Bioactive Aliphatic Sulfates from Marine Invertebrates
Abstract
1. Introduction
2. Biological Activity of Aliphatic Sulfates Compounds
2.1. Thrombin Inhibition
2.2. Morphological Inducing Defense
2.3. Antifouling
2.4. Cytotoxicity
2.5. Antimicrobial Activity
2.6. Metalloproteinase Inhibitor
2.7. Other Activities
2.8. Chemical Characterization of Aliphatic Sulfates
3. Conclusions
Author Contributions
Funding
Conflicts of Interest
Appendix A
| Compounds | 1 1 | 3 | 4 | 3 | 4 | ||
|---|---|---|---|---|---|---|---|
| Solvent | E | Solvent | E | E | Solvent | E | E |
| Ref. | [32] | Ref. | [17] | [33] | Ref. | [17] | [33] |
| Carbon | δC | Carbon | δC | δC | Carbon | δC | δC |
| 1 | 67.3 | 1 | 14.4 | 14.20 | 26 | 30.8 | 155.33 |
| 16 | 78.8 | 2 | 23.7 | 22.84 | 27 | 30.8 | 143.97 |
| 20 | 12.7 | 3 | - | 32.04 | 28 | 30.8 | 24.12 |
| 1′ | 102.8 | 4 | 30.5 | 29.81 | 29 | 26.0 | 28.99 |
| 2′ | 81.4 | 5 | 26.0 | 25.47 | 30 | 35.3 | ~30 |
| 3′ | 74.3 a | 6 | 35.3 | 35.02 | 31 | 81 | 25.20 |
| 4′ | 74.1 a | 7 | 81 | 78.78 | 32 | 35.3 | 34.82 |
| 5′ | 70.5 b | 8 | 35.3 | 34.93 | 33 | 26.0 | 78.88 |
| 6′ | 16.4 | 9 | 26.0 | 25.47 | 34 | 30.8 | 34.93 |
| 1′’ | 99.6 | 10 | 30.8 | 29.76 | 35 | 30.8 | 25.47 |
| 2′’ | 74.7 a | 11 | 30.8 | ~30 | 36 | 30.8 | ~30 |
| 3′’ | 75.2 a | 12 | 30.8 | ~30 | 37 | 30.8 | ~30 |
| 4′’ | 74.1 a | 13 | 30.8 | ~13 | 38 | 30.8 | ~30 |
| 5′’ | 71.3 b | 14 | 30.8 | 29.76 | 39 | 26.0 | ~30 |
| 6′’ | 16.5 | 15 | 26.0 | 26.07 | 40 | 35.3 | 29.76 |
| - | - | 16 | 35.3 | 31.56 | 41 | 81.0 | 25.47 |
| - | - | 17 | 81 | 82.90 | 42 | 35.3 | 34.93 |
| - | - | 18 | 35.3 | 72.60 | 43 | 26.0 | 78.78 |
| - | - | 19 | 26.0 | 32.21 | 44 | 30.5 | 35.02 |
| - | - | 20 | 30.8 | 24.56 | 45 | 33.0 | 25.47 |
| - | - | 21 | 30.8 | 131.23 | 46 | 23.7 | 29.81 |
| - | - | 22 | 29.9 | 129.43 | 47 | 14.4 | 32.04 |
| - | - | 23 | 53.2 | 27.19 | 48 | 207.6 | 22.84 |
| - | - | 24 | 28.1 | 28.92 | 49 | - | 14.20 |
| - | - | 25 | 30.8 | 28.70 | 50 | - | 195.31 |
| Compounds | 7 | 7 | 8 | 9 | 10 | 11 | 12 | 13 | 14 | 15 | 16 | 17 | 18 |
|---|---|---|---|---|---|---|---|---|---|---|---|---|---|
| Solvent | A | B | A | A | A | B | A | B | B | B | B | B | B |
| Ref. | [8] | [13] | [8] | [8] | [8] | [35] | [35] | [16] | [16] | [6] | [14] | [14] | [18] |
| Carbon | δC | ||||||||||||
| 1 | 70.5 (t) | 70.1 | 65.0 (t) | 65.3 (t) | 65.0 (t) | 70.2 (t) | 69.1 (t) | 67.5 | 69.1 | 69.0 | 68.9 | 68.9 | 69.13 |
| 2 | 32.6 (d) | 70.1 | 29.1 (d) | 29.2 (d) | 27.4 (t) | 68.6 (d) | 60.5 (d) | 37.6 | 30.5 | 29.1 | 30.6 | 29.6 | 30.45 |
| 3 | 33.2 (t) | 33.8 | 23.2 (t) | 23.3 (t) | 126.1 (d) | 72.0 (s) | 77.1 (s) | 30.8 | 26.8 | 121.0 | 26.9 | 26.5 | 26.91 |
| 4 | 24.0 (t) | 34.1 | 127.2 (d) | 127.2 (d) | 126.7 (d) | 73.3 (s) a | 68.6 (s) a | 38.6 | 30.1 | 139.4 | 30.0 | 27.0 | 30.72 |
| 5 | 38.8 (t) | 25.1 | 127.9 (d) | 128.3 (d) | 25.3 (t) | 66.3 (s) a | 65.2 (s) a | 25.3 | 30.1 | 32.9 | 40.3 | 129.1 | 30.72 |
| 6 | 274 (d) | 39.6 | 29.8 (t) | 25.1 (t) | 128.8 (d) | 83.2 (s) | 80.5 (s) | 38.7 | 30.1 | 26.8 | 28.8 | 132.0 | 30.72 |
| 7 | - | - | 129.5 (d) | 129.2 (d) | 129.2 (d) | 19.5 (t) | 17.7 (t) | 34.1 | 30.1 | 39.9 | 23.0 | 20.9 | 30.72 |
| 8 | - | - | 131.8 (d) | 131.5 (d) | 31.0 (t) | 28.3 (t) | 26.4 (t) | 29.0 | 30.1 | 29.0 | 23.0 | 23.0 | 30.72 |
| 9 | - | - | 23.2 (t) | 20.1 (t) | 136.7 (d) | 19.8 (t) | 18.0 (t) | 25.6 | 30.1 | 23.0 | - | - | 30.72 |
| 10 | - | - | 13.7 (q) | 14.2 (q) | 114.9 (t) | 85.3 (s) | 84.5 (s) | 32.5 | 30.1 | 23.6 | - | - | 26.80 |
| 11 | - | - | - | - | - | 67.3 (s) | 65.5 (s) | 39.2 | 30.1 | 23.0 | - | - | 38.43 |
| 12 | - | - | - | - | - | 79.4 (s) | 78.0 (s) | 32.3 | 30.1 | - | - | - | 30.1 |
| 13 | - | - | - | - | - | 74.2 (s) | 72.5 (s) | 25.6 | 30.1 | - | - | - | 38.43 |
| 14 | - | - | - | - | - | 109.6 (d) | 108.0 (d) | 40.5 | 30.1 | - | - | - | 26.80 |
| 15 | - | - | - | - | - | 150.0 (d) | 148.3 (d) | 29.1 | 30.1 | - | - | - | 30.72 |
| 16 | - | - | - | - | - | 31.7 (t) | 30.0 (t) | 23.1 | 30.1 | - | - | - | 33.08 |
| 17 | - | - | - | - | - | 29.4 (t) | 27.6 (t) | 19.7 | 30.1 | - | - | - | 23.72 |
| 18 | - | - | - | - | - | 29.4 (t) | 27.6 (t) | 20.0 | 30.1 | - | - | - | 30.1 |
| 19 | - | - | - | - | - | 31.3 (t) | 29.5 (t) | 71.6 | 26.8 | - | - | - | - |
| 20 | - | - | - | - | - | 147.6 (d) | 145.2 (d) | 23.1 | 30.5 | - | - | - | - |
| 21 | - | - | - | - | - | 109.8 (d) | 108.6 (d) | - | 69.1 | - | - | - | - |
| 22 | - | - | - | - | - | 82.3 (s) | 80.2 (s) | - | - | - | - | - | - |
| 23 | - | - | - | - | - | 83.8 (d) | 84.6 (d) | - | - | - | - | - | - |
| Me-2 | 16.9 (q) | 17.3 | - | - | - | - | - | - | - | - | - | - | - |
| Me-6 and 7 | 22.5 e 22.6 (each q) | 23.0 and 22.9 | - | - | - | - | - | - | - | - | - | - | - |
| Compounds | 19 | 20 | 21 | 22 | 23 | 24 | 25 | 27 | 29 | 30 | 31 | 32 | 26 | |
