Cembranoids from Octocoral Lobophytum crassum (von Marenzeller, 1886)
Abstract
1. Introduction
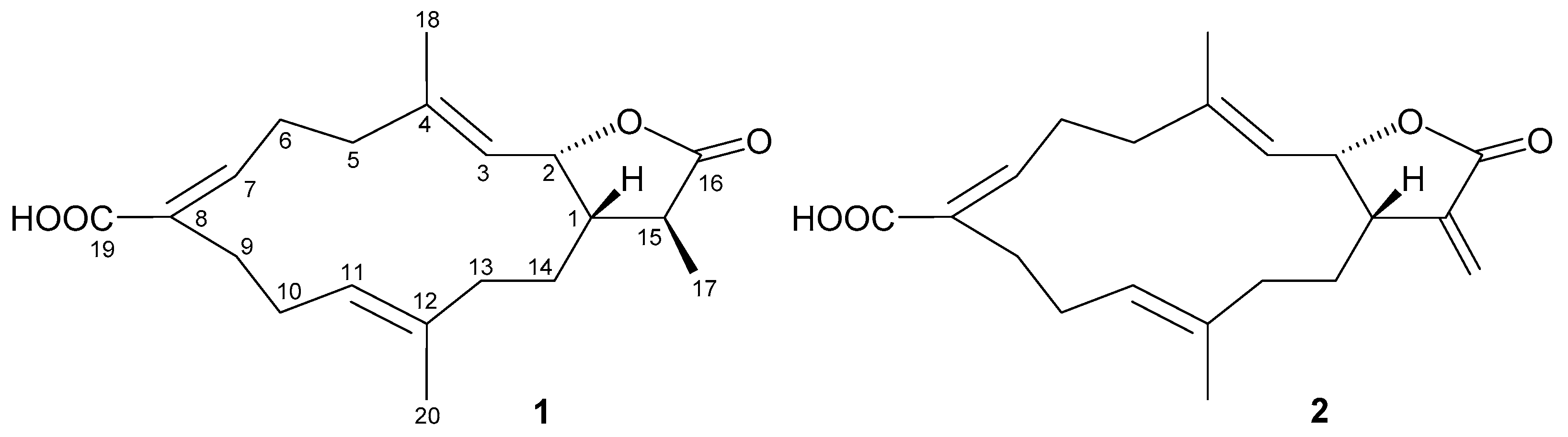
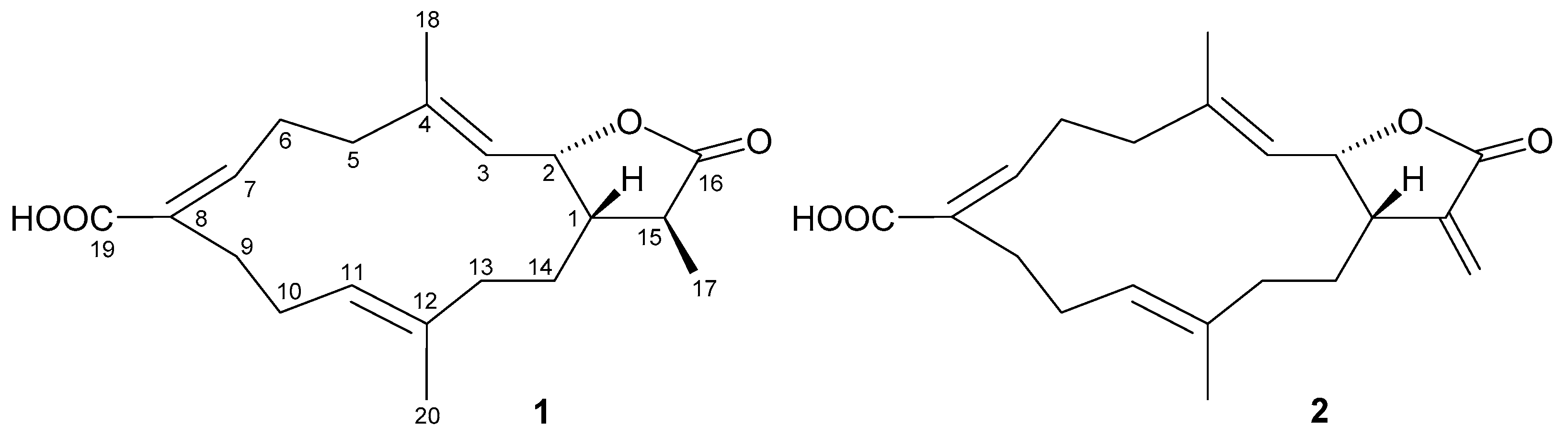
2. Results and Discussion
3. Materials and Methods
3.1. General Experimental Procedures
3.2. Soft Coral Specimens
3.3. Cembranoid Compound Preparation
3.4. Single-Crystal X-ray Crystallography of Lobocrassin I (1)
3.5. Single-Crystal X-ray Crystallography of Lobohedleolide (2)
3.6. In Vitro Anti-inflammatory Assay
4. Conclusions
Supplementary Materials
Author Contributions
Funding
Institutional Review Board Statement
Informed Consent Statement
Acknowledgments
Conflicts of Interest
References
- Yang, B.; Zhou, X.-F.; Lin, X.-P.; Liu, J.; Peng, Y.; Yang, X.-W.; Liu, Y. Cembrane diterpenes chemistry and biological properties. Curr. Org. Chem. 2012, 16, 1512–1539. [Google Scholar] [CrossRef]
- Rodrigues, I.G.; Miguel, M.G.; Mnif, W. A brief review on new naturally occurring cembranoid diterpene derivatives from the soft corals of the genera Sarcophyton, Sinularia, and Lobophytum since 2016. Molecules 2019, 24, 781. [Google Scholar] [CrossRef] [PubMed]
- Uchio, Y.; Toyota, J.; Nozaki, H.; Nakayama, M.; Nishizono, Y.; Hase, T. Lobohedleolide and (7Z)-lobohedleolide, new cembranolides from the soft coral Lobophytum hedleyi Whitelegge. Tetrahedron Lett. 1981, 22, 4089–4092. [Google Scholar] [CrossRef]
- Rashid, M.A.; Gustafson, K.R.; Boyd, M.R. HIV-Inhibitory cembrane derivatives from a Philippines collection of the soft coral Lobophytum species. J. Nat. Prod. 2000, 63, 531–533. [Google Scholar] [CrossRef]
- Duh, C.-Y.; Wang, S.-K.; Huang, B.-T.; Dai, C.-F. Cytotoxic cembrenolide diterpenes from the Formosan soft coral Lobophytum crassum. J. Nat. Prod. 2000, 63, 884–885. [Google Scholar] [CrossRef]
- Lü, F.; Chi, K.-Y.; Dai, R.-J.; Deng, Y.-L. Isolation and structural identification of chemical constituents from Sinularia sp. Trans. Beijing Inst. Technol. 2012, 32, 1096–1100. [Google Scholar]
