. [Google Scholar] [CrossRef]
- Bian, C.; Wang, J.; Zhou, X.; Wu, W.; Guo, R. Recent advances on marine alkaloids from sponges. Chem. Biodiversity 2020, 17, e2000186. [Google Scholar] [CrossRef] [PubMed]
- Eltahawy, N.A.; Ibrahim, A.K.; Radwan, M.M.; Zaitone, S.A.; Gomaa, M.; ElSohly, M.A.; Hassanean, H.A.; Ahmed, S.A. Mechanism of action of antiepileptic ceramide from Red Sea soft coral Sarcophyton auritum. Bioorg. Med. Chem. Lett. 2015, 25, 5819–5824. [Google Scholar] [CrossRef] [PubMed]
- Liu, F.; Li, S.; Ju, Z.-R.; Liu, T.-T.; Liang, R.-Y.; Liao, X.-J.; Xu, S.-H. N-(3-aminopropyl) subergorgamide, a new alkaloid from the gorgonian Paraplexaura sp. J. Asian Nat. Prod. Res. 2015, 17, 851–855. [Google Scholar] [CrossRef] [PubMed]
- Cheng, Y.-B.; Lo, I.-W.; Shyur, L.-F.; Yang, C.-C.; Hsu, Y.-M.; Su, J.-H.; Lu, M.-C.; Chiou, S.-F.; Lan, C.-C.; Wu, Y.-C.; et al. New alkaloids from Formosan zoanthid Zoanthus Kuroshio. Tetrahedron 2015, 71, 8601–8606. [Google Scholar] [CrossRef]
- Osei, E.; Kwain, S.; Mawuli, G.; Anang, A.; Owusu, K.; Camas, M.; Camas, A.; Ohashi, M.; Alexandru-Crivac, C.-N.; Deng, H.; et al. Paenidigyamycin A, potent antiparasitic imidazole alkaloid from the Ghanaian Paenibacillus sp. DE2SH. Mar. Drugs 2019, 17, 9. [Google Scholar] [CrossRef]
- Thawabteh, A.M.; Thawabteh, A.; Lelario, F.; Bufo, S.A.; Scrano, L. Classification, toxicity and bioactivity of natural diterpenoid alkaloids. Molecules 2021, 26, 4103. [Google Scholar] [CrossRef]
- Shang, X.-Y.; Li, S.; Wang, S.-J.; Yang, Y.-C.; Shi, J.-G. Chemical constituents of Bauhinia aurea. J. Asian Nat. Prod. Res. 2012, 14, 966–972. [Google Scholar] [CrossRef]
- Yin, T.; Hu, X.; Mei, R.; Shu, Y.; Gan, D.; Cai, L.; Ding, Z. Four new diterpenoid alkaloids with anti-inflammatory activities from Aconitum taronense Fletcher et Lauener. Phytochem. Lett. 2018, 25, 152–155. [Google Scholar] [CrossRef]
- Pereira, F. Polypharmacology of Aconitum and Delphinium sp. diterpene alkaloids: Antiarrhythmic, analgesic and anti inflammatory effects. Mini-Rev. Org. Chem. 2017, 14, 304–310. [Google Scholar] [CrossRef]
- Pandey, K.P.; Rahman, M.T.; Cook, J.M. Bisindole alkaloids from the Alstonia species: Recent isolation, bioactivity, biosynthesis, and synthesis. Molecules 2021, 26, 3459. [Google Scholar] [CrossRef]
- Yeap, J.S.; Saad, H.M.; Tan, C.H.; Sim, K.S.; Lim, S.H.; Low, Y.Y.; Kam, T.S. Macroline-Sarpaginebisindole alkaloids with antiproliferative activity from Alstoniapenangiana. J. Nat. Prod. 2019, 82, 3121–3132. [Google Scholar] [CrossRef] [PubMed]
- Beck, Z.Q.; Aldrich, C.C.; Magarvey, N.A.; Georg, G.I.; Sherman, D.H. Chemoenzymatic synthesis of cryptophycin/arenastatin natural products. Biochemistry 2005, 44, 13457–13466. [Google Scholar] [CrossRef] [PubMed]
- Kobayashi, M.; Aoki, S.J.; Ohyabu, N.; Kurosu, M.; Wang, W.Q.; Kitagawa, I. Arenastatin-A, a potent cytotoxic depsipeptide from the Okinawan marine sponge Dysideaarenaria. Tetrahedron Lett. 1994, 35, 7969–7972. [Google Scholar] [CrossRef]