|---|---|---|---|---|---|---|---|---|---|---|---|---|---|---|
| Solvent | B | B | B | B | C | C | C | B | B | B | B | B | Solvent | B |
| Ref. | [9] | [9] | [9] | [9] | [5] | [5] | [5] | [11] | [12] | [12] | [12] | [12] | Ref. | [10] |
| Carbon | δC | Carbon | δC | |||||||||||
| 1 | 68.6 | 68.4 | 68.4 | 69.1 | 67.8 | 68.3 | 68.2 | 69.5 | 69.2 | 68.9 | 68.5 | 68.6 | 1 | 61.9 |
| 2 | 28.5 | 28.6 | 28.6 | 30.5 | 32.6 | 32.6 | 32.5 | 29.2 | 30.6 | 33.7 | 30.5 | 28.3 | 2 | 30.5 |
| 3 | 125.6 | 125.9 | 126.2 | 26.9 | 123.1 | 123.0 | 123.1 | 34.2 | 26.9 | 126.6 | 24.5 | 125.7 | 3 | 27.2 |
| 4 | 133.4 | 131.7 | 131.4 | 30.4 | 139.1 | 139.4 | 139.3 | 33.8 | 30.5 | 134.3 | 132.7 a | 133.5 | 4 | 27.8 |
| 5 | 28.2 | 26.6 | 26.6 | 31.0 | 36.2 | 36.3 | 36.3 | 38.4 | 28.4 | 33.7 | 128.4 a | 128.4 a | 5α | 37.7 |
| 6 | 30.7 | 128.7 | 128.8 | 28.5 | 36.9 | 37.0 | 37.0 | 25.9 | 40.1 | 30.5 | 26.3 | 30.7 a | 5β | 37.7 |
| 7 | 30.0 | 131.3 | 129.5 | 40.2 | 25.6 | 25.7 | 25.7 | 40.5 | 29.1 | 29.9 | 129.8 a | 30.6 a | 6 | 35.6 |
| 8 | 32.9 | 28.1 | 26.4 | 29.2 | 124.5 | 124.6 | 124.6 | 28.1 | 23.1 | 32.9 | 130.1 a | 30.4 a | 7α | 30.6 |
| 9 | 23.7 | 30.5 | 128.2 | 23.1 | 131.1 | 131.2 | 131.2 | 23.1 | 23.1 | 23.7 | 21.4 | 30.4 a | 7β | 30.6 |
| 10 | 14.4 | 32.6 | 132.8 | 23.1 | 17.6 | 17.7 | 17.7 | 23.0 | - | 14.4 | 14.7 | 33.1 | 8 | 11.7 |
| 11 | - | 23.6 | 21.4 | - | 20.5 | 20.5 | 20.5 | - | - | - | - | 23.7 | 9 | 19.6 |
| 12 | - | 14.4 | 14.6 | - | 25.5 | 25.7 | 25.7 | - | - | - | - | - | - | - |
| N-CH3 | - | - | - | - | 45.3 | 35.5 | - | - | - | - | - | - | - | - |
| 2′ | - | - | - | - | - | - | 53.2 | - | - | - | - | - | - | - |
| 3′ | - | - | - | - | - | - | 49.9 | - | - | - | - | - | - | - |
| 4′ | - | - | - | - | - | - | 208.7 | - | - | - | - | - | - | - |
| 5′ | - | - | - | - | - | - | 31.0 | - | - | - | - | - | - | - |
| 1′, 6′ | - | - | - | - | - | - | 25.7 | - | - | - | - | - | - | - |
| Compounds | 33 | 35 | 36 | 37 | 40 | 41 | 42 | 43 | 30 | 44 | 45 | 46 | ||
|---|---|---|---|---|---|---|---|---|---|---|---|---|---|---|
| Solvent | B | B | B | B | B | D | D | D | D | Solvent | B | Solvent | B | B |
| Ref. | [12] | [12] | [12] | [12] | [12] | [13] | [13] | [13] | [13] | Ref. | [15] | Ref. | [15] | [15] |
| Carbon | δC | Carbon | δC | Carbon | δC | |||||||||
| 1 | 44.8 | 45.0 | 45.0 | 45.0 | 45.0 | 67.1 | 67.8 | 68.1 | 67.6 | 1 | 66.7 | - | - | - |
| 2 | 28.7 | 30.9 a | 30.9 a | 30.9 a | 30.8 | 32.1 | 32.2 | 29.8 | 33.5 | 2α | 36.7 | 1 β | 73.2 | 73.6 |
| 3 | 127.5 | 28.2 | 28.3 | 28.2 | 28.3 | 30.2 | 30.2 | 26.6 | 126.5 | 2β | 36.7 | 2 | 33.5 | 34.1 |
| 4 | 132.9 | 30.7 a | 30.5 a | 30.7 a | 30.8 | 29.7 | 30.1 | 27.3 | 133.0 | 3 | 29.9 | 3 | 33.7 | 34.3 |
| 5 | 28.3 | 30.7 a | 30.4 a | 30.6 a | 28.5 | 29.6 | 30.0 | 130.1 | 33.0 | 4 | 37.6 | 4 | 24.5 | 25.1 |
| 6 | 30.7 | 30.6 a | 33.0 | 30.4 a | 40.2 | 26.5 | 29.8 | 130.5 | 29.7 | 5 | 24.6 | 5 | 37.6 | 38.1 |
| 7 | 30.0 | 30.5 a | 23.7 | 33.1 | 29.2 | 23.0 | 29.7 | 27.4 | 29.2 | 6α | 37.6 | 6 | 33.0 | 33.5 |
| 8 | 32.9 | 33.1 | 14.5 | 23.7 | 23.0 | 14.4 | 26.5 | 32.4 | 32.0 | 6β | 37.6 | 7 | 37.6 | 38.1 |
| 9 | 23.7 | 23.7 | - | 14.5 | 23.0 | - | 23.1 | 22.8 | 23.0 | 7 | 33.1 | 8 | 24.5 | 25.1 |
| 10 | 14.4 | 14.5 | - | - | - | - | 14.4 | 14.4 | 14.4 | 8α | 37.7 | 9 | 31.7 | 31.9 |
| 11 | - | - | - | - | - | - | - | - | - | 8β | 37.7 | 10 | 38.4 | 41.4 |
| 12 | - | - | - | - | - | - | - | - | - | 9 | 24.6 | 11 | 31.9 | 31.9 |
| - | - | - | - | - | - | - | - | - | - | 10 | 32.0 | 12 | 24.5 | 25.2 |
| - | - | - | - | - | - | - | - | - | - | 11 | 38.4 | 13 | 44.4 | 40.3 |
| - | - | - | - | - | - | - | - | - | - | 12 | 31.7 | 14 | 70.7 | 28.9 |
| - | - | - | - | - | - | - | - | - | - | 13 | 24.6 | 15 | 28.3 | 22.8 |
| - | - | - | - | - | - | - | - | - | - | 14 | 44.4 | 16 | 16.3 | 16.9 |
| - | - | - | - | - | - | - | - | - | - | 15 | 70.8 | 17 | 19.2 | 19.9 |
| - | - | - | - | - | - | - | - | - | - | 16 | 28.4 | 18 | 70.8 | 65.5 |
| - | - | - | - | - | - | - | - | - | - | 17 | 18.9 | 19 | 28.3 | 22.8 |
| Compounds | 1 | 3 | 4 | 3 | 4 | ||
|---|---|---|---|---|---|---|---|
| Solvent | E | A | A | A | A | ||
| Ref. | [32] | [17] | [33] | [17] | [33] | ||
| Hydrogen | δH, m, J (Hz) | Hydrogen | δH, m, J (Hz) | δH, m, J (Hz) | Hydrogen | δH, m, J (Hz) | δH, m, J (Hz) |
| 1 | 4.53 (J = 6.7) | 1 | 0.89 (t, J = 6.7) | 0.77 (t, J = 6.8) | 26 | 1.3 (m) | 6.43 (t, J = 7.4) |
| 16 | 3.75 | 2 | 1.3 (m) | 1.15 (m) | 27 | 1.3 (m) | - |
| 20 | 0.95 (J = 7.0) | 3 | 1.3 (m) | 1.15 (m) | 28 | 1.3 (m) | 2.29 (t, J = 7.4) |
| 1′ | 5.18 (J = 7.6) | 4 | 1.3 (m) | 1.16 (m) | 29 | 1.63–1.46(m), ~1.39 (m) | 1.39 (quint, J = 7.4) |
| 2′ | 4.05 a | 5 | 1.63–1.46(m) ~1.39 (m) | 1.53 (m) | 30 | 1.65 (m) | 1.25 (m) |
| 3′ | 4.26 (J = 8.6) | 6 | 1.65 (m) | 1.91 (m), 1.81(m) | 31 | 4.31 (quint, J = 4.9) | 1.53 (m) |