- Benayahu, Y.; Jeng, M.-S.; Perkol-Finkel, S.; Dai, C.-F. Soft corals (Octocorallia: Alcyonacea) from Southern Taiwan: II. Species diversity and distributional patterns. Zool. Stud. 2004, 43, 548–560. [Google Scholar]
- Dai, C.-F.; Chin, C.-H. Octocoral Fauna of Kenting National Park, 1st ed.; Kenting National Park Headquaters: Kenting Pingtung, Taiwan, 2019; pp. 126–127. [Google Scholar]
- Chao, C.-H.; Wen, Z.-H.; Wu, Y.-C.; Yeh, H.-C.; Sheu, J.-H. Cytotoxic and anti-inflammatory cembranoids from the soft coral Lobophytum crassum. J. Nat. Prod. 2008, 71, 1819–1824. [Google Scholar] [CrossRef] [PubMed]
- Wanzola, M.; Furuta, T.; Kohno, Y.; Fukumitsu, S.; Yasukochi, S.; Watari, K.; Tanaka, C.; Higuchi, R.; Miyamoto, T. Four new cembrane diterpenes isolated from an Okinawan soft coral Lobophytum crassum with inhibitory effects on nitric oxide production. Chem. Pharm. Bull. 2010, 58, 1203–1209. [Google Scholar] [CrossRef]
- Cuong, N.X.; Thao, N.P.; Luyen, B.T.T.; Ngan, N.T.T.; Thuy, D.T.T.; Song, S.B.; Nam, N.H.; Kiem, P.V.; Kim, Y.H.; Minh, C.V. Cembranoid diterpenes from the soft coral Lobophytum crassum and their anti-inflammatory activities. Chem. Pharm. Bull. 2014, 62, 203–208. [Google Scholar] [CrossRef]
- Thao, N.P.; Luyen, B.T.T.; Ngan, N.T.T.; Song, S.B.; Cuong, N.X.; Nam, N.H.; Kiem, P.V.; Kim, Y.H.; Minh, C.V. New anti-inflammatory cembranoid diterpenoids from the Vietnamese soft coral Lobophytum crassum. Bioorg. Med. Chem. Lett. 2014, 24, 228–232. [Google Scholar] [CrossRef]
- Zhao, M.; Cheng, S.; Yuan, W.; Xi, Y.; Li, X.; Dong, J.; Huang, K.; Gustafson, K.R.; Yan, P. Cembranoids from a Chinese collection of the soft coral Lobophytum crassum. Mar. Drugs 2016, 14, 111. [Google Scholar] [CrossRef]
- Mohamed, T.A.; Elshamy, A.I.; Hussien, T.A.; Su, J.-H.; Sheu, J.-H.; Hegazy, M.E.F. Lobophylins F–H: Three new cembrene diterpenoids from soft coral Lobophytum crassum. J. Asian Nat. Prod. Res. 2017, 19, 201–207. [Google Scholar] [CrossRef]
- Lai, K.-H.; You, W.-J.; Lin, C.-C.; El-Shazly, M.; Liao, Z.-J.; Su, J.-H. Anti-inflammatory cembranoids from the soft coral Lobophytum crassum. Mar. Drugs 2017, 15, 327. [Google Scholar] [CrossRef]
