Computationally Assisted Structural Elucidation of Cembranoids from the Soft Coral Sarcophyton tortuosum
Abstract
:1. Introduction
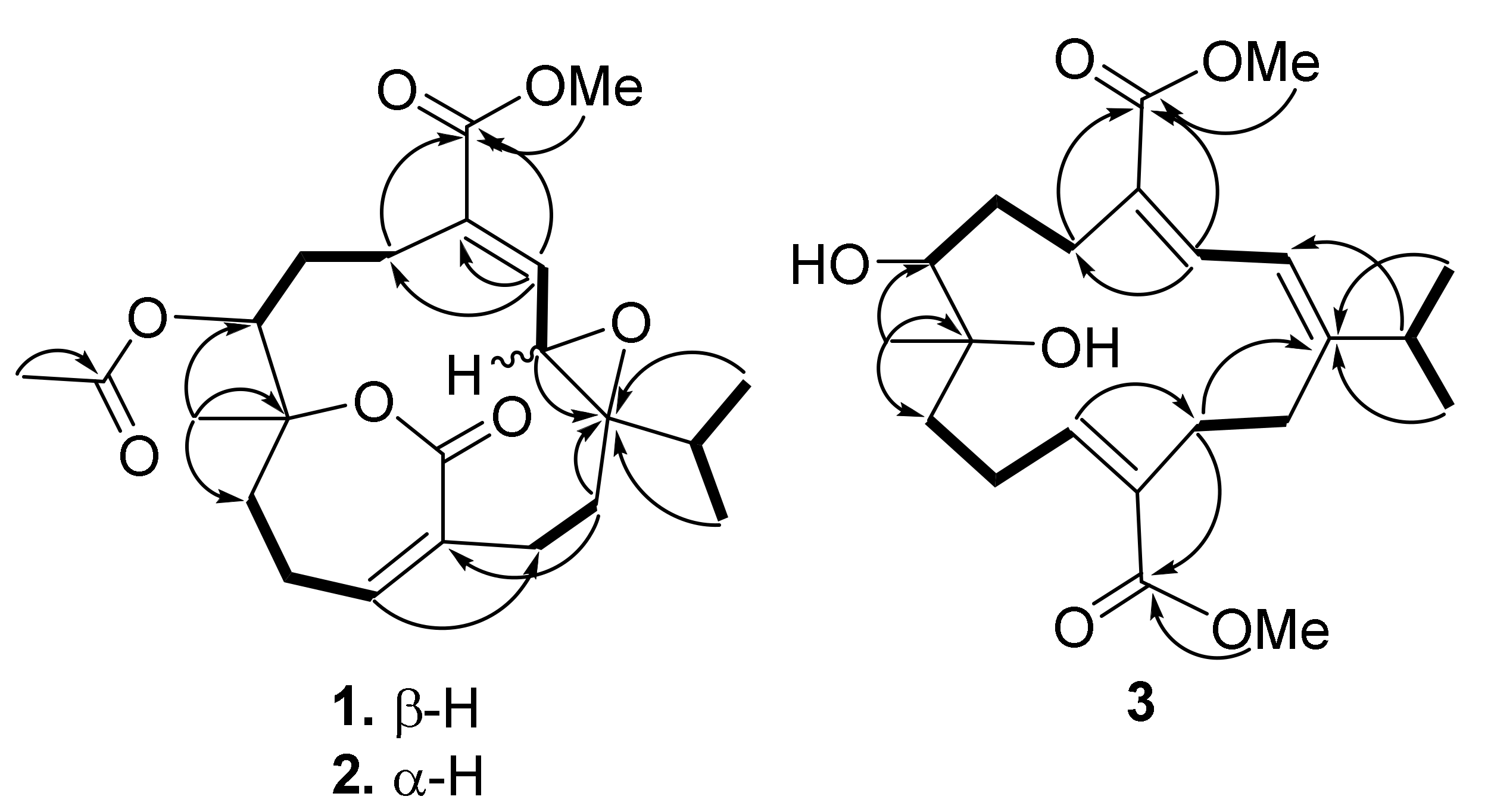
2. Results and Discussion
3. Materials and Methods
3.1. General Experimental Procedures
3.2. Animal Material
3.3. Extraction and Separation
3.4. Computational Method
3.5. Cytotoxicity Assay
3.6. Anti-Inflammatory Assay
4. Conclusions
Supplementary Materials
Author Contributions
Funding
Institutional Review Board Statement
Informed Consent Statement
Data Availability Statement
Acknowledgments
Conflicts of Interest
References
- Carroll, A.R.; Copp, B.R.; Davis, R.A.; Keyzers, R.A.; Prinsep, M. Marine natural products. Nat. Prod. Rep. 2021, 38, 362. [Google Scholar] [CrossRef] [PubMed]
- Cheng, S.Y.; Wang, S.K.; Hsieh, M.K.; Duh, C.Y. Polyoxygenated cembrane diterpenoids from the soft coral Sarcophyton ehrenbergi. Int. J. Mol. Sci. 2015, 16, 6140–6152. [Google Scholar] [CrossRef] [PubMed]
- Ahmed, A.F.; Chen, Y.W.; Huang, C.Y.; Tseng, Y.J.; Lin, C.C.; Dai, C.F.; Wu, Y.C.; Sheu, J.H. Isolation and structure elucidation of cembranoids from a Dongsha Atoll soft coral Sarcophyton stellatum. Mar. Drugs 2018, 16, 210. [Google Scholar] [CrossRef] [PubMed] [Green Version]
- Huang, T.Y.; Huang, C.Y.; Chen, S.R.; Weng, J.R.; Tu, T.H.; Cheng, Y.B.; Wu, S.H.; Sheu, J.H. New hydroquinone monoterpenoid and cembranoid-related metabolites from the soft coral Sarcophyton tenuispiculatum. Mar. Drugs 2021, 19, 8. [Google Scholar] [CrossRef] [PubMed]
- Peng, C.C.; Huang, T.Y.; Huang, C.Y.; Hwang, T.L.; Sheu, J.H. Cherbonolides M and N from a Formosan soft coral Sarcophyton cherbonnieri. Mar. Drugs 2021, 19, 260. [Google Scholar] [CrossRef] [PubMed]
- Huang, T.Y.; Huang, C.Y.; Chao, C.H.; Lin, C.C.; Dai, C.F.; Su, J.H.; Sung, P.J.; Wu, S.H.; Sheu, J.H. New biscembranoids sardigitolides A–D and known cembranoid-related compounds from Sarcophyton digitatum: Isolation, structure elucidation, and bioactivities. Mar. Drugs 2020, 18, 452. [Google Scholar] [CrossRef] [PubMed]
- Lin, K.H.; Lin, Y.C.; Huang, C.Y.; Tseng, Y.J.; Chen, S.R.; Cheng, Y.B.; Hwang, T.L.; Wang, S.Y.; Chen, H.Y.; Dai, C.F.; et al. Cembranoid-related diterpenes, novel secoditerpenes, and an unusual bisditerpene from a Formosan soft coral Sarcophyton Tortuosum. Bull. Chem. Soc. Jpn. 2021, 94, 2774–2783. [Google Scholar] [CrossRef]