| 4′ | 3.77 b | 7 | 4.31 (quint, J = 4.9) | 4.88 (quint, J = 5.9) | 32 | 1.65 (m) | 1.91 (m) 1.81 (m) |
| 5′ | 3.73 b | 8 | 1.65 (m) | 1.91 (m) 1.81 (m) | 33 | 1.63–1.46(m) ~1.39 (m) | 4.86(quint, J = 5.9) |
| 6′ | 1.63 (J = 6.2) | 9 | 1.63–1.46(m) ~1.39 (m) | 1.53 (m) | 34 | 1.3 (m) | 1.91 (m) 1.81 (m) |
| 1′’ | 4.81 (J = 7.6) | 10 | 1.3 (m) | 1.25 (m) | 35 | 1.3 (m) | 1.53 (m) |
| 2′’ | 4.09 a | 11 | 1.3 (m) | 1.16 (m) | 36 | 1.3 (m) | 1.25(m) |
| 3′’ | 4.17 (J = 9.7) | 12 | 1.3 (m) | 1.16 (m) | 37 | 1.3 (m) | 1.16 (m) |
| 4′’ | 3.89b | 13 | 1.3 (m) | 1.16 (m) | 38 | 1.3 (m) | 1.16 (m) |
| 5′’ | 3.80 b | 14 | 1.3 (m) | 1.25 (m) | 39 | 1.63–1.46(m) ~1.39 (m) | 1.16 (m) |
| 6′’ | 1.65 (J = 6.2) | 15 | 1.63–1.46(m) ~1.39 (m) | 1.73 (m) 1.55 (m) | 40 | 1.65 (m) | 1.25 (m) |
| - | - | 16 | 1.65 (m) | 2.02 (m) 1.71 (m) | 41 | 4.31 (quint, J = 4.9) | 1.53 (m) |
| - | - | 17 | 4.31 (quint, J = 4.9) | 5.08 | 42 | 1.65 (m) | 1.91 (m) 1.81 (m) |
| - | - | 18 | 1.65 (m) | 4.28 (dt, J = 10.0, 2.5) | 43 | 1.63–1.46(m) ~1.39 (m) | 4.88 (quint, J = 5.9) |
| - | - | 19 | 1.63–1.46 (m) ~1.39 (m) | 2.01 (m) 1.77 (m) | 44 | 1.3 (m) | 1.91 (m) 1.81 (m) |
| - | - | 20 | 1.3 (m) | 2.55 (dq, J=14.3, 7.3) 2.39 (m) | 45 | 1.3 (m) | 1.53 (m) |
| 21 | - | 21 | - | 5.57 (dt, J= 10.5, 7.3) | 46 | 1.3 (m) | 1.16 (m) |
| 22 | - | 22 | 5.44 (dt, J= 10.5,7.3) | 47 | 0.89 (t, J = 6.7) | 1.15 (m) | |
| 23 | - | 23 | 2.22 (m) | 2.16 (q, 7.3) | 48 | 9.51(d, J = 3.0) | 1.15 (m) |
| Me-2 | - | 24 | 1.3 (m) | 1.50 (quint, J=7.3) | 49 | - | 0.77 (t, J = 6.8) |
| Me-6 and 7 | - | 25 | 1.3 (m) | 2.30 (q, J=7.4) | 50 | - | 9.50 (s) |
| Compounds | 7 | 7 | 8 | 9 | 10 | ||
|---|---|---|---|---|---|---|---|
| Solvent | A | B | A | A | A | ||
| Ref. | [8] | [13] | [8] | [8] | [8] | ||
| Hydrogen | δH, m, J (Hz) | ||||||
| 1 | 3.45 (dd, J = 9.5, 6.8) 3.54 (dd, J = 9.5, 5.9) | 4.29 (dd, J = 8.0, 8.2) 4.40 (dd, J = 9.1, 6.1) | 3.67 (m) | 3.71 (m) | 3.68 (m) | ||
| 2 | 1.61 (m) | 1.90–1.96 (m) | 1.53 (m) | 1.54 (m) | 2.27 (m) | ||
| 3 | 1.00 (m) 1.28 (m) | 1.29–1.35 (m) 1.05–1.11 (m) | 2.02 (m) | 2.05 (m) | 5.35 (m) | ||
| 4 | 1.20 (m) 1.27 (m) | 1.29–1.35 (m) 1.25–1.28 (m) | 5.36 (m) | 5.27 (m) | 5.37 (m) | ||
| 5 | 1.12 (m) | 1.11–1.13 (m) | 5.36 (m) | 5.32 (m) | 2.76 (m) | ||
| 6 | 1.50 (septet, J = 6.6) | 1.48–1.51 (m) | 2.69 (m) | 2.73 (m) | 5.37 (m) | ||
| 7 | - | - | 5.36 (m) | 5.32 (m) | 5.37 (m) | ||
| 8 | - | - | 5.43 (m) | 5.32 (m) | 2.79 (m) | ||
| 9 | - | - | 1.96 (m) | 2.02 (m) | 5.78 (dd, J = 17.0, 10.0) | ||
| 10 | - | - | 0.91 (t, J = 7.0) | 0.91 (t, J = 7.0) | 4.96 (dd, J = 10.0, 1.8) 5.03 (dd, J = 17.0, 1.8) | ||
| Me-2 | 0.82 (d, J = 6.9) | 0.87 (d, J = 6.6) | - | - | - | ||
| Me-6 and 7 | 0.84 (d, J = 6.6) | 1.03 (d, J = 6.6) 0.87 (d, J = 6.6) | - | - | - | ||
| 2-OH | - | - | - | - | - | ||
| Compounds | 11 | 12 | 13 | 14 | 15 | 16 | 17 |
|---|---|---|---|---|---|---|---|
| Solvent | B | A | B | B | B | B | B |
| Ref. | [35] | [35] | [16] | [16] | [6] | [14] | [14] |
| Hydrogen | δH, m, J (Hz) | ||||||
| 1 | 4.14 (d, J = 5.5 | 3.68 (m) | 4.07 (m) | 4.02 (t, J = 6.0) | 3.99 (t, J = 7.0) | 4.02 (t, J = 6.8) | 4.01 (t, J = 6.8) |
| 2 | 5.20 (t, J = 5.5) | 4.43 (m) | 1.48b (Ha) | 4.02 (t, J = 6.0) | 2.40 (bq, J = 7.0) | 1.69 (m) | 1.65 (m) |
| 3 | - | - | 1.65 b | 1.69 (m) | 5.19 (bt) | 1.43 (m) | 1.45 (m) |
| 4 | - | - | 1.35 b | 1.42 (m) | - | 1.32 (m) | 2.15 (m) |
| 5 | - | - | 1.33-1.40 b | 1.32 (large signal) | 2.06 (t, J = 7.5) | 1.23 (m) | 5.23 (dt, J = 11, 0, 6.8) |
| 6 | - | - | 1.32 b | 1.32 (large signal) | 1.43 (m) | 1.58 (m) | 5.40 (dt, J = 11, 0, 6.8) |
| 7 | 2.44 (t, J = 6.9) | 2.38 (t, J = 6.9) | 1.45 b | 1.32 (large signal) | 1.21 (m) | 0.92 (t, J = 6.5) | 2.08 (m) |
| 8 | 1.75 (quint, J = 6.9) | 1.67 (quint, J = 6.9) | 1.14 (m, Ha) 1.35 b (Hb) | 1.32 (large signal) | 1.57 (m) | 0.92 (t, J = 6.5) | 0.99 (t, J = 7.0) |
| 9 | 2.45 (t, J = 6.9) | 2.42 (t, J = 6.9) | 1.33–1.40 b | 1.32 (large signal) | 0.91 (d, J = 6.5) | - | - |
| 10 | - | - | 1.31 b | 1.32 (large signal) | 1.72 (bs, J = 7.0) | - | - |
| 11 | - | - | 1.67 b | 1.32 (large signal) | 0.91 (d, J = 6.5) | - | - |
| 12 | - | - | 1.35 b | 1.32 (large signal) | - | - | - |
| 13 | - | - | 1.33-1.40 b | 1.32 (large signal) | - | - | - |
| 14 | 5.52 (d, J = 11.0) | 5.56 (d, J = 11.0) | 1.22 (m) | 1.32 (large signal) | - | - | - |
| 15 | 6.14 (dt, J = 11.0, 7.3) | 6.12 (dt, J = 11.0, 7.8) | 1.58 (m) | 1.32 (large signal) | - | - | - |
| 16 | 2.31 (m) | 2.22 (m) | 0.91 (d, J = 6.5) | 1.32 (large signal) | - | - | - |
| 17 | 1.44 (m) | 1.35 (m) | 0.96 (d, J = 6.5) | 1.32 (large signal) | - | - | - |
| 18 | 1.44 (m) | 1.35 (m) | 0.90 (d, J = 6.5) | 1.32 (large signal) | - | - | - |
| 19 | 2.32 (m) | 2.23 (m) | 3.94 (d, J = 5.0) | 1.32 (large signal) | - | - | - |
| 20 | 6.04 (dt, J = 11.0, 7.8) | 5.99 (dt, J = 11.0, 7.8) | 0.91 (d, J = 6.5) | 1.42 (m) | - | - | - |