- Lin, C.-K.; Tseng, C.-K.; Liaw, C.-C.; Huang, C.-Y.; Wei, C.-K.; Sheu, J.-H.; Lee, J.-C. Lobohedleolide suppresses hepatitis C virus replication via JNK/c-Jun-C/EBP-mediated downregulation of cyclooxygenase-2 expression. Sci. Rep. 2018, 8, 8676. [Google Scholar] [CrossRef]
- Gustafson, K.R.; Oku, N.; Milanowski, D.J. Antiviral marine natural products: The structure of lobohedleolide shown as compound 8 in this review article should be revised. Curr. Med. Chem. Anti Infec. Agents 2004, 3, 233–249. [Google Scholar] [CrossRef]
- Radhika, P.; Rao, P.R.; Archana, J.; Rao, N.K. Anti-inflammatory activity of a new sphingosine derivative and cembrenoid diterpene (lobohedleolide) isolated from marine soft corals of Sinularia crassa Tixier-Durivault and Lobophytum species of the Andaman and Nicobar Islands. Biol. Pharm. Bull. 2005, 28, 1311–1313. [Google Scholar] [CrossRef]
- Oda, T.; Wewengkang, W.; Kapojos, M.M.; Mangindaan, R.P.; Lee, J.-S.; Namikoshi, M. Lobohedleolide induces interleukin-8 production in LPS-stimulated human monocytic cell line THP-1. Int. J. Appl. Res. Nat. Prod. 2011, 4, 16–21. [Google Scholar]
- González, Y.; Torres-Mendoza, D.; Jones, G.E.; Fernandez, P.L. Marine diterpenoids as potential anti-inflammatory agents. Mediat. Inflamm. 2015, 63543. [Google Scholar] [CrossRef]
- Sheldrick, G.M. SHELXT-Integrated space-group and crystal-structure determination. Acta Crystallogr. 2015, A71, 3–8. [Google Scholar] [CrossRef]
- Sheldrick, G.M. Crystal structure refinement with SHELXL. Acta Crystallogr. 2015, C71, 3–8. [Google Scholar]
- Flack, H.D. On enantiomorph-polarity estimation. Acta Crystallogr. 1983, A39, 876–881. [Google Scholar] [CrossRef]
- Flack, H.D.; Bernardinelli, G. Absolute structure and absolute configuration. Acta Crystallogr. 1999, A55, 908–915. [Google Scholar] [CrossRef]
- CCDC Homepage. Available online: http://www.ccdc.cam.ac.uk/conts/retrieving.html (accessed on 31 December 2020).