- Daly, J.W. Thirty years of discovering arthropod alkaloids in amphibian skin. J. Nat. Prod. 1998, 61, 162–172. [Google Scholar] [CrossRef] [PubMed]
- Ziarani, M.G.; Chenevert, R.; Badiei, A.R. Chemoenzymatic enantioselective formal synthesis of (-)-gephyrotoxin-223. Iran. J. Chem. Chem. Eng. 2006, 25, 50. [Google Scholar]
- Anderson, M.J.; Brookman, J.L.; Denning, D.W. Genomics of Plants and Fungi; Prade, R.A., Bohnert, H.J., Eds.; Marcel Dekker: New York, NY, USA, 2003; pp. 1–39. [Google Scholar]
- Panaccione, D.G.; Coyle, C.M. Abundant respirable ergot alkaloids from the common airborne fungus Aspergillus fumigatus. Appl. Environ. Microbiol. 2005, 71, 3106–3111. [Google Scholar] [CrossRef]
- Gunera, J.; Kindinger, F.; Li, S.-M.; Kolb, P. PrenDB, a substrate prediction database to enable biocatalytic use of prenyltransferases. J. Biol. Chem. 2017, 10, 4003–4021. [Google Scholar] [CrossRef]
- Steffan, N.; Unsöld, I.A.; Li, S.-M. Chemoenzymatic synthesis of prenylated indole derivatives by using a 4-dimethylallyltryptophan synthase from Aspergillus fumigatus. ChemBioChem 2007, 8, 1298–1307. [Google Scholar] [CrossRef]
- Steffan, N.; Grundmann, A.; Yin, W.-B.; Kremer, A.; Li, S.-M. Indole prenyltransferases from fungi: A new enzyme group with high potential for the production of prenylated indole derivatives. Curr. Med. Chem. 2009, 16, 218–231. [Google Scholar] [CrossRef]
- Pyo, M.K.; Lee, D.H.; Kim, D.H.; Lee, J.H.; Moon, J.C.; Chang, K.C.; Yun-Choi, H.S. Enantioselective synthesis of (R)-(+)- and (S)-(−)-higenamine and their analogues with effects on platelet aggregation and experimental animal model of disseminated intravascular coagulation. Bioorg. Med. Chem. Lett. 2008, 18, 4110–4114. [Google Scholar] [CrossRef]
- Trisrivirat, D.; Sutthaphirom, C.; Pimviriyakul, P.; Chaiyen, P. Dual activities of oxidation and oxidative decarboxylation by flavoenzymes. ChemBioChem 2022. [Google Scholar] [CrossRef] [PubMed]
- Du, L.; Yang, X.; Zhu, T.; Wang, F.; Xiao, X.; Park, H.; Gu, H. Diketopiperazine alkaloids from a deep ocean sediment derived fungus Penicillium sp. Chem. Pharm. Bull. 2009, 57, 873–876. [Google Scholar] [CrossRef] [PubMed]
- Li, Y.Y.; Zhou, X.; Li, S.M.; Zhang, Y.P.; Yuan, C.M.; He, S.Z.; Yang, Z.C.; Yang, S.; Zhou, K. Increasing structural diversity of prenylated chalcones by two fungal prenyltransferases. J. Agric. Food Chem. 2022, 70, 1610–1617. [Google Scholar] [CrossRef] [PubMed]
- Chen, R.; Gao, B.; Liu, X.; Ruan, F.; Zhang, Y.; Lou, J.; Feng, K.; Wunsch, C.; Li, S.-M.; Dai, J.; et al. Molecular insights into the enzyme promiscuity of an aromatic prenyltransferase. Nat. Chem. Biol. 2017, 13, 226–234. [Google Scholar] [CrossRef]
- Zhao, S.; Smith, K.S.L.; Deveau, A.M.; Dieckhaus, C.M.; Johnson, M.A.; Macdonald, T.L.; Cook, J.M. Biological activity of the tryprostatins and their diastereomers on human carcinoma cell lines. J. Med. Chem. 2002, 45, 1559–1562. [Google Scholar] [CrossRef]
- Kato, H.; Yoshida, T.; Tokue, T.; Nojiri, Y.; Hirota, H.; Ohta, T.; Williams, R.M.; Tsukamoto, S. Notoamides A–D: Prenylated indole alkaloids isolated from a marine-derived fungus, Aspergillus sp. Angew. Chem. Int. Ed. 2007, 46, 2254–2256. [Google Scholar] [CrossRef]