| 21 | 5.48 brd (J = 11.0) | 5.46 (dd, J = 11.0, 1.5) | - | 1.69 (m) | - | - | - |
| 22 | - | - | - | - | - | - | - |
| 23 | 3.46 (brs) | 3.95 (d, J = 1.5) | - | - | - | - | - |
| 2-OH | - | 5.68 (brs) | - | - | - | - | - |
| Compounds | 18 | Compounds | 19 | 20 | 21 | 22 |
|---|---|---|---|---|---|---|
| Solvent | B | Solvent | B | B | B | B |
| Ref. | [18] | Ref. | [9] | [9] | [9] | [9] |
| Hydrogen | δH, m, J (Hz) | Hydrogen | δH, m, J (Hz) | |||
| 1 | 3.99 (t, J = 6.5) | 1 | 4.00 (t, J = 7.0) | 4.02 (t, J = 7.0) | 4.03 (t, J = 7.0) | 4.03 (t, J = 7.0) |
| 2 | 1.54 (dt, J = 15.0, 6.7) | 2 | 2.46 (q, J = 7.0) | 2.49 (q, J = 7.0) | 2.50 (q, J = 7.0) | 1.70 (q, J = 7.0) |
| 3 | 1.38 (m) | 3 | 5.44 (dt, J = 11.0, 7.0) | 5.45 (dt, J = 11.0, 7.0) | 5.45–5.54 (m) | 1.50–1.40 (m) |
| 4 b | 1.28–1.34 | 4 | 5.53 (dt, J = 11.0, 7.0) | 5.47 (dt, J = 11.0, 7.0) | 5.45–5.54 (m) | 1.47–1.30 (envelop) |
| 5 b | 1.28–1.34 | 5 | 2.11 (q, J = 7.0) | 2.86 (t, J = 7.0) | 2.90 (t, J=5.0) | 1.47–1.30 (envelop) |
| 6 b | 1.28–1.34 | 6 | 1.38 (overlapped) | 5.36 (dt, J = 11.0 and 7.0) | 5.30–5.45 (m) | 1.47–1.30 (envelop) |
| 7 b | 1.28–1.34 | 7 | 1.34 (envelop) | 5.42 (dt, J = 11.0 and 7.0) | 5.30–5.45 (m) | 1.22 (m) |
| 8 b | 1.28–1.34 | 8 | 1.34 (envelop) | 2.12 (q, J = 7.0) | 2.86 (t, J = 5.0) | 1.57 (nonet, J = 7.0) |
| 9 b | 1.28–1.34 | 9 | 1.34 (envelop) | 1.40 (overlapped) | 5.30–5.45 (m) | 0.92 (d, J = 7.0) |
| 10 | 1.31 c | 10 | 0.94 (t, J=7.0) | 1.37 (envelop) | 5.30–5.45 (m) | 0.92 (d, J = 7.0) |
| 11 | 1.42 (m) | 11 | - | 1.37 (envelop) | 1.37 (envelop) | - |
| 12 | 3.49 (quint, J = 3.75) | 12 | - | 0.96 (t, J = 7.0) | 1.01 (t, J = 7.0) | - |
| 13 | 1.42 (m) | N-CH3 | - | - | - | - |
| 14 | 1.31 | 2′ | - | - | - | - |
| 15 b | 1.28–1.34 | 3′ | - | - | - | - |
| 16 | 1.29 c | 4′ | - | - | - | - |
| 17 | 1.32 c | 5′ | - | - | - | - |
| 18 | 0.90 (t, J = 7.1) | 1′, 6′ | - | - | - | - |
| Compounds | 23 | 24 | 25 | 26 | |
|---|---|---|---|---|---|
| Solvent | C | C | C | Solvent | B |
| Ref. | [5] | [5] | [5] | Ref. | [10] |
| Hydrogen | δH, m, J (Hz) | Hydrogen | δH, m, J (Hz) | ||
| 1 | 4.02 (t, J = 7.3) | 4.02 (t, J = 7.1) | 4.01 (t, J = 7.1) | 1 | 4.03 (t, J = 6.6) |
| 2 | 2.37 (m) | 2.39 (m) | 2.38 (m) | 2 | 1.70 (quint, J = 6.6) |
| 3 | 5.36 (dt, J = 15.4, 6.1) | 5.34 (dt, J = 15.4, 6.4) | 5.34 (dt, J = 15.4, 6.5) | 3 | 1.48–1.29 (m) |
| 4 | 5.38 (dd, J = 15.4, 7.0) | 5.40 (dd, J = 15.4, 7.3) | 5.39 (dd, J = 15.4, 7.0) | 4 | 1.48–1.29 (m) |
| 5 | 2.06 (m) | 2.07 (m) | 2.06 (m) | 5α | 1.48–1.29 (m) |
| 6 | 1.27 (m) | 1.27 (m) | 1.26 (m) | 5β | 1.24–1.13 (m) |
| 7 | 1.92 (m) | 1.92 (m) | 1.92 (m) | 6 | 1.48–1.29 (m) |
| 8 | 5.07 (t, J = 6.5) | 5.07 (t, J = 6.5) | 5.07 (t, J = 6.4) | 7α | 1.48–1.29 (m) |
| 9 | - | - | - | 7β | 1.24–1.13 (m) |
| 10 | 1.58 (s) | 1.58 (s) | 1.58 (s) | 8 | 0.92 (t, J = 7.8) |
| 11 | 0.94 (d, J = 6.6) | 0.95 (d, J = 6.9) | 0.94 (d, J = 6.6) | 9 | 0.91 (d, J = 7.4) |
| 12 | 1.67 (s) | 1.68 (s) | 1.67 (s) | - | - |
| NH | 9.75 (brs) | 8.15 (brs) | 7.55 (brs) | - | - |
| N-CH3 | 2.96 (d, J=3.7) | 2.77 (t, J = 5.5) | - | - | - |
| 2′ | - | - | - | - | - |
| 3′ | - | - | 2.94 (s) | - | - |
| 4′ | - | - | - | - | - |
| 5′ | - | - | 2.21 (s) | - | - |
| 1′, 6′ | - | - | 1.46 (s) | - | - |
| Compounds | 27 | 28 | 29 | 30 | 31 |
|---|---|---|---|---|---|
| Solvent | B | B | B | B | B |
| Ref. | [11] | [11] | [12] | [12] | [12] |
| Hydrogen | |||||
| 1 | 4.02 (t, J = 6.6) | 4.04 (m) | 4.03 (t, J = 6.6) | 4.01 (t, J = 7.1) | 4.00 (t, J = 7.2) |
| 2 | 1.70 (m) | 1.67 (m) | 1.68 (quint, J = 6.6) | 2.39 (qd, J = 6.6, 1.2) | 2.46 (q, J = 6.8) |
| 3 | 1.50 (m) | 2.31 (sept, J = 7.1) | 1.48–1.30 (m) | 5.47 (dtd, J = 15.2, 6.6, 1.2) | 5.44 (dt, J = 11.5, 7.1) |
| 4 | 1.50 (m) | 5.30 (ddt, J = 15.3, 7.9, 1.2) | 1.48–1.30 (m) | 5.59 (dtd, J = 15.2, 6.6, 1.2) | 5.52 (dt, J = 11.5, 7.1) |
| 5 | 1.50 (m) | 5.48 (dtd, J = 15.3, 6.6, 1.0) | 1.48–1.30 (m) | 2.04 (q, J = 6.6) | 2.12 (m) |
| 6 | 1.50 (m) | 2.03 (q, J = 6.6) | 1.23 (m) | 1.45–1.30 (envelop) | 1.45–1.30 (m) |
| 7 | 1.50 (m) | 1.28–1.44 (m) | 1.56 (nonet, J = 6.8) | 1.45–1.30 (envelop) | 1.45–1.30 (m) |
| 8 | 1.58 (nonet, J = 6.6) | 1.28–1.44 (m) | 0.92 (d, J = 6.6) | 1.45–1.30 (envelop) | 1.25 (m) |
| 9 | 0.92 (d, J = 6.6) | 1.28–1.44 (m) | 0.92 (d, J = 6.6) | 1.45–1.30 (envelop) | 1.57 (nonet, J = 6.6) |
| 10 | - | 0.93 (t, J = 6.8) | - | 0.94 (t, J = 7.1) | 0.92 (d, J = 6.6) |
| 11 | - | - | - | - | 0.92 (d, J = 6.6) |
| Me-8 | 0.92 (d, J = 6.6) | - | - | - | - |
| Me-3 | - | 1.04 (d, J = 6.8) | - | - | - |
| Compounds | 32 | 33 | 34 | 35 | 36 | 37 | 38 | 39 |
|---|---|---|---|---|---|---|---|---|
| Solvent | B | B | B | B | B | B | B | B |
| Ref. | [12] | [12] | [12] | [12] | [12] | [12] | [12] | [12] |
| Hydrogen | δH, m, J (Hz) | |||||||