- Chen, Y.J.; Chao, C.H.; Huang, C.Y.; Huang, C.Y.; Hwang, T.L.; Chang, F.R.; Dai, C.F.; Sheu, J.H. An unprecedented cembranoid with a novel tricyclo [9.3.0.02,12]tetradecane skeleton and related diterpenes from the soft coral Sarcophyton cinereum. Bull. Chem. Soc. Jpn. 2022, 95, 374–379. [Google Scholar] [CrossRef]
- Zanardi, M.M.; Sarotti, A.M. Sensitivity analysis of DP4+ with the probability distribution terms:development of a universal and customizable method. J. Org. Chem. 2021, 86, 8544–8548. [Google Scholar] [CrossRef] [PubMed]
- Grimblat, N.; Gavin, J.A.; Daranas, A.H.; Sarotti, A.M. Combining the power of J coupling and DP4 analysis on stereochemical assignments: The J-DP4 methods. Org. Lett. 2019, 21, 4003–4007. [Google Scholar] [CrossRef] [PubMed]
- Lin, K.H.; Tseng, Y.J.; Chen, B.W.; Hwang, T.L.; Chen, H.Y.; Dai, C.F.; Sheu, J.H. Tortuosenes A and B, new diterpenoid metabolites from the Formosan soft coral Sarcophyton tortuosum. Org. Lett. 2014, 16, 1314. [Google Scholar] [CrossRef] [PubMed]
- Zhang, C.; Li, J.; Su, J.; Liang, Y.; Yang, X.; Zheng, K.; Zeng, L. Cytotoxic diterpenoids from the soft coral Sarcophyton crassocaule. J. Nat. Prod. 2006, 69, 1476–1480. [Google Scholar] [CrossRef] [PubMed]
- Liang, L.F.; Gao, L.X.; Li, J.; Taglialatela-Scafati, O.; Guo, Y.W. Cembrane diterpenoids from the soft coral Sarcophyton trocheliophorum Marenzeller as a new class of PTP1B inhibitors. Bioorg. Med. Chem. 2013, 21, 5076–5080. [Google Scholar] [CrossRef] [PubMed]
- Frisch, M.J.; Trucks, G.W.; Schlegel, H.B.; Scuseria, G.E.; Robb, M.A.; Cheeseman, J.R.; Scalmani, G.; Barone, V.; Mennucci, B.; Petersson, G.A.; et al. Gaussian 16; Revision C.01; Gaussian, Inc.: Wallingford, CT, USA, 2019. [Google Scholar]
- Zanardi, M.M.; Marcarino, M.O.; Sarotti, A.M. Redefining the impact of Boltzmann analysis in the stereochemical assignment of polar and flexible molecules by NMR calculations. Org. Lett. 2020, 22, 52–56. [Google Scholar] [CrossRef]
- O’Brien, J.; Wilson, I.; Orton, T.; Pognan, F. Investigation of the Alamar Blue (resazurin) fluorescent dye for the assessment of mammalian cell cytotoxicity. Eur. J. Biochem. 2000, 267, 5421–5426. [Google Scholar] [CrossRef]
- Nakayama, G.R.; Caton, M.C.; Nova, M.P.; Parandoosh, Z. Assessment of the Alamar Blue assay for cellular growth and viability in vitro. J. Immunol. Methods 1997, 204, 205–208. [Google Scholar] [CrossRef]