- Allen, J.D.; van Loevezijn, A.; Lakhai, J.M.; van Tellingen, V.O.; Reid, G.; Schellens, J.H.; Koomen, G.J.; Schinkel, A.H. Potent and specific inhibition of the breast cancer resistance protein multidrug transporter in vitro and in mouse intestine by a novel analogue of fumitremorgin C. Mol. Cancer Ther. 2002, 1, 417–425. [Google Scholar]
- Jain, H.D.; Zhang, C.; Zhou, S.; Zhou, H.; Ma, J.; Liu, X.; Liao, X.; Deveau, A.M.; Dieckhaus, C.M.; Johnson, M.A.; et al. Synthesis and structure-activity relationship studies on tryprostatin A, an inhibitor of breast cancer resistance protein. Bioorg. Med. Chem. 2008, 16, 4626–4651. [Google Scholar] [CrossRef][Green Version]
- Singh, S.B.; Ondeyka, J.G.; Tsipouras, N.; Ruby, C.; Sardana, V.; Schulman, M.; Sanchez, M.; Pelaez, F.; Stahlhut, M.W.; Munshi, S.; et al. Hinnuliquinone, a C2-symmetric dimeric non-peptide fungal metabolite inhibitor of HIV-1 protease. Biochem. Biophys. Res. Commun. 2004, 324, 108–113. [Google Scholar] [CrossRef]
- Stocking, E.M.; Williams, R.M. Chemistry and biology of biosynthetic Diels–Alder reactions. Angew. Chem. Int. Ed. 2003, 42, 3078–3115. [Google Scholar] [CrossRef]
- Williams, R.M.; Cox, R.J. Paraherquamides, brevianamides, and asperparalines: laboratory synthesis and biosynthesis. an interim report. Acc. Chem. Res. 2003, 36, 127–139. [Google Scholar] [CrossRef] [PubMed]
- Li, S.-M. Prenylated indole derivatives from fungi: Structure diversity, biological activities, biosynthesis and chemoenzymatic synthesis. Nat. Prod. Rep. 2010, 27, 57–78. [Google Scholar] [CrossRef] [PubMed]
- Schuller, J.M.; Zocher, G.; Liebhold, M.; Xie, X.; Stahl, M.; Li, S.-M.; Stehle, T. Structure and catalytic mechanism of a cyclic dipeptide prenyltransferase with broad substrate promiscuity. J. Mol. Biol. 2012, 422, 87–99. [Google Scholar] [CrossRef] [PubMed]
- Borst, P.; Evers, R.; Kool, M.; Wijholds, J. A family of drug transporters: The multidrug resistance-associated proteins. J. Natl. Cancer Inst. 2000, 92, 1295–1302. [Google Scholar] [CrossRef]
- Kerksiek, K.; Mejilano, M.R.; Schwartz, R.E.; Georg, G.L.; Hims, R.H. Interaction of cryptophycin 1 with tubulin and microtubules. FEBS Lett. 1995, 377, 59–61. [Google Scholar] [CrossRef]
- Ding, Y.; Rath, C.M.; Bolduc, K.L.; Håkansson, K.; Sherman, D.H. Chemoenzymatic synthesis of cryptophycin anticancer agents by an ester bond-forming non-ribosomal peptide synthetase module. J. Am. Chem. Soc. 2011, 133, 14492–14495. [Google Scholar] [CrossRef]
- Newman, D.J.; Cragg, G.M. Natural products as sources of new drugs over the 30 years from 1981 to 2010. J. Nat. Prod. 2012, 75, 311–335. [Google Scholar] [CrossRef]
- De Lange, B.; Hyett, D.J.; Maas, P.J.D.; Mink, D.; van Assema, F.B.J.; Sereinig, N.; de Vries, A.H.M.; de Vries, J.G. Asymmetric synthesis of (S)-2-indolinecarboxylic acid by combining biocatalysis and homogeneous catalysis. ChemCatChem 2011, 3, 289–292. [Google Scholar] [CrossRef]
