8-Hydroxybriaranes from Octocoral Briareum stechei (Briareidae) (Kükenthal, 1908)
Abstract
1. Introduction
2. Results and Discussion
3. Materials and Methods
3.1. General Experimental Procedures
3.2. Animal Material
3.3. Extraction and Isolation
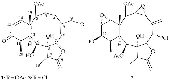
3.4. Single-Crystal X-ray Crystallography of Solenolide C (2)
3.5. In Vitro Inflammatory Assay
4. Conclusions
Supplementary Materials
Author Contributions
Funding
Institutional Review Board Statement
Data Availability Statement
Acknowledgments
Conflicts of Interest
References
- Chen, Y.-H.; Chin, H.-K.; Peng, B.-R.; Chen, Y.-Y.; Hu, C.-C.; Zheng, L.-G.; Huynh, T.-H.; Su, T.-P.; Zhang, Y.-L.; Wen, Z.-H.; et al. Survey of briarane-type diterpenoids–Part VII. Heterocycles 2020, 100, 857–870. [Google Scholar]
- Wei, W.-C.; Sung, P.-J.; Duh, C.-Y.; Chen, B.-W.; Sheu, J.-H.; Yang, N.-S. Anti-inflammatory activities of natural products isolated from soft corals of Taiwan between 2008 and 2012. Mar. Drugs 2013, 11, 4083–4126. [Google Scholar] [CrossRef] [PubMed]
- Samimi-Namin, K.; van Ofwegen, L.P. Overview of the genus Briareum (Cnidaria, Octocorallia, Briareidae) in the Indo-Pacific, with the description of a new species. Zookeys 2016, 557, 1–44. [Google Scholar] [CrossRef] [PubMed]
- Miyazaki, Y.; Reimer, J.D. Morphological and genetic diversity of Briareum (Anthozoa: Octocorallia) from the Ryukyu Archipelago, Japan. Zool. Sci. 2014, 31, 692–702. [Google Scholar] [CrossRef] [PubMed]
- Groweiss, A.; Look, S.A.; Fenical, W. Solenolides, new antiinflammatory and antiviral diterpenoids from a marine octocoral of the genus Solenopodium. J. Org. Chem. 1988, 53, 2401–2406. [Google Scholar] [CrossRef]
- Kwak, J.H.; Schmitz, F.J.; Williams, G.C. Miolides, new briarane diterpenoids from the Western Pacific octocoral Briareum stechei. J. Nat. Prod. 2001, 64, 754–760. [Google Scholar] [CrossRef] [PubMed]
- Su, Y.-D.; Wen, Z.-H.; Wu, Y.-C.; Fang, L.-S.; Chen, Y.-H.; Chang, Y.-C.; Sheu, J.-H.; Sung, P.-J. Briarenolides M–T, new briarane diterpenoids from a Formosan octocoral Briareum sp. Tetrahedron 2016, 72, 944–951. [Google Scholar] [CrossRef]
- Chen, C.-H.; Chen, N.-F.; Feng, C.-W.; Cheng, S.-Y.; Hung, H.-C.; Tsui, K.-H.; Hsu, C.-H.; Sung, P.-J.; Chen, W.-F.; Wen, Z.-H. A coral-derived compound improves functional recovery after spinal cord injury through its antiapoptotic and anti-inflammatory effects. Mar. Drugs 2016, 14, 160. [Google Scholar] [CrossRef] [PubMed]


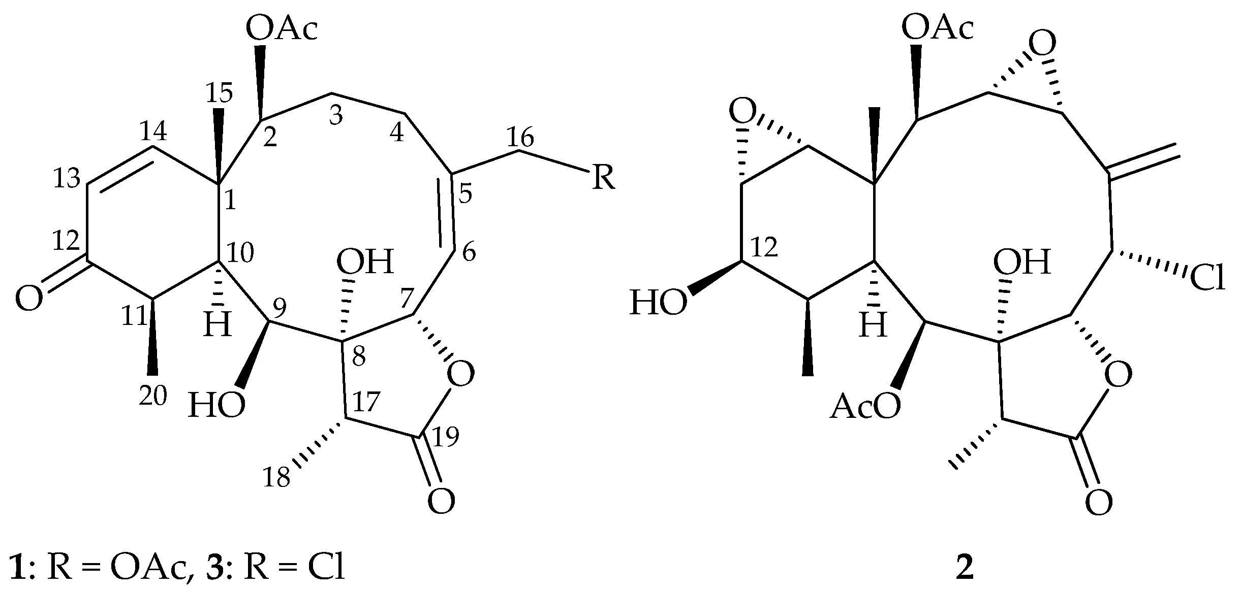
), HMBC (
) and protons with NOESY (
) correlations of 1.