- Yang, S.C.; Chung, P.J.; Ho, C.M.; Kuo, C.Y.; Hung, M.F.; Huang, Y.T.; Chang, W.Y.; Chang, Y.W.; Chan, K.H.; Hwang, T.L. Propofol inhibits superoxide production, elastase release, and chemotaxis in formyl peptide–activated human neutrophils by blocking formyl peptide receptor 1. J. Immunol. 2013, 190, 6511–6519. [Google Scholar] [CrossRef] [Green Version]
- Yu, H.P.; Hsieh, P.W.; Chang, Y.J.; Chung, P.J.; Kuo, L.M.; Hwang, T.L. 2-(2-Fluorobenzamido)-benzoate ethyl ester (EFB-1) inhibits superoxide production by human neutrophils and attenuates hemorrhagic shock-induced organ dysfunction in rats. Free Radic. Biol. Med. 2011, 50, 1737–1748. [Google Scholar] [CrossRef]
- Yasuto, U.; Masayoshi, N.; Mitsuru, N.; Tetsuo, I.; Tsunao, H. Ketoemblide and sarcophytolide, two new cembranolides with ε-lactone function from the soft coral Sarcophyta elegans. Chem. Lett. 1983, 12, 613–616. [Google Scholar]
- Garbisch, E.W., Jr. Conformations. VI. Vinyl-Allylic Proton Spin Couplings. J. Am. Chem. Soc. 1964, 86, 5561–5564. [Google Scholar]




| 1 a | 2 a | 3 b | ||||
|---|---|---|---|---|---|---|
| Position | δH (J in Hz) | δC (Type) | δH (J in Hz) | δC (Type) | δH (J in Hz) | δC (Type) |
| 1 | 68.4 (qC) | 68.4 (qC) | 154.5 (qC) | |||
| 2 | 3.28 d (10.0) | 59.2 (CH) | 3.81 d (8.5) | 57.5 (CH) | 6.92 d (11.2) | 120.0 (CH) |
| 3 | 6.69 d (10.0) | 136.9 (CH) | 6.48 d (8.5) | 143.0 (CH) | 6.64 d (11.2) | 138.5 (CH) |
| 4 | 136.3 (qC) | 135.5 (qC) | 126.5 (qC) | |||
| 5 | 2.59 m | 23.6 (CH2) | 2.64 m | 25.6 (CH2) | 2.29 m | 29.4 (CH2) |
| 2.71 m | 2.62 m | |||||
| 6 | 1.74 m | 28.8 (CH2) | 1.71 m | 31.8 (CH2) | 1.53 m | 30.3 (CH2) |
| 2.37 m | 2.42 m | 2.02 t (12.4) | ||||
| 7 | 4.93 dd (8.5, 2.0) | 69.8 (CH) | 4.80 br s | 73.9 (CH) | 3.70 d (10.4) | 70.3 (CH) |
| 8 | 83.5 (qC) | 81.8 (qC) | 74.6 (qC) | |||
| 9 | 2.11 m | 35.6 (CH2) | 1.99 m | 34.9 (CH2) | 1.58 m | 37.1 (CH2) |
| 2.11 m | 2.16 m | |||||
| 10 | 2.28 m | 26.8 (CH2) | 2.40 m | 27.1 (CH2) | 2.16 m | 25.0 (CH2) |
| 2.43 m | 2.74 m | |||||
| 11 | 6.33 br s | 140.4 (CH) | 6.44 br s | 139.2 (CH) | 6.08 dd (8.0, 7.6) | 144.5 (CH) |
| 12 | 132.2 (qC) | 131.3 (qC) | 132.4 (qC) | |||
| 13 | 2.34 m | 29.4 (CH2) | 2.20 m | 34.9 (CH2) | 2.38 m | 33.14 (CH2) |
| 2.64 m | 3.02 br d (14.0) | 2.75 m | ||||
| 14 | 1.82 m | 28.2 (CH2) | 1.90 td (14.0, 6.0) | 26.4 (CH2) | 2.30 m | 30.1 (CH2) |
| 2.16 m | 2.05 m | 2.57 m | ||||
| 15 | 1.84 m | 32.2 (CH) | 2.22 m | 27.6 (CH) | 2.46 m | 33.07 (CH) |
| 16 | 1.04 d (7.0) | 19.4 (CH3) | 0.89 d (6.5) | 16.1 (CH3) | 1.05 d (7.2) | 22.25 (CH3) |