- Ghislieri, D.; Green, A.P.; Pontini, M.; Willies, S.C.; Rowles, I.; Frank, A.; Grogan, G.; Turner, N.J. Engineering an enantioselective amine oxidase for the synthesis of pharmaceutical building blocks and alkaloid natural products. J. Am. Chem. Soc. 2013, 135, 10863–10869. [Google Scholar] [CrossRef]
- Lipowicz, B.; Hanekop, N.; Schmitt, L.; Proksch, P. An aeroplysinin-1 specific nitrile hydratase isolated from the marine sponge Aplysina cavernicola. Mar. Drugs 2013, 11, 3046–3067. [Google Scholar] [CrossRef]
- Walker, G.; Dorrell, R.G.; Schlacht, A.; Dacks, J.B. Eukaryotic systematics: A user’s guide for cell biologists and parasitologists. Parasitology 2011, 138, 1638–1663. [Google Scholar] [CrossRef] [PubMed]
- Braekman, J.C.; Daloze, D.; de Abreu, P.M.; Piccinni-Leopardi, C.; Germain, G.; van Meerssche, M. A novel type of bis-quinolizidine alkaloid from the sponge: Petrosia-seriata. Tetrahedron Lett. 1982, 23, 4277–4280. [Google Scholar] [CrossRef]
- Goud, T.V.; Reddy, N.S.; Swamy, N.R.; Ram, T.S.; Venkateswarlu, Y. Anti-HIV active petrosins from the marine sponge Petrosia similis. Biol. Pharm. Bull. 2003, 26, 1498–1501. [Google Scholar] [CrossRef]
- Toya, H.; Satoh, T.; Okano, K.; Takasu, K.; Ihara, M.; Takahashi, A.; Tanaka, H.; Tokuyama, H. Stereocontrolled total synthesis and biological evaluation of (−)- and (+)-petrosin and its derivatives. Tetrahedron 2014, 70, 8129–8141. [Google Scholar] [CrossRef]
- Borthwick, A.D. 2,5-Diketopiperazines: Synthesis, reactions, medicinal chemistry, and bioactive natural products. Chem. Rev. 2012, 112, 3641–3716. [Google Scholar] [CrossRef]
- Alqahtani, N.; Porwal, S.K.; James, E.D.; Bis, D.M.; Karty, J.A.; Lane, A.L.; Viswanathan, R. Synergism between genome sequencing, tandem mass spectrometry and bio-inspired synthesis reveals insights into nocardioazine B biogenesis. Org. Biomol. Chem. 2015, 13, 7177–7192. [Google Scholar] [CrossRef] [PubMed]
- James, E.D.; Knuckley, B.; Alqahtani, N.; Porwal, S.; Ban, J.; Karty, J.A.; Viswanathan, R.; Lane, A.L. Two distinct cyclodipeptide synthases from a marine actinomycete catalyze biosynthesis of the same diketopiperazine natural product. ACS Synth. Biol. 2016, 5, 547–553. [Google Scholar] [CrossRef] [PubMed]
- Finefield, J.M.; Frisvad, J.C.; Sherman, D.H.; Williams, R.M. Fungal origins of the bicyclo [2.2.2]diazaoctane ring system of prenylated indole alkaloids. J. Nat. Prod. 2012, 75, 812–833. [Google Scholar] [CrossRef]
- Mikkola, R.; Andersson, M.A.; Hautaniemi, M.; Salkinoja, S.M.S. Toxic indole alkaloids avrainvillamide and stephacidin B produced by a biocide tolerant indoor mold Aspergillus westerdijkiae. Toxicon 2015, 99, 58–67. [Google Scholar] [CrossRef]
- Newmister, S.A.; Gober, C.M.; Romminger, S.; Yu, F.; Tripathi, A.; Parra, L.L.L.; Williams, R.M.; Berlinck, R.G.S.; Joullié, M.M.; Sherman, D.H. OxaD: A versatile indolic nitrone synthase from the marine-derived fungus Penicillium oxalicum F30. J. Am. Chem. Soc. 2016, 138, 11176–11184. [Google Scholar] [CrossRef]