| Position. | δH a (J in Hz) | δC b, Mult. |
|---|---|---|
| 1 | 45.1, C c | |
| 2 | 4.91 d (9.6) | 81.3, CH |
| 3α/β | 1.66 dd (15.6, 7.2); 2.35 m | 24.3, CH2 |
| 4α/β | 1.96 m; 2.43 m | 20.8, CH2 |
| 5 | 140.5, C | |
| 6 | 5.73 d (9.6) | 124.4, CH |
| 7 | 5.27 d (9.6) | 76.1, CH |
| 8 | 84.8, C | |
| 9 | 3.75 dd (9.2, 7.2) | 69.3, CH |
| 10 | 2.95 dd (7.2, 4.0) | 38.7, CH |
| 11 | 2.98 qd (7.2, 4.0) | 44.4, CH |
| 12 | 202.3, C | |
| 13 | 5.98 d (10.4) | 126.3, CH |
| 14 | 6.29 d (10.4) | 154.0, CH |
| 15 | 1.44 s | 20.1, CH3 |
| 16 | 4.46 br s | 67.1, CH2 |
| 17 | 3.43 q (7.2) | 41.9, CH |
| 18 | 1.21 d (7.2) | 6.4, CH3 |
| 19 | 177.6, C | |
| 20 | 1.25 d (7.2) | 14.5, CH3 |
| OH-8 | 3.24 s | |
| OH-9 | 4.54 d (9.2) | |
| OAc-2 | 167.7, C | |
| 2.29 s | 20.8, CH3 | |
| OAc-16 | 170.6, C | |
| 2.05 s | 20.8, CH3 |
| Compound/Treatment | iNOS | COX-2 | β-Actin | n |
|---|---|---|---|---|
| (10 µM) | Production Level | |||
| Control | 2.2 ± 0.9 | 1.0 ± 0.1 | 106.1 ± 4.2 | 4 |
| Vehicle | 100.0 ± 4.3 | 100.0 ± 2.6 | 100.0 ± 0.7 | 4 |
| 1 | 88.3 ± 0.3 | 101.8 ± 3.1 | 100.4 ± 5.3 | 4 |
| 2 | 88.9 ± 2.9 | 94.7 ±3.2 | 101.1 ± 4.4 | 4 |
| 3 | 66.5 ± 3.4 | 112.3 ±5.8 | 99.3 ± 4.4 | 4 |
| Dexamethasone | 54.5 ± 3.6 | 17.7 ±1.8 | 103.1 ± 2.5 | 4 |
Publisher’s Note: MDPI stays neutral with regard to jurisdictional claims in published maps and institutional affiliations. |
© 2021 by the authors. Licensee MDPI, Basel, Switzerland. This article is an open access article distributed under the terms and conditions of the Creative Commons Attribution (CC BY) license (http://creativecommons.org/licenses/by/4.0/).
Share and Cite
Huynh, T.-H.; Chien, S.-Y.; Tanaka, J.; Wen, Z.-H.; Wu, Y.-C.; Wu, T.-Y.; Sung, P.-J. 8-Hydroxybriaranes from Octocoral Briareum stechei (Briareidae) (Kükenthal, 1908). Mar. Drugs 2021, 19, 136. https://doi.org/10.3390/md19030136
Huynh T-H, Chien S-Y, Tanaka J, Wen Z-H, Wu Y-C, Wu T-Y, Sung P-J. 8-Hydroxybriaranes from Octocoral Briareum stechei (Briareidae) (Kükenthal, 1908). Marine Drugs. 2021; 19(3):136. https://doi.org/10.3390/md19030136
Chicago/Turabian StyleHuynh, Thanh-Hao, Su-Ying Chien, Junichi Tanaka, Zhi-Hong Wen, Yang-Chang Wu, Tung-Ying Wu, and Ping-Jyun Sung. 2021. "8-Hydroxybriaranes from Octocoral Briareum stechei (Briareidae) (Kükenthal, 1908)" Marine Drugs 19, no. 3: 136. https://doi.org/10.3390/md19030136
APA StyleHuynh, T.-H., Chien, S.-Y., Tanaka, J., Wen, Z.-H., Wu, Y.-C., Wu, T.-Y., & Sung, P.-J. (2021). 8-Hydroxybriaranes from Octocoral Briareum stechei (Briareidae) (Kükenthal, 1908). Marine Drugs, 19(3), 136. https://doi.org/10.3390/md19030136