| 1 | 4.00 (t, J = 7.2) | 3.03 (t, J = 7.0) | 3.04 (t, J = 7.0) | 3.01 (t, J = 7.0) | 3.01 (t, J = 7.0) | 3.01 (t, J = 7.0) | 2.99 (t, J = 7.0) | 3.01 (t, J = 7.0) |
| 2 | 2.46 (q, J = 6.8) | 2.34 (q, J = 7.0) | 2.37 (q, J = 7.0) | 1.58 (m) | 1.58 (m) | 1.58 (m) | 1.57 (m) | 1.58 (m) |
| 3 | 5.44 (dt, J = 11.0, 7.1) | 5.42 (dt, J = 11.0, 7.1) | 5.47–5.37 (m) | 1.34 (envelop) | 1.36 (envelop) | 1.34 (envelop) | 1.33 (envelop) | 1.34 (envelop) |
| 4 | 5.53 (dt, J = 11.0, 7.1) | 5.50 (dt, J = 11.0, 7.0) | 5.47–5.37 (m) | 1.34 (envelop) | 1.36 (envelop) | 1.34 (envelop) | 1.33 (envelop) | 1.34 (envelop) |
| 5 | 2.10 (m) | 2.12 (q, J = 7.0) | 2.88 (t, J = 7.0) | 1.34 (envelop) | 1.36 (envelop) | 1.34 (envelop) | 1.33 (envelop) | 1.34 (envelop) |
| 6 | 1.50–1.25 (envelop) | 1.37 (overlapped) | 5.47–5.37 (m) | 1.34 (envelop) | 1.36 (envelop) | 1.34 (envelop) | 1.33 (envelop) | 1.34 (envelop) |
| 7 | 1.50–1.25 (envelop) | 1.33 (envelop) | 5.47–5.37 (m) | 1.34 (envelop) | 1.36 (envelop) | 1.34 (envelop) | 1.33 (envelop) | 1.23 (m) |
| 8 | 1.50–1.25 (envelop) | 1.33 (envelop) | 2.12 (q, J = 7.0) | 1.34 (envelop) | 0.94 (t, J = 7.0) | 1.34 (envelop) | 1.19 (m) | 1.58 (m) |
| 9 | 1.50–1.25 (envelop) | 1.33 (envelop) | 1.33 (envelop) | 1.34 (envelop) | - | 0.94 (t, J = 7.0) | 1.57 (m) | 0.92 (d, J = 7.0) |
| 10 | 1.50–1.25 (envelop) | 0.94 (t, J = 7.0) | 1.33 (envelop) | 0.94 (t, J = 7.0) | - | - | 0.92 (d, J = 7.0) | 0.92 (d, J = 7.0) |
| 11 | 1.50–1.25 (envelop) | - | 1.33 (envelop) | - | - | - | 0.92 (d, J = 7.0) | - |
| 12 | 0.94 (t, J = 6.6) | - | 0.95 (t, J = 7.0) | - | - | - | - | - |
| Me-3 | - | - | - | - | - | - | - | - |
| Compounds | 40 | 41 | 42 | 43 | 30 |
|---|---|---|---|---|---|
| Solvent | B | D | D | D | D |
| Ref. | [12] | [13] | [13] | [13] | [13] |
| Hydrogen | δH, m, J (Hz) | ||||
| 1 | 3.01 (t, J = 7.0) | 4.53 (t, J = 6.0) | 4.55 (t, J = 6.0) | 4.49 (t, J = 6.4) | 4.56 (t, J= 7.1) |
| 2 | 1.52–1.63 (m) | 1.75–1.82 (m) | 1.79–1.85 (m) | 1.79–1.84 (m) | 2.58–2.59 (m) |
| 3 | 1.41–1.30 (m) | 1.42–1.43 (m) | 1.42–1.45 (m) | 1.52–1.56 (m) | 5.54 (dt, J = 15.1, 7.6) |
| 4 | 1.41–1.30 (m) | 1.39–1.41 (m) | 1.35–1.23 (overlapped) | 2.06–2.08 (m) | 5.56 (dt, J = 15.1, 7.6) |
| 5 | 1.41–1.30 (m) | 1.35 (m) | 1.35–1.23 (overlapped) | 5.43 (dt, J = 10.5, 6.5) | 1.94–1.95 (m) |
| 6 | 1.24 (m) | 1.31–1.32 (m) | 1.35–1.23 (overlapped) | 5.46 (dt, J = 10.5, 6.5) | 1.34–1.38 (m) |
| 7 | 1.52–1.63 (m) | 1.20–1.26 (m) | 1.35–1.23 (overlapped) | 2.06–2.08 (m) | 1.30–1.34 (m) |
| 8 | 0.92 (d, J = 7.0) | 0.91 (t, J = 5.0) | 1.35–1.23 (overlapped) | 1.38–1.41 (m) | 1.27–1.30 (m) |
| 9 | 0.92 (d, J = 7.0) | - | 1.35–1.23 (overlapped) | 1.36–1.38 (m) | 1.25–1.27 (m) |
| 10 | - | - | 0.94 (t, J = 7.0) | 0.93 (t, J = 7.0) | 0.89 (t, J = 12.0) |
| 11 | - | - | - | - | - |
| 12 | - | - | - | - | - |
| Compounds | 44 | Compounds | 45 | 46 |
|---|---|---|---|---|
| Solvent | B | Solvent | B | B |
| Ref. | [15] | Ref. | [15] | [15] |
| Hydrogen | δH, m, J (Hz) | |||
| 1 | 4.02 (m) | 1 α | 3.80 (dd, J = 6.6, 9.1) | 3.79 (dd, J = 6.6, 9.4) |
| 2α | 1.42 a | 1 β | 3.88 (dd, J = 6.6, 9.1) | 3.87 (dd, J = 6.6, 9.4) |
| 2β | 1.68 (m) | 2 | 1.78 (m) | 1.79 (m) |
| 3 | 1.60 (m) | 3 | 1.14 (m) 1.40 1.41 a | 1.14 (m) 1.43 1.44 a |
| 4 | 1.10 a 1.30 1.30 a | 4 | 1.33 a | 1.32 a |
| 5 | 1.30 a | 5 | 1.10 a 1.30 1.30 a | 1.11 a 1.32 1.30 a |
| 6α | 1.10 a | 6 | 1.39 a | 1.41 a |
| 6β | 1.28 a | 7 | 1.10 a 1.30 1.30 a | 1.11 a 1.32 1.30 a |
| 7 | 1.40 a | 8 | 1.33 a | 1.32 a |
| 8α | 1.09 a1.28 | 9 | 1.31 a 1.36 1.36 a | 1.23 a 1.33 1.32 a |
| 8β | 1.28 a | 10 | 1.66 (m) | 1.44 (m) |
| 9 | 1.29 a | 11 | 1.30 a 1.38 1.38 a | 1.23 a 1.33 1.32 a |
| 10 | 1.30 a 1.38 1.38 a | 12 | 1.33 a | 1.33 a |
| 11 | 1.65 (m) | 13 | 1.42 a | 1.19 (m) |
| 12 | 1.36 a | 14 | - | 1.55 (m) |
| 13 | 1.30 a | 15 | 1.15 (s) | 0.89 (d, J = 6.4) |
| 14 | 1.42 a | 16 | 0.94 (d, J = 6.6) | 0.96 (d, J = 6.6) |
| 15 | - | 17 | 0.86 (d, J = 6.6) | 0.88 (d, J = 6.4) |
| 16 | 1.14 (s) | 18 | 3.92 (d, J = 5.4) | 3.44 (d, J = 5.4) |
| 17 | 0.90 (d, J = 6.6) | 19 | 1.15 (s) | 0.89 (d, J = 6.4) |
| 18 | 0.85 (d, J = 6.6) | - | - | 3.79 (dd, J = 6.6, 9.4) |
| 19 | 3.91 (d, J = 5.4) | - | - | 3.87 (dd, J = 6.6, 9.4) |
| 20 | 1.14 (s) | - | - | - |
References
- Hu, X.; Liu, J.; Liu, H.; Zhuang, G.; Xun, L. Sulfur metabolism by marine heterotrophic bacteria involved in sulfur cycling in the ocean. Sci. China Earth Sci. 2018, 61, 1369–1378. [Google Scholar] [CrossRef]
- Carvalhal, F.; Correia-da-Silva, M.; Sousa, E.; Pinto, M.; Kijjoa, A. Sources and biological activities of marine sulfated steroids. J. Mol. Endocrinol. 2018, 61, T211–T231. [Google Scholar] [CrossRef] [PubMed]