| 17 | 1.12 d (6.5) | 17.8 (CH3) | 1.07 d (7.0) | 17.8 (CH3) | 1.10 d (7.2) | 20.9 (CH3) |
| 18 | 167.0 (qC) | 166.8 (qC) | 168.0 (qC) | |||
| 19 | 1.52 s | 24.5 (CH3) | 1.39 s | 24.2 (CH3) | 1.12 s | 22.34 (CH3) |
| 20 | 167.6 (qC) | 165.0 (qC) | 168.5 (qC) | |||
| OAc | 1.99 s | 21.1 (CH3) | 2.09 s | 21.2 (CH3) | ||
| 169.4 (qC) | 170.3 (qC) | |||||
| 18-OMe | 3.73 s | 52.0 (CH3) | 3.78 s | 52.0 (CH3) | 3.75 s | 51.2 (CH3) |
| 20-OMe | 3.62 s | 51.6 (CH3) |
| J-DP4 (%) | |||||
|---|---|---|---|---|---|
| 1R*,2S*,7S*,8R*-1 | 1R*,2S*,7R*,8R*-1 | 1R*,2R*,7R*,8R*-2 | 1R*,2R*,7S*,8R*-2 | 1R*,2R*,7R*,8S*-2 | |
| H | 0.06 | 99.94 | 3.38 | 96.62 | 0 |
| C | 100.00 | 0 | 0.02 | 97.52 | 2.46 |
| H + C | 99.16 | 0.84 | 0 | 100.00 | 0 |
| J | 61.32 | 38.68 | 1.63 | 11.93 | 86.43 |
| all data | 99.47 | 0.53 | 0 | 100.00 | 0 |
| DP4 + (%) | |||
|---|---|---|---|
| H | C | All Data | |
| 7S*,8R*-3 | 99.75 | 100.00 | 100.00 |
| 7R*,8R*-3 | 0.25 | 0 | 0 |
Publisher’s Note: MDPI stays neutral with regard to jurisdictional claims in published maps and institutional affiliations. |
© 2022 by the authors. Licensee MDPI, Basel, Switzerland. This article is an open access article distributed under the terms and conditions of the Creative Commons Attribution (CC BY) license (https://creativecommons.org/licenses/by/4.0/).
Share and Cite
Chao, C.-H.; Lin, K.-H.; Huang, C.-Y.; Hwang, T.-L.; Dai, C.-F.; Huang, H.-C.; Sheu, J.-H. Computationally Assisted Structural Elucidation of Cembranoids from the Soft Coral Sarcophyton tortuosum. Mar. Drugs 2022, 20, 297. https://doi.org/10.3390/md20050297
Chao C-H, Lin K-H, Huang C-Y, Hwang T-L, Dai C-F, Huang H-C, Sheu J-H. Computationally Assisted Structural Elucidation of Cembranoids from the Soft Coral Sarcophyton tortuosum. Marine Drugs. 2022; 20(5):297. https://doi.org/10.3390/md20050297
Chicago/Turabian StyleChao, Chih-Hua, Kuan-Hua Lin, Chiung-Yao Huang, Tsong-Long Hwang, Chang-Feng Dai, Hui-Chi Huang, and Jyh-Horng Sheu. 2022. "Computationally Assisted Structural Elucidation of Cembranoids from the Soft Coral Sarcophyton tortuosum" Marine Drugs 20, no. 5: 297. https://doi.org/10.3390/md20050297
APA StyleChao, C.-H., Lin, K.-H., Huang, C.-Y., Hwang, T.-L., Dai, C.-F., Huang, H.-C., & Sheu, J.-H. (2022). Computationally Assisted Structural Elucidation of Cembranoids from the Soft Coral Sarcophyton tortuosum. Marine Drugs, 20(5), 297. https://doi.org/10.3390/md20050297