- Chen, C.-H.; Chen, N.-F.; Feng, C.-W.; Cheng, S.-Y.; Hung, H.-C.; Tsui, K.-H.; Hsu, C.-H.; Sung, P.-J.; Chen, W.-F.; Wen, Z.-H. A coral-derived compound improves functional recovery after spinal cord injury through its antiapoptotic and anti-inflammatory effects. Mar. Drugs 2016, 14, 160. [Google Scholar] [CrossRef]
- Kao, C.-Y.; Su, J.-H.; Lu, M.-C.; Hwang, T.-L.; Wang, W.-H.; Chen, J.-J.; Sheu, J.-H.; Kuo, Y.-H.; Weng, C.-F.; Fang, L.-S.; et al. Lobocrassins A–E: New cembrane-type diterpenoids from the soft coral Lobophytum crassum. Mar. Drugs 2011, 9, 1319–1331. [Google Scholar] [CrossRef]
- Lee, C.-H.; Kao, C.-Y.; Kao, S.-Y.; Chang, C.-H.; Su, J.-H.; Hwang, T.-L.; Kuo, Y.-H.; Wen, Z.-H.; Sung, P.-J. Terpenoids from the octocorals Menella sp. (Plexauridae) and Lobophytum crassum (Alcyonacea). Mar. Drugs 2012, 10, 427–438. [Google Scholar] [CrossRef]
- Yin, F.-Z.; Huan, X.-J.; Mudianta, I.W.; Miao, Z.-H.; Wang, H.; Guo, Y.-W.; Li, X.-W. Polyoxygenated cembranoids from soft coral Lobophytum crassum and their anti-tumoral activity. Chin. J. Chem. 2021, 39, 640–646. [Google Scholar] [CrossRef]
- Yan, H.-Y. Harvesting drugs from the seas and how Taiwan could contribute to this effort. Chang. J. Med. 2004, 9, 1–6. [Google Scholar]
- Leal, M.C.; Calado, R.; Sheridan, C.; Alimonti, A.; Osinga, R. Coral aquaculture to support drug discovery. Trends Biotechnol. 2013, 31, 555–561. [Google Scholar] [CrossRef] [PubMed]

) and HMBC (
) correlations of 1.
) correlations of 1.


| 1 | 2 | |||
|---|---|---|---|---|
| Position | δH a (J in Hz) | δC b | δH a (J in Hz) | δC b |
| 1 | 2.21 m | 46.6, CH c | 3.11 m | 42.9, CH c |
| 2 | 5.32 dd (10.8, 7.2) | 77.6, CH | 5.43 dd (10.4, 8.0) | 77.9, CH |
| 3 | 5.21 d (10.8) | 119.6, CH | 5.05 d (10.4) | 120.5, CH |
| 4 | 142.4, C | 142.0, C | ||
| 5/5’ | 2.38 m; 2.24 m | 39.9, CH2 | 2.38 br d (14.0); 2.19 m | 39.8, CH2 |
| 6/6’ | 3.11 m; 2.42 m | 26.6, CH2 | 3.07 m; 2.46 br d (12.4) | 26.6, CH2 |
| 7 | 5.74 dd (8.4, 3.6) | 147.8, CH | 5.72 dd (8.8, 4.0) | 148.1, CH |
| 8 | 128.7, C | 128.8, C | ||
| 9 | 2.75 br d (13.2); 1.82 m | 35.2, CH2 | 2.71 br d (13.2); 1.87 ddd (13.2, 7.6, 7.6) | 35.1, CH2 |
| 10 | 2.19 m | 25.0, CH2 | 2.18 m | 25.0, CH2 |
| 11 | 4.93 dd (8.8, 7.6) | 122.7, CH | 4.93 dd (8.4, 8.0) | 122.8, CH |
| 12 | 135.5, C | 135.3, C | ||