- Smith, B.R.; Eastman, C.M.; Njardarson, J.T. Analysis of the elemental composition of U.S. FDA approved drug architectures. J. Med. Chem. 2014, 57, 9764–9773. [Google Scholar] [CrossRef] [PubMed]
- Pratter, S.M.; Ivkovic, J.; Birner-Gruenberger, R.; Breinbauer, R.; Zangger, K.; Stragana, G.D. More than just a halogenase: Modification of fatty acyl moieties by a trifunctional metal enzyme. ChemBioChem 2014, 15, 567–574. [Google Scholar] [CrossRef] [PubMed]
- Zhu, Q.; Hillwig, M.L.; Doi, Y.; Liu, X. Aliphatic halogenase enables late-stage C-H functionalization: Selective synthesis of a brominated fischerindole alkaloid with enhanced antibacterial activity. ChemBioChem 2016, 17, 466–470. [Google Scholar] [CrossRef] [PubMed]
- Winkelblech, J.; Fan, A.; Li, S.M. Prenyltransferases as key enzymes in primary and secondary metabolism. Appl. Microbiol. Biotechnol. 2015, 99, 7379–7397. [Google Scholar] [CrossRef] [PubMed]
- Mori, T.; Zhang, L.; Awakawa, T.; Hoshino, S.; Okada, M.; Morita, H.; Abe, I. Manipulation of prenylation reactions by structure-based engineering of bacterial indolactam prenyltransferases. Nat. Commun. 2016, 7, 10849. [Google Scholar] [CrossRef] [PubMed]
- Nakamura, A.; Nakada, M. Allylic oxidations in natural product synthesis. Synthesis 2013, 45, 1421–1451. [Google Scholar]
- Denard, C.A.; Ren, H.; Zhao, H. Improving and repurposing biocatalysts via directed evolution. Curr. Opin. Chem. Biol. 2015, 25, 55–64. [Google Scholar] [CrossRef]
- Loskot, S.A.; Romney, D.K.; Arnold, F.H.; Stoltz, B.M. Enantioselective total synthesis of nigelladine A via late-stage C-H oxidation enabled by an engineered P450 enzyme. J. Am. Chem. Soc. 2017, 139, 10196–10199. [Google Scholar] [CrossRef]
- Overy, D.P.; Nielsen, K.F.; Smedsgaard, J. Roquefortine/oxaline biosynthesis pathway metabolites in Penicillium ser. Corymbifera: In Planta production and implications for competitive fitness. J. Chem. Ecol. 2005, 31, 2373–2390. [Google Scholar]
- Mady, M.S.; Mohyeldin, M.M.; Ebrahim, H.Y.; Elsayed, H.E.; Houssen, W.E.; Haggag, E.G.; Soliman, R.F.; El Sayed, K.A. The indole alkaloid meleagrin, from the olive tree endophytic fungus Penicillium chrysogenum, as a novel lead for the control of c-Met-dependent breast cancer proliferation, migration and invasion. Bioorg. Med. Chem. 2016, 24, 113–122. [Google Scholar] [CrossRef]
- Newmister, S.A.; Romminger, S.; Schmidt, J.J.; Williams, R.M.; Smith, J.L.; Berlinck, R.G.S.; Sherman, D.H. Unveiling sequential late-stage methyltransferase reactions in the meleagrin/oxaline biosynthetic pathway. Org. Biomol. Chem. 2018, 16, 6450–6459. [Google Scholar] [CrossRef] [PubMed]
- Mahapatra, A.; Gupta, R. Role of psilocybin in the treatment of depression. Ther. Adv. Psychopharmacol. 2017, 7, 54–56. [Google Scholar] [CrossRef] [PubMed]
- Fricke, J.; Blei, F.; Hoffmeister, D. Enzymatic synthesis of psilocybin. Angew. Chem. Int. Ed. 2017, 56, 12352–12355. [Google Scholar] [CrossRef] [PubMed]
- Fricke, J.; Sherwood, A.; Kargbo, R.; Orry, A.; Blei, F.; Naschberger, A.; Rupp, B.; Hoffmeister, D. Enzymatic route toward 6-methylated baeocystin and psilocybin. ChemBioChem 2019, 20, 2824–2829. [Google Scholar] [CrossRef]