- Sepe, V.; Bifulco, G.; Renga, B.; D’Amore, C.; Fiorucci, S.; Zampella, A. Discovery of sulfated sterols from marine invertebrates as a new class of marine natural antagonists of farnesoid-X-receptor. J. Med. Chem. 2011, 54, 1314–1320. [Google Scholar] [CrossRef] [PubMed]
- Roccatagliata, A.J.; Mater, M.S.; Seldes, A.M.; Zea, S.; Duque, C. A new sulfated alkene from the ophiuroid Ophiocoma echinata. J. Nat. Prod. 1997, 60, 285–286. [Google Scholar] [CrossRef]
- Chen, L.; Fang, Y.; Luo, X.; He, H.; Zhu, T.; Liu, H.; Gu, Q.; Zhu, W. Sulfated alkenes from the echinus Temnopleurus hardwickii. J. Nat. Prod. 2006, 69, 1787–1789. [Google Scholar] [CrossRef]
- Aiello, A.; Fattorusso, E.; Menna, M. A New Antiproliferative sulfated alkene from the mediterranean tunicate Microcosmus vulgaris. Tetrahedron 1997, 53, 11489–11492. [Google Scholar] [CrossRef]
- Kornprobst, J-M.; Sallenave, C.; Barnathan, G. Sulfated Compounds from Marine Organisms. Comp. Biochem. Physiol. 1998, 119B, 1–51. [Google Scholar]
- Tsukamoto, S.; Kato, H.; Hirota, H.; Fusetani, N. Antibacterial and antifungal sulfated alkane and alkenes from the hepatopancreas of the ascidian Halocynthia roretzi. J. Nat. Prod. 1994, 57, 1606–1609. [Google Scholar] [CrossRef]
- Yasumoto, K.; Nishigami, A.; Yasumoto, M.; Kasai, F.; Okada, Y.; Kusumi, T.; Ooi, T. Aliphatic sulfates released from Daphnia induce morphological defense of phytoplankton: Isolation and synthesis of kairomones. Tetrahedron Lett. 2005, 46, 4765–4767. [Google Scholar] [CrossRef]
- Yasumoto, K.; Nishigami, A.; Kasai, F.; Kusumi, T.; Ooi, T. Isolation and absolute configuration determination of aliphatic sulfates as the Daphnia kairomones inducing morphological defense of a phytoplankton. Chem. Pharm. Bull. 2006, 54, 271–274. [Google Scholar] [CrossRef]
- Yasumoto, K.; Nishigami, A.; Aoi, H.; Tsuchihashi, C.; Kasai, F.; Kusumi, T.; Ooi, T. Isolation and absolute configuration determination of aliphatic sulfates as the Daphnia kairomones inducing morphological defense of a phytoplankton-part 2. Chem. Pharm. Bull. 2008, 56, 129–132. [Google Scholar] [CrossRef] [PubMed]
- Yasumoto, K.; Nishigami, A.; Aoi, H.; Tsuchihashi, C.; Kasai, F.; Kusumi, T.; Ooi, T. Isolation of new aliphatic sulfates and sulfamate as the Daphnia kairomones inducing morphological change of a phytoplankton Scenedesmus gutwinskii. Chem. Pharm. Bull. 2008, 56, 133–136. [Google Scholar] [CrossRef] [PubMed]
- La, M.; Li, C.; Li, L.; Sun, P.; Tang, H.; Liu, B.; Gong, W.; Han, H.; Yi, Y.; Zhang, W. New bioactive sulfated alkenes from the sea cucumber Apostichopus Japonicus. Chem Biodivers. 2012, 9, 1166–1171. [Google Scholar] [CrossRef] [PubMed]
- Aiello, A.; Carbonelli, S.; Esposito, G.; Fattorusso, E.; Iuvone, T.; Menna, M. Novel bioactive sulfated alkene and alkanes from the Mediterranean ascidian Halocynthia papillosa. J. Nat. Prod. 2000, 63, 1590–1592. [Google Scholar] [CrossRef] [PubMed]
- Imperatore, C.; Aiello, A.; D’Aniello, F.; Luciano, P.; Vitalone, R.; Meli, R.; Raso, G.M.; Menna, M. New bioactive alkyl sulfates from Mediterranean tunicates. Molecules 2012, 17, 12642–12650. [Google Scholar] [CrossRef] [PubMed]
- Aiello, A.; Fattorusso, E.; Menna, M. Novel antiproliferative alkyl sulfates from the Mediterranean tunicate Ascidia mentula. Tetrahedron 1997, 53, 5877–5882. [Google Scholar] [CrossRef]
- Nakao, Y.; Matsunaga, S.; Fusetani, N. Toxadocial A: A novel thrombin inhibitor from the marine sponge Toxadocia cylindrica. Tetrahedron Lett. 1993, 34, 1511–1514. [Google Scholar] [CrossRef]
- Fujita, M.; Nakao, Y.; Matsunaga, S.; Nishikawa, T.; Fusetani, N. Sodium 1-(12-Hydroxy) octadecanyl sulfate, an MMP2 inhibitor, isolated from a tunicate of the family Polyclinidae. J. Nat. Prod. 2002, 65, 1936–1938. [Google Scholar] [CrossRef] [PubMed]
- Tsukamoto, S.; Kato, H.; Hirota, H.; Fusetan, N. Seven new polyacetylene derivatives, showing both potent metamorphosis-inducing activity in ascidian larvae and antifouling activity against barnacle larvae, from the marine sponge Callyspongia truncata. J. Nat. Prod. 1997, 60, 126–130. [Google Scholar] [CrossRef]
- Almeida, J.R.; Correia-da-Silva, M.; Sousa, E.; Antunes, J.; Pinto, M.; Vasconcelos, V.; Cunha, I. Antifouling potential of nature-inspired sulfated compounds. Sci. Rep. 2017, 7, 42424. [Google Scholar] [CrossRef]
- Correia-da-Silva, M.; Sousa, E.; Pinto, M.M.M. Emerging sulfated flavonoids and other polyphenols as drugs: Nature as an inspiration. Med. Res. Rev. 2014, 34, 223–279. [Google Scholar] [CrossRef] [PubMed]
- Xia, Y.; Lu, C.; Hou, N.; Xin, Y.; Liu, J.; Liu, H.; Xun, L. Sulfide production and oxidation by heterotrophic bacteria under aerobic conditions. ISME J. 2017, 11, 2754–2766. [Google Scholar] [CrossRef] [PubMed]
- Fujimoto, K.; Ohtomo, H.; Kanazawa, A.; Kikuchi, Y.; Kaneda, T. Alkyl sulfates as precursors of ascidian flavor in Halocynthia roretzi. Bull. Jpn. Soc. Sci. Fish. 1982, 48, 1327–1331. [Google Scholar] [CrossRef][Green Version]