| 13/13’ | 2.01 m; 1.67 m | 36.6, CH2 | 2.07 m; 1.69 m | 36.1, CH2 |
| 14/14’ | 1.84 m; 1.35 m | 27.8, CH2 | 1.99 ddd (12.8, 6.4, 3.2); 1.45 m | 27.0, CH2 |
| 15 | 2.33 dq (12.0, 6.8) | 38.8, CH | 138.7, C | |
| 16 | 179.3, C | 170.6, C | ||
| 17a/b | 1.25 d (6.8) | 13.6, CH3 | 6.28 d (3.2); 5.54 d (3.2) | 120.8, CH2 |
| 18 | 1.73 s | 15.0, CH3 | 1.73 s | 15.3, CH3 |
| 19 | 170.7, C | 171.7, C | ||
| 20 | 1.52 s | 16.0, CH3 | 1.54 s | 16.1, CH3 |
| Compound/Treatment | iNOS | COX-2 | β-Actin | |||
|---|---|---|---|---|---|---|
| (10 µM) | Production Level | |||||
| Control | 2.23 | ±0.87 | 1.02 | ±0.14 | 106.12 | ±4.17 |
| Vehicle | 100.01 | ±4.27 | 100.00 | ±2.62 | 100.00 | ±0.74 |
| 1 | 90.82 | ±2.16 | 110.85 | ±2.10 | 102.38 | ±2.12 |
| 2 | 28.50 | ±2.69 | 78.99 | ±3.36 | 100.45 | ±2.06 |
| Dexamethasone | 54.53 | ±3.58 | 17.66 | ±1.75 | 103.14 | ±2.46 |
Publisher’s Note: MDPI stays neutral with regard to jurisdictional claims in published maps and institutional affiliations. |
© 2021 by the authors. Licensee MDPI, Basel, Switzerland. This article is an open access article distributed under the terms and conditions of the Creative Commons Attribution (CC BY) license (http://creativecommons.org/licenses/by/4.0/).
Share and Cite
Yeh, Y.-T.; Lin, S.-C.; Lee, G.-H.; Wen, Z.-H.; Hwang, T.-L.; Wu, Y.-J.; Chen, J.-J.; Fang, L.-S.; Yuan, M.-K.; Sung, P.-J. Cembranoids from Octocoral Lobophytum crassum (von Marenzeller, 1886). Mar. Drugs 2021, 19, 130. https://doi.org/10.3390/md19030130
Yeh Y-T, Lin S-C, Lee G-H, Wen Z-H, Hwang T-L, Wu Y-J, Chen J-J, Fang L-S, Yuan M-K, Sung P-J. Cembranoids from Octocoral Lobophytum crassum (von Marenzeller, 1886). Marine Drugs. 2021; 19(3):130. https://doi.org/10.3390/md19030130
Chicago/Turabian StyleYeh, Yao-Tsung, Sung-Chun Lin, Gene-Hsiang Lee, Zhi-Hong Wen, Tsong-Long Hwang, Yu-Jen Wu, Jih-Jung Chen, Lee-Shing Fang, Mei-Kang Yuan, and Ping-Jyun Sung. 2021. "Cembranoids from Octocoral Lobophytum crassum (von Marenzeller, 1886)" Marine Drugs 19, no. 3: 130. https://doi.org/10.3390/md19030130
APA StyleYeh, Y.-T., Lin, S.-C., Lee, G.-H., Wen, Z.-H., Hwang, T.-L., Wu, Y.-J., Chen, J.-J., Fang, L.-S., Yuan, M.-K., & Sung, P.-J. (2021). Cembranoids from Octocoral Lobophytum crassum (von Marenzeller, 1886). Marine Drugs, 19(3), 130. https://doi.org/10.3390/md19030130