- Newman, D.J.; Cragg, G.M. Natural products as sources of new drugs over the nearly four decades from 01/1981 to 09/2019. J. Nat. Prod. 2020, 83, 770–803. [Google Scholar] [CrossRef]
- Zhou, S.; Tong, R. Three-step catalytic asymmetric total syntheses of 13-methyltetrahydroprotoberberine alkaloids. Org. Lett. 2017, 19, 1594–1597. [Google Scholar] [CrossRef]
- Roddan, R.; Subrizi, F.; Broomfield, J.; Ward, J.M.; Keep, N.H.; Hailes, H.C. Chemoenzymatic cascades toward methylated tetrahydroprotoberberine and protoberberine alkaloids. Org. Lett. 2021, 23, 6342–6347. [Google Scholar] [CrossRef]
- Kuduk, S.D.; Chang, R.K.; Greshock, T.J.; Ray, W.J.; Ma, L.; Wittmann, M.; Seager, M.A.; Koeplinger, K.A.; Thompson, C.D.; Hartman, G.D.; et al. Identification of amides as carboxylic acid surrogates for quinolizidinone-based M1 positive allosteric modulators. ACS Med. Chem. Lett. 2012, 3, 1070–1074. [Google Scholar] [CrossRef][Green Version]
- Chen, Z.W.; Liu, T.G.; Ma, X.Y.; Liang, P.; Long, L.P.; Ye, M. A one-pot sonogashira coupling and annulation reaction: An efficient route toward 4H-quinolizin-4-ones. Synlett 2019, 30, 863–867. [Google Scholar] [CrossRef]
- Zhou, X.B.; Chen, A.R.; Du, W.; Wang, Y.W.; Peng, Y.; Huang, H.M. Palladium-catalyzed hydrocarbonylative cyclization enabled by formal insertion of aromatic C=N bonds into Pd–acyl bonds. Org. Lett. 2019, 21, 9114–9118. [Google Scholar] [CrossRef]
- Wang, J.; Ding, N.; Wu, Y.; Shi, X.; Qi, B.; Liu, X.; Wang, X.; Li, J.; Tu, P.; Shi, S. Enzymatic synthesis of 2-hydroxy-4H-quinolizin-4-one scaffolds by integrating coenzyme a ligase and a type III PKS from Huperziaserrata. RSC Adv. 2020, 10, 23566. [Google Scholar] [CrossRef] [PubMed]

















Publisher’s Note: MDPI stays neutral with regard to jurisdictional claims in published maps and institutional affiliations. |
© 2022 by the authors. Licensee MDPI, Basel, Switzerland. This article is an open access article distributed under the terms and conditions of the Creative Commons Attribution (CC BY) license (https://creativecommons.org/licenses/by/4.0/).
Share and Cite
Chen, B.-S.; Zhang, D.; de Souza, F.Z.R.; Liu, L. Recent Advances in the Synthesis of Marine-Derived Alkaloids via Enzymatic Reactions. Mar. Drugs 2022, 20, 368. https://doi.org/10.3390/md20060368
Chen B-S, Zhang D, de Souza FZR, Liu L. Recent Advances in the Synthesis of Marine-Derived Alkaloids via Enzymatic Reactions. Marine Drugs. 2022; 20(6):368. https://doi.org/10.3390/md20060368
Chicago/Turabian StyleChen, Bi-Shuang, Di Zhang, Fayene Zeferino Ribeiro de Souza, and Lan Liu. 2022. "Recent Advances in the Synthesis of Marine-Derived Alkaloids via Enzymatic Reactions" Marine Drugs 20, no. 6: 368. https://doi.org/10.3390/md20060368
APA StyleChen, B.-S., Zhang, D., de Souza, F. Z. R., & Liu, L. (2022). Recent Advances in the Synthesis of Marine-Derived Alkaloids via Enzymatic Reactions. Marine Drugs, 20(6), 368. https://doi.org/10.3390/md20060368