- Fedorov, S.N.; Chumak, A.D.; Denisenko, V.A.; Stonik, V.A.; Isakov, V.V. Alkyl sulfates from the ascidian Holocynthia roretzi. Chem. Nat. Compd. 1982, 18, 634–635. [Google Scholar] [CrossRef]
- Laforsch, C.; Beccara, L. Inducible defenses: The relevance of chemical alarm cues in Daphnia. Limnol. Oceanogr. 2006, 51, 1466–1472. [Google Scholar] [CrossRef]
- Pohnert, G.; Steinke, M.; Tollrian, R. Chemical cues, defence metabolites and the shaping of pelagic interspecific interactions. Trends Ecol. Evol. 2007, 22, 198–204. [Google Scholar] [CrossRef] [PubMed]
- Weiss, L.C.; Albada, B.; Becker, S.M.; Meckelmann, S.W.; Klein, J.; Meyer, M.; Schmitz, O.J.; Sommer, U.; Leo, M.; Zagermann, J.; et al. Identification of Chaoborus kairomone chemicals that induce defenses in Daphnia. Nat. Chem. Biol. 2018, 14, 1133–1139. [Google Scholar] [CrossRef]
- Könnecker, G.; Regelmann, J.; Belanger, S.; Gamon, K.; Sedlak, R. Environmental properties and aquatic hazard assessment of anionic surfactants: Physico-chemical, environmental fate and ecotoxicity properties. Ecotoxicol. Environ. Saf. 2011, 74, 1445–1460. [Google Scholar] [CrossRef]
- Li, Y.; Ning, C. Latest research progress of marine microbiological corrosion and bio-fouling, and new approaches of marine anti-corrosion and anti-fouling. Bioact. Mater. 2019, 4, 189–195. [Google Scholar] [CrossRef]
- Qian, P.Y.; Li, Z.; Xu, Y.; Li, Y.; Fusetani, N. Mini-review: Marine natural products and their synthetic analogs as antifouling compounds: 2009–2014. Biofouling 2015, 31, 101–122. [Google Scholar] [CrossRef]
- Xu, D.; Li, Y.; Gu, T. A synergistic D-tyrosine and tetrakis hydroxymethyl phosphonium sulfate biocide combination for the mitigation of an SRB biofilm. World J. Microbiol. Biotechnol. 2012, 10, 3067–3074. [Google Scholar] [CrossRef] [PubMed]
- Findlay, J.A.; He, Z.-Q.; Calhoun, L.A. Forbesin: A novel sulfated glycolipid from the starfish Asterias forbesi. J. Nat. Prod. 1990, 53, 1015–1018. [Google Scholar] [CrossRef]
- Nakao, Y.; Matsunaga, S.; Fusetani, N. Toxadocials B, C and toxadocic acid A: Thrombin-inhibitory aliphatic tetrasulfates from the marine sponge, Toxadocia cylindrica. Tetrahedron 1993, 49, 11183–11188. [Google Scholar] [CrossRef]
- Crispino, A.; De Giulio, A.; De Rosa, S.; De Stefano, S.; Milone, A. A sulfated normonoterpenoid from the ascidian Polycitor adriaticus. J. Nat. Prod. 1994, 57, 1575–1577. [Google Scholar] [CrossRef]
- Uno, M.; Ohta, S.; Ohta, E.; Ikegami, S. Callyspongins A and B: Novel polyacetylene sulfates from the marine sponge Callyspongia truncata that inhibit fertilization of starfish gametes. J. Nat. Prod. 1996, 59, 1146–1148. [Google Scholar] [CrossRef]
- Pereira, R.C.; Lourenço, A.L.; Terra, L.; Abreu, P.A.; Laneuville Teixeira, V.; Castro, H.C. Marine diterpenes: Molecular modeling of thrombin inhibitors with potential biotechnological application as an antithrombotic. Mar. Drugs. 2017, 15, E79. [Google Scholar] [CrossRef] [PubMed]
- Hessen, D.O.; Donk, E.V. Morphological changes in Scenedesmus induced by substances released from Daphnia. Archiv Hydrobiologie 1993, 127, 129–140. [Google Scholar]
- Mirza, R.S.; Pyle, G.G. Waterborne metals impair inducible defenses in Daphnia pulex: Morphology, life-history traits and encounters with predators. Freshwater Biol. 2009, 54, 1016–1027. [Google Scholar] [CrossRef]
- Krishnamoorthy, G.; Leus, I.V.; Weeks, J.W.; Wolloscheck, D.; Rybenkov, V.V.; Zgurskaya, H.I. Synergy between active efflux and outer membrane diffusion defines rules of antibiotic permeation into gram-negative bacteria. MBio 2017, 8, e01172-17. [Google Scholar] [CrossRef]
- Thomas, N.V.; Manivasagan, P.; Kim, S.K. Potential matrix metalloproteinase inhibitors from edible marine algae: A review. Environ. Toxicol. Pharmacol. 2014, 37, 1090–1100. [Google Scholar] [CrossRef]
- Swaroop, A. A micromethod for the determination of urinary inorganic sulfates. Clin. Chim. Acta 1973, 46, 333–336. [Google Scholar] [CrossRef]






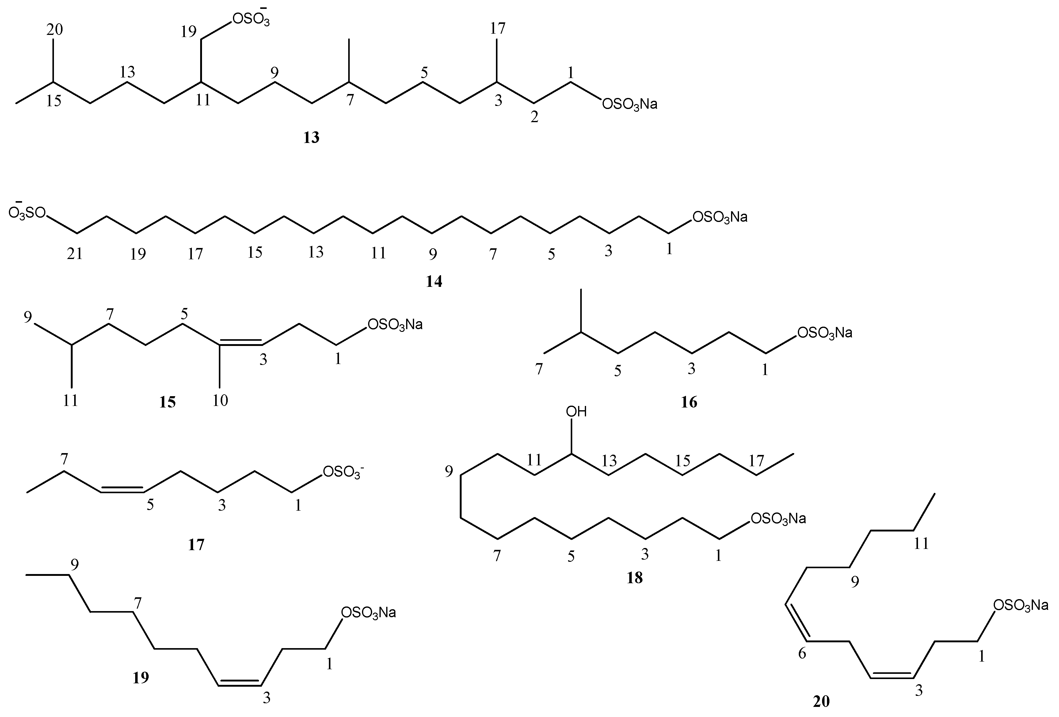
| Bioactivity | Compound | Species | Reference |
|---|---|---|---|
| No activity | Forbesin (1) | Asterias forbesi | [32] |
| No activity | Dissulfato 5 (2) | Asterias forbesi | [32] |
| Trombin inhibitor | |||
| Toxadocial A (3) | Toxadocia cylindrica | [17] | |
| Toxadocial B (4) | Toxadocia cylindrica | [33] | |
| Toxadocial C (5) | Toxadocia cylindrica | [33] | |
| Toxadocic acid A (6) | Toxadocia cylindrica | [33] | |
| Morphological-inducing defense | |||
| 2,6-dimethylheptyl sulfate (7) | Daphnia | [10,14] | |
| (4 Z,7 Z)-4,7-decadienyl sulfate (9) | Daphnia pulex | [12] | |
| callyspongin A (11) | Callyspongia truncata | [19] | |
| callyspongin B (12) | Callyspongia truncata | [19] | |
| 3-Decen-1-ol, 1-(hydrogen sulfate), (3Z) (19) | Daphinia pulex | [9] | |
| 3,6-Dodecadien-1-ol, 1-(hydrogen sulfate), (3Z,6Z)- (20) | Daphinia pulex | ||
| 3,6,9-Dodecatrien-1-ol, 1-(hydrogen sulfate), (3Z,6Z,9Z)- (21) | Daphinia pulex | ||
| 1-Nonanol, 8-methyl-, 1- (hydrogen sulfate) (22) | Daphinia pulex | ||
| No activity | trimethylammonium (5R)-5,9-dimethyl-(3E)-3,8-decadienyl-1-sulfate (23) | Temnopleurus hardwickii | [5] |
| No activity | dimethylammonium (5R)-5,9-dimethyl-(3E)-3,8-decadienyl-1-sulfate (24) | Temnopleurus hardwickii | |
| (S)-6-methyloctyl sulfate (26) | Daphnia | [10] | |
| 4(R),8-Dimethylnonyl Sulfate (27) | Daphnia | [11] | |
| 3(S)-Methyl-4E-decenyl Sulfate (28) | Daphnia | ||
| 7-methyloctyl sulfate (29) | Daphnia pulex | [12] | |
| 3E-decenyl sulfate (30) | Daphnia pulex | ||
| 9-methyl-3Z-decenyl sulfate (31) | Daphnia pulex | ||
| 3Z-dodecenyl sulfate (32) | Daphnia pulex | ||
| 3Z-decenyl sulfamate (33) | Daphnia pulex | ||
| 3,6-dodecadienyl sulfamate (34) | Daphnia pulex | ||
| decyl sulfamate (35) | Daphnia pulex | ||
| octyl sulfamate (36) | Daphnia pulex | ||
| nonyl sulfamate (37) | Daphnia pulex | ||
| 9-methyldecyl sulfamate (38) | Daphnia pulex | ||
| 8-methylnonyl sulfamate (39) | Daphnia pulex | ||
| 7-methyloctyl sulfamate (40) | Daphnia pulex | ||
| Antifouling Activity | |||
| callyspongin A (11) | Callyspongia truncata | [19] | |
| callyspongin B (12) | Callyspongia truncata | [19] | |
| Cytotoxicity | |||
| 2,6-dimethylheptyl sulfate (7) | [14] | ||
| 3,7-dimethyl-15-isopropyl-11- -hexadecyl sulfate (13) | Ascidia mentula | [16] | |
| monosodium mono(henicosane-1,21-diyl bis(sulfate)) (14) | Ascidia mentula | [16] | |
| (3Z)-4,8-dimethylnon-3-en-l-sulfate (15) | Microcosmus vulgaris Ophiocoma echinata | [4,6] | |
| 6-methylheptyl sulfate (16) | Halocynthia papillosa | [14] | |
| (E)-5-Octenyl sulfate (17) | Halocynthia papillosa | [14] | |
| 2′-methyl-4’-oxobutan-2-ylammonium (5R)-5,9-dimethyl-(3E)-3,8-decadienyl-1-sulfate (25) | Temnopleurus hardwickii | [5] | |
| octyl sulfate (41) | Apostichopus japonicus | [13] | |
| decyl sulfate (42) | Apostichopus japonicus | ||
| (5Z)-dec-5-en-1-yl sulfate (43) | Apostichopus japonicus | ||
| 3E-decenyl sulfate (30) | Apostichopus japonicus | ||
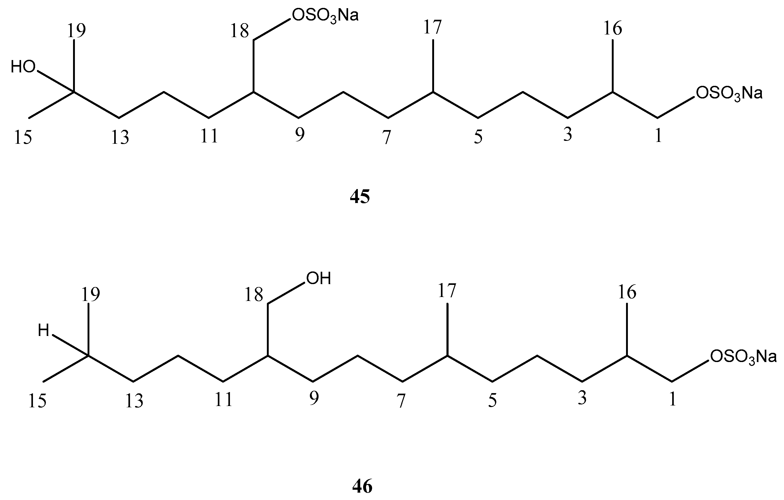
| 1,15-Hexadecanediol, 3,7,15-trimethyl-11-[(sulfooxy)methyl]-, 1-(hydrogen sulfate), sodium salt (1:2) (44) | Aplidium elegans | [15] | |
| -1,14-Pentadecanediol, 2,6,14-trimethyl-10-[(sulfooxy)methyl]-, 1-(hydrogen sulfate), sodium salt (1:2) (45) | Aplidium elegans | ||
| 1,11-Undecanediol, 2,6-dimethyl-10-(4-methylpentyl)-, 1-(hydrogen sulfate), sodium salt (1:1) (46) | Aplidium edwardisii | ||
| Antimicrobial | |||
| 2,6-dimethylheptyl sulfate (7) | Halocynthia roretzi Policitor adriaticus | [8,34] | |
| (4Z,7E)-4,7-decadienyl sulfate (8) | Halocynthia roretzi | [8] | |
| (4Z,7Z)-4,7-decadienyl sulfate (9) | Halocynthia roretzi | [8] | |
| (3Z,6Z)-3,6,9-decatrienyl sulfate (10) | Halocynthia roretzi | [8] | |
| octyl sulfate (41) | Apostichopus japonicus | [13] | |
| decyl sulfate (42) | Apostichopus japonicus | [13] | |
| (5Z)- decenyl sulfate (43) | Apostichopus japonicus | [13] | |
| 3E-decenyl sulfate (30) | Apostichopus japonicus | [13] | |
| Metalloproteinase 2 (MMP2) inhibitor | |||
| sodium 1-(12-hydroxy) octadecanyl sulfate (18) | Polyclinidade | [18] | |
| Inhibition of starfish fertilization | |||
| callyspongin A (11) | Callyspongia truncata | [35] | |
| callyspongin B (12) | Callyspongia truncata | [35] | |
© 2019 by the authors. Licensee MDPI, Basel, Switzerland. This article is an open access article distributed under the terms and conditions of the Creative Commons Attribution (CC BY) license (http://creativecommons.org/licenses/by/4.0/).
Share and Cite
Kellner Filho, L.C.; Picão, B.W.; Silva, M.L.A.; Cunha, W.R.; Pauletti, P.M.; Dias, G.M.; Copp, B.R.; Bertanha, C.S.; Januario, A.H. Bioactive Aliphatic Sulfates from Marine Invertebrates. Mar. Drugs 2019, 17, 527. https://doi.org/10.3390/md17090527
Kellner Filho LC, Picão BW, Silva MLA, Cunha WR, Pauletti PM, Dias GM, Copp BR, Bertanha CS, Januario AH. Bioactive Aliphatic Sulfates from Marine Invertebrates. Marine Drugs. 2019; 17(9):527. https://doi.org/10.3390/md17090527
Chicago/Turabian StyleKellner Filho, Luis C., Bruno W. Picão, Marcio L. A. Silva, Wilson R. Cunha, Patricia M. Pauletti, Gustavo M. Dias, Brent R. Copp, Camila S. Bertanha, and Ana H. Januario. 2019. "Bioactive Aliphatic Sulfates from Marine Invertebrates" Marine Drugs 17, no. 9: 527. https://doi.org/10.3390/md17090527
APA StyleKellner Filho, L. C., Picão, B. W., Silva, M. L. A., Cunha, W. R., Pauletti, P. M., Dias, G. M., Copp, B. R., Bertanha, C. S., & Januario, A. H. (2019). Bioactive Aliphatic Sulfates from Marine Invertebrates. Marine Drugs, 17(9), 527. https://doi.org/10.3390/md17090527

